The characteristic of acid melts which formed tephra of pleistocene-holocene eruptions of Ichinsky Volcano, Kamchatka (Results of melt inclusions study)
- Authors: Tolstykh M.L.1, Pevzner M.M.2, Naumov V.B.1, Babansky A.D.3
 - 
							Affiliations: 
							
- Vernadsky Institute of Geochemistry and Analytical Chemistry of the Russian Academy of Sciences (GEOKHI RAS)
 - Geological Institute of the Russian Academy of Sciences (GIN RAS)
 - Institute of Geology of Ore Deposits, Petrography, Mineralogy and Geochemistry of the Russian Academy of Sciences (IGEM RAS)
 
 - Issue: Vol 64, No 3 (2019)
 - Pages: 237-262
 - Section: Articles
 - URL: https://journals.eco-vector.com/0016-7525/article/view/11600
 - DOI: https://doi.org/10.31857/S0016-7525643237-262
 - ID: 11600
 
Cite item
Full Text
Abstract
This paper presents the results of a study of melt inclusions in plagioclase, amphibole and pyroxene from Ichinsky volcano’s tephras of different age. Two types of melts have been identified, distinguished by different concentrations of potassium (K2O). Major and trace elements’ composition of these melts indicates that magma mixing was the dominating process in the Ichinsky magmatic system.
Keywords
Full Text
Срединный хребет – крупнейшая вулкано-тектоническая структура Камчатки – состоит из мел-палеогенового метаморфического массива и вулканического пояса, сформировавшегося в неоген-четвертичное время. Начальный этап вулканизма, представленный породами с типично островодужными геохимическими характеристиками, по мнению большинства исследователей, был обусловлен субдукцией Тихоокеанской плиты, когда активный желоб располагался на 200 км западнее современного (Авдейко и др., 2006; Константиновская, 1999; Волынец, 1993; Lander, Shapiro, 2007; Volynets, 1994; Volynets et al., 2010 и др.).
В позднем миоцене-плиоцене в результате аккреции Кроноцкой дуги субдукция под Срединный хребет была заблокирована (Шапиро, Соловьев, 2009; Lander, Shapiro, 2007 и др.). В хребте начался новый «постсубдукционный» этап вулканизма, характеризующийся так называемым гибридным геохимическим типом пород (Volynets et al., 2010). В разных частях хребта возраст появления пород этого этапа значительно отличается: в северной части это начало четвертичного времени (Певзнер и др., 2009; Volynets et al., 2010), в южной – поздний миоцен (Певзнер и др., 2017). В настоящее время сейсмофокальная зона под вулканом Ичинским не прослеживается (Davaille, Lees, 2004; Gorbatov et al., 1997, 2000).
Имеющиеся данные по геохимии и геодинамике района свидетельствуют о невозможности однозначной интерпретации причин возникновения и существования до настоящего времени в Срединном хребте «постсубдукционной» вулканической активности (Авдейко и др., 2002, 2006; Перепелов и др., 2006; Плечов, 2008; Churikova et al., 2001; Tatsumi et al., 1995; Volynets et al., 2010 и др.).
До недавнего времени Срединный хребет рассматривали даже как зону потухшего вулканизма, а единственным действующим вулканом считался Ичинский (Действующие…, 1991). Однако в последние годы в процессе проведения тефрохронологических работ и радиоуглеродного датирования был установлен голоценовый возраст извержений для многочисленных вулканических центров, как в южной, так и в северной частях хребта, а стратовулканы Ичинский и Хангар признаны действующими и потенциально опасными (Базанова, Певзнер, 2001; Дирксен, 2009; Певзнер, 2004, 2015).
Таким образом, изучение вулканизма «постсубдукционного» этапа представляется исключительно важным. Целью данной работы является изучение составов породообразующих расплавов, формировавших тефру на различных этапах эволюции вулкана Ичинского, а также выявление возможных процессов петрогенезиса, реализовавшихся в переделах данной вулканической структуры.
ГЕОЛОГИЧЕСКАЯ ХАРАКТЕРИСТИКА
Вулкан Ичинский (55°68’ с.ш., 157°73’ в.д., 3607 м) – крупнейшая вершина Срединного хребта Камчатки – представляет собой сложнопостроенный вулканический массив типа Сомма-Везувий. Согласно (Волынец и др., 1991) диаметр основания массива составляет 22–25 км, площадь 350 км2, а объем видимой части постройки около 400 км3. Внутри вершинной кальдеры (размер 5×3 км, площадь по бровке около 12 км2) расположены два слившихся своими основаниями андезитовых лавовых купола, которые и являются высшими точками вулкана, поднимаясь на 2500–2700 м над подножием. В настоящее время вулкан признан действующим и потенциально опасным (Певзнер, 2004, 2015).
Считается (Волынец и др., 1991), что цоколем современной постройки служит раннеплейстоценовый Древне-Ичинский базальт-андезитовый вулкан, а формирование собственно Ичинского вулкана началось в среднем плейстоцене с роста экструзивного купола дацитового состава. В конце среднего плейстоцена в результате крупного (возможно, кальдерообразующего) извержения были образованы протяженные лавовые моноклинали дацитов и толщи спекшихся туфов того же состава. Вулканизм позднего плейстоцена связан главным образом с деятельностью существенно андезитового стратовулкана, проявлявшейся преимущественно в эффузивной активности. На завершающей стадии его деятельности была образована вершинная кальдера. По-видимому, именно с формированием этой кальдеры связаны значительные объемы пемз дацитового состава, зафиксированные нами главным образом в северо-западном секторе подножия вулкана.
Голоценовый этап ативности Ичинского вулкана подробно рассмотрен в (Певзнер, 2015). Отложения представлены в основном тефрой и пирокластическими волнами, реже лавами и пирокластическим потоком типа block-and-ash flow. По составу породы отвечают андезитам и дацитам умеренно-калиевой известково-щелочной серии, обладают умеренной магнезиальностью. На подножии вулкана также были образованы крупные моногенные центры – Северный и Южный Черпук. Продукты их извержений сформировали обширные лавовые поля, а пирокластика фиксируется во всех разрезах склонов и подножия вулкана на расстоянии до 50 км. Эруптивная деятельность Ичинского вулкана в голоцене проявляется в виде двух периодов активности: ранне- и позднеголоценового, разделенных периодом покоя около 2.5 тыс. лет (далее везде округленный календарный возраст).
На завершающей стадии раннеголоценового этапа (около 7.5 тыс. лет назад, далее л.н.) зафиксирован максимальный всплеск эруптивной активности, когда последовательно извергались Южный Черпук, Северный Черпук и сам Ичинский вулкан. Суммарный объем этого «строенного» извержения составил не менее 8 км3, причем объем извержения собственно Ичинского вулкана оценивается минимум в 3.5 км3.
Позднеголоценовый этап начался около 5 тыс. л.н. Наиболее сильными были извержения, зафиксированные около 5 и 4 тыс. л.н., их тефра прослеживается на расстоянии более 20 км, а также последнее извержение Ичинского вулкана – мощный лавовый поток, излившийся на юго-юго-западном склоне соммы около 500 л.н.
Изучение Ичинского вулкана было начато более полувека назад. Работы касались изучения типов и последовательности образования пород (Волынец и др., 1991; Маренина, 1962; Огородов, 1960; Патока и др., 1976), определению возраста извержений (Певзнер, 2004, 2015; Pevzner et al., 2004), а также анализу геохимических особенностей вулканитов и определению источников магмогенерации (Churikova et al., 2001; Volynets et al., 2010). Данные по составу расплавных включений опубликованы лишь в одной статье (Добрецов и др., 2016).
В настоящей публикации представлены результаты исследования образцов тефры извержений центрального аппарата, характеризующих три последовательных этапа активизации Ичинского вулкана:
- Позднеплейстоценовый этап, образование вершинной кальдеры.
 - Раннеголоценовый этап, завершающее извержение (7.5 тыс. л.н.).
 
III. Позднеголоценовый этап, начальное (5 тыс. л.н.) и следующее за ним извержение (4 тыс. л.н.).
ПЕТРОГРАФИЯ И МИНЕРАЛОГИЯ
Для исследования включений были выбраны образцы тефры (пемза размерности лапилли и крупного гравия), отвечающих извержениям позднеплейстоценового, ранне- и позднеголоценового этапов активности Ичинского вулкана (табл. 1–3). Образцы представляют собой пемзу дацитового состава светло-серого или палевого цвета. Вкрапленники представлены плагиоклазом, амфиболом, слюдами, пироксеном и рудными минералами. Количество вкрапленников в пемзах разных этапов несколько различается.
Таблица 1. Образцы тефры Ичинского вулкана, изученные в данной работе
№ образца  | Возраст извержения  | Этапы эруптивной активности  | GPS-координаты  | 
208/1  | Поздний плейстоцен  | I. Кальдерообразующее извержение  | C 55°43'22.9" В 157° 40'03.8" Высота, м 1650  | 
157/1  | Поздний плейстоцен  | То же  | C 55°45.243" В 157°47.315"  | 
116/2  | 7500  | II. Завершение раннеголоценового периода активизации стратовулкана. Извержение Ичинского вулкана сразу после образования моногенных центров Черпука – Южного и Северного  | C 55°38'677" В 157°39'791" Высота, м 1800  | 
235/1  | 7500  | То же  | C 55°38'23.34" В 157°39'23.14" Высота, м 1420  | 
210/1  | 5000  | III. Начальная серия крупных извержений позднеголоценового периода активизации стратовулкана  | C 55°46'05.1" В 157°42'41.4" Высота, м 1401  | 
107/2  | 5000  | То же  | C 55°46'37.487" В 157°42'41.4" Высота, м 1401  | 
218/1  | 4000  | III. Последующие извержения позднеголоценового периода активизации стратовулкана  | C 55°44'01.9" В 157°36'30.9" Высота, м 1450  | 
Примечания. Возраст округленный календарный, лет назад (л.н.).
Таблица 2. Содержание петрогенных (мас.%) и микроэлементов (ppm) в изученных образцах тефры вулкана Ичинский
Компо- нент  | 107/2  | 116/2  | 157/1  | 208/1  | 210/1  | 235/1  | 218/1  | 
SiO2  | 65.54  | 65.90  | 66.68  | 66.00  | 65.70  | 63.78  | 67.65  | 
TiO2  | 0.59  | 0.55  | 0.54  | 0.50  | 0.61  | 0.65  | 0.63  | 
Al2O3  | 15.44  | 15.50  | 15.5  | 16.00  | 15.4  | 16.02  | 15.52  | 
Fe2O3  | 5.64  | 5.10  | 4.73  | 4.20  | 5.89  | 5.78  | 4.20  | 
MnO  | 0.10  | 0.09  | 0.091  | 0.10  | 0.11  | 0.11  | 0.10  | 
MgO  | 1.72  | 1.71  | 1.48  | 1.30  | 1.68  | 2.12  | 1.10  | 
CaO  | 3.55  | 3.65  | 3.34  | 3.40  | 3.45  | 4.46  | 3.10  | 
Na2O  | 4.17  | 4.19  | 4.12  | 4.50  | 3.98  | 4.14  | 4.15  | 
K2O  | 2.90  | 2.93  | 3.15  | 3.10  | 2.90  | 2.56  | 3.32  | 
P2O5  | 0.18  | 0.19  | 0.19  | 0.20  | 0.15  | 0.23  | н.о.  | 
Сумма  | 99.80  | 99.84  | 99.82  | 99.84  | 99.80  | 99.80  | 99.80  | 
Cr  | 12  | 20  | 16  | 18  | 23  | 13  | н.о.  | 
V  | 98  | 92  | 88  | 78  | 112  | 113  | н.о.  | 
Co  | 11  | 15  | 10  | 11  | 16  | 15  | н.о.  | 
Ni  | 19  | 21  | 15  | 11  | 18  | 18  | н.о.  | 
Cu  | 31  | 30  | 39  | 35  | 36  | 43  | н.о.  | 
Zn  | 64  | 63  | 63  | 59  | 67  | 74  | н.о.  | 
Rb  | 55  | 56  | 62  | 60  | 55  | 49  | н.о.  | 
Sr  | 302  | 316  | 307  | 321  | 300  | 361  | н.о.  | 
Zr  | 230  | 219  | 218  | 218  | 228  | 209  | н.о.  | 
Ba  | 798  | 782  | 865  | 826  | 778  | 726  | н.о.  | 
U  | <5  | <5  | <5  | <5  | <5  | <5  | н.о.  | 
Th  | 5  | 7  | 9  | <5  | 5  | 5  | н.о.  | 
Y  | 18  | 16  | 16  | 18  | 17  | 23  | н.о.  | 
Nb  | 13  | 12  | 13  | 13  | 13  | 12  | н.о.  | 
Pb  | 8  | 11  | 16  | 12  | 9  | 10  | н.о.  | 
Примечания. н.о. — элементы не определялись.
Таблица 3. Содержание редких элементов (ppm) в изученных породах вулкана Ичинский
Элемент  | 107/2  | 116/2  | 157/1  | 208/1  | 210/1  | 
Li  | 21.6  | 20.8  | 20.1  | 20.1  | 21.8  | 
Be  | 1.6  | 1.7  | 1.7  | 1.6  | 1.7  | 
Sc  | 11.2  | 10.5  | 9.3  | 8.5  | 10.7  | 
V  | 92.3  | 89.7  | 78.5  | 68.4  | 97.5  | 
Cr  | 16.8  | 18.6  | 14.3  | 8.1  | 20.7  | 
Co  | 10.1  | 9.8  | 8.8  | 7.0  | 11.7  | 
Ni  | 16.2  | 17.5  | 12.8  | 8.9  | 16.1  | 
Cu  | 29.8  | 27.6  | 35.5  | 35.9  | 33.3  | 
Zn  | 46.5  | 43.4  | 43.5  | 42.7  | 49.8  | 
Ga  | 15.8  | 15.7  | 15.4  | 16.1  | 15.6  | 
Rb  | 55.0  | 55.7  | 59.8  | 61.7  | 55.4  | 
Sr  | 335  | 353  | 337  | 371  | 331  | 
Y  | 16.7  | 16.5  | 16.0  | 17.1  | 16.2  | 
Zr  | 154  | 134  | 151  | 178  | 157  | 
Nb  | 9.2  | 8.9  | 9.3  | 9.3  | 8.9  | 
Mo  | 4.0  | 4.1  | 3.8  | 3.6  | 4.0  | 
Sn  | 1.8  | 1.9  | 1.5  | 1.8  | 1.9  | 
Sb  | 0.6  | 0.6  | 0.5  | 0.6  | 0.6  | 
Cs  | 1.3  | 1.3  | 1.5  | 1.5  | 1.3  | 
Ba  | 793  | 808  | 845  | 866  | 767  | 
La  | 17.7  | 15.7  | 19.3  | 18.4  | 17.2  | 
Ce  | 39.1  | 41.3  | 41.2  | 42.3  | 39.6  | 
Pr  | 4.4  | 4.6  | 4.6  | 4.7  | 4.2  | 
Nd  | 17.3  | 18.0  | 18.1  | 18.4  | 16.6  | 
Sm  | 3.5  | 3.5  | 3.4  | 3.6  | 3.3  | 
Eu  | 0.9  | 0.9  | 0.9  | 0.9  | 0.9  | 
Gd  | 3.1  | 3.1  | 3.0  | 3.2  | 2.9  | 
Tb  | 0.5  | 0.5  | 0.5  | 0.5  | 0.4  | 
Dy  | 3.0  | 2.9  | 2.8  | 3.0  | 2.9  | 
Ho  | 0.6  | 0.57  | 0.54  | 0.58  | 0.5  | 
Er  | 1.8  | 1.7  | 1.7  | 1.8  | 1.7  | 
Tm  | 0.2  | 0.2  | 0.2  | 0.2  | 0.2  | 
Yb  | 1.8  | 1.8  | 1.7  | 1.9  | 1.8  | 
Lu  | 0.3  | 0.27  | 0.27  | 0.29  | 0.3  | 
Hf  | 3.8  | 3.5  | 3.8  | 4.3  | 3.9  | 
Ta  | 0.7  | 0.6  | 0.7  | 0.7  | 0.7  | 
W  | 0.7  | 0.7  | 0.7  | 0.9  | 0.7  | 
Tl  | 0.3  | 0.3  | 0.3  | 0.3  | 0.3  | 
Pb  | 9.9  | 9.7  | 10.1  | 10.7  | 9.9  | 
Bi  | 0.14  | 0.11  | 0.13  | 0.12  | 0.13  | 
Th  | 4.7  | 4.6  | 4.8  | 4.8  | 4.6  | 
U  | 1.9  | 1.9  | 2.0  | 2.0  | 1.9  | 
I этап. Поздний плейстоцен, образование вершинной кальдеры. Породы порфировые, пористая основная масса обладает выраженной флюидальностью. Вкрапленники составляют около 40 об.%. Во вкрапленниках преобладает плагиоклаз (около 70%) нескольких генераций: крупные удлиненные вкрапленники без отчетливой зональности, со следами резорбции,состав которых соответствует An 64-55; и крупные, и среднеразмерные вкрапленники 1000–300 мкм, без резорбции, некоторые с полисинтетическим двойникованием, состав An 40-30 (табл. 4). Иногда реликты основного плагиоклаза оказываются в оторочке более кислого, образуя одно зерно. Плагиоклаз в виде кристаллических включений встречается во всех минералах вкрапленников (кроме пироксенов и рудных минералов), состав этих включений обычно соответствует An 30-44, причем более основной плагиоклаз распространен в виде включений в амфиболах.
