Продленная субтеноновая блокада при длительных витреоретинальных вмешательствах
- Авторы: Марова Н.Г.1, Васильев Я.И.1, Васильева Г.Н.1, Гриб П.А.1, Даутова З.А.1, Карелов А.Е.1, Клюшникова Е.В.1, Кононов А.В.1
-
Учреждения:
- ФГБОУ ВО «Северо-Западный государственный медицинский университет им. И.И. Мечникова»
- Выпуск: Том 11, № 3 (2019)
- Страницы: 13-22
- Раздел: Оригинальные исследования
- Статья получена: 15.04.2019
- Статья одобрена: 18.06.2019
- Статья опубликована: 18.11.2019
- URL: https://journals.eco-vector.com/vszgmu/article/view/11774
- DOI: https://doi.org/10.17816/mechnikov201911313-22
- ID: 11774
Цитировать
Полный текст
Аннотация
Целью данного исследования явилось сравнение эффективности и безопасности продленной субтеноновой блокады по сравнению с внутривенным введением 100 мг трамадола на фоне общей анестезии при длительных витреоретинальных операциях. В исследовании приняли участие 74 пациента, которым были выполнены микроинвазивные витрэктомии. Для продленной субтеноновой блокады использовали 1 % раствор лидокаина, который вводили со скоростью 2 мл/ч. Оценивали степень блокады окуловисцеральных рефлексов по данным частоты сердечных сокращений и среднего артериального давления, потребность в миорелаксантах, время пробуждения и время удаления ларингеальной маски, болевой синдром и наличие тошноты и рвоты после операции. В группе, где использовали продленную субтеноновую блокаду, отмечены более эффективное блокирование окулокардиального и окуловазомоторного рефлексов, меньшая средняя доза миорелаксантов, меньшее время пробуждения и удаления ларингеальной маски, а также меньшая выраженность болевого синдрома в первые 24 ч после операции. Послеоперационная тошнота в группе с использованием субтеноновой блокады также встречалась значительно реже, чем в группе с использованием трамадола. Применение продленной субтеноновой блокады на фоне общей анестезии представляет собой эффективную и безопасную методику.
Полный текст
Введение
Анестезиологическое обеспечение офтальмологических операций является предметом научных изысканий с тех пор, как Карл Коллер в 1884 г. впервые использовал 5 % раствор кокаина для обезболивания в офтальмологии [1]. Таким образом он стал одним из основателей местной анестезии вообще. Параллельное развитие офтальмологической хирургии [2] и анестезиологии привело к созданию целого ряда специфических анестезиологических методик, применяемых в этой области хирургии. Большую часть офтальмологических операций проводят с использованием местной анестезии, в том числе различных блоков — ретробульбарного, перибульбарного, субтенонового [3, 4]. Витреоретинальная хирургия не исключение — около 50 % всех операций выполняют под местной анестезией в различных ее вариантах [5–7]. Однако существует целый ряд противопоказаний для местной анестезии, что в сочетании с длительностью операции более 90 мин в клинической практике является основным аргументом в пользу применения общей анестезии при витреоретинальных операциях [7, 8].
Наиболее распространенные методики местной анестезии при витреоретинальных операциях имеют ряд ограничений. Большинство из них — инъекционные, то есть длительность действия такой анестезии-аналгезии зависит от длительности действия анестетика, а техника выполнения требует дополнительного времени. Один из способов решения проблемы — использование методик продленного введения местного анестетика.
В 1998 г. шведский офтальмолог Anders Behndig описал свою методику катетеризации субтенонового пространства [9]. К сожалению, в своей статье автор не сообщил о результатах использования указанного способа и не привел более подробной информации относительно применяемого анестетика и операций, при которых его применяли. По всей видимости, это и стало причиной того, что катетеризация субтенонового пространства не получила широкого распространения. Следует отметить, что похожую методику длительного введения анестетика в ретробульбарное пространство рутинно применяют в некоторых клиниках [10]. Анализ русскоязычной литературы показывает, что, вероятнее всего, катетеризацию субтенонового пространства до настоящего времени в РФ не использовали.
Цель данного исследования заключалась в повышении безопасности и эффективности анестезиологического обеспечения длительных витреоретинальных операций с использованием продленной субтеноновой блокады (ПСБ) на фоне ингаляционной анестезии севофлураном.
Материалы и методы
Настоящее одноцентровое проспективное рандомизированное исследование было проведено на базе офтальмологической клиники медико-профилактического центра ФГБОУ ВО СЗГМУ им. И.И. Мечникова после одобрения локальным этическим комитетом университета.
В исследование было включено 74 человека. Критериями включения в исследование были возраст пациента старше 18 лет и проведение витреоретинальной операции, требующей общей анестезии с планируемой длительностью более 90 мин. Критерии исключения были сформированы исходя из особенностей пациентов, техники операции и применяемых препаратов для анестезии таким образом, чтобы обеспечить максимальную безопасность пациента.
Показаниями к операции были отслойка сетчатки с разрывом сетчатки, дегенерация макулы и заднего полюса, кровоизлияние в стекловидное тело, другие ретинальные сосудистые окклюзии.
