作为局限性前列腺癌患者预后标志物的前列腺特异性抗原密度
- 作者: Kneev A.Y.1, Shkolnik M.I.1, Bogomolov O.A.1, Vershinskaya J.G.1, Zharinov G.M.1
-
隶属关系:
- Russian Scientific Center of Radiology and Surgical Technologies named after A.M. Granov
- 期: 卷 11, 编号 3 (2021)
- 页面: 205-212
- 栏目: Original study articles
- ##submission.dateSubmitted##: 16.06.2021
- ##submission.dateAccepted##: 08.08.2021
- ##submission.datePublished##: 11.10.2021
- URL: https://journals.eco-vector.com/uroved/article/view/71614
- DOI: https://doi.org/10.17816/uroved71614
- ID: 71614
如何引用文章
详细
绪论。在改善前列腺癌患者治疗结果的领域中,最重要的任务是按风险组正确分层。现代分层系统不能为所有前列腺癌患者提供充分的风险评估。用于预测特定患者前列腺癌临床病程的算法的进一步开发可以积极影响疾病的病程和结果。
目的:前列腺特异性抗原(pPSA)密度在接受激素联合放射治疗的局限性前列腺癌患者中的临床和预后价值测定。
材料与方法。在1996年1月至2007年7月期间接受联合激素放射治疗的272例局限性前列腺癌患者中,评估了pPSA参数对肿瘤特异性生存率以及肿瘤过程的临床和形态学参数的影响。
结果。pPSA指标的高度临床意义已得到证实。PPSA的增加与血清PSA浓度的增加、PSA倍增时间的减少以及肿瘤分化的减少相关。pPSA的预后价值在接受联合激素放射治疗的局限性前列腺癌患者中得到证实。使用ROC分析,确定pPSA指数的阈值为—0.36 ng/(ml/cm3),超过该阈值与肿瘤特异性生存水平的统计学显著降低相关。曲线下面积为0.703(95% CI 0.236–0.434;p<0.001)。随着pPSA值的增加,肿瘤特异性死亡和复发的风险也会增加。
结论。pPSA参数是一种可靠的前列腺癌生物标志物,具有很高的临床和预后意义,其使用与引入昂贵且繁琐的实验室和仪器诊断方法无关。
全文:
绪论
俄罗斯前列腺癌(PC)在恶性肿瘤发病率结构中排名第二,在60岁以上的男性中,排名 第一[1]。尽管仪器和实验室诊断方法得到了发展,但对局部前列腺癌患者的疾病分期的准确预测仍远非完美。预测是根据直肠指检数据、血清前列腺特异性抗原(PSA)的初始浓度和前列腺活检(PC)的组织学检查结果。根据格里森量表确定的肿瘤分化程度,活检中肿瘤的百分比,以及神经周围浸润灶的存在[2-4]。在预测和选择最佳治疗方法的过程中,肿瘤恶性程度是一个决定性因素,因为在所有参数中,只有肿瘤分化程度与疾病结果显著相关[5]。同时,PSA水平和直肠指检结果(不考虑其他临床数据)不是重要的预后因素,因为它们可能是由于与肿瘤病变无关的原因[6]。然而,活检结果不能全面评估前列腺癌的特征,如肿瘤病灶的大小、位置和形态。格里森指数是根据对潜在异质性肿瘤部位的评估结果确定的,因此与术后大修复研究相比,不允许准确评估病变的整个体积和侵袭性[7]。治疗方法的选择在很大程度上是基于这样的假设,即根据初次活检结果得出的肿瘤特征反映了其真正的恶性程度。在这方面在格里森量表上分配总分的错误可能导致这样一个事实,即患有惰性肿瘤的患者将接受过度治疗,而患有侵袭性肿瘤的患者将得不到充分的治疗,这将对疾病的结局产生负面影响。准确评估肿瘤过程的特征将有助于区分适合主动监测的患者和需要根治治疗的患者,更好地评估疾病进一步进展的风险。
尽管实践中使用的一组临床和病理参数在大多数情况下提供了可接受的风险分层,但它远非完美,这使得难以在每个特定病例中选择最佳治疗方法[8]。这种情况需要确定前列腺癌的新预后生物标志物[9]。
PSA密度(pPSA)定义为血清PSA与前列腺体积的比率。该指标最初用于评估基线血清PSA浓 度<10 ng/ml的患者患前列腺癌的风险[10]。已知良性前列腺增生(BPH)中血清PSA浓度的增加与胰腺腺体成分的体积增加有关,即血清PSA浓度的增加与胰腺的体积。在前列腺癌中,PSA水平的升高是由于肿瘤的侵袭性,其扩散导致破坏器官的腺泡血管结构,PSA的分泌直接进入体 循环。在前列腺癌患者中,pPSA值与肿瘤成分和前列腺体积相关。因此,测定pPSA可以评估前列腺癌患者前列腺增生对血清PSA浓度的影响。
研究的目的是确定pPSA在接受联合激素放疗的局限性前列腺癌患者中的临床和预后价值。