Таблица 4. Представительные анализы плагиоклазов в тефре вулкана Ичинский
Компо-нент  | 1  | 2  | 3  | 4  | 5  | 6  | 7  | 8  | 9  | 10  | 11  | 
SiO2  | 56.27  | 59.5  | 50.85  | 59.12  | 60.67  | 59.53  | 56.58  | 55.23  | 60.79  | 56.88  | 52.81  | 
TiO2  | 0.04  | 0.00  | 0.06  | 0.04  | 0.02  | 0.00  | 0.01  | 0.05  | 0.04  | 0.05  | 0.12  | 
Al2O3  | 28.97  | 25.62  | 32.21  | 26.42  | 25.12  | 25.44  | 27.13  | 28.59  | 24.51  | 26.83  | 29.25  | 
FeO  | 0.14  | 0.31  | 0.41  | 0.41  | 0.24  | 0.27  | 0.36  | 0.43  | 0.24  | 0.58  | 0.54  | 
MnO  | 0.00  | 0.00  | 0.00  | 0.02  | 0.05  | 0.03  | 0.00  | 0.08  | 0.02  | 0.00  | 0.04  | 
MgO  | 0.02  | 0.02  | 0.03  | 0.03  | 0.02  | 0.04  | 0.04  | 0.05  | 0.02  | 0.05  | 0.05  | 
CaO  | 9.42  | 6.19  | 13.25  | 6.86  | 6.48  | 6.9  | 9.82  | 10.65  | 6.23  | 9.24  | 11.96  | 
Na2O  | 5.89  | 7.39  | 3.90  | 7.06  | 7.40  | 7.25  | 6.07  | 5.22  | 7.59  | 6.14  | 4.54  | 
K2O  | 0.33  | 0.68  | 0.18  | 0.56  | 0.56  | 0.55  | 0.27  | 0.14  | 0.76  | 0.39  | 0.15  | 
Сумма  | 101.08  | 99.68  | 100.82  | 100.52  | 100.56  | 99.99  | 100.28  | 100.44  | 100.207  | 100.15  | 99.46  | 
An  | 46  | 30  | 65  | 34  | 31  | 33  | 46  | 53  | 30  | 44  | 59  | 
Этап  | I  | II  | III  | ||||||||
Примечания. 1, 2, 7, 10 – центральные части незональных вкрапленников; 3, 4 – фрагменты одного и того же зерна; 5, 6 – центр и край вкрапленника; 8, 9 – фрагменты одного зерна; 11 – кристаллическое включение в пироксене.
В заметно меньших количествах во вкрапленниках представлены амфибол, биотит и гидробиотит, пироксены, титаномагнетит (табл. 5–9). Амфибол образует вкрапленники двух генераций: редкие крупные изометричные зерна (табл. 6, анализ 3) и таблитчатые кристаллы с небольшим удлинением (табл. 5, анализы 1, 2). Обе генерации амфибола имеют сходную магнезиальность (#Mg 0.6–0.7). Главное их различие — в содержаниях Al2O3 (5–10 мас.%). Наиболее глиноземистые амфиболы встречаются в виде кристаллических включений в крупных зернах титаномагнетита.
Таблица 5. Представительные анализы слюд в тефре вулкана Ичинский
Компонент  | 1  | 2  | 3  | 4  | 6  | 7  | 8  | 9  | 10  | 
SiO2  | 36.22  | 36.25  | 36.25  | 36.22  | 35.53  | 37.97  | 37.48  | 37.87  | 37.79  | 
TiO2  | 4.81  | 4.64  | 4.68  | 4.81  | 4.71  | 5.04  | 4.67  | 5.03  | 5.58  | 
Al2O3  | 13.50  | 13.53  | 13.51  | 13.50  | 13.04  | 15.83  | 13.91  | 15.08  | 12.38  | 
FeO  | 14.50  | 14.17  | 13.99  | 14.50  | 12.96  | 13.09  | 13.71  | 13.78  | 14.54  | 
MnO  | 0.29  | 0.23  | 0.29  | 0.29  | 0.26  | 0.18  | 0.21  | 0.17  | 0.26  | 
MgO  | 14.12  | 14.02  | 14.48  | 14.12  | 15.47  | 14.61  | 15.34  | 14.53  | 14.87  | 
CaO  | 0.06  | 0.22  | 0.18  | 0.06  | 0.03  | 0.43  | 0.08  | 0.34  | 0.03  | 
Na2O  | 0.52  | 0.49  | 0.49  | 0.52  | 0.55  | 0.30  | 0.67  | 0.35  | 0.78  | 
K2O  | 8.08  | 6.73  | 6.88  | 8.08  | 7.64  | 4.44  | 8.11  | 4.86  | 8.93  | 
F  | 0.30  | 0.32  | 0.30  | 0.30  | 0.39  | 0.30  | 0.28  | 0.27  | 0.03  | 
Cl  | 0.06  | 0.08  | 0.09  | 0.06  | 0.06  | 0.06  | 0.08  | 0.03  | 0.73  | 
Сумма  | 92.33  | 90.69  | 91.14  | 92.45  | 90.64  | 92.25  | 94.54  | 92.31  | 95.91  | 
Этап  | I  | II  | III  | ||||||
Таблица 6. Представительные анализы амфиболов в тефре вулкана Ичинский
Компонент  | 1  | 2  | 3  | 4  | 5  | 6  | 7  | 8  | 9  | 
SiO2  | 43.44  | 47.13  | 43.44  | 49.67  | 46.34  | 48.22  | 48.07  | 47.57  | 46.09  | 
TiO2  | 2.74  | 1.54  | 2.74  | 1.35  | 2.13  | 1.39  | 1.58  | 1.72  | 2.04  | 
Al2O3  | 9.73  | 6.38  | 9.73  | 5.51  | 8.11  | 5.85  | 6.23  | 6.72  | 7.96  | 
FeO  | 12.10  | 11.95  | 12.1  | 11.30  | 12.78  | 11.54  | 12.04  | 10.66  | 11.37  | 
MnO  | 0.38  | 0.50  | 0.38  | 0.55  | 0.66  | 0.62  | 0.54  | 0.34  | 0.50  | 
MgO  | 14.24  | 15.38  | 14.24  | 17.01  | 14.47  | 16.28  | 15.22  | 16.50  | 15.77  | 
CaO  | 11.23  | 11.13  | 11.23  | 11.10  | 11.27  | 11.21  | 9.42  | 11.02  | 11.15  | 
Na2O  | 1.91  | 1.38  | 1.91  | 1.21  | 1.62  | 1.40  | 1.46  | 1.47  | 1.63  | 
K2O  | 0.68  | 0.47  | 0.68  | 0.34  | 0.56  | 0.41  | 0.44  | 0.51  | 0.52  | 
F  | 0.02  | 0.15  | 0.02  | 0.89  | 0.16  | 0.16  | 0.32  | 0.00  | 0.02  | 
Cl  | 0.05  | 0.04  | 0.05  | 0.04  | 0.07  | 0.39  | 0.03  | 0.01  | 0.03  | 
Сумма  | 96.52  | 96.05  | 96.50  | 98.97  | 98.17  | 97.47  | 95.35  | 96.52  | 97.08  | 
AlIV  | 0.5  | 0.7  | 1.2  | 0.7  | 0.9  | 0.7  | 0.6  | 0.7  | 0.9  | 
Этап  | I  | II  | III  | ||||||
Примечания. 1, 2 – центр и край крупного вкрапленника; 3–6 – центры среднеразмерных вкрапленников; 7 – часть срастания с плагиоклазом; 8, 9 – центр и край крупного вкрапленника. AlIV – алюминий в четверной координации.
Таблица 7. Представительные анализы пироксенов в тефре вулкана Ичинский
Компонент  | 1  | 2  | 3  | 4  | 5  | 6  | 7  | 8  | 9  | 10  | 
SiO2  | 54.27  | 52.40  | 53.50  | 53.88  | 52.60  | 53.38  | 54.47  | 52.41  | 54.47  | 52.74  | 
TiO2  | 0.32  | 0.62  | 0.23  | 0.11  | 0.28  | 0.48  | 0.19  | 0.39  | 0.19  | 0.16  | 
Al2O3  | 1.85  | 2.12  | 0.41  | 0.34  | 3.41  | 1.29  | 0.66  | 1.59  | 0.66  | 0.53  | 
FeO  | 15.20  | 8.23  | 21.15  | 19.83  | 7.81  | 19.05  | 14.99  | 8.57  | 14.99  | 20.78  | 
MnO  | 0.49  | 0.35  | 1.59  | 1.57  | 0.47  | 0.82  | 0.58  | 0.27  | 0.58  | 1.80  | 
MgO  | 27.16  | 15.29  | 22.85  | 24.18  | 12.99  | 24.64  | 27.67  | 15.47  | 27.67  | 22.62  | 
CaO  | 1.54  | 20.78  | 0.66  | 0.70  | 21.11  | 1.39  | 1.35  | 20.53  | 1.35  | 0.84  | 
Na2O  | 0.03  | 0.49  | 0.04  | 0.04  | 0.67  | 0.06  | 0.03  | 0.33  | 0.03  | 0.01  | 
K2O  | 0.01  | 0.00  | 0.01  | 0.01  | 0.07  | 0.00  | 0.01  | 0.03  | 0.01  | 0.02  | 
Сумма  | 100.88  | 100.27  | 100.43  | 0.23  | 99.41  | 101.11  | 99.95  | 99.58  | 99.95  | 99.50  | 
Fs  | 23  | 13  | 34  | 31  | 13  | 29  | 23  | 14  | 23  | 33  | 
En  | 74  | 44  | 65  | 68  | 40  | 68  | 75  | 44  | 75  | 65  | 
Di  | 3  | 43  | 1  | 1  | 47  | 3  | 3  | 42  | 3  | 2  | 
Этап  | I  | II  | III  | |||||||
Таблица 8. Содержание редких элементов (ppm) и H2O (мас.%) в темноцветных минералах тефры вулкана Ичинский (этап I)
Элемент  | 1  | 2  | 3  | 4  | 
Li  | 14.35  | 22.19  | 3.53  | 3.03  | 
Be  | 0.46  | 0.56  | 0.95  | 1.30  | 
B  | 0.64  | 0.72  | 0.27  | 0.41  | 
K  | 77158  | 62892  | 7808  | 8792  | 
Cr  | 160.04  | 184.48  | 144.32  | 140.92  | 
V  | 465.78  | 540.81  | 229.70  | 285.85  | 
Cu  | 472.48  | 569.70  | 109.83  | 162.81  | 
Rb  | 180.52  | 186.55  | 13.97  | 13.59  | 
Sr  | 34.68  | 57.10  | 34.50  | 45.21  | 
Y  | 2.20  | 3.32  | 138.95  | 212.30  | 
Zr  | 9.70  | 11.04  | 51.28  | 76.25  | 
Nb  | 49.38  | 55.84  | 18.72  | 27.36  | 
Ba  | 8686  | 8447  | 59.35  | 128.48  | 
La  | 10.28  | 14.62  | 21.75  | 28.84  | 
Ce  | 7.16  | 11.41  | 92.42  | 122.14  | 
Nd  | 2.85  | 4.54  | 93.28  | 139.41  | 
Sm  | 0.77  | 1.02  | 26.70  | 41.02  | 
Eu  | 3.66  | 3.98  | 3.96  | 5.41  | 
Gd  | 0.37  | 0.17  | 28.57  | 50.16  | 
Dy  | 1.15  | 1.28  | 24.60  | 43.91  | 
Er  | 0.09  | 0.11  | 15.46  | 23.97  | 
Yb  | 0.63  | 0.68  | 14.50  | 22.47  | 
Hf  | 2.60  | 2.99  | 7.27  | 11.04  | 
Ta  | 3.77  | 4.20  | 2.93  | 4.21  | 
Pb  | 14.96  | 6.02  | 1.15  | 1.60  | 
Th  | 0.01  | 0.00  | 0.07  | 0.11  | 
U  | 0.05  | 0.13  | 0.06  | 0.04  | 
Ti  | 44096  | 42587  | 8390  | 11818  | 
H2O  | 5.60  | 6.07  | 1.27  | 1.27  | 
Примечания. 1, 2 – слюды; 3, 4 – амфиболы.