Микроинвазивная витрэктомия pars plana или микроинвазивная ревизия витреальной полости, выполняемые по поводу указанных состояний, могли сопровождаться эндотампонадой или удалением силиконового масла, эндотампонадой воздухом и газом C3F8, пилингом внутренней пограничной мембраны и удалением эпиретинальных мембран, введением перфторорганических соединений для расправления сетчатки, лазерной ретинопексией, ультразвуковой факоэмульсификацией катаракты с имплантацией интраокулярной линзы. Во всех случаях операцию производили только на одном глазу, поэтому количество пациентов и количество прооперированных глаз было одинаковым.
Указанные особенности оперативных вмешательств не влияли на тактику анестезиологического пособия. Выбор методики анестезии был обоснован условиями работы офтальмологической клиники, которые на практике близки к понятию Fast-track хирургии. Это обусловило использование в качестве анестезиологического агента севофлурана как наиболее выгодного препарата с точки зрения его влияния на сердечно-сосудистую систему, когнитивные функции и возможность быстрого восстановления после окончания анестезии. По тем же причинам из группы опиоидов был выбран трамадол — препарат, длительность действия которого, согласно инструкции, составляет 4–8 ч, а вероятность развития жизнеугрожающих состояний со стороны сердечно-сосудистой и дыхательной систем в послеоперационном периоде значительно меньше в сравнении с другими опиоидами. Субтеноновая блокада из всех офтальмологических анестезиологических блоков считается наиболее безопасной, так как при ее выполнении вероятность перфорации глазного яблока или повреждения сосудов с последующим образованием гемофтальма практически равна нулю. Продленное же введение лидокаина в субтеноновое пространство теоретически имеет ряд преимуществ. Прежде всего постоянная концентрация местного анестетика позволяет обеспечить стабильный уровень аналгезии-анестезии глазного яблока. В случае использования длительно действующих местных анестетиков, таких как бупивакаин или левобупивакаин, которые чаще всего применяют в офтальмологической практике, нельзя быть уверенным в том, что однократная инъекция препарата обеспечит стабильность его концентрации в течение всей операции, что может вести к неадекватной аналгезии. Кроме того, существует вероятность, что при определенной экспозиции и концентрации лидокаин, как мембраностабилизирующий препарат, может защищать сетчатку от фототоксического эффекта, неизбежного при микроинвазивной витрэктомии.
Индукцию анестезии проводили севофлураном согласно учебно-методическим рекомендациям «Индукция и поддержание анестезии севофлураном: методические основы техники VIMA», разработанным национальным медико-хирургическим центром им. Н.И. Пирогова. Индукцию осуществляли смесью, содержащей 6–8 % севофлурана при спокойном дыхании пациента. Поскольку целью индукции являлась установка ларингеальной маски без использования каких-либо дополнительных препаратов — анальгетиков и миорелаксантов, процесс насыщения анестетиком продолжался еще не менее 2,5 мин после утраты сознания, до достижения уровня глубокой анестезии.
В условиях офтальмологической практики применение ресничного рефлекса как признака перехода от первой ко второй стадии наркоза бывает не всегда корректным, так как защита роговицы глаза вискоэластиком начинается до операции. Вискоэластик не содержит анестетиков или анальгетиков, но вязкая структура способствует его распределению не только по роговице, но и по ресничной части верхнего и нижнего век с вовлечением ресниц, поэтому проверка ресничного рефлекса не всегда возможна. В связи с чем для определения уровня глубины анестезии, необходимого для установки ларингеальной маски, ориентировались на следующие клинические данные — утрату самостоятельного дыхания и тонус жевательных мышц.
Для обеспечения проходимости дыхательных путей и искусственной вентиляции легких устанавливали многоразовую силиконовую ларингеальную маску. Правильность установки определяли по данным капнографии — соответствующие капнографические комплексы с уровнем EtСО2 в пределах 32–42 мм рт. ст., а также клинически — по достижению заданного объема вентиляции, отсутствию сброса в контуре и стабильной сатурации крови кислородом не менее 99 %.
Анестезию поддерживали ингаляцией севофлурана с минимальной альвеолярной концентрацией (МАК) 0,9–1,1. При необходимости, если достигнутый с помощью изменения МАК севофлурана уровень миорелаксации оказывался клинически недостаточным, внутривенно болюсно вводили рокурония бромид в дозе 0,15 мг/кг.
После начала общей анестезии всем пациентам выполняли общепринятую инъекционную субтеноновую блокаду — через разрез конъюнктивы в нижненазальном квадранте с помощью тупоконечной канюли вводили 2 мл 2 % раствора лидокаина. Далее аналгезию обеспечивали в зависимости от группы, в которую был распределен пациент. В Т-группе пациентам после инъекции местного анестетика в субтеноновое пространство внутривенно болюсно медленно вводили 100 мг трамадола. В К-группе использовали ПСБ и вводили 1 % раствор лидокаина со скоростью 2 мл/ч при помощи специального катетера [7, 8, 11].