材料与方法
1996年1月至2007年7月期间,随后进行动态观察回顾性研究包括272名局限性前列腺癌(cT1-T2N0M0)患者在俄罗斯A.M.Granova(RNTSRKHT)放射学和外科技术科学中心接受联合激素放射治疗。治疗开始时患者的平均年龄为66.5±6.8岁。 对于纳入研究的患者,有关于检查和治疗结果的所有必要信息。在这些患者中,评估了pPSA 参数对肿瘤特异性生存指标的影响,以及肿瘤过程的临床和形态学参数。
在所有患者中,pPSA指数计算为基线血清PSA浓度与前列腺体积的比率。后者通过超声检查(US)或胰腺磁共振成像的结果进行评估。纳入研究的患者的pPSA值在0.004至6.5ng/(ml·cm3) 范围内变化,中值pPSA值为0.45ng/(ml·cm3)(95% CI 0.41–0.52)。根据格里森量表对196例(72.1%)患者的肿瘤病理特征进行了评估。在 98名(50.0%)患者中检测到高度分化的肿瘤(格里 森量评分≤6),在67名(34.1%)患者中,格里森评分为7,在31名(15.8%)患者中—范围为8-10。 研究组患者的PSA倍增时间参数值范围 为0.7至833.33个月中值为36.66个月(95%可信区间26.84-40.00)。
所有前列腺癌患者均接受激素联合放射治疗。靶器官区域(胰腺和精囊)的平均总聚焦剂量为67.01±5.6Gy。使用促性腺激素释放激素激动剂和/或抗雄激素药物进行激素治疗。部分患者为了达到睾酮去势水平,进行了双侧睾丸 切除术。
使用计算机程序Statistica 10 En(StatSoft,Inc.)使用t检验、χ2—Pearson检验、Fisher精确方法(F检验)、U-Mann-Whitney检验、ROC-绘制ROC曲线的分析方法(Receiver operating characteristic)。差异在p<0.05有显著性。文中指标的平均值以标准差(M±σ) 表示。
结果
在研究的第一阶段,评估了纳入研究的患者的肿瘤特异性生存率。在观察期内,48人因潜在疾病的进展而死亡(表1)。
表.1.存活和死亡前列腺癌患者的主要临床和形态学参数(n=272)
Table 1. Main clinical and morphological parameters in surviving and deceased patients with prostate cancer (n = 272)
指标 | 存活患者(n=224) | 已故患者(n=48) | р |
年龄,岁(Me,95% CI) | 67.75, 67.14–68.67 | 66.87, 65.61–67.85 | >0.05* |
观察时间,月(Me,95% CI) | 147.0, 139.0–156.2 | 75.5, 63.7–100.0 | <0.0001* |
基线PSA水平,ng/ml(Me,95% CI) | 15.06, 13.08–17.57 | 22.45, 18.81–28.21 | 0.0001* |
pPSA,ng/(ml·cm3)(Me,95% CI) | 0.42, 0.36–0.46 | 0.66, 0.57–0.90 | <0.0001* |
PSA倍增时间,月(Me,95% CI) | 36.66, 30.46–40.00 | 7.56, 1.21–36.66 | <0.01* |
格里森评分:
| 93(41.5%) 54(24.1%) 20(8.9%) 57(25.4%) | 5(10.4%) 13(27.0%) 11(22.9%) 19(39.5%) | <0.0001** >0.05** <0.05*** <0.05** |
局部照射的总焦点剂量,Gy(Me,95% CI) | 68.0, 66.00–68.00 | 66.0, 66.00–68.00 | >0.05* |
注:PSA—前列腺特异性抗原,Me—中位数,95% CI—95%置信区间。*U—惠特尼检验。**χ2皮尔逊检验。***F检验(Fisher 精确检验)。
从表1的单变量分析结果可以看出,存活和死亡患者在前列腺肿瘤组织的组织学分化上存在显着差异。因此,在幸存的患者中,高度分化的肿瘤(p<0.0001)明显更常被检测到,而在已故的前列腺癌中,低分化形式(p<0.05)被检测到。与死者相比,存活患者组的基线血清PSA 水平显着降低—分别为15.06和22.45ng/ml, (p=0.0001)。PSA倍增时间也存在显着差异。该指标在存活患者组中显着更高—36.66个月。 相比之下,7.56个月。在已故患者中(p<0.01)。这些组的患者在pPSA值上有统计学显着差异。存活患者组的中位pPSA值为0.42ng/(ml·cm3),而因基础疾病进展而死亡的患者组中pPSA值为0.66 ng/(ml·cm3)(p<0.0001).