Таблица 9. Представительные анализы рудных минералов в тефре вулкана Ичинский
Компо-нент  | 1  | 2  | 3  | 4  | 5  | 6  | 7  | 
SiO2  | 0.07  | 0.03  | 0.06  | 0.09  | 0.09  | 0.11  | 0.11  | 
TiO2  | 5.86  | 7.11  | 0.49  | 8.86  | 9.5  | 9.87  | 5.88  | 
Al2O3  | 1.68  | 2.13  | 0.01  | 2.02  | 1.89  | 1.98  | 1.48  | 
FeO  | 79.58  | 79.42  | 75.18  | 78.33  | 77.52  | 76.91  | 80.83  | 
MnO  | 0.66  | 0.53  | 0.01  | 0.56  | 0.51  | 0.51  | 0.68  | 
MgO  | 1.24  | 1.96  | 0.00  | 1.64  | 1.62  | 1.71  | 1.32  | 
CaO  | 0.01  | 0.00  | 0.01  | 0.00  | 0.00  | 0.04  | 0.01  | 
Na2O  | 0.00  | 0.00  | 0.00  | 0.03  | 0.01  | 0.05  | 0.01  | 
K2O  | 0.01  | 0.01  | 0  | 0.01  | 0  | 0.00  | 0.00  | 
S  | -  | -  | 20.35  | -  | -  | -  | -  | 
Сумма  | 89.09  | 91.17  | 96.11  | 91.51  | 91.14  | 91.17  | 90.3  | 
Этап  | I  | II  | III  | ||||
Примечания. 1, 2 – фрагменты Px-Mt срастания; 3, 4 – кристаллическое включение (3) и минерал-хозяин (4); 5–7 – кристаллические включения в амфиболе и ортопироксене (6).
Разные генерации других темноцветных выделить не представляется возможным. Клинопироксен встречается лишь в качестве кристаллических включений в ортопироксене. Микрозондовые анализы слюд (табл. 8) часто демонстрируют низкие значения сумм; вероятнее всего, это связано с преобразованием биотита в гидробиотит с замещением калия гидроксил-группами. Часто крупные зерна темноцветных минералов и плагиоклаза образуют гломеропорфировые сростки.
По петрографическим особенностям пород можно предположить вероятность магматического смешения как одного из породообразующих процессов; в качестве маркера одного из агентов смешения выступает парагенезис основной плагиоклаз ± пироксен + амфибол,в качестве второго – более кислый плагиоклаз + амфибол + слюда.
II этап. Ранний голоцен, извержение 7.5 тыс. лет назад. Порода порфировая, вспененная с пористой флюидальной основной массой; во вкрапленниках преобладает плагиоклаз нескольких генераций: изометричные крупные зерна более 3 мм, некоторые с полисинтетическими двойниками An 40-46 (табл. 4) и среднеразмерные вкрапленники (до 1 мм) с удлинением 1:3, практически не зональные An 30-35. Плагиоклаз 1 генерации встречается очень редко.
Зерна слюд (табл. 5) составляют около 10% вкрапленников. Это либо редкие мегавкрапленники от 3 мм в диаметре, либо среднеразмерные удлиненные зерна (1–2 мм) с большим количеством кристаллических включений рудного минерала. Так же в подчиненных количествах в породе присутствуют вкрапленники амфибола и пироксена (табл. 6, 7). В амфиболе возможно присутствие кристаллических включений плагиоклаза An 43 и ортопироксена. Состав амфиболов относительно стабилен; магнезиальность составляет 0.7, содержания глинозема 5.5–8 мас.%.
Таким образом, представляется возможным последовательная кристаллизация, начавшаяся с выделения плагиоклаза с последующим постадийным присоединением темноцветных фаз.
III этап. Поздний голоцен, извержение 5 тыс. л.н. Порода порфировая, вспененная среднепористая основная масса практически без проявлений флюидальности. Во вкрапленниках (табл. 4–9), которые составляют примерно 40 об. % породы, преобладает плагиоклаз нескольких генераций: крупные изометричные вкрапленники (до 3–4 мм) со сложной рекуррентной зональностью, иногда с полисинтетическим двойникованием, часто округлые по краям An 40-60, и серийнопорфировые (до 1 мм) удлиненные, лейстовидные An 45-35. Примечательно, что в плагиоклазах An 50 встречаются кристаллические включения An 38-43.
Заметное количество вкрапленников составляют крупные округлые зерна ортопироксена, зачастую с кристаллическими включениями амфибола и плагиоклаза An 56-57. Крупные вкрапленники амфибола также содержат кристаллические включения рудного минерала и плагиоклаза An 45. Состав амфибола сходен с таковым в тефрах второго этапа. Слюды (биотит и гидробиотит) слагают сильноудлиненные вкрапленники размером до 800 мкм, в которых встречаются кристаллические включения плагиоклаза An 43.
Эта порода также демонстрирует сложную неоднонаправленную историю, в которой, возможно, фиксируется магматическое смешение, точнее инъекция более высокотемпературного расплава, чем и объясняется обратная зональность крупных зерен плагиоклаза и кристаллические включения более кислых плагиоклазов в более основных.
III этап. Поздний голоцен, извержение 4 тыс. л.н. Порода порфировая, вспененная, с хорошо проявленной флюидальностью. Во вкрапленниках (табл. 4–9), преобладает плагиоклаз:серийнопорфировые вкрапленники An 34-25, редко в ядерных частях вкрапленников фиксируется An 44. Также во вкрапленниках распространен амфибол в виде незональных удлиненных вкрапленников размером до 2 мм. Состав амфибола практически идентичен амфиболам II этапа (#Mg 0.6–0.7, Al2O3 5–7 мас. %)
Кроме того, встречаются слюды в виде удлиненных зерен до 3 мм с большим количеством включений рудного минерала и пироксена, а также ортопироксен в виде округлых слабоудлиненных вкрапленников (табл. 5–8). Клинопироксен образует только редкие кристаллические включения в амфиболе.
В табл. 10 приведены составы стекол основной массы. Для пород I этапа характерен больший диапазон составов стекол; в одном из образцов стекла основной массы отличаются меньшими содержаниями SiO2 (около 70 мас.%), повышенными содержаниями железа, магния и кальция относительно расплавов включений в минералах пород этого же этапа. Для пород II и III этапов описаны стекла основной массы более кислого состава.
Таблица 10. Представительные анализы стекол основной массы в тефре вулкана Ичинский
Компонент  | 1  | 2  | 3  | 4  | 5  | 6  | 7  | 8  | 
SiO2  | 73.33  | 74.57  | 74.60  | 75.47  | 76.76  | 76.49  | 76.20  | 77.61  | 
TiO2  | 0.48  | 0.33  | 0.38  | 0.22  | 0.21  | 0.26  | 0.19  | 0.20  | 
Al2O3  | 13.38  | 13.20  | 13.43  | 12.30  | 12.10  | 12.79  | 12.48  | 12.83  | 
FeO  | 1.83  | 0.78  | 0.80  | 0.84  | 0.81  | 1.11  | 0.87  | 0.84  | 
MnO  | 0.06  | 0.04  | 0.03  | 0.04  | 0.05  | 0.05  | 0.06  | 0.00  | 
MgO  | 0.16  | 0.06  | 0.08  | 0.11  | 0.12  | 0.14  | 0.12  | 0.12  | 
CaO  | 0.71  | 0.51  | 0.67  | 0.74  | 0.69  | 0.79  | 0.63  | 0.65  | 
Na2O  | 3.83  | 3.77  | 4.01  | 3.08  | 1.41  | 2.12  | 1.43  | 1.76  | 
K2O  | 4.10  | 3.86  | 4.20  | 4.25  | 3.89  | 4.18  | 3.82  | 4.15  | 
P2O5  | 0.00  | 0.00  | 0.00  | 0.15  | 0.03  | 0.03  | 0.07  | 0.10  | 
SO3  | 0.00  | 0.00  | 0.00  | 0.02  | 0.03  | 0.00  | 0.01  | 0.02  | 
Cl  | 0.05  | 0.04  | 0.05  | 0.06  | 0.10  | 0.06  | 0.06  | 0.07  | 
F  | 0.00  | 0.00  | 0.00  | 0.00  | 0.00  | 0.13  | 0.00  | 0.02  | 
Сумма  | 97.92  | 97.16  | 98.25  | 97.28  | 96.20  | 98.15  | 95.94  | 98.36  | 
Этап  | I  | II  | III  | |||||
МЕТОДИКА И РЕЗУЛЬТАТЫ ИССЛЕДОВАНИЙ
Для проведения термобарогеохимических исследований мы использовали пирокластический материал (гравий и лапилли пемзы). Образцы отбирались из горизонтов погребенной тефры, вскрытых в разрезах почвенно-пирокластического чехла на подножии вулкана Ичинского. Определение возраста извержений (горизонтов тефр) проводилось с помощью тефрохронологического метода (Брайцева и др., 1978) и радиоуглеродного датирования. Датирование выполнено в Лаборатории геохимии изотопов и геохронологии ГИН РАН. Валовой состав пород анализировался методом РФА в Лаборатории анализа минерального вещества (ИГЕМ РАН) и ICP-MS в Лаборатории ядерно-физических и масс-спектральных методов анализа, (Институт проблем технологии микроэлектроники и особо чистых материалов РАН, Черноголовка).
Химический состав минеральных фаз определялся на микроанализаторах Сamecа SX-100 (ГЕОХИ РАН) и Jeol JXA 8200 (ИГЕМ РАН), концентрации элементов-примесей и летучих компонентов измерялись методом вторично-ионной масс-спектрометрии на ионном микроанализаторе CamecaIMS-4f (Центр коллективного пользования «Диагностика микро- и макроструктур», г. Ярославль) по методике, детально описанной в работах (Соболев, 1996; Portnyagin et al., 2002).
В ходе работы были изучены стекловатые включения в минералах тефры четырех крупных извержений Ичинского вулкана согласно процедуре, описанной в (Толстых и др., 2015). Природнозакаленные стекла герметичных расплавных включений диаметром более 10 мкм в минералах-вкрапленниках пирокластических пород выводились на поверхность и анализировались на микроанализаторах Сamecа SX-100 и Jeol JXA 8200 при параметрах 15–30 nA, 15 кВ.
Подобно многим кислым стеклам, стекла расплавных включений отличаются неустойчивостью к воздействию электронного пучка микроанализатора (Nielsen, Sigurdsson, 1981 и др.). Концентрации легких элементов (в частности, натрия) занижаются, а концентрации SiO2 несколько завышаются.В таблицах приведены составы только тех расплавных включений, которые анализировались растром не менее 5 мкм. Для введения необходимых поправок в нескольких крупных включениях (более 30 мкм в диаметре) стекол с разным дефицитом суммы (92–94 и 95–97 мас.%) были проведены измерения зависимости изменения содержаний Na2O, SiO2 и Al2O3 от времени накопления сигнала и диаметра электронного пучка. В результате были получены коэффициенты для коррекции содержаний натрия и кремнезема в стеклах включений различного размера. Данные по составам стекол расплавных включений приведены в табл. 11.
Таблица 11. Химические составы стекол расплавных включений в минералах вулкана Ичинский
N включения  | SiO2  | TiO2  | Al2O3  | FeO  | MnO  | MgO  | CaO  | Na2O*  | K2O  | P2O5  | Cl  | F  | Сумма  | Мин**  | Растр, мкм  | 
N включения  | SiO2  | TiO2  | Al2O3  | FeO  | MnO  | MgO  | CaO  | Na2O*  | K2O  | P2O5  | Cl  | F  | Сумма  | Мин**  | Растр, мкм  | 
Образец 208/1, I этап  | |||||||||||||||
1  | 68.48  | 0.32  | 14.47  | 1.38  | 0.08  | 0.40  | 1.22  | 2.24  | 3.94  | 0.03  | 0.07  | 0.09  | 92.72  | An 42  | 10х10  | 
2  | 68.61  | 0.32  | 13.96  | 1.50  | 0.07  | 0.42  | 1.05  | 3.16  | 4.10  | 0.03  | 0.07  | -  | 93.29  | An 42  | 5х5  | 
3  | 68.87  | 0.31  | 14.60  | 1.41  | 0.09  | 0.23  | 1.37  | 3.74  | 3.85  | 0.02  | 0.08  | 0.01  | 94.58  | An 42  | 5х5  | 
4  | 69.42  | 0.19  | 14.23  | 0.78  | 0.03  | 0.19  | 1.37  | 2.98  | 3.58  | 0.07  | 0.01  | 0.12  | 92.73  | Amph  | 20х20  | 