Для анализа эффективности и безопасности методик в качестве показателей уровня рефлекторной активности были выбраны частота сердечных сокращений (ЧСС) и среднее артериальное давление (АДср), которые фиксировали каждые 5 мин с помощью монитора пациента CARESCAPE B650 (GE Healthcare, США). При этом ЧСС рассматривали как критерий оценки блокады окулокардиального рефлекса, а АДср — как критерий оценки блокады окуловазомоторного рефлекса. Кроме того, оценивали потребность в миорелаксантах в обеих группах. По окончании операции регистрировали время пробуждения пациента после анестезии, время удаления ларингеальной маски, а также интенсивность болевого синдрома. Первичную оценку болевого синдрома производили непосредственно в операционной после пробуждения пациента и удаления ларингеальной маски по цифровой рейтинговой шкале (NRS) от 0 до 10 баллов. В дальнейшем эту же шкалу использовали для изучения тяжести болевого синдрома через 60 мин после операции, через 180 мин, 12 и 24 ч.
Статистический анализ проводили с помощью набора инструментов, входящих в программу STATA: Statistical Software 15 (StataCorp LLC, USA). Для анализа влияния методик на рефлекторную активность применяли критерии Тьюки и Вилкоксона с поправкой Бонферрони. Оптимальными инструментами для статистического анализа параметров восстановительного периода и необходимости использования миорелаксантов, а также для оценки тяжести болевого синдрома признаны точный критерий Фишера и критерий Стьюдента.
Результаты
Влияние сравниваемых методик на рефлекторную активность
Оценка активности окулокардиального рефлекса
Для оценки активности и степени блокады окулокардиального рефлекса были выбраны четыре контрольные точки, наиболее полно отражающие этапы анестезиологического пособия: «начало анестезии», «начало операции», «промежуточная» и «конец операции» (рис. 1, табл. 1, 2).
Таблица 1 / Table 1
Статистическая значимость различий показателей частоты сердечных сокращений в обеих группах по критерию Тьюки
The statistical significance of differences in heart rate in both groups according to the Tukey’s test
Критерий Тьюки | ЧСС (К) НО | ЧСС (К) Пр | ЧСС (К) КО | ЧСС (Т) НА | ЧСС (Т) НО | ЧСС (Т) Пр | ЧСС (Т) КО |
ЧСС (К) исх | 0,002 | 0,08 | 0,04 | ||||
ЧСС (К) НА | 0,08 | 0,70 | 0,51 | 0,42 | 1 | 1 | 0,92 |
ЧСС (К) НО | 0,93 | 0,98 | 0,00005 | 0,06 | 0,13 | 0,72 | |
ЧСС (К) Пр | 1 | 0,004 | 0,65 | 0,82 | 1,00 | ||
ЧСС (К) КО | 0,001 | 0,46 | 0,65 | 1,00 | |||
ЧСС (Т) исх | 0,67 | 0,003 | 0,0009 | 0,00002 | |||
ЧСС (Т) НА | 0,47 | 0,12 | 0,004 | ||||
ЧСС (Т) НО | 1 | 0,87 | |||||
ЧСС (Т) Пр | 0,97 |
Примечание. ЧСС — частота сердечных сокращений; К — группа с использованием продленного субтенонового блока; Т — группа с использованием 100 мг трамадола; исх — исходно; НА — начало анестезии; НО — начало операции; Пр — промежуточное; КО — конец операции.
Рис. 1. Сравнение значений показателей частоты сердечных сокращений в обеих группах. К — группа с использованием продленного субтенонового блока; Т — группа с использованием 100 мг трамадола; НА — начало анестезии; НО — начало операции; Пр — промежуточное; КО — конец операции
Fig. 1. Comparison of heart rate values in both groups. K — prolonged Sub-Tenon group; T — 100 mg tramadol group; DA — delivery of anesthesia; OB — beginning of the operation; Tr — transitional; OE — end of the operation
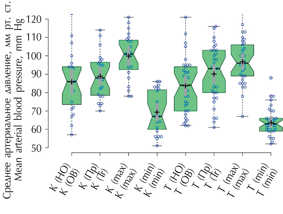
Рис. 2. Сравнение значений показателей среднего артериального давления в обеих группах. К — группа с использованием продленного субтенонового блока; Т — группа с использованием 100 мг трамадола; НО — начало операции; Пр — промежуточное; max — максимальное значение среднего артериального давления; min — минимальное значение среднего артериального давления
Fig. 2. Comparison of arterial blood pressure mean values in both groups. K — prolonged Sub-Tenon group; T — 100 mg tramadol group; OB — beginning of the operation; Tr — transitional; max — the maximum value of the average arterial blood pressure; min — the minimum value of the average arterial blood pressure
Таблица 2 / Table 2
Статистическая значимость различий показателей частоты сердечных сокращений в обеих группах по критерию Вилкоксона – Бонферрони
The statistical significance of differences in heart rate in both groups according to the Wilcoxon-Bonferroni test
Wilc-Bonf (cor. p) | ЧСС (К) НО | ЧСС (К) Пр | ЧСС (К) КО | ЧСС (Т) НА | ЧСС (Т) НО | ЧСС (Т) Пр | ЧСС (Т) КО |
ЧСС (К) исх. | 0,003 | 0,2 | 0,1 | ||||
ЧСС (К) НА | 0,39 | 1 | 1 | 1 | 1 | 1 | 1 |
ЧСС (К) НО | 1 | 1 | 0,0003 | 0,38 | 0,15 | 1 | |
ЧСС (К) Пр | 1 | 0,017 | 1 | 1 | 1 | ||
ЧСС (К) КО | 0,021 | 1 | 1 | 1 | |||
ЧСС (Т) исх. | 1 | 0,048 | 0,005 | 0,00006 | |||
ЧСС (Т) НА | 0,90 | 0,65 | 0,03 | ||||
ЧСС (Т) НО | 1 | 1 | |||||
ЧСС (Т) Пр | 1 |
Примечание. Wilc-Bonf (cor. p) — критерий Вилкоксона с поправкой Бонферрони; ЧСС — частота сердечных сокращений; К — группа с использованием продленного субтенонового блока; Т — группа с использованием 100 мг трамадола; исх — исходно; НА — начало анестезии; НО — начало операции; Пр — промежуточное; КО — конец операции.