根据治疗后PSA复发的检测,对患者的pPSA值进行分析。肿瘤复发52例。确诊复发患者的中位pPSA为0.74ng/(ml·cm3)(95% CI 0.63–0.93), 无复发患者的pPSA中位数为0.41 ng/(ml·cm3) (95% CI 0,35-0.46)(p<0.001)。
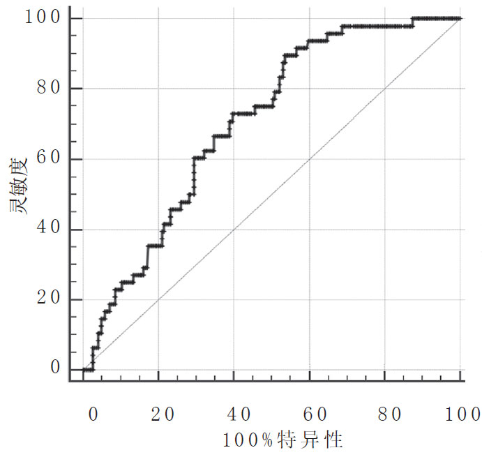
在第二阶段,确定参数的阈值,其过量与肿瘤特异性存活率的统计学显着降低相关。为了确定参数的阈值,使用了ROC分析方法(图1,表2)。
图.1.局限性前列腺癌患者前列腺特异性抗原密度值的ROC分析结果
Fig. 1. Results of ROC-analysis of values of the density of prostate-specific antigen in patients with localized prostate cancer
表.2.局部前列腺癌患者前列腺特异性抗原密度值的ROC曲线表征
Table 2. Characteristic of ROC-curve of values of the density of prostate-specific antigen in patients with localized prostate cancer
ROC曲线下面积 | 根均方误差 | р | 最优准则 | 95% CI | |
底线 | 上限 | ||||
0.703 | 0.0363 | <0.0001 | 0.3601 | 0.2360 | 0.4345 |
根据得到的数据,pPSA的阈值为0.36ng/(ml·cm3),敏感性和特异性水平分别为89.58%和46.43%。
在研究的下一阶段,我们使用ROC分析方法获得的pPSA阈值将患者分为“低”和“高”pPSA组(表3)。
表.3.前列腺癌患者的临床和形态学参数取决于前列腺特异性抗原的密度值(n=272)
Table 3. Clinical and morphological parameters in patients with prostate cancer depending on values of the density of prostate-specific antigen (n = 272)
分析特征 | “低”pPSA(n=101) | “高”pPSA(n=171) | р |
年龄,岁(Me,95% CI) | 68.33, 67.21–69.56 | 66.92, 64.92–67.65 | >0.05* |
基线PSA水平,ng/ml(Me,95% CI) | 9.8, 8.00–11.30 | 23.00, 20.35–26.07 | <0.0001* |
PSA 倍增时间,月(Me,95% CI) | 40.00, 36.66–47.73 | 24.60, 13.97–36.66 | <0.001* |
С格里森评分:
| 63(62.3%) 14(13.8%) 9(8.3%) 15(14.8%) | 35(20.4%) 53(30.9%) 22(12.8%) 61(35.6%) | <0.0001** <0.01** >0.05*** <0.001** |
注:PSA—前列腺特异性抗原,Me—中位数,95% CI—95%置信区间。*U—惠特尼检验。**χ2皮尔逊检验。***F检验(Fisher 精确检验)。
来自“低”pPSA 组的患者显着更可能患有高度分化的前列腺癌,而“中度分化”的肿瘤在“高”pPSA组中显着更可能被发现。“低”pPSA组的基线血清PSA浓度显着降低。我们还发现 PSA倍增时间随着pPSA的降低而增加。在图2显示了评估前列腺癌患者的肿瘤特异性存活率的结果,取决于pPSA的值。
图.2.具有“高”和“低”密度前列腺特异性抗原的局限性前列腺癌患者的肿瘤特异性存活率
Fig. 2. Cancer-specific survival prostate cancer patients with “high” and “low” density of prostate-specific antigen
由于随访期间存活者的累积比例未低于50%,因此未达到中位肿瘤特异性存活率。“低”pPSA组的平均肿瘤特异性生存期为 247.21个月(95% CI 236.27-258.15个月),在“高”pPSA组中—222.64个月(95% CI 206.29-238.98个月)。“低”和“高”pPSA组局部前列腺癌患者的一年肿瘤特异性生存率达到100%,五年—98.9±1.0和91.5±2.1%,十年—96.6±1,9 和79.6±3.2%分别。与“低”pPSA组相比, “高”pPSA组患者的相对死亡风险增加了3.6倍(95%可信区间2.0139–6.4446)。因此,在局限性前列腺癌患者中,pPSA值越低,肿瘤特异性生存率越高。
讨论