5  | 69.69  | 0.27  | 13.82  | 1.54  | 0.04  | 0.23  | 1.09  | 3.20  | 3.80  | 0.03  | 0.07  | 0.00  | 93.78  | Pl  | 5х5  | 
6  | 70.06  | 0.26  | 13.34  | 1.33  | 0.11  | 0.24  | 0.95  | 3.02  | 4.36  | 0.09  | 0.07  | 0.02  | 93.85  | Amph  | 15х15  | 
7  | 70.26  | 0.37  | 14.87  | 1.56  | 0.04  | 0.27  | 1.35  | 3.94  | 4.01  | 0.01  | 0.05  | 0.02  | 96.75  | Amph  | 5х5  | 
8  | 70.84  | 0.24  | 12.90  | 1.20  | 0.09  | 0.25  | 0.99  | 2.98  | 3.84  | 0.38  | 0.00  | 0.05  | 93.76  | An 46  | 5х5  | 
9  | 70.86  | 0.25  | 13.46  | 1.14  | 0.02  | 0.32  | 0.80  | 3.76  | 3.86  | 0.43  | 0.02  | 0.07  | 94.99  | Bt  | 10х10  | 
10  | 71.17  | 0.27  | 12.17  | 0.84  | 0.12  | 0.19  | 0.69  | 2.92  | 4.24  | 0.01  | 0.09  | 0.00  | 92.71  | Pl  | 5х5  | 
11  | 71.25  | 0.17  | 13.59  | 0.66  | 0.02  | 0.17  | 0.74  | 2.76  | 3.94  | 0.01  | 0.07  | 0.03  | 93.41  | An 35  | 5х5  | 
12  | 71.27  | 0.26  | 12.91  | 1.17  | 0.03  | 0.30  | 0.88  | 3.04  | 3.91  | 0.40  | 0.35  | 0.09  | 94.61  | An 46  | 30х30  | 
13  | 71.35  | 0.19  | 13.18  | 0.90  | 0.06  | 0.13  | 1.39  | 2.56  | 3.99  | 0.51  | 0.07  | 0.26  | 94.59  | Bt  | 5х5  | 
14  | 71.38  | 0.29  | 14.55  | 1.50  | 0.05  | 0.46  | 1.04  | 3.60  | 4.21  | 0.01  | 0.08  | 0.17  | 97.34  | An 42  | 20х20  | 
15  | 71.40  | 0.22  | 12.51  | 0.83  | 0.05  | 0.14  | 0.81  | 4.27  | 4.31  | 0.01  | 0.12  | 0.00  | 94.67  | Pl  | 10х10  | 
16  | 71.41  | 0.28  | 13.58  | 1.41  | 0.04  | 0.20  | 0.98  | 3.02  | 4.22  | 0.02  | 0.05  | 0.11  | 95.32  | Pl  | 5х5  | 
17  | 71.44  | 0.20  | 12.10  | 1.02  | 0.00  | 0.14  | 0.77  | 4.42  | 4.33  | 0.01  | 0.08  | 0.00  | 94.51  | Pl  | 5х5  | 
18  | 72.07  | 0.25  | 13.14  | 1.27  | 0.03  | 0.27  | 0.97  | 3.21  | 3.77  | 0.31  | 0.00  | 0.06  | 95.35  | An 37  | 10х10  | 
19  | 72.15  | 0.41  | 15.13  | 1.63  | 0.07  | 0.29  | 1.42  | 4.01  | 3.98  | 0.02  | 0.06  | 0.00  | 99.01  | Mt  | 30х30  | 
20  | 72.24  | 0.18  | 12.82  | 0.81  | 0.02  | 0.09  | 0.60  | 3.24  | 4.24  | 0.03  | 0.05  | 0.06  | 94.38  | Bt  | 5х5  | 
21  | 72.29  | 0.18  | 11.68  | 0.86  | 0.06  | 0.23  | 0.41  | 3.43  | 4.23  | 0.31  | 0.00  | 0.10  | 93.78  | Pl  | 20х20  | 
22  | 72.46  | 0.14  | 12.15  | 0.75  | 0.03  | 0.09  | 0.68  | 3.06  | 4.02  | 0.31  | 0.11  | 0.11  | 93.91  | Pl  | 5х5  | 
23  | 72.76  | 0.18  | 12.29  | 0.90  | 0.05  | 0.13  | 0.79  | 4.76  | 4.15  | 0.01  | 0.09  | 0.00  | 96.11  | Pl  | 5х5  | 
24  | 72.84  | 0.20  | 13.03  | 0.85  | 0.04  | 0.13  | 0.71  | 3.54  | 4.01  | 0.01  | 0.06  | 0.00  | 95.42  | Bt  | 5х5  | 
25  | 72.98  | 0.26  | 13.02  | 0.92  | 0.05  | 0.12  | 0.71  | 3.54  | 4.22  | 0.00  | 0.08  | 0.00  | 95.9  | Bt  | 5х5  | 
26  | 72.99  | 0.18  | 12.78  | 0.87  | 0.06  | 0.17  | 0.59  | 3.20  | 4.18  | 0.00  | 0.03  | 0.00  | 95.05  | An 37  | 5х5  | 
27  | 73.12  | 0.18  | 12.15  | 0.87  | 0.04  | 0.12  | 0.54  | 3.81  | 3.93  | 0.30  | 0.00  | 0.07  | 95.13  | Amph  | 5х5  | 
28  | 73.28  | 0.12  | 12.00  | 0.73  | 0.02  | 0.13  | 0.66  | 3.94  | 4.03  | 0.28  | 0.00  | 0.07  | 95.26  | An 31  | 5х5  | 
29  | 73.36  | 0.19  | 11.85  | 0.92  | 0.12  | 0.16  | 0.52  | 3.26  | 3.83  | 0.39  | 0.01  | 0.06  | 94.67  | Bt  | 15х15  | 
30  | 73.38  | 0.28  | 14.34  | 1.50  | 0.05  | 0.26  | 1.06  | 4.41  | 4.18  | 0.04  | 0.06  | 0.07  | 99.73  | Pl  | 5х5  | 
31  | 73.40  | 0.13  | 11.72  | 0.63  | 0.01  | 0.09  | 0.74  | 4.45  | 4.31  | 0.03  | 0.09  | 0.00  | 95.6  | Pl  | 5х5  | 
32  | 73.50  | 0.19  | 13.32  | 0.80  | 0.04  | 0.15  | 0.56  | 3.61  | 4.54  | 0.00  | 0.06  | 0.04  | 96.81  | An 37  | 20х20  | 
33  | 73.50  | 0.18  | 11.70  | 0.73  | 0.05  | 0.16  | 0.66  | 3.98  | 3.96  | 0.30  | 0.09  | 0.08  | 95.39  | Pl  | 30х30  | 
34  | 73.72  | 0.17  | 11.50  | 0.97  | 0.10  | 0.20  | 0.46  | 3.79  | 3.84  | 0.26  | 0.29  | 0.10  | 95.4  | Pl  | 30х30  | 
35  | 73.73  | 0.18  | 12.70  | 0.76  | 0.10  | 0.18  | 0.49  | 3.41  | 4.27  | 0.01  | 0.09  | 0.00  | 95.92  | An 37  | 5х5  | 
36  | 73.76  | 0.15  | 12.03  | 1.01  | 0.08  | 0.13  | 0.61  | 3.67  | 4.15  | 0.36  | 0.00  | 0.06  | 96.01  | Amph  | 10х10  | 
37  | 73.86  | 0.17  | 11.83  | 0.76  | 0.08  | 0.14  | 0.34  | 3.46  | 4.12  | 0.06  | 0.07  | 0.05  | 94.94  | An 38  | 5х5  | 
38  | 74.11  | 0.16  | 11.06  | 0.72  | 0.01  | 0.12  | 0.43  | 4.33  | 4.46  | 0.00  | 0.09  | 0.00  | 95.49  | Pl  | 5х5  | 
39  | 74.23  | 0.16  | 11.14  | 0.75  | 0.04  | 0.15  | 0.41  | 3.08  | 4.04  | 0.36  | 0.00  | 0.06  | 94.42  | Pl  | 10х10  | 
40  | 74.28  | 0.11  | 11.40  | 0.72  | 0.01  | 0.10  | 0.67  | 3.29  | 3.88  | 0.31  | 0.16  | 0.08  | 94.99  | Pl  | 40х40  | 
41  | 74.32  | 0.20  | 13.40  | 0.78  | 0.08  | 0.17  | 0.59  | 3.98  | 4.52  | 0.05  | 0.02  | -  | 98.11  | An 37  | 5х5  | 
42  | 74.37  | 0.10  | 10.79  | 0.74  | 0.04  | 0.15  | 0.40  | 4.13  | 4.41  | 0.02  | 0.08  | 0.00  | 95.23  | Pl  | 5х5  | 
43  | 74.57  | 0.18  | 11.31  | 0.79  | 0.03  | 0.15  | 0.42  | 2.33  | 4.03  | 0.34  | 0.02  | 0.06  | 94.23  | Pl  | 20х20  | 
44  | 74.75  | 0.13  | 10.95  | 0.75  | 0.08  | 0.13  | 0.42  | 3.02  | 3.91  | 0.01  | 0.08  | 0.01  | 94.24  | Pl  | 5х5  | 
45  | 75.04  | 0.19  | 11.23  | 0.70  | 0.08  | 0.14  | 0.40  | 3.53  | 4.17  | 0.00  | 0.08  | 0.00  | 95.56  | Pl  | 5х5  | 
46  | 75.07  | 0.12  | 10.84  | 0.78  | 0.01  | 0.10  | 0.40  | 3.92  | 4.38  | 0.00  | 0.06  | 0.00  | 95.68  | Pl  | 5х5  | 
47  | 75.23  | 0.20  | 11.09  | 0.78  | 0.01  | 0.13  | 0.52  | 3.15  | 4.19  | 0.26  | 0.13  | 0.04  | 95.73  | Amph  | 5х5  | 
48  | 75.43  | 0.15  | 11.29  | 0.84  | 0.13  | 0.12  | 0.41  | 3.09  | 4.42  | 0.02  | 0.08  | 0.00  | 95.98  | Amph  | 5х5  | 
49  | 75.49  | 0.19  | 10.82  | 0.71  | 0.01  | 0.12  | 0.36  | 3.27  | 4.47  | 0.01  | 0.10  | 0.00  | 95.55  | Amph  | 5х5  | 
50  | 75.74  | 0.23  | 11.75  | 0.98  | 0.04  | 0.15  | 0.70  | 2.96  | 4.24  | 0.25  | 0.01  | 0.10  | 97.15  | Bt  | 10х10  | 
Образец 235/1, II этап  | |||||||||||||||
51  | 73.34  | 0.22  | 12.56  | 1.51  | 0.07  | 0.15  | 0.89  | 3.03  | 4.17  | 0.17  | 0.04  | 0.00  | 96.14  | Amph  | 5х5  | 
52  | 73.81  | 0.17  | 12.29  | 1.05  | 0.08  | 0.24  | 0.85  | 3.32  | 3.96  | 0.22  | 0.07  | 0.14  | 96.22  | Amph  | 5х5  | 
53  | 74.06  | 0.16  | 12.14  | 0.81  | 0.06  | 0.17  | 0.88  | 3.91  | 4.07  | 0.21  | 0.10  | 0.11  | 96.68  | An 40  | 10х10  | 
54  | 74.15  | 0.19  | 11.61  | 0.78  | 0.02  | 0.17  | 0.92  | 2.08  | 3.70  | 0.16  | 0.04  | 0.03  | 93.87  | An 40  | 10х10  | 
55  | 74.61  | 0.23  | 12.42  | 1.20  | 0.05  | 0.28  | 0.80  | 3.41  | 4.18  | 0.21  | 0.09  | 0.00  | 97.34  | Amph  | 5х5  | 
56  | 77.99  | 0.18  | 11.48  | 0.79  | 0.05  | 0.19  | 0.40  | 3.73  | 4.31  | 0.26  | 0.06  | 0.00  | 99.43  | An 40  | 5х5  | 
Образец 157/1, I этап  | |||||||||||||||
57  | 73.10  | 0.15  | 12.86  | 1.15  | 0.07  | 0.30  | 0.92  | 3.81  | 4.05  | 0.16  | 0.11  | 0.00  | 96.70  | Amph  | 5х5  | 
58  | 74.34  | 0.29  | 13.17  | 0.89  | 0.07  | 0.26  | 0.64  | 4.29  | 4.54  | 0.19  | 0.10  | 0.09  | 98.89  | Amph  | 5х5  | 
59  | 75.75  | 0.37  | 13.49  | 0.98  | 0.05  | 0.22  | 0.73  | 3.13  | 4.22  | 0.13  | 0.08  | 0.00  | 99.14  | Amph  | 10х10  | 
60  | 76.99  | 0.21  | 10.81  | 0.50  | 0.03  | 0.14  | 0.59  | 3.03  | 4.38  | 0.17  | 0.04  | 0.09  | 97.00  | Amph  | 5х5  | 
Образец 116/1, II этап  | |||||||||||||||
61  | 72.45  | 0.26  | 12.54  | 1.75  | 0.12  | 1.32  | 1.82  | 3.40  | 3.88  | 0.16  | 0.07  | 0.00  | 97.77  | Amph  | 5х5  | 
62  | 72.50  | 0.24  | 12.62  | 1.12  | 0.00  | 0.12  | 0.99  | 3.70  | 3.97  | 0.05  | 0.09  | 0.00  | 95.4  | Amph  | 5х5  | 
63  | 72.92  | 0.33  | 12.81  | 0.86  | 0.00  | 0.18  | 0.74  | 3.60  | 4.02  | 0.15  | 0.11  | 0.10  | 95.82  | An 28  | 5х5  | 
64  | 73.35  | 0.31  | 12.82  | 0.74  | 0.06  | 0.16  | 0.73  | 3.62  | 3.81  | 0.10  | 0.07  | 0.22  | 95.99  | An 35  | 15х15  | 
65  | 73.63  | 0.23  | 12.67  | 0.66  | 0.02  | 0.17  | 0.65  | 3.3  | 3.79  | 0.17  | 0.08  | 0.16  | 95.55  | An 32  | 15х15  | 
66  | 73.64  | 0.25  | 12.61  | 1.03  | 0.07  | 0.16  | 0.66  | 3.80  | 3.87  | 0.09  | 0.05  | 0.20  | 96.43  | Bt  | 5х5  | 
67  | 73.98  | 0.17  | 12.64  | 0.97  | 0.01  | 0.13  | 0.81  | 3.60  | 4.02  | 0.02  | 0.07  | 0.00  | 96.42  | Amph  | 5х5  | 
68  | 74.37  | 0.27  | 12.62  | 0.74  | 0.06  | 0.14  | 0.75  | 3.90  | 4.03  | 0.13  | 0.08  | 0.00  | 97.09  | An 28  | 5х5  | 
69  | 74.40  | 0.16  | 12.75  | 0.76  | 0.01  | 0.18  | 0.48  | 3.90  | 4.20  | 0.17  | 0.08  | 0.00  | 97.09  | An 35  | 5х5  | 
70  | 74.49  | 0.17  | 12.69  | 0.78  | 0.03  | 0.17  | 0.69  | 4.10  | 4.08  | 0.12  | 0.08  | 0.00  | 97.4  | An 37  | 5х5  | 
71  | 74.67  | 0.26  | 13.96  | 0.98  | 0.05  | 0.19  | 0.87  | 3.70  | 4.48  | 0.10  | 0.06  | 0.00  | 99.32  | Amph  | 5х5  | 
72  | 74.80  | 0.12  | 12.18  | 0.78  | 0.05  | 0.20  | 0.52  | 3.80  | 4.06  | 0.13  | 0.09  | 0.00  | 96.73  | An 37  | 5х5  | 
73  | 74.84  | 0.24  | 12.98  | 0.82  | 0.05  | 0.15  | 0.77  | 3.80  | 4.14  | 0.13  | 0.07  | 0.00  | 97.99  | An 37  | 5х5  | 
74  | 74.93  | 0.18  | 12.52  | 0.95  | 0.04  | 0.15  | 0.76  | 3.50  | 4.30  | 0  | 0.07  | 0.03  | 97.42  | Amph  | 5х5  | 
75  | 75.57  | 0.19  | 12.38  | 0.94  | 0.06  | 0.13  | 0.79  | 3.36  | 4.35  | 0.09  | 0.08  | 0.00  | 97.94  | Amph  | 5х5  | 
76  | 76.18  | 0.27  | 12.68  | 1.45  | 0.03  | 0.16  | 0.83  | 3.19  | 4.20  | 0.07  | 0.07  | 0.15  | 99.28  | Mt  | 5х5  | 
77  | 76.57  | 0.14  | 12.36  | 1.33  | 0.01  | 0.12  | 0.59  | 3.30  | 4.32  | 0.03  | 0.06  | 0.02  | 98.85  | Mt  | 5х5  | 
78  | 76.86  | 0.22  | 13.00  | 0.95  | 0.03  | 0.16  | 0.71  | 3.42  | 4.18  | 0.09  | 0.08  | 0.05  | 99.75  | Bt  | 10х10  | 
79  | 76.87  | 0.23  | 12.70  | 1.10  | 0.04  | 0.14  | 0.77  | 3.00  | 4.09  | 0.18  | 0.06  | 0.00  | 99.18  | Amph  | 5х5  | 
Образец 210/1, III этап  | |||||||||||||||
80  | 73.37  | 0.16  | 12.06  | 0.88  | 0.05  | 0.13  | 0.65  | 3.96  | 4.36  | 0.00  | 0.07  | 0.00  | 95.69  | Amph  | 5х5  | 
81  | 74.54  | 0.25  | 11.82  | 0.72  | 0.07  | 0.13  | 0.44  | 3.98  | 4.24  | 0.11  | 0.08  | 0.00  | 96.38  | An 44  | 5х5  | 