При сравнении в указанных парах статистически значимая разница в выбранных парах обеих групп отсутствовала (р > 0,05). При этом следует обратить внимание на распределение и статическую значимость данных внутри групп. Были выявлены отсутствие статистически значимых различий ЧСС в контрольных точках внутри группы с субтеноновой анестезией (р > 0,05) и статистическая значимость этих различий в группе трамадола (р < 0,05).
Оценка активности окуловазомоторного рефлекса
Степень блокады окуловазомоторного рефлекса анализировали на основании данных АДср. Было введено два дополнительных параметра, а именно АДср максимальное и АДср минимальное, так как клинически они демонстрируют комплексное состояние гемодинамики в течение всей анестезии. При совокупном анализе двух групп достоверные различия в группах выявлены не были, за исключением точки АДср min, в которой различия были статистически значимы в сравнении со всеми остальными точками (р ≤ 0,05). При оценке данного блока параметров наблюдалась картина, подобная параметрам ЧСС: внутригрупповая разница показателей АДср представляла больший интерес, чем сравнение между группами. Как и при анализе ЧСС в Т-группе с введением трамадола, разница показателей АДср между данными в контрольных точках была статически значима, в то время как в группе ПСБ эта разница оказалась незначимой (рис. 2. табл. 3, 4).
Таблица 3 / Table 3
Статистическая значимость различий показателей артериального давления в обеих группах по критерию Тьюки
The statistical significance of differences in arterial blood pressure in both groups according to the Tukey’s test
Критерий Тьюки | АДср (К) НО | АДср (К) Пр | АДср (К) max | АДср (К) min | АДср (К) КО | АДср (Т) НО | АДср (Т) Пр | АДср (Т) max | АДср (Т) min | АДср (Т) КО |
АДср (К) исх | <<0,001 | <<0,001 | 0,87 | 0,00003 | 0,005 | |||||
АДср (К) НА | 0,009 | 0,1 | 1 | 0,00003 | 0,29 | |||||
АДср (К) НО | 0,99 | 0,002 | 0,0001 | 1 | 0,95 | 0,045 | <<0,001 | |||
АДср (К) ПР | 0,044 | 0,00003 | 0,81 | 1 | 0,35 | <<0,001 | ||||
АДср (К) max | 0,00003 | 0,0002 | 0,096 | 0,99 | <<0,001 | |||||
АДср (К) min | 0,002 | 0,00003 | 0,00003 | 0,78 | ||||||
АДср (Т) исх | <<0,001 | 0,0002 | 0,32 | <<0,001 | 0,00003 | |||||
АДср (Т) НА | <<0,001 | 0,12 | 1 | <<0,001 | 0,00007 | |||||
АДср (Т) НО | 0,64 | 0,005 | <<0,001 | |||||||
АДср (Т) Пр | 0,54 | <<0,001 | ||||||||
АДср (Т) max | <<0,001 |
Таблица 4
Статистическая значимость различий показателей артериального давления в обеих группах по критерию Вилкоксона – Бонферрони
The statistical significance of differences in arterial blood pressure in both groups according to the Wilcoxon-Bonferroni test
Wilc-Bonf (cor. p) | АДср (К) НО | АДср (К) Пр | АДср (К) max | АДср (К) min | АДср (К) КО | АДср (Т) НО | АДср (Т) ПР | АДср (Т) max | АДср (Т) min | АДср (Т) КО |
АДср (К) исх | 0,004 | 0,006 | 1 | <<0,001 | 0,03 | |||||
АДср (К) НА | 0,09 | 0,23 | 1 | 0,00003 | 1 | |||||
АДср (К) НО | 1 | 0,07 | 0,01 | 1 | 1 | 0,2 | 0,00002 | |||
АДср (К) Пр | 0,14 | 0,0003 | 1 | 1 | 0,72 | 0,00002 | ||||
АДср (К) max | <<0,001 | 0,006 | 0,47 | 1 | <<0,001 | |||||
АДср (К) min | 0,02 | 0,0004 | <<0,001 | 1 | ||||||
АДср (Т) исх | 0,00002 | 0,006 | 0,48 | <<0,001 | <<0,001 | |||||
АДср (Т) НА | 0,001 | 0,67 | 1 | <<0,001 | 0,0008 | |||||
АДср (Т) НО | 1 | 0,012 | <<0,001 | 1 | ||||||
АДср (Т) Пр | 1 | <<0,001 | 1 | |||||||
АДср (Т) max | <<0,001 |
Примечание. Wilc_Bonf (cor. p) — критерий Вилкоксона с поправкой Бонферрони; АДср — среднее артериальное давление; К — группа с использованием продленного субтенонового блока; Т — группа с использованием 100 мг трамадола; исх — исходно; НА — начало анестезии; НО — начало операции; Пр — промежуточное; КО — конец операции; max — максимальное значение среднего артериального давления; min — минимальное значение среднего артериального давления.