众所周知,胰腺恶性肿瘤组织每单位体积释放到体循环中的PSA约为胰腺良性组织的10倍[11]。 与大多数发达国家不同,随着基于血清PSA筛查的引入,新诊断前列腺癌的病例数量增加,死亡人数减少[12]。在俄罗斯,我们观察到该疾病的死亡率稳步上升[10]。1992年,M.C.Benson和合著者[13]提出pPSA的概念是为了中和前列腺体积对血清PSA水平的影响。随后,几项研究的结果表明,pPSA值高于0.15 ng/(ml·cm3)与PCa检测概率显著提高相关[14-16]。
本研究是少数致力于研究局限性前列腺癌患者pPSa值与激素放射治疗结果之间关系的研究之一[17–19]。我们已经证明,在这组患者中,该参数具有很高的临床和预后意义。因此,我们发现在pPSA值较高的患者中,肿瘤的组织分化程度较低,初始血清PSA水平较高,PSA倍增时间也较短,这表明肿瘤生长率较高。我们还证明,具有高pPSA的局限性前列腺癌患者在治疗后有较高的肿瘤特异性死亡率和复发风险。
结论
所得结果表明,pPSA是前列腺癌的可靠生物标志物,具有较高的临床和预后意义,其使用与引入昂贵且繁琐的实验室和仪器诊断方法 无关。
附加信息
资金来源。这项研究是在没有赞助商支持的情况下进行的。
利益冲突。作者声明,没有明显的和潜在的利益冲突相关的发表这篇文章。
作者简介
Alexey Kneev
Russian Scientific Center of Radiology and Surgical Technologies named after A.M. Granov
编辑信件的主要联系方式.
Email: alexmedspb@gmail.com
ORCID iD: 0000-0002-5899-8905
SPIN 代码: 8015-1529
Postgraduate Student
俄罗斯联邦, 70, Leningradskaya str., Pesochnyi vil., 197758, Saint PetersburgMichail Shkolnik
Russian Scientific Center of Radiology and Surgical Technologies named after A.M. Granov
Email: shkolnik_phd@mail.ru
ORCID iD: 0000-0003-0589-7999
SPIN 代码: 4743-9236
Dr. Sci. (Med.), Chief Researcher
俄罗斯联邦, 70, Leningradskaya str., Pesochnyi vil., 197758, Saint PetersburgOleg Bogomolov
Russian Scientific Center of Radiology and Surgical Technologies named after A.M. Granov
Email: urologbogomolov@gmail.com
ORCID iD: 0000-0002-5860-9076
SPIN 代码: 6554-4775
Cand. Sci. (Med.), Research Fellow, Urologist
俄罗斯联邦, 70, Leningradskaya str., Pesochnyi vil., 197758, Saint PetersburgJulia Vershinskaya
Russian Scientific Center of Radiology and Surgical Technologies named after A.M. Granov
Email: yuliya_yakovleva95@mail.ru
ORCID iD: 0000-0003-2141-2576
Postgraduate Student
俄罗斯联邦, 70, Leningradskaya str., Pesochnyi vil., 197758, Saint PetersburgGennady Zharinov
Russian Scientific Center of Radiology and Surgical Technologies named after A.M. Granov
Email: asatur15@mail.ru
ORCID iD: 0000-0002-6034-2040
SPIN 代码: 6010-9551
Dr. Sci. (Med.), Chief Researcher
俄罗斯联邦, 70, Leningradskaya str., Pesochnyi vil., 197758, Saint Petersburg参考
- Zlokachestvennye novoobrazovanija v Rossii v 2018 godu (zabolevaemost’ i smertnost’). Kaprina AD. Starinskogo VV, Petrovoj GV., editors. Moscow: MNIOI. PA. Gercena filial FGBU “NMIC radiologii” Minzdrava Rossii. 2019. 250 p.