82  | 75.28  | 0.23  | 12.64  | 1.01  | 0.02  | 0.14  | 0.56  | 3.75  | 4.18  | 0.01  | 0.03  | 0.04  | 97.89  | Bt  | 5х5  | 
83  | 75.40  | 0.17  | 12.43  | 0.99  | 0.07  | 0.14  | 0.57  | 3.20  | 4.24  | 0.13  | 0.07  | 0.12  | 97.00  | Bt  | 12х12  | 
84  | 75.45  | 0.31  | 11.81  | 0.88  | 0.06  | 0.19  | 0.45  | 3.43  | 4.22  | 0.09  | 0.08  | 0.00  | 96.97  | An 48  | 5х5  | 
85  | 76.01  | 0.28  | 11.52  | 0.83  | 0.04  | 0.16  | 0.42  | 3.20  | 4.24  | 0.04  | 0.06  | 0.04  | 95.84  | An 44  | 5х5  | 
86  | 76.12  | 0.20  | 12.77  | 1.00  | 0.06  | 0.16  | 0.80  | 3.23  | 4.32  | 0.06  | 0.07  | 0.19  | 98.98  | Amph  | 5х5  | 
87  | 76.17  | 0.24  | 11.52  | 0.85  | 0.06  | 0.17  | 0.40  | 3.28  | 4.21  | 0.14  | 0.09  | 0.19  | 97.32  | An 48  | 5х5  | 
88  | 76.38  | 0.21  | 12.78  | 0.89  | 0.05  | 0.14  | 0.72  | 3.14  | 3.91  | 0.00  | 0.03  | 0.00  | 98.25  | Bt  | 12х12  | 
89  | 76.78  | 0.27  | 11.59  | 0.87  | 0.02  | 0.23  | 0.42  | 3.31  | 4.40  | 0.09  | 0.05  | 0.00  | 98.03  | An 48  | 5х5  | 
Образец 218/1, III этап  | |||||||||||||||
90  | 71.69  | 0.21  | 11.63  | 1.07  | 0.07  | 0.15  | 0.76  | 3.49  | 4.59  | 0.00  | 0.06  | 0.00  | 93.72  | Amph  | 5х5  | 
91  | 72.57  | 0.21  | 11.81  | 0.89  | 0.04  | 0.11  | 0.73  | 3.60  | 4.63  | 0.00  | 0.07  | 0.04  | 94.69  | Amph  | 5х5  | 
92  | 72.76  | 0.19  | 11.95  | 0.83  | 0.01  | 0.12  | 0.54  | 3.71  | 4.45  | 0.00  | 0.07  | 0.00  | 94.64  | An 37  | 5х5  | 
93  | 73.23  | 0.08  | 11.43  | 0.57  | 0.06  | 0.11  | 0.52  | 3.11  | 4.38  | 0.00  | 0.05  | 0.00  | 93.54  | An 37  | 5х5  | 
94  | 73.52  | 0.17  | 11.55  | 0.99  | 0.07  | 0.10  | 0.63  | 3.42  | 4.74  | 0.00  | 0.07  | 0.00  | 95.25  | Amph  | 5х5  | 
95  | 73.56  | 0.16  | 11.08  | 0.64  | 0.05  | 0.12  | 0.51  | 3.75  | 4.35  | 0.00  | 0.06  | 0.00  | 94.27  | An 42  | 5х5  | 
96  | 73.59  | 0.10  | 11.68  | 0.70  | 0.02  | 0.09  | 0.54  | 3.66  | 4.44  | 0.00  | 0.06  | 0.00  | 94.87  | An 37  | 5х5  | 
97  | 73.94  | 0.18  | 10.84  | 1.17  | 0.02  | 0.14  | 0.80  | 3.51  | 4.25  | 0.00  | 0.05  | 0.00  | 94.90  | Amph  | 5х5  | 
98  | 74.03  | 0.16  | 11.66  | 0.95  | 0.01  | 0.08  | 0.71  | 3.71  | 4.71  | 0.00  | 0.08  | 0.03  | 96.14  | Amph  | 5х5  | 
99  | 74.07  | 0.20  | 11.47  | 0.84  | 0.01  | 0.12  | 0.64  | 3.67  | 4.76  | 0.00  | 0.07  | 0.00  | 95.84  | Amph  | 5х5  | 
100  | 74.07  | 0.34  | 11.42  | 1.38  | 0.00  | 0.38  | 0.35  | 3.65  | 4.78  | 0.00  | 0.11  | 0.00  | 96.48  | An 42  | 5х5  | 
101  | 75.15  | 0.19  | 11.75  | 0.88  | 0.03  | 0.07  | 0.69  | 3.82  | 4.61  | 0.00  | 0.06  | 0.03  | 97.27  | Amph  | 5х5  | 
102  | 75.77  | 0.20  | 11.38  | 0.86  | 0.03  | 0.10  | 0.69  | 3.59  | 4.59  | 0.00  | 0.07  | 0.00  | 97.28  | Amph  | 5х5  | 
103  | 76.70  | 0.15  | 11.81  | 0.93  | 0.06  | 0.14  | 0.65  | 3.21  | 5.30  | 0.00  | 0.05  | 0.00  | 99.00  | Amph  | 5х5  | 
104  | 76.87  | 0.43  | 11.22  | 1.31  | 0.02  | 0.26  | 0.25  | 3.47  | 5.03  | 0.00  | 0.11  | 0.00  | 98.96  | An 42  | 5х5  | 
Образец 107/2, III этап  | |||||||||||||||
105  | 69.60  | 0.76  | 13.00  | 2.99  | 0.10  | 0.61  | 2.04  | 2.59  | 2.47  | 0.14  | 0.36  | 0.00  | 94.66  | Cpx  | 5х5  | 
106  | 70.27  | 0.46  | 13.47  | 1.98  | 0.05  | 0.42  | 1.96  | 3.77  | 2.58  | 0.13  | 0.27  | 0.00  | 95.36  | An 58  | 5х5  | 
107  | 70.29  | 0.44  | 13.68  | 2.05  | 0.09  | 0.27  | 2.00  | 3.75  | 2.29  | 0.06  | 0.28  | 0.00  | 95.2  | An 59  | 5х5  | 
108  | 70.35  | 1.05  | 14.84  | 2.15  | 0.08  | 0.61  | 2.59  | 3.88  | 2.46  | 0.54  | 0.38  | 0.22  | 99.15  | An 57  | 5х5  | 
109  | 70.67  | 0.54  | 13.24  | 2.12  | 0.02  | 0.47  | 1.82  | 3.57  | 2.45  | 0.04  | 0.26  | 0.03  | 95.23  | An 58  | 5х5  | 
110  | 70.87  | 0.52  | 12.79  | 2.08  | 0.01  | 0.46  | 1.87  | 3.67  | 2.53  | 0.14  | 0.27  | 0.00  | 95.21  | An 58  | 12х12  | 
111  | 71.76  | 0.28  | 12.02  | 0.99  | 0.05  | 0.14  | 0.85  | 3.40  | 3.80  | 0.05  | 0.06  | 0.00  | 93.4  | Bt  | 5х5  | 
112  | 72.02  | 0.41  | 12.68  | 2.20  | 0.04  | 0.37  | 1.99  | 4.20  | 2.18  | 0.15  | 0.00  | 0.16  | 96.4  | Opx  | 5х5  | 
113  | 72.23  | 0.32  | 13.14  | 2.24  | 0.04  | 0.40  | 1.61  | 4.20  | 2.62  | 0.10  | 0.10  | 0.17  | 97.17  | Opx  | 5х5  | 
114  | 72.77  | 0.25  | 13.08  | 2.42  | 0.10  | 0.37  | 1.50  | 4.19  | 2.55  | 0.33  | 0.16  | 0.23  | 97.95  | Opx  | 5х5  | 
115  | 72.26  | 0.44  | 13.11  | 2.33  | 0.11  | 0.40  | 1.72  | 3.79  | 2.08  | 0.18  | 0.00  | 0.15  | 96.57  | Opx  | 5х5  | 
116  | 72.77  | 0.25  | 13.08  | 2.42  | 0.10  | 0.37  | 1.50  | 4.19  | 2.55  | 0.13  | 0.23  | 0.16  | 97.75  | Opx  | 5х5  | 
117  | 73.01  | 0.21  | 11.96  | 0.84  | 0.02  | 0.16  | 0.61  | 3.11  | 3.83  | 0.02  | 0.07  | 0.20  | 94.04  | An 38  | 5х5  | 
118  | 73.10  | 0.17  | 12.43  | 0.83  | 0.03  | 0.13  | 0.64  | 3.20  | 4.12  | 0  | 0.11  | 0.11  | 94.9  | An 38  | 5х5  | 
119  | 73.13  | 0.16  | 12.47  | 1.11  | 0.09  | 0.22  | 0.98  | 2.37  | 3.56  | 0  | 0.08  | 0.00  | 94.19  | Amph  | 15х15  | 
120  | 73.20  | 0.25  | 12.54  | 2.38  | 0.06  | 0.30  | 1.44  | 4.25  | 2.50  | 0.11  | 0.18  | 0.20  | 97.41  | Opx  | 5х5  | 
121  | 73.53  | 0.42  | 12.65  | 1.70  | 0.05  | 0.44  | 1.46  | 3.28  | 2.40  | 0.05  | 0.23  | 0.00  | 96.21  | An 40  | 15х15  | 
122  | 73.63  | 0.18  | 12.27  | 0.77  | 0.06  | 0.13  | 0.80  | 2.84  | 3.63  | 0  | 0.05  | 0.02  | 94.39  | An 38  | 5х5  | 
123  | 73.66  | 0.17  | 12.16  | 0.47  | 0.02  | 0.16  | 0.69  | 2.78  | 3.39  | 0  | 0.05  | 0.05  | 93.63  | An 33  | 5х5  | 
124  | 73.76  | 0.49  | 11.88  | 2.29  | 0.09  | 0.53  | 1.16  | 3.82  | 2.50  | 0.00  | 0.28  | 0.07  | 96.87  | An 42  | 5х5  | 
125  | 73.93  | 0.39  | 13.61  | 2.24  | 0.08  | 0.30  | 1.69  | 3.02  | 2.47  | 0.02  | 0.21  | 0.13  | 98.09  | Cpx  | 5х5  | 
126  | 74.25  | 0.26  | 12.26  | 1.19  | 0.03  | 0.19  | 0.84  | 2.83  | 3.51  | 0.23  | 0.05  | 0.02  | 95.66  | Amph  | 5х5  | 
127  | 74.29  | 0.15  | 12.25  | 0.84  | 0.00  | 0.12  | 0.59  | 2.92  | 3.58  | 0.03  | 0.06  | 0.76  | 95.59  | An 38  | 5х5  | 
128  | 74.30  | 0.23  | 12.30  | 1.03  | 0.04  | 0.14  | 0.78  | 3.17  | 3.80  | 0  | 0.11  | 0.09  | 96  | Amph  | 5х5  | 
129  | 74.42  | 0.24  | 12.90  | 1.28  | 0.05  | 0.21  | 0.86  | 3.35  | 3.74  | 0.19  | 0.09  | 0.08  | 97.41  | Amph  | 5х5  | 
130  | 74.42  | 0.43  | 13.43  | 1.53  | 0.11  | 0.32  | 1.51  | 3.46  | 2.51  | 0.21  | 0.21  | 0.00  | 98.14  | An 42  | 5х5  | 
131  | 74.43  | 0.17  | 12.51  | 0.83  | 0.04  | 0.13  | 0.61  | 3.60  | 3.79  | 0.05  | 0.09  | 0.12  | 96.37  | An 38  | 5х5  | 
132  | 74.47  | 0.20  | 12.52  | 0.70  | 0.01  | 0.17  | 0.74  | 2.68  | 3.31  | 0.01  | 0.09  | 0.14  | 95.04  | An 33  | 5х5  | 
133  | 74.49  | 0.23  | 12.62  | 0.98  | 0.03  | 0.19  | 0.71  | 2.80  | 3.67  | 0.09  | 0.06  | 0.08  | 95.95  | Bt  | 5х5  | 
134  | 74.65  | 0.28  | 12.86  | 0.94  | 0.00  | 0.20  | 0.71  | 2.90  | 3.67  | 0.02  | 0.08  | 0.02  | 96.33  | An 32  | 5х5  | 
135  | 74.92  | 0.23  | 12.75  | 0.88  | 0.03  | 0.12  | 0.72  | 3.40  | 4.02  | 0.00  | 0.10  | 0.06  | 97.23  | Amph  | 5х5  | 
136  | 74.93  | 0.20  | 12.55  | 1.01  | 0.05  | 0.11  | 0.75  | 3.22  | 3.92  | 0.14  | 0.07  | 0.19  | 97.14  | Amph  | 5х5  | 
137  | 74.99  | 0.39  | 12.17  | 1.60  | 0.05  | 0.35  | 1.42  | 3.99  | 2.61  | 0  | 0.19  | 0.00  | 97.77  | An 33  | 5х5  | 
138  | 75.05  | 0.22  | 12.62  | 1.08  | 0.07  | 0.12  | 0.71  | 3.54  | 4.09  | 0.23  | 0.12  | 0.00  | 97.85  | Amph  | 5х5  | 
139  | 75.05  | 0.23  | 12.57  | 0.85  | 0.04  | 0.20  | 0.71  | 2.79  | 3.30  | 0.04  | 0.07  | 0.00  | 95.85  | An 31  | 5х5  | 
140  | 75.10  | 0.16  | 12.54  | 0.67  | 0.03  | 0.13  | 0.68  | 3.38  | 3.94  | 0  | 0.10  | 0.19  | 96.96  | An33  | 5х5  | 
141  | 75.14  | 0.18  | 11.47  | 0.86  | 0.07  | 0.19  | 0.43  | 3.14  | 3.95  | 0.03  | 0.12  | 0.20  | 95.78  | An 38  | 5х5  | 
142  | 75.15  | 0.14  | 12.31  | 0.71  | 0.02  | 0.13  | 0.65  | 3.45  | 4.01  | 0.06  | 0.07  | 0.00  | 96.7  | An 38  | 5х5  | 
143  | 75.27  | 0.25  | 13.06  | 0.94  | 0.06  | 0.12  | 0.74  | 3.09  | 3.79  | 0.03  | 0.08  | 0.00  | 97.43  | An 40  | 5х5  | 
144  | 75.31  | 0.23  | 12.72  | 0.85  | 0.08  | 0.11  | 0.72  | 2.92  | 3.48  | 0.07  | 0.08  | 0.20  | 96.77  | Amph  | 5х5  | 
145  | 75.52  | 0.18  | 13.02  | 0.92  | 0.00  | 0.20  | 0.72  | 3.61  | 3.98  | 0.08  | 0.06  | 0.00  | 98.29  | An 32  | 5х5  | 
146  | 75.56  | 0.37  | 13.75  | 2.12  | 0.08  | 0.29  | 1.65  | 2.45  | 2.59  | 0  | 0.16  | 0.07  | 99.08  | Cpx  | 5х5  | 
147  | 75.71  | 0.45  | 12.09  | 2.04  | 0.08  | 0.47  | 1.36  | 3.86  | 2.44  | 0.01  | 0.21  | 0.05  | 98.77  | An 42  | 5х5  | 
148  | 76.07  | 0.18  | 12.51  | 0.86  | 0.01  | 0.11  | 0.81  | 3.30  | 3.89  | 0.07  | 0.06  | 0.11  | 97.98  | Amph  | 5х5  | 
149  | 76.11  | 0.17  | 12.15  | 0.75  | 0.03  | 0.19  | 0.62  | 3.01  | 3.52  | 0.03  | 0.07  | 0.19  | 96.84  | An 39  | 5х5  | 
150  | 76.21  | 0.19  | 12.41  | 0.77  | 0.03  | 0.17  | 0.60  | 3.08  | 3.87  | 0  | 0.08  | 0.06  | 97.5  | An 39  | 5х5  | 
151  | 76.29  | 0.19  | 12.17  | 1.06  | 0.03  | 0.12  | 0.72  | 3.18  | 3.80  | 0.00  | 0.08  | 0.16  | 97.8  | Amph  | 5х5  | 
152  | 76.53  | 0.21  | 12.73  | 1.07  | 0.08  | 0.13  | 0.73  | 3.20  | 4.01  | 0.14  | 0.09  | 0.03  | 98.95  | Bt  | 5х5  | 
153  | 77.24  | 0.16  | 12.85  | 0.94  | 0.04  | 0.09  | 0.66  | 2.99  | 4.31  | 0.29  | 0.05  | 0.00  | 99.62  | Amph  | 5х5  | 
154  | 77.32  | 0.16  | 12.85  | 0.92  | 0.07  | 0.13  | 0.64  | 2.84  | 4.72  | 0.17  | 0.08  | 0.14  | 100.04  | Amph  | 5х5  | 
155  | 77.36  | 0.19  | 12.65  | 0.98  | 0.03  | 0.15  | 0.81  | 3.29  | 3.92  | 0.18  | 0.04  | 0.00  | 99.6  | Amph  | 5х5  | 
156  | 78.18  | 0.23  | 11.61  | 0.84  | 0.00  | 0.14  | 0.58  | 3.20  | 3.75  | 0  | 0.07  | 0.00  | 98.61  | Bt  | 5х5  | 
* — Значении даны с учетом поправки на потерю Na2O при микрозондовом анализе. ** Мин — минерал-хозяин: An — анортит, Amph — амфибол, Bt — биотит и гидробиотит, Cpx, Opx – клино- и ортопироксены, Mt — магнетит.