Необходимость использования миорелаксантов
Использование недеполяризующего миорелаксанта — рокурония бромида — можно считать косвенным признаком эффективности обеих методик, которую определяли по клиническим признакам: наличию непроизвольных движений, отсутствию акинезии глазных яблок, изменению ритма дыхания, провоцирующему десинхронизацию с наркозным аппаратом или мешающему работе хирурга. По частоте использования миорелаксанта обе группы оказались однородны, при расчете точного критерия Фишера p-value exact (2-sides) равнялась 0,55, но средняя суммарная доза рокурония бромида в Т-группе составила 15,4 мг, а в К-группе — 11,29 мг (рис. 3).
Рис. 3. Соотношение использованного количества рокурония бромида и времени удаления ларингеальной маски. К — группа с использованием продленного субтенонового блока; Т — группа с использованием 100 мг трамадола
Fig. 3. The ratio of the amount of rocuronium bromide used and the time of laryngeal mask removal. K — prolonged Sub-Tenon group; T — 100 mg tramadol group
Влияние сравниваемых методик на течение послеоперационного болевого синдрома
Уровень болевого синдрома был невысоким, и средние значения в обеих группах по всем точкам не превышали 1,51 балла. Клинически это выражалось в том, что в ходе исследования практически не возникало потребности в дополнительном обезболивании в послеоперационном периоде в обеих группах и случаи использования кеторолака были единичными (табл. 5). Максимальная интенсивность болевого синдрома при использовании трамадола в Т-группе отмечалась непосредственно после операции, а при использовании ПСБ — через 60 мин после операции. В группе, где была применена ПСБ, во всех точках, кроме точки «60 мин после операции», выраженность болевого синдрома оказалась значительно меньше, чем при использовании трамадола, что подтверждают и результаты статистического анализа (табл. 6). В точке «60 мин после операции» различия между группами оказались статистически незначимы (рис. 4, табл. 5).
Рис. 4. Уровень послеоперационного болевого синдрома. К — группа с использованием продленного субтенонового блока; Т — группа с использованием 100 мг трамадола
Fig. 4. The level of postoperative pain. K — prolonged Sub-Tenon group; T — 100 mg tramadol group
Таблица 5 / Table 5
Статистическая значимость различий уровней болевого синдрома в обеих группах
Statistical significance of differences in pain levels in both groups
Показатель | Группа | 5 мин | 60 мин | 6 ч | 12 ч | 24 ч |
Средний уровень болевого синдрома | Т | 1,51 | 1,27 | 1,38 | 1,05 | 0,84 |
К | 0,47 | 0,87 | 0,66 | 0,41 | 0,31 | |
Точный критерий Фишера | Значение p — value exact | 0,0002 | 0,14 | 0,03 | 0,0002 | 0,0016 |
Статистическая значимость | Высокая | Нет | Умеренная | Высокая | Значимо |
Примечание. К — группа с использованием продленного субтенонового блока; Т — группа с использованием 100 мг трамадола.
Влияние сравниваемых методик на характеристики восстановления
Среднее время пробуждения в Т-группе составило 11,1 мин, в К-группе — 7,75 мин. Время от момента прекращения подачи анестетика до момента удаления ларингеальной маски в группе с использованием трамадола в среднем составило 14,1 мин против 10,8 мин в группе продленной субтеноновой блокады (см. табл. 6).
Таблица 6 / Table 6
Статистическая значимость параметров восстановления в обеих группах
Statistical significance of recovery parameters in both groups
Рассматриваемые параметры | Время пробуждения, мин | Время удаления ларингеальной маски, мин |
Т-группа | 11,1 | 14,1 |
К-группа | 7,75 | 10,1 |
Критерий Фишера | 0,09 | 0,01 |
Критерий Стьюдента | 0,015 | 0,01 |
Статистическая значимость | Умеренная | Умеренная |
Примечание. К — группа с использованием продленного субтенонового блока; Т — группа с использованием 100 мг трамадола.
Синдром послеоперационной тошноты и рвоты
При сравнении двух групп по параметру «наличие тошноты» с помощью точного критерия Фишера было выявлено, что группы неоднородны: 81,6 % пациентов из Т-группы предъявляли жалобы на тошноту в первые два часа после операции, в то время как в К-группе таких пациентов было только 11,1 %.
Обсуждение
Отсутствие статистически значимой разницы между группами при анализе рефлекторной активности с клинической точки зрения свидетельствует о том, что в ходе исследования анестезия в обеих группах была достаточной для полноценной защиты пациента и достаточного блокирования рефлекторной активности. Отсутствие этих различий в данных ЧСС и АДср внутри К-группы с субтеноновой анестезией, а также статистическая значимость этих различий в группе трамадола, по мнению исследователей, отражают более эффективную блокаду окуловисцеральных рефлексов в случае продленной субтеноновой анестезии.
На фоне продленной субтеноновой блокады была уменьшена доза миорелаксанта. По всей видимости, это, наряду с другими причинами, повлияло на сокращение времени пробуждения и удаления ларингеальной маски.