- Partin AW, Kattan MW, Subong EN, et al. Combination of prostate-specific antigen, clinical stage, and Gleason score to predict pathological stage of localized prostate cancer. A multi-institutional update. JAMA. 1997;277(18):1445–1451.
- D’Amico AV, Whittington R, Malkowicz SB, et al. Combined modality staging of prostate carcinoma and its uti¬lity in predicting pathologic stage and postoperative prostate specific antigen failure. Urology. 1997;49(3A Suppl):23–30. doi: 10.1016/S0090-4295(97)00165-9
- Ramos N, Macedo A, Rosa J, Carvalho M. Perineural invasion in prostate needle biopsy: Prognostic value on radical prostatectomy and active surveillance. Arch Ital Urol Androl. 2020;92(4). doi: 10.4081/aiua.2020.4.330
- Brimo F, Montironi R, Egevad L, et al. Contemporary gra¬ding for prostate cancer: implications for patient care. Eur Urol. 2013;63(5):892–901. doi: 10.1016/j.eururo.2012.10.015
- Wilkinson BA, Hamdy FC. State-of-the-art staging in prostate cancer. BJU Int. 2001;87(5):423–430. doi: 10.1046/j.1464-410x.2001.02146.x
- Sved PD, Gomez P, Manoharan M, et al. Limitations of biopsy Gleason grade: implications for counseling patients with biopsy Gleason score 6 prostate cancer. J Urol. 2004;172(1):98–102. doi: 10.1097/01.ju.0000132135.18093.d6
- Saad F, Latour M, Lattouf JB, et al. Biopsy Based Proteomic Assay Predicts Risk of Biochemical Recurrence after Radical Prostatectomy. J Urol. 2017;197(4):1034–1040. doi: 10.1016/j.juro.2016.09.116
- Zhang Y, Zhang P, Wan X, et al. Downregulation of long non-coding RNA HCG11 predicts a poor prognosis in prostate cancer. Biomed Pharmacother. 2016;83:936–941. doi: 10.1016/j.biopha.2016.08.013
- Benson MC, Whang IS, Pantuck A, et al. Prostate specific antigen density: a means of distinguishing benign prostatic hypertrophy and prostate cancer. J Urol. 1992;147(3 Pt 2):815–816. doi: 10.1016/s0022-5347(17)37393-7
- Kanehara H, Ueda H, Katsuoka Y. [The efficacy of PSA density for the early detection of prostate cancer]. Nihon Rinsho. 1998;56(8):2012–2015. (In Japan.)
- Tarone RE, Chu KC, Brawley OW. Implications of stage-specific survival rates in assessing recent declines in prostate cancer mortality rates. Epidemiology. 2000;11(2):167–170. doi: 10.1097/00001648-200003000-00014
- Benson MC, Whang IS, Olsson CA, et al. The use of prostate specific antigen density to enhance the predictive value of intermediate levels of serum prostate specific antigen. J Urol. 1992;147(3 Pt 2): 817–821. doi: 10.1016/s0022-5347(17)37394-9
- Presti JC Jr, Hovey R, Carroll PR, Shinohara K. Prospective evaluation of prostate specific antigen and prostate specific antigen density in the detection of nonpalpable and stage T1C carcinoma of the prostate. J Urol. 1996;156(5):1685–1690.
- Ohori M, Wheeler TM, Dunn JK, et al. The pathological features and prognosis of prostate cancer detectable with current diagnostic tests. J Urol. 1994;152(5 Pt 2):1714–1720. doi: 10.1016/s0022-5347(17)32369-8
- Epstein JI, Sanderson H, Carter HB, Scharfstein DO. Utility of saturation biopsy to predict insignificant cancer at radical prostatectomy. Urology. 2005;66(2):356–360. doi: 10.1016/j.urology.2005.03.002
- Zentner PG, Pao LK, Benson MC, et al. Prostate-specific antigen density: a new prognostic indicator for prostate cancer. Int J Radiat Oncol Biol Phys. 1993;27(1):47–58. doi: 10.1016/0360-3016(93)90420-z
- Corn BW, Hanks GE, Lee WR, et al. Prostate specific antigen density is not an independent predictor of response for prostate cancer treated by conformal radiotherapy. J Urol. 1995;153(6):1855–1859
- Pollack A, Lankford S, Zagars GK, Babaian RJ. Prostate specific antigen density as a prognostic factor for patients with prostate carcinoma treated with radiotherapy. Cancer. 1996;77(8):1515–1523. doi: 10.1002/(SICI)1097-0142(19960415)77:8<1515
补充文件