Петрохимически расплавы большинства включений в минералах разных этапов соответствуют трахидацитам, трахитам и трахириолитам, однако небольшая группа включений в пироксенах и плагиоклазах III этапа соответствует кислым составам нормальной щелочности (далее — низкокалиевые расплавы III этапа). Средние концентрации K2O соотносятся как 4.3 и 2.4 мас.% в нормальной и низкокалиевой разностях соответственно.
Диапазоны содержаний прочих петрогенных оксидов довольно широки, причем наиболее большой интервал по кремнекислотности отмечается в расплавах I и III этапов деятельности вулкана (SiO2 = 68–78 и 69–77 мас.% соответственно), поле расплавов II этапа более компактно (SiO2 = 72–78 мас.%). Соответственно изменяются и концентрации таких компонентов, как MgO (0.09–0.61 мас.% в I и III этапах, 0.12–0.23 мас.% во II этапе), а также Al2O3 (10.2–14.8 мас.% в I и III этапах, 11.8–12.8 мас.% в II этапе). Что же касается содержаний железа, титана, кальция, то тут достаточно четко выделяются низкокалиевые расплавы. Их характеризуют повышенные содержания FeO >2 мас.%, в то время как у остальных расплавов этот показатель укладывается в диапазон 0.5–1.7 мас.%. Различия в концентрациях титана не столь значительны, однако низкокалиевые расплавы отличаются более высокими значениями TiO2 и CaO (в среднем 0.5 и 1.6 мас.% соответственно) по сравнению с остальными (0.2 и 0.7 мас.% соответственно).
Содержание Na2O — самый проблематичный показатель в изучаемых стеклах, поскольку, как указывалось выше, структурные особенности природнозакаленных стекол способствуют потере Na2O при микрозондовом анализе. Значения, скорректированные при помощи коэффициента приведенные в таблицах, можно расценивать как полуколичественное определение. Однако даже при такой точности определения можно отметить, что средние значения содержаний Na2O в низкокалиевых расплавах выше, чем в расплавах с более высоким калием (3.4 и 4.1 мас.% соответственно).
Таким образом, среди стекол включений можно выделить две разности – высоко- и низкокалиевые расплавы. Причем низкокалиевые стекла встречаются лишь в одном парагенезисе одного образца III этапа деятельности вулкана Ичинский. Водонасыщенность стекол определялась в 19 включениях; в единичном включении в гидробиотите содержание воды доходит до 5.6 мас.%. Однако средние значения по содержаниям H2O очень схожи для всех трех этапов: 3.0, 3.5 и 3.7 мас.% соответственно для I, II и III этапов.
Концентрации редких элементов приведены в табл. 12. Стоит отметить, что эти значения для расплавов разных этапов довольно близки, однако некоторые особенности демонстрируют низкокалиевые расплавы. Крупноионные литофильные элементы (Rb, Ba и др.), а также Th, U и легкие редкоземельные – несколько ниже в низкокалиевых разностях, в то же время концентрации тяжелых редкоземельных элементов в этих расплавах тяготеют к верхней границе диапазона величин, характеризующих расплавы вулкана. Довольно широкий разброс значений традиционно демонстрируют Gd, а также Sr и Eu (что может быть связано с особенностями аналитического процесса).
Таблица 12. Концентрации редких элементов (ppm) и Н2О (мас.%) в расплавных включениях в минералах вулкана Ичинский
Элемент  | 1  | 2  | 3  | 4  | 5  | 6  | 7  | 8  | 9  | 
Li  | 29.35  | 33.61  | 22.45  | 28.78  | 26.89  | 30.34  | 48.98  | 29.46  | 34.29  | 
Be  | 1.74  | 1.73  | 1.95  | 1.74  | 1.51  | 1.71  | 1.58  | 1.90  | 1.70  | 
B  | 26.61  | 25.86  | 17.04  | 23.76  | 22.06  | 21.38  | 27.73  | 25.28  | 26.82  | 
K  | 49 054  | 45 338  | 45 070  | 49 252  | 42 767  | 34 646  | 45 587  | 40 490  | 47 525  | 
Cr  | 1.22  | 1.09  | 1.10  | 1.13  | 1.13  | 1.09  | 0.96  | 2.02  | 1.64  | 
V  | 12.29  | 11.72  | 9.29  | 11.19  | 12.06  | 13.96  | 12.04  | 25.08  | 11.06  | 
Cu  | 25.52  | 28.71  | 16.07  | 20.37  | 19.40  | 31.35  | 20.29  | 35.10  | 34.32  | 
Rb  | 91.34  | 83.86  | 78.00  | 89.17  | 77.43  | 72.73  | 85.28  | 76.56  | 83.98  | 
Sr  | 64.03  | 73.22  | 72.57  | 47.28  | 63.32  | 387.06  | 85.60  | 159.42  | 93.35  | 
Y  | 8.40  | 7.83  | 7.55  | 7.64  | 7.89  | 7.25  | 8.13  | 12.46  | 6.18  | 
Zr  | 92.08  | 66.24  | 79.26  | 75.51  | 69.28  | 86.44  | 102.63  | 183.20  | 76.08  | 
Nb  | 12.23  | 12.71  | 10.63  | 11.33  | 10.91  | 10.40  | 11.25  | 11.98  | 11.46  | 
Ba  | 951  | 1009  | 881  | 968  | 937  | 920  | 969  | 1063  | 982  | 
La  | 18.36  | 16.44  | 17.22  | 18.01  | 17.20  | 17.09  | 16.51  | 19.57  | 18.43  | 
Ce  | 33.82  | 28.85  | 31.61  | 32.48  | 32.33  | 28.94  | 30.51  | 36.68  | 35.60  | 
Nd  | 11.27  | 10.20  | 10.07  | 10.36  | 10.41  | 10.30  | 9.90  | 14.27  | 10.19  | 
Sm  | 1.85  | 1.42  | 1.35  | 1.57  | 1.63  | 1.51  | 1.66  | 2.48  | 1.52  | 
Eu  | 0.34  | 0.56  | 0.83  | 0.04  | 0.53  | 0.80  | 0.06  | 0.35  | 0.28  | 
Gd  | 0.89  | 0.57  | 1.63  | 1.32  | 1.74  | 1.51  | 1.10  | 2.83  | 2.13  | 
Dy  | 1.40  | 1.42  | 1.16  | 1.37  | 1.41  | 1.36  | 1.34  | 2.18  | 1.24  | 
Er  | 1.09  | 0.96  | 0.84  | 1.14  | 1.14  | 0.91  | 1.08  | 1.69  | 1.11  | 
Yb  | 1.51  | 1.50  | 1.24  | 1.29  | 1.15  | 1.09  | 1.39  | 1.87  | 0.97  | 
Hf  | 2.84  | 2.72  | 2.65  | 2.48  | 2.38  | 2.65  | 3.21  | 4.92  | 2.74  | 
Ta  | 1.25  | 1.69  | 1.17  | 1.20  | 1.22  | 1.20  | 1.28  | 1.31  | 1.27  | 
Pb  | 6.36  | 7.37  | 5.18  | 6.92  | 5.77  | 5.37  | 5.61  | 6.95  | 7.50  | 
Th  | 7.47  | 8.44  | 7.83  | 7.58  | 6.89  | 7.08  | 7.40  | 6.45  | 7.93  | 
U  | 3.83  | 4.20  | 3.90  | 3.78  | 3.32  | 3.55  | 3.85  | 3.10  | 4.36  | 
Ti  | 1167  | 1159  | 859  | 857  | 964  | 950  | 1024  | 1820  | 1246  | 
Th/U  | 1.95  | 2.01  | 2.00  | 2.01  | 2.08  | 2.00  | 1.92  | 2.08  | 1.82  | 
La/Yb  | 12.16  | 10.98  | 13.89  | 13.91  | 14.90  | 15.72  | 11.85  | 10.45  | 19.05  | 
H2O  | 3.09  | 3.58  | 2.82  | 3.39  | 4.21  | 2.19  | 3.95  | 0.86  | 3.46  | 
N*  | 32  | 21  | 39  | 43  | 2  | 14  | 33  | 19  | 29  | 
Хозяин  | Pl  | Pl  | Pl  | Pl  | Pl  | Pl  | Pl  | Mt  | Bt  | 
Этап  | I  | ||||||||
Таблица 12. Окончание
Элемент  | 10  | 11  | 12  | 13  | 14  | 15  | 16  | 17  | 18  | 19  | 
Li  | 28.65  | 16.74  | 37.20  | 54.13  | 48.41  | 36.04  | 37.79  | 30.77  | 30.82  | 29.95  | 
Be  | 1.78  | 1.77  | 1.78  | 1.70  | 1.74  | 1.81  | 1.78  | 1.75  | 2.39  | 1.38  | 
B  | 24.34  | 18.74  | 27.38  | 28.24  | 32.46  | 29.75  | 28.63  | 30.73  | 13.20  | 50.19  | 
K  | 43 645  | 43 606  | 53 215  | 42 928  | 45 141  | 46 766  | 45 902  | 37 487  | 20 418  | 16 125  | 
Cr  | 3.45  | 2.20  | 7.52  | 1.14  | 1.02  | 1.17  | 1.23  | 3.88  | 0.90  | 1.85  | 
V  | 25.14  | 22.04  | 13.84  | 11.79  | 17.72  | 11.03  | 12.53  | 13.42  | 9.56  | 18.93  | 
Cu  | 33.44  | 32.70  | 38.95  | 20.26  | 20.64  | 18.69  | 18.99  | 22.31  | 21.44  | 38.75  | 
Rb  | 77.72  | 81.24  | 93.14  | 79.98  | 80.78  | 84.14  | 78.41  | 82.85  | 44.08  | 25.51  | 
Sr  | 132.09  | 148.17  | 78.72  | 137.67  | 121.25  | 72.25  | 110.74  | 92.74  | 447.65  | 370.85  | 
Y  | 14.20  | 11.92  | 8.25  | 7.45  | 11.90  | 6.49  | 9.87  | 8.52  | 11.11  | 13.78  | 
Zr  | 188.26  | 183.33  | 75.77  | 88.16  | 152.52  | 67.98  | 97.06  | 119.07  | 93.77  | 112.76  | 
Nb  | 14.76  | 11.77  | 14.88  | 10.33  | 13.11  | 9.86  | 11.48  | 13.04  | 4.41  | 3.63  | 
Ba  | 1056  | 1126  | 1189  | 929  | 1044  | 884  | 1057  | 902  | 603  | 507  | 
La  | 20.14  | 19.11  | 19.63  | 16.41  | 17.59  | 14.50  | 16.74  | 13.85  | 8.41  | 7.11  | 
Ce  | 39.24  | 37.99  | 34.20  | 28.60  | 34.54  | 25.85  | 29.93  | 25.83  | 14.51  | 17.00  | 
Nd  | 14.39  | 14.52  | 10.16  | 10.34  | 12.41  | 8.41  | 10.69  | 8.78  | 7.13  | 7.32  | 
Sm  | 2.78  | 2.46  | 1.62  | 1.58  | 2.15  | 1.32  | 1.76  | 1.86  | 1.88  | 2.10  | 
Eu  | 0.64  | 0.41  | 0.85  | 0.70  | 1.03  | 0.35  | 0.37  | 0.43  | 0.44  | 0.19  | 
Gd  | 2.15  | 2.28  | 7.37  | 6.07  | 7.42  | 5.13  | 6.89  | 5.82  | 4.58  | 5.12  | 
Dy  | 2.24  | 2.04  | 1.51  | 1.32  | 1.99  | 1.08  | 1.50  | 1.42  | 1.52  | 2.32  | 
Er  | 1.84  | 1.63  | 0.87  | 1.05  | 1.37  | 0.83  | 1.22  | 1.10  | 1.37  | 1.80  | 
Yb  | 1.98  | 1.76  | 1.37  | 1.31  | 1.81  | 1.22  | 1.59  | 1.13  | 1.54  | 1.96  | 
Hf  | 5.09  | 4.81  | 2.44  | 2.92  | 4.23  | 2.33  | 2.74  | 3.21  | 2.67  | 2.99  | 
Ta  | 1.37  | 1.41  | 1.29  | 1.11  | 1.17  | 1.00  | 1.11  | 1.20  | 0.46  | 0.59  | 
Pb  | 5.24  | 7.36  | 8.55  | 5.69  | 6.29  | 6.31  | 4.86  | 7.46  | 3.86  | 5.70  | 
Th  | 6.50  | 6.49  | 6.71  | 7.11  | 6.93  | 7.14  | 6.66  | 6.46  | 2.84  | 2.24  | 
U  | 3.32  | 3.10  | 4.08  | 3.94  | 4.09  | 3.50  | 3.61  | 10.03  | 1.65  | 1.38  | 
Ti  | 1927  | 1658  | 1613  | 935  | 1423  | 1098  | 1099  | 1283  | 1385  | 1422  | 
Th/U  | 1.96  | 2.10  | 1.65  | 1.80  | 1.69  | 2.04  | 1.84  | 0.64  | 1.72  | 1.62  | 
La/Yb  | 10.17  | 10.86  | 14.35  | 12.53  | 9.74  | 11.88  | 10.51  | 12.26  | 5.45  | 3.63  | 
H2O  | 3.12  | 2.72  | 1.68  | 4.88  | 4.43  | 1.74  | 4.98  | 5.60  | 2.05  | 3.50  | 
N*  | 6  | 4  | 78  | 64  | 65  | 83  | 88  | 119  | 110  | 121  | 
Хозяин  | Amph  | Amph  | Bt  | Pl  | Pl  | Bt  | Pl  | Amph  | Pl  | Pl  | 
Этап  | I  | II  | III  | |||||||
Примечания. N* — номер включения в таблице 11.