Значительно меньшая интенсивность болевого синдрома непосредственно после операции при использовании ПСБ обусловлена тем, что введение лидокаина прекращалось вместе с окончанием операции и, таким образом, его действие сохранялось еще не менее 20–30 мин. Высокая эффективность аналгезии в течение первых суток после операции, при условии продленного субтенонового введения лидокаина, в рамках данного исследования говорит о безусловном преимуществе методики, но требует дальнейшего изучения на более представительной выборке.
Увеличенное время пробуждения при использовании трамадола, вероятнее всего, обусловлено механизмом действия препарата, который, будучи хоть и слабым, но тем не менее опиоидным анальгетиком, способен потенцировать действие анестетиков и увеличивать длительность анестезии. Что касается времени удаления ларингеальной маски, которое также оказалось меньше в группе с использованием продленной субтеноновой блокады, то в этом случае необходимо учитывать комплексное воздействие препаратов, а именно анестетика, препарата, примененного для обеспечения анальгетического компонента (трамадола или лидокаина), и миорелаксанта.
Резкое различие в группах по наличию тошноты может быть связано в первую очередь с тем, что трамадол, являясь опиоидным препаратом, особенно в сочетании с галогенсодержащим анестетиком севофлураном, предрасполагает к развитию синдрома тошноты и рвоты в послеоперационном периоде. Однако нельзя исключить и блокирующее влияние продленной субтеноновой анестезии на окулогастральный рефлекс. Именно в связи с этим данная методика наиболее перспективна с точки зрения профилактики синдрома послеоперационной тошноты и рвоты.
Результаты, полученные в исследовании, в тех случаях, когда возможно провести сравнение, коррелируют с данными отечественных и зарубежных публикаций.
Использование местной анестезии при витреоретинальных вмешательствах широко обсуждается в литературе. В большинстве случаев она подходит для анестезиологического обеспечения подобных вмешательств как монометодика. В ряде работ сообщается о преимуществе или равноценной значимости поверхностной (topical) анестезии по сравнению с перибульбарным введением местного анестетика [12, 13]. I.P. Theocharis et al. (2007) показали, что нет никакой разницы в болевых ощущениях у пациентов, которым витроэктомии 25G и 23G выполняли под местной поверхностной анестезией 2 % лидокаиновым гелем или с использованием перибульбарной анестезии. [14] Однако в указанных исследованиях рассматривались недлительные (около 30 мин) операции и изучались лишь уровень выраженности болевого синдрома и удовлетворенность пациента и хирурга условиями операции.
Субтеноновую анестезию достаточно давно и активно применяют для обеспечения витреоретинальных операций. Еще в 1997 г. T. Sharma et al. описали успешное использование при витроэктомии у 83 пациентов парабульбарной анестезии, которая по технике выполнения соответствует общепринятому в настоящее время термину — субтеноновый блок. [15]. Более современные исследования посвящены сочетанному использованию препаратов, в частности левобупивакаина и дексмедетомидина [16]. Однако при изучении возможностей субтенонового блока исследователи концентрируют внимание на тех же параметрах — болевом синдроме и удовлетворенности участников операции.
Необходимость общей анестезии в офтальмохирургии связана прежде всего с планируемой длительностью операции — более 90 мин. При длительных витреоретинальных вмешательствах пациенту трудно сохранять полную неподвижность, и он испытывает дискомфорт [17, 18]. Примечательно, что выбору агента для общей анестезии в офтальмологии посвящено значительно меньше работ, чем исследованию оптимальных методик обеспечения аналгезии.
Сочетание регионарных блокад и общей анестезии, по данным литературы, представляется наиболее выгодным. Из регионарных блоков первое место по частоте использования на фоне общей анестезии занимает перибульбарная анестезия. В недавнем исследовании B. Loriga et al. (2018) с участием 782 пациентов было показано, что сочетание общей и местной анестезии обеспечивает лучший контроль болевого синдрома в послеоперационном периоде, чем локорегиональная анестезия, использованная в качестве монометодики или с дополнительным внутривенным введением ремифентанила [19].
Субтеноновую анестезию при витреоретинальных операциях применяют значительно реже. В 2003 г. A.D. Farmery et al. опубликовали результаты небольшого исследования, включившего 43 пациента. По данным авторов, субтеноновое введение 0,75 % бупивакаина на фоне общей анестезии значительно снижает потребность в опиоидах в периоперационном периоде. К преимуществам работы следует отнести изучение не только болевого синдрома в послеоперационном периоде, но и интраоперационный мониторинг эпизодов гипертензии и брадикардии, количество которых снижалось на фоне применения бупивакаина, а также изучение уровня послеоперационной тошноты и рвоты, который тоже был значительно меньше в первые 12 ч после операции [20]. Имеются данные, что субтеноновая инъекция бупивакаина в конце операции обеспечивает качественную аналгезию в первые 6 ч послеоперационного периода и сокращает таким образом использование парацетамола в сочетании с кетопрофеном, а также налбуфина и морфина [21].
В целом преимущества того или иного вида анестезии или сочетания различных методик при витреоретинальных вмешательствах еще долгое время будут оставаться предметом научных изысканий. В этой связи интересны результаты исследования, предпринятого в 2016 г. A. Licina et al. Авторы не смогли найти в электронных базах публикаций, пригодных для метаанализа и формирования представления о преимуществах местной или общей анестезии при витроэктомии pars plana.