ОБСУЖДЕНИЕ РЕЗУЛЬТАТОВ
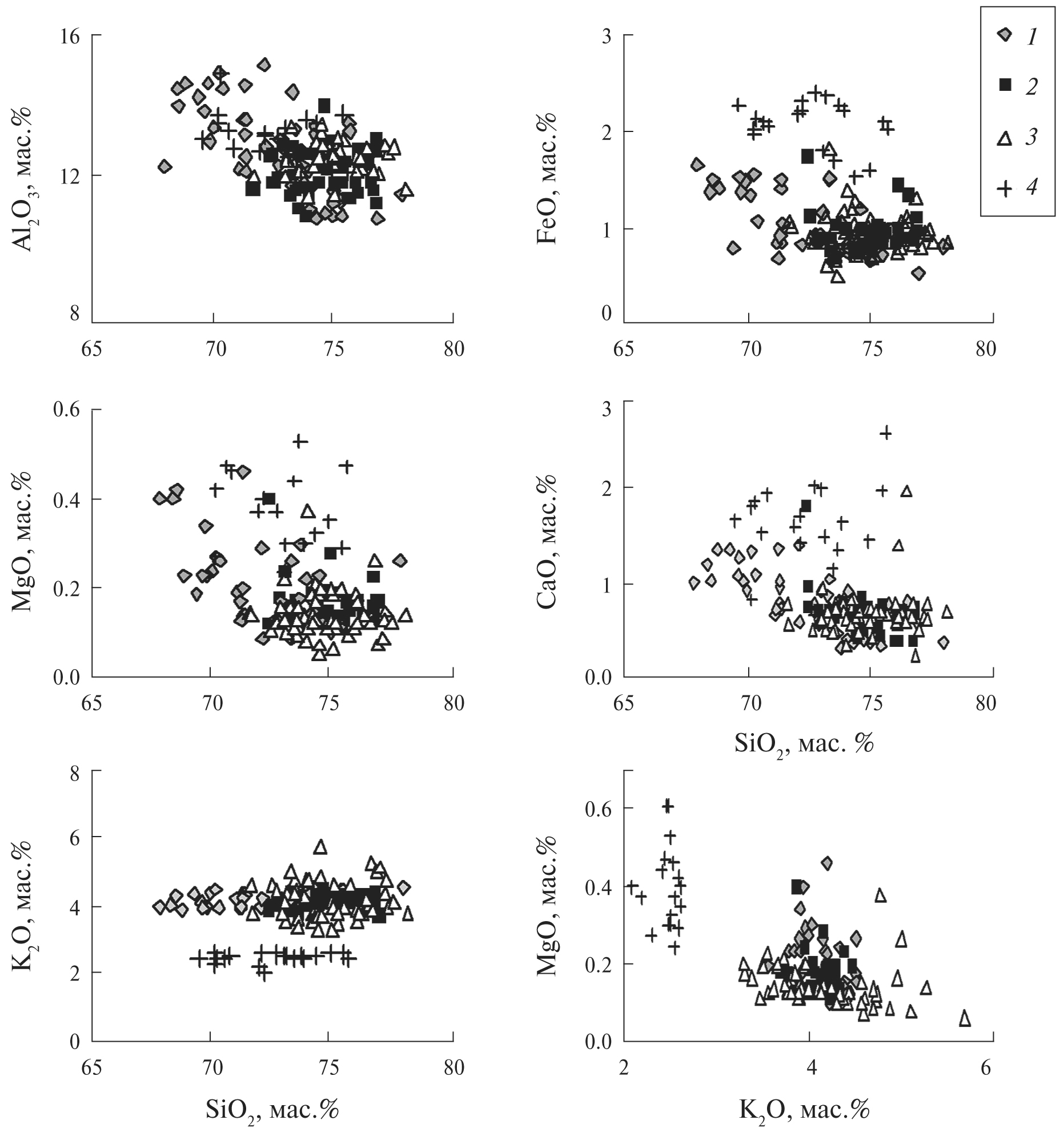
Соотношение составов пород и расплавов. Для Ичинского вулкана характерно довольно типичное соотношение пород среднего состава и кислых породообразующих расплавов. Разница по кремнекислотности совсем не велика – 63–68 и 69–78 мас.% для пород и расплавов соответственно (рис. 1). При этом расплавы отличаются пониженными содержаниями фемических элементов, глинозема, кальция и достаточно высокими содержаниями калия относительно пород.
Рис. 1. Диаграмма TAS для пород и расплавов Ичинского вулкана. 1–3 – расплавы, формировавшие породы I–III этапов, 4 – низкокалиевые расплавы (III этап). Поля нанесены по (Le Bas et al., 1986). Данные по расплавным включениям приведены без пересчета сумм анализов на 100%.
Подобное соотношение пород и расплавов характерно для множества средних и кислых островодужных вулканитов (Humphreys et al., 2008; Rowe et al., 2011; Толстых и др., 2012, 2015, 2017; Ponomareva et al., 2015, 2017).
Один из наиболее распространенных вариантов объяснения подобных соотношений – представления о кумулятивной природе средних и кислых пород (Наумов и др., 1997; Kamenetsky et al., 2000). Кроме того, в породах I и III этапов присутствуют признаки гибридизма. Вероятно, более основной состав пород может быть связан с наличием процессов магматического смешения кислых расплавов с более основным материалом. Подобные процессы неоднократно рассматривались как ведущие в петрогенезисе средних пород (Robertson et al., 2007; Ruscitto et al., 2011 и др.).
Характеристика макроэлементного состава расплавов тефры Ичинского вулкана. На вариационных диаграммах (рис. 2, 3) можно отметить, что значительная часть всех включений образует единое поле в диапазоне 72–77 мас.%; туда попадают все включения в тефре этапа II, а также значительная часть включений I и III этапов. При этом отчетливой корреляции между содержаниями SiO2 и прочих компонентов практически не наблюдается. Также на диаграммах можно выделить группы с несколько меньшей кремнекислотностью; к ним относятся довольно компактный ареал, где сосредоточены включения низкокалиевых расплавов III этапа (во вкрапленниках пироксен-плагиоклазового парагенезиса), а также некоторое количество расплавных включений в породах I этапа, которые обнаружены в основном плагиоклазе и наиболее глиноземистом амфиболе. Менее дифференцированные расплавы I этапа не были выделены отдельным маркером, поскольку выстраиваются в общий плавный тренд с более кислыми разностями. Стоит отметить, что диапазон 72–77 мас.% SiO2 объединяет включения в слюдах, амфиболах и плагиоклазах, а также стекла основной массы пород I, II и III этапов. Никакой взаимной корреляции составов стекол включений и минерала-хозяина не отмечено. Что же касается несколько более основных расплавов I и III этапов, то их характеризует принадлежность к определенным минералам-вкрапленникам.
Рис. 2. Вариационные диаграммы для расплавов, формирующих породы разных этапов эруптивной активности вулкана Ичинский. 1–3 — расплавы I–III этапов соответственно, 4 — низкокалиевый расплав включений во вкрапленниках парагенезиса Px+Pl(An>45) (III этап).
Рис. 3. Вариационные диаграммы для расплавов, формирующих разные парагенезисы в породах вулкана Ичинский. Поля расплавов: 1, 2 – I этап, расплавы в парагенезисах Рх+Amph+Pl (An>35) и Amph+Bt+Pl (An<35) соответственно; 3 – II этап, расплав в парагенезисе Amph+Bt+Pl; 4, 5 – III этап, высококалиевый расплав в парагенезисе Amph+Bt+Pl (An <45) и низкокалиевый расплав в парагенезисе Px+Pl (An >45) соответственно; 6 – остаточные стекла основной массы в андезитах вулкана Ичинский (Добрецов и др., 2016).
Особенности расплавных включений в породах I этапа. Как отмечалось выше, самым широким диапазоном расплавов по кремнекислотности характеризуются тефры I этапа. На рис. 3 показаны поля расплавов, характеризующих расплавы, зафиксированные в разных парагенезисах пород I–III этапов эруптивной активности вулкана. В породах кальдерообразующего извержения можно выделить как минимум две генерации вкрапленников: более ранняя (пироксен + средний плагиоклаз + гиноземистый амфибол + магнетит) фиксирует включения чуть менее дифференцированного состава, чем стекла во вкрапленниках более поздней генерации (амфибол + кислые плагиоклазы + слюды). Это сочетание парагенезисов может рассматриваться и как свидетельство кристаллизационной дифференциации, и как признак смешения. В пользу последней точки зрения свидетельствуют составы стекол основной массы пород I этапа (табл. 10), которые являются более основными, чем самые кислые из стекол расплавных включений. Такая последовательность не может быть объяснена единой эволюцией исходного расплава.
В породах I этапа не выявлено макроскопических признаков минглинга (Anderson, 1976), однако наличие более основного остаточного стекла в сочетании с более ранним парагенезисом вкрапленников позволяет предполагать возможность перемешивания магм с различных уровней единого очага, находившихся на различных ступенях дифференциации, или системы разноглубинных взаимосвязанных камер (Добрецов и др., 2016). В пользу последней версии можно привести особенности в составах амфиболов, содержащих расплавные включения с содержанием SiO2 68–71 мас.%. Эти амфиболы характеризуются более низкими содержаниями SiO2 и высокими Al2O3, и, следовательно, более высокими количествами алюминия в четверной координации (AlIV = 1.2), в то время как у остальных амфиболов это значение не превышает 0.9, чаще попадая в диапазон 0.5–0.7. Этот показатель может быть использован для геобарометрических реконструкций (Hammarstrom, Zen, 1986), согласно которым более глиноземистые амфиболы кристаллизовались при давлении около 2 кбар, в то время остальные относятся к низкобарной серии (<0.5 кбар). Возможно, эта разница в параметрах кристаллизации действительно может объясняться наличием системы сообщающихся разноуровневых камер. Впрочем, еще один геобарометр, использующий вариации параметра AlVI в амфиболе (Simakin et al., 2012), фиксирует сходное низкое давление (<0.5 кбар) при кристаллизации амфиболов всех генераций.
Особенности расплавов в породах III этапа. В расплавах, формировавших породы этого этапа, также можно выделить две разности; их различия гораздо более очевидны, чем в вышеописанном случае этапа I. К этапу III отнесены два последовательных извержения, произошедшие с интервалом около тысячи лет. Первое из них (5 тыс. л.н.), зафиксированное после длительного периода покоя (обр. 107/2), является источником пород с признаками гибридизма (т.е. парагенезисом вкрапленников, формировавшихся их низкокалиевого расплава, который никак не может быть связан с более щелочными разностями расплавов процессами фракционирования). Интересно, что часть включений в других вкрапленниках пород этого же извержения (5 тыс. л.н.), а также все включения в тефре следующего извержения (4 тыс. л.н., обр. 218/1), относятся к более щелочным расплавам, практически идентичным с расплавами во всех вкрапленниках пород II этапа и большей части вкрапленников пород I этапа. Отличия низкокалиевого расплава не ограничиваются разницей в отношениях щелочей. Этот тип расплава также содержит большие количества железа, магния, титана и кальция, однако не наблюдается ожидаемого обогащения глиноземом и сильного обеднения кремнеземом. Кроме того, практически на всех вариационных диаграммах (рис. 2, 3) низкокалиевые расплавы образуют отдельное поле, не объединенное с прочими расплавами единым трендом дифференциации. Попытки при помощи балансовых расчетов реконструировать процесс фракционирования различных фаз (плагиоклаз, амфибол, пироксен) как возможный способ эволюции низкокалиевого расплава с получением высококалиевой разности не увенчался успехом.
Итак, по результатам обсуждения макроэлементного состава расплавов, формировавших тефру трех этапов эруптивной активности Ичинского вулканического центра, можно резюмировать, что в целом все эти этапы характеризовались извержением магм, сформированных при кристаллизации одного и того же расплава (SiO2 72–74 мас.%, K2O 3–5 мас.%), что может говорить о наличии крупного долгоживущего корового очага, питающего вулканический центр. Однако в формировании пород кальдерообразующего извержения принимали участие несколько более основные расплавы, которые вполне могут быть расценены как более ранние дифференциаты расплава, сформированные на других уровнях того же очага или системы резервуаров. Например, по некоторым особенностям состава (рис. 3) эти расплавы сходны с остаточными стеклами в андезитовых лавах Ичинского вулкана (Добрецов и др., 2016). К сожалению, прямые датировки лав отсутствуют.
Что же касается низкокалиевых расплавов, которые формировали часть вкрапленников тефры извержения 5 тыс. л.н., начавшего третий этап активизации вулкана, то появление таких агентов в системе может быть связано как с контаминацией, так и с внедрением в область очага более основных и высокотемпературных магм, результатами фракционирования которых могут являться низкокалиевые кислые расплавы.
Базитовый материал на вулкане Ичинский в исследуемый период представлен продуктами извержения шлаковых конусов Северный и Южный Черпук, образование которых предшествовало извержению тефры II этапа (Tolstykh, 2018). К сожалению, реконструировать генетическую взаимосвязь этого базитового материала и низкокалиевых расплавов III этапа не удалось, т.к. петрологическое моделирование в амфибол-содержащих системах пока не представляется возможным.
Более детальную информацию о генетических взаимосвязях между наблюдаемыми типами расплавов может дать сравнение содержаний микроэлементов в изучаемых расплавах.
Элементы-примеси в расплавах Ичинского вулкана. В целом, расплавам Ичинского вулкана свойственны умеренно-островодужные характеристики: не слишком глубокий Nb-минимум (рис. 4), высокие U/Th-отношения, относительный дефицит тяжелых редкоземельных элементов и обогащенность некоторыми высокозарядными элементами.
Рис. 4. Спайдер-диаграммы для расплавов, формировавших породы разных этапов активности вулкана Ичинский. 1–4 — I этап, расплавные включения в плагиоклазе, магнетите, слюдах, амфиболе, соответственно; 5, 6 — II этап, расплавные включения в слюдах и плагиоклазе соответственно; 7 — III этап, включение в амфиболе, 8 — III этап, низкокалиевые расплавные включения в плагиоклазах.
Довольно широкий диапазон составов демонстрируют расплавы тефр I этапа, где выделяются включения в амфиболах и магнетите (рис. 4). Их характеризуют повышенные концентрации Hf и Zr, а также РЗЭ, в особенности средних и тяжелых (рис. 4). Возможно, эти отличия в концентрациях элементов-примесей, характеризующих расплавы разной кремнекислотности, можно объяснить фракционированием амфибола, который является концентратором РЗЭ, а также высокозарядных компонентов (табл. 9). Таким образом, представляется вполне вероятным то, что более и менее кремнекислые расплавы I этапа активизации Ичинского центра имеют общий генезис и связаны процессами фракционирования темноцветных минеральных фаз.
Включения в минералах тефр II и III этапов демонстрируют генетическое сходство с расплавами I этапа; от них заметно отличаются только два включения низкокалиевых расплавов III этапа (рис. 4, 5).