Заключение
В результате исследования была показана возможность и эффективность использования продленной субтеноновой блокады в качестве анальгетического компонента анестезии на фоне ингаляционного анестетика. Перспективным в этой связи можно считать дальнейшее изучение возможностей продленной субтеноновой блокады для обеспечения витреоретинальных операций уже как монометодики.
Конфликт интересов. Авторы заявляют об отсутствии конфликта интересов.
Об авторах
Надежда Геннадьевна Марова
ФГБОУ ВО «Северо-Западный государственный медицинский университет им. И.И. Мечникова»
Автор, ответственный за переписку.
Email: Nadezhda.Marova@szgmu.ru
ORCID iD: 0000-0002-5801-9594
Врач анестезиолог-реаниматолог
Россия, 195015, г. Санкт-Петербург, Кирочная ул., 41Ярослав Иванович Васильев
ФГБОУ ВО «Северо-Западный государственный медицинский университет им. И.И. Мечникова»
Email: Yaroslav.Vasilev@szgmu.ru
ORCID iD: 0000-0001-9758-2390
к.м.н., зав. отделением анестезиологии, реанимации и интенсивной терапии для больных хирургического профиля №1, доцент кафедры анестезиологии и реаниматологии им. В.Л. Ваневского
Россия, 195015, г. Санкт-Петербург, Кирочная ул., 41Галина Николаевна Васильева
ФГБОУ ВО «Северо-Западный государственный медицинский университет им. И.И. Мечникова»
Email: G.Vasileva@szgmu.ru
доцент кафедры анестезиологии и реаниматологии им. В.Л. Ваневского
Россия, 195015, г. Санкт-Петербург, Кирочная ул., 41Полина Александровна Гриб
ФГБОУ ВО «Северо-Западный государственный медицинский университет им. И.И. Мечникова»
Email: pgrib@yandex.ru
ORCID iD: 0000-0001-5979-048X
врач анестезиолог-реанмиатолог
Россия, 195015, г. Санкт-Петербург, Кирочная ул., 41Земфира Ахияровна Даутова
ФГБОУ ВО «Северо-Западный государственный медицинский университет им. И.И. Мечникова»
Email: zemfira.dautova@szgmu.ru
д.м.н., зам. главного врача клиник по МПЦ, руководитель офтальмологических клиник
Россия, 195015, г. Санкт-Петербург, Кирочная ул., 41Алексей Евгеньевич Карелов
ФГБОУ ВО «Северо-Западный государственный медицинский университет им. И.И. Мечникова»
Email: Aleksei.Karelov@szgmu.ru
ORCID iD: 0000-0003-4401-1599
д.м.н., профессор кафедры анестезиологии и реаниматологии им. В.Л. Ваневского, руководитель цента анестезиологии
Россия, 195015, г. Санкт-Петербург, Кирочная ул., 41Елена Владимировна Клюшникова
ФГБОУ ВО «Северо-Западный государственный медицинский университет им. И.И. Мечникова»
Email: Elena.Klyushnikova@szgmu.ru
к.м.н., зав. офтальмологической клиники №1
Россия, 195015, г. Санкт-Петербург, Кирочная ул., 41Анатолий Викторович Кононов
ФГБОУ ВО «Северо-Западный государственный медицинский университет им. И.И. Мечникова»
Email: Anatolii.Kononov@szgmu.ru
врач офтальмолог
Россия, 195015, г. Санкт-Петербург, Кирочная ул., 41Список литературы
- Turnbull CS. The hydrochlorate of cocaine, a judicious opinion of its merits. Med Surg Rep. 1884;29:628-629.
- Mohamed S, Claes C, Tsang CW. Review of small gauge vitrectomy: progress and innovations. J Ophthalmol. 2017;2017:6285869. https://doi.org/10.1155/2017/6285869.
- Коваленко Ю.Ф., Линник Л.Ф., Коврижных Н.А., и др. Оценка эффективности регионарных вегетативных блокад в офтальмохирургии // Офтальмохирургия. − 1991. − № 1. – С. 49–58. [Kovalenko YuF, Linnik LF, Kovrizhnykh NA, et al. Otsenka effektivnosti regionarnykh vegetativnykh blokad v oftal’mokhirurgii. Ophthalmosurgery. 1991;(1):49-58. (In Russ.)]
- Kumar CM. Needle-based blocks for the 21st century ophthalmology. Acta Ophthalmol. 2011;89(1):5-9. https://doi.org/10.1111/j.1755-3768.2009.01837.x.
- Ghali AM, El Btarny AM. The effect on outcome of peribulbar anaesthesia in conjunction with general anesthesia for vitreoretinal surgery. Anaesthesia. 2010;65(3):249-253. https://doi.org/10.1111/j.1365-2044.2009.06191.x.
- Пушина О.Н., Прокопьев М.А., Николайчук Н.К., и др. Экономические факторы выбора анестезии при витреоретинальных операциях // Современные технологии в офтальмологии. − 2015. − № 2. – С. 176−177. [Pushina ON, Prokopyev MA, Nikolaychuk NK, et al. Ekonomicheskie faktory vybora anestezii pri vitreoretinal’nykh operatsiyakh. Sovremennye tekhnologii v oftal’mologii. 2015;(2):176-177. (In Russ.)]
- Марова Н.Г., Васильев Я.И., Клюшникова Е.В., и др. Местная анестезия при витреоретинальных операциях // Регионарная анестезия и лечение острой боли. − 2018. – Т. 12. − № 1. – С. 24–29. [Marova NG, Vasilyev YaI, Klyushnikova EV, et al. Local anesthesia for vitreoretinal surgery. Regional anesthesia and acute pain management. 2018;12(1):24-29. (In Russ.)]. https://doi.org/10.188.21/1993-6508-2018-12-1-24-29.
- Марова Н.Г., Кононов А.В., Клюшникова Е.В., Васильев Я.И. Методика продленной субтеноновой анестезии // Известия Российской военно-медицинской академии. – 2018. – Т. 37. – № 2. – С. 71−74. [Marovа NG, Kononov AV, Klyushnikova EV, Vasil’ev YaI. The technique is extended Sub-Tenon anesthesia. Izvestia Russian Military Medical Academy. 2018;37(2):71-74. (In Russ.)]. https://journals.eco-vector.com/RMMArep/article/view/14194.
- Behndig A. Sub-Tenon’s anesthesia with a retained catheter in ocular surgery of longer duration. J Cataract Refract Surg. 1998;24(10):1307-1309. https://doi.org/10.1016/ s0886-3350(98)80219-8.
- Jonas JB, Hemmerling TM, Sauder G. Retrobulbar catheter anesthesia as a routine technique for retinal and vitreoretinal surgery. Ophthalmic Surg Lasers Imaging. 2006;37(3):258-260.
- Патент РФ на изобретение RU № 158102U1. Марова Н.Г. Сборно-разборное устройство для проведения субтеноновой анестезии. [Patent RUS No 158102U1. Marova N.G. Sborno-razbornoe ustrojstvo dlya provedeniya subtenonovoj anestezii. (In Russ.)]. Доступно по: https://yandex.ru/patents/doc/RU158102U1_20151220. Ссылка активна на 13.04.2019.
- Celiker H, Karabas L, Sahin O. A comparison of topical or retrobulbar anesthesia for 23-gauge posterior vitrectomy. J Ophthalmol. 2014;2014:237028. https://doi.org/10.1155/2014/237028.
- Mete A, Saygılı O, Kimyon S, et al. Comparison of pain experience during 23-G vitreo-retinal surgery under topical and retrobulbar anesthesia. Int Ophthalmol. 2017;37(2):349-356. https://doi.org/10.1007/s10792-016-0268-6.
- Theocharis IP, Alexandridou A, Tomic Z. A two-year prospective study comparing lidocaine 2% jelly versus peribulbar anaesthesia for 25G and 23G sutureless vitrectomy. Graefes Arch Clin Exp Ophthalmol. 2007;245(9):1253-1258. https://doi.org/10.1007/s00417-007-0556-y.
- Sharma T, Gopal L, Parikh S, et al. Parabulbar anesthesia for primary vitreoretinal surgery. Ophthalmology. 1997;104(3):425-428. https://doi.org/10.1016/s0161-6420(97)30297-8.
- Ghali AM, Shabana AM, El Btarny AM. The effect of low-dose dexmedetomidine as an adjuvant to levobupivacaine in patients undergoing vitreo-retinal surgery under Sub-Tenon’s block anesthesia. Anesth Analg. 2015;121(5):1378-1382. https://doi.org/10.1213/ANE.0000000000000908.
- Abouammoh MA, Abdelhalim AA, Mohamed EA, et al. Subtenon block combined with general anesthesia for vitreoretinal surgery improves postoperative analgesia in adult: a randomized controlled trial. J Clin Anesth. 2016;30:78-86. https://doi.org/10.1016/j.jclinane.2015.11.013.
- Гаджимурадов К.Н., Хагвердиев Ф.Т. Обеспечение безопасности пациентов при витреоретинальных операциях // Вестник проблем биологии и медицины. − 2015. – Т. 2. − № 3. – С. 17−22. [Gadzhimuradov KN, Khagverdiyev FT. Obespecheniye bezopasnosti patsiyentov pri vitreoretinalnykh operatsiyakh. Vicnik problem biologii i meditsini. 2015;2(3):17-22. (In Russ.)]
- Loriga B, Di Filippo A, Tofani L, et al. Postoperative pain after vitreo-retinal surgery is influenced by duration of surgery and anaesthesia conduction. Minerva Anestesiol. 2019;85(7):731-737. https://doi.org/10.23736/S0375-9393.18.13078-1.
- Farmery AD, Shlugman D, Rahman R, Rosen P. Sub-Tenon’s block reduces both intraoperative and postoperative analgesia requirement in vitreo-retinal surgery under general anaesthesia. Eur J Anaesthesiol. 2003;20(12):973-978. https://doi.org/10.1017/s0265021503001571.
- Calenda E, Muraine M, Quintyn JC, Brasseur G. Sub-Tenon infiltration or classical analgesic drugs to relieve postoperative pain. Clin Exp Ophthalmol. 2004;32(2):154-158. https://doi.org/10.1111/j.1442-9071.2004.00793.x.
- Licina A, Sidhu S, Xie J, Wan C. Local versus general anaesthesia for adults undergoing pars plana vitrectomy surgery. Cochrane Database Syst Rev. 2016;9:CD009936. https://doi.org/10.1002/14651858.CD009936.pub2.
Дополнительные файлы