Рис. 5. Вариационные диаграммы для редких элементов и их соотношений в расплавах вулкана Ичинский. 1–6 – см. рис. 4; 7 – расплавы, формировавшие породы III этапа (включения в амфиболе и плагиоклазах соответственно), 8 – поле пород вулкана Ичинский. Поле адакитов выделено по (Castillo, 2006). Линия мантийной корреляции, а также векторы S (субдукционный компонент), С (коровая контаминация), W (внутриплитные источники), F (фракционная кристаллизация) по (Pearce, 1983). Значения KSSC (состав осадочного чехла субдуцируемой плиты) и K-AOC (состав метабазитов субдуцируемой плиты) по (Duggen et al., 2007), значения E-MORB и OIB по (Sun, McDonough, 1989).
Низкокалиевые расплавы характеризуются низкими содержаниями Nb (4–5 ppm в сравнении с 10–14 ppm в прочих расплавах), причем степень выраженности этого минимума одинакова для всех расплавов вулкана (рис. 4). Еще одна особенность низкокалиевых расплавов —относительная обедненность в области крупно-ионных элементов, тория и урана, легких РЗЭ. В то же время концентрации тяжелых РЗЭ приближаются к максимальным значениям для расплавов Ичинского вулкана (рис. 4).
На вариационных диаграммах для микроэлементов (рис. 5 а-в) все расплавы находятся на значительном удалении от эталонных точек, соответствующих каноническим характеристикам, как мантийным, так и коровым, в то время как породы Ичинского вулкана располагаются между точками MORB, OIB и средними составами осадочного чехла и метабазитов субдуцирующей плиты. Стоит отметить, что в случае расплавов столь кислого состава выявление источников магмогенерации при помощи подобных диаграмм производиться не может, поскольку они не учитывают процессов фракционирования, в то время как многие несовместимые элементы в кислых средах демонстрируют коэффициент распределения минерал-расплав, превышающий 1 (GERM Partition Coefficient (Kd) Database// URL: earthref.org/KDD). Стоит обратить внимание также на то, что поле пород на некоторых вариационных диаграммах существенно удалено от фигуративных точек расплавов, что может подтверждать разнонаправленный характер петрогенетических процессов, предполагающий смешение и кумуляцию.
Более корректным в данном случае может оказаться сравнение с усредненными составами кислых расплавов, характеризующих разныегеодинамические обстановки (Наумов и др., 2018). На спайдер-диаграмме кривые расплавов Ичинского вулкана (рис. 6) заметно отличаются от кислых расплавов внутриплитного генезиса более низкими концентрациями практически всех элементов-примесей; в то же время они почти соответствуют усредненному составу островодужных кислых расплавов.
Рис. 6. Спайдер-диаграмма для расплавов вулкана Ичинский, а также кислых расплавов, формировавшихся в разных геодинамических обстановках. 1 – расплавы, формировавшиеся в условиях внутриплитного вулканизма (пунктиром обозначена линия усредненных значений), 2 – расплавы, формировавшиеся в островодужной обстановке, 3 – расплавы вулкана Ичинский. Значения для расплавов различных геодинамических обстановок даны по (Наумов и др., 2018).
Таким образом, можно постулировать, что кислые расплавы Ичинского вулкана могут быть охарактеризованы как существенно островодужные, несмотря на их формирование в условиях постсубдукционного этапа. Повышенные содержания калия и урана и некоторых других элементов-примесей в этих расплавах не являются достаточным признаком вовлечения в процесс петрогенезиса пород обогащенных источников.
Плотность облака фигуративных точек калиевых расплавов I–III этапов на вариационных диаграммах (рис. 5 б-г) подчеркивает их родство. Вероятно, эти расплавы характеризуют долгоживущий магматический очаг (илисистему очагов), основные геохимические особенности которых достаточно стабильны во времени. В то же время два анализа низкокалиевых расплавов достаточно сильно отличаются от прочих. В частности, на диаграмме Sr/Y-Y (рис. 5б) отражено соответствие низкокалиевых расплавов адакитам. В последнее время термин «адакит» перестал использоваться для прямой отсылки к субдукционному процессу (Martin et al., 2012; Толстых и др., 2017), однако появление расплавов с подобными характеристиками чаще всего связывают с частичным плавлением базитового (в том числе корового) материала. Низкокалиевые расплавы также выделяются и на других диаграммах (рис. 5 б, в); причем этот расплав характеризуют максимальные значения Pb/Ce, Zr/Nb, Sr/Y, Th/Yb; часть из этих величин (в частности, Th/Yb) могут являться маркерами источника расплава, поскольку Th практически не встречается в качестве примеси в минералах описываемых пород (табл. 9), следовательно, его концентрации не должны меняться в процессе фракционирования.
Интересно, что на диаграмме Th/Yb-Ta/Yb (рис. 5 г) взаиморасположение фигуративных точек низко- и высококалиевых расплавов демонстрирует тренд, субпараллельный тренду фракцинирования (Pearce, 1983). Однако соотношения макроэлементных характеристик расплавов не могут быть объяснены исключительно таким процессом без привлечения смешения/контаминации.
Таким образом, вариации отношений микроэлементов подтверждают генетическое сходство всех калиевых расплавов Ичинского центра и фиксируют отличия низкокалиевых расплавов, давая возможность предположить поступление в очаг порции чужеродного вещества. Вероятно, эта порция была не слишком велика, поскольку в более позднем извержении III этапа следов низкокалиевого расплава не обнаружено.
Происхождение этого вещества установить более чем проблематично. Это может быть дифференциат глубинных высокотемпературных магм основного состава, поступление которого в систему спровоцировало наступление очередного этапа активизации эруптивной деятельности вулкана. Возможно, эти или подобные магмы сформировали конусы Южный и Северный Черпука, а также явились спусковым механизмом для извержения дацитовых пемз II этапа; остаточные порции базитового вещества могли в течение почти 2000 лет дифференцироваться, взаимодействовать с материалом кислого очага и в виде специфического парагенезиса вкрапленников быть вынесенными на поверхность в начальном извержении III этапа активизации (Tolstykh, 2018).
Другая возможность появления кислых низкокалиевых расплавов связана с частичным плавлением и ассимиляцией корового вещества, поскольку на геологической карте у подножия вулканической постройки можно обнаружить выходы древних базитовых массивов (Патока и др., 1976). Однако подтвержденных данных о происхождении низкокалиевых расплавов на данный момент не имеется. Для решения этой проблемы необходимо более детальное исследование как пород фундамента, так и самих вулканитов III этапа, в том числе и лав.
ВЫВОДЫ
- Эксплозивные извержения Ичинского вулканического центра начиная с позднего плейстоцена определяются деятельностью крупного магматического резервуара, состав расплава которого довольно стабилен и находится на стыке полей трахитов, трахириолитов, риолитов и дацитов. Эти расплавы являются фазообразующими для кислых плагиоклазов (An около 30), а также амфиболов и слюд в тефре I, II и III этапов эруптивной активности вулкана Ичинский.
 - В породах I этапа (кальдерообразующее извержение) в минералах раннего парагенезиса обнаружены расплавные включения чуть более основного состава. Сходство этого дацитового расплава с остаточными стеклами андезитов Ичинского вулкана (Добрецов и др., 2016) предполагает возможность рассматривать этот расплав как дифференциат более примитивных членов серии. Сложные петрографические и минералогические характеристики пород I этапа, а также вышеописанные особенности расплавов позволяют предполагать сложную историю развития, пополнения и переуравновешивания магм в очаге (или системе резервуаров) в преддверии кальдерообразующего извержения.
 - В породах III этапа («начальная стадия») зафиксирован еще один «атипичный» расплав, геохимические особенности которого свидетельствуют об отсутствии генетической связи с кислыми расплавами главного резервуара. Появление этого расплава в магматической системе маркируется в тефре извержения, начавшего новый этап активизации вулкана после периода покоя продолжительностью около 2.5 тыс. лет.
 
Благодарности
Авторы благодарят Н.Н. Кононкову, С.В. Борисовского, С.А. Симакина за аналитические работы, а также Н.Л. Миронова и О.А. Луканина за конструктивные предложения и помощь в редактировании рукописи.
Источник финансирования
Работа выполнена в соответствии с Госзаданиями по темам ГЕОХИ РАН № 0137-2019-0014 (анализ полученных данных и написание статьи), ГИН РАН № 0135-2019-0059 (стратиграфия и возраст отложений), ИГЕМ РАН № 0136-2018-0028 (аналитические работы), а также при финансовой поддержке грантов РФФИ № 17-05-00112 а (полевые работы) и № 18-05-00224 а (аналитические работы). Аналитические работы выполнены в ЦКП «ИГЕМ-АНАЛИТИКА».
About the authors
M. L. Tolstykh
Vernadsky Institute of Geochemistry and Analytical Chemistry of the Russian Academy of Sciences (GEOKHI RAS)
							Author for correspondence.
							Email: mashtol@mail.ru
				                					                																			                												                	Russian Federation, 							 19, Kosygin street, Moscow, 119991 						
M. M. Pevzner
Geological Institute of the Russian Academy of Sciences (GIN RAS)
														Email: m_pevzner@mail.ru
				                					                																			                												                	Russian Federation, 							 7, Pyzhevsky lane, Moscow, 119017 						
V. B. Naumov
Vernadsky Institute of Geochemistry and Analytical Chemistry of the Russian Academy of Sciences (GEOKHI RAS)
														Email: baban@igem.ru
				                					                																			                												                	Russian Federation, 							 19, Kosygin street, Moscow, 119991 						
A. D. Babansky
Institute of Geology of Ore Deposits, Petrography, Mineralogy and Geochemistry of the Russian Academy of Sciences (IGEM RAS)
														Email: baban@igem.ru
				                					                																			                												                	Russian Federation, 							 35, Staromonetny, Moscow, 119017 						
References
- Авдейко Г.П., Попруженко С.В., Палуева А.А. (2002) Тектоническое развитие и вулкано-тектоническое районирование Курило-Камчатской островодужной системы. Геотектоника (4), 64–80.
 - Авдейко Г.П., Палуева А.А., Хлебородова О.А. (2006) Геодинамические условия вулканизма и магмообразования Курило-Камчатской островодужной системы. Петрология 14 (3), 249–267.
 - Базанова Л.И., Певзнер М.М. (2001) Хангар – еще один действующий вулкан на Камчатке. ДАН 377 (6), 800–802.
 - Брайцева О.А., Егорова И.А., Несмачный И.А., Селянгин О.Б., Сулержицкий Л.Д. (1978) Тефрохронологические исследования как метод изучения закономерностей циклического развития вулкана. Бюлл. Вулканолог. станций (54), 41–53.
 - Волынец О.Н. (1993) Петрология и геохимическая специализация вулканических серий современной островодужной системы. Автореф. дис. … док. геол.-мин. наук.
 - Волынец О.Н., Патока М.Г., Мелекесцев И.В., Зубин М.И. (1991) Вулкан Ичинский. Действующие вулканы Камчатки 1, 282–294.
 - Действующие вулканы Камчатки (1991). М.: Наука. Т. 1, 2.
 - Дирксен О.В. (2009) Позднечетвертичный ареальный вулканизм Камчатки (структурная приуроченность, геолого-геоморфологический эффект, пространственно-временные закономерности проявления). Автореф. дис. … канд. географ. наук. СПб.: СПбГУ, 18 с.
 - Добрецов Н.Л., Симонов В.А., Котляров А.В., Кулаков Р.Ю., Карманов Н.С. (2016) Физико-химические параметры кристаллизации расплавов в промежуточных надсубдукционных камерах (на примере вулканов Толбачинский и Ичинский). Геология и геофизика 57 (7), 1265–1291.
 - Константиновская Е.А. (1999) Геодинамика коллизии островная дуга – континент на западной окраине Тихого океана. Геотектоника (5), 15–34.
 - Маренина Т.Ю. (1962) Ичинский вулкан в Срединном хребте Камчатки. Тр. лаб. вулканологии (22), 3–66.
 - Наумов В.Б., Коваленко В.И., Бабанский А.Д., Толстых М.Л. (1997) Генезис андезитов по данным изучения расплавных включений в минералах. Петрология 5(6), 654–665.
 - Наумов В.Б., Дорофеева В.А., Гирнис А.В., Ярмолюк В.В. (2019) Среднее содержание летучих компонентов, петрогенных и редких элементов в магматических расплавах главных геодинамических обстановок Земли. II. Расплавы кислого состава. Геохимия (4).
 - Огородов Н.В. (1960) Некоторые замечания об Ичинском вулкане. Бюлл. вулканолог. станций АН СССР (30), 24–29.
 - Патока М.Г., Успенский В.С., Чигаев В.В. (1976) Геологическое строение и полезные ископаемые центральной и северной части листа N-57-П (окончательный отчет о геологической съемке масштаба 1:200 000, проведенной Ичинской партией в 1974–1975 гг.) 1.
 - Певзнер М.М. (2004) Первые геологические данные о хронологии голоценовой эруптивной активности вулкана Ичинского (Срединный хребет, Камчатка). ДАН 395 (4), 507–510.
 - Певзнер М.М., Головин Д.И., Герцев Д.О., Кущева Ю.В., Чурикова Т.Г., Волынец А.О., Родин В.С., Ладыгин В.М. (2009) Миоцен-четвертичный вулканизм Срединного хребта Камчатки: результаты K-Ar датирования. IV Российская конференция по изотопной геохронологии «Изотопные системы и время геологических процессов», 77–79.
 - Певзнер М.М. (2015) Голоценовый вулканизм Срединного хребта Камчатки. Труды Геологического института 608. М.: ГЕОС, 252 с.
 - Певзнер М.М., Волынец А.О., Лебедев В.А., Бабанский А.Д., Коваленко Д.В., Костицын Ю. А., Толстых М.Л., Кущева Ю.В. (2017) Начало вулканической активности в пределах Срединно-метаморфического массива (Срединный хребет, Камчатка). ДАН 475 (5), 546–550.
 - Перепелов А.Б., Чащин А.А., Мартынов Ю.А. (2006) Срединно-Камчатская зона (плиоцен-голоцен). Геодинамика, магматизм и металлогения Востока России 1, 382–398.
 - Плечов П.Ю. (2008) Множественность источников островодужных магм и динамика их взаимодействия. Автореф. дис. … док. геол.-минерал. наук. М.: МГУ., 45 с.
 - Соболев А.В. (1996) Включения в минералах как источник принципиальной геохимической информации. Петрология 4 (3), 228–239.
 - Толстых М.Л., Наумов В.Б. , Ярмолюк В.В. (2017) Адакиты и адакитовые расплавы: составы пород, закалочных стекол и включений в минералах. Петрология 25 (3), 299–312.
 - Толстых М.Л., Наумов В.Б., Гавриленко М.Г., Озеров А.Ю., Кононкова Н.Н. (2012) Химический состав, летучие компоненты и элементы-примеси расплавов вулканического центра Горелый (Южная Камчатка) по данным изучения включений в минералах. Геохимия (6), 576–606.
 - Tolstykh M.L., Naumov V.B., Gavrilenko M.G., Ozerov A.Yu., Kononkova N.N. (2012) Chemical composition, volatile components, and trace elements in the melts of the Gorely volcanic center, Southern Kamchatka: Evidence from inclusions in minerals. Geochem. Int. 50 (6), 522–550.
 - Толстых М.Л., Певзнер М.М., Наумов В.Б., Бабанский А.Д., Волынец А.О. (2017) Расплавы позднеплейстоценового кальдерообразующего извержения Ичинского вулкана. Материалы ХХ региональной конференции «Вулканизм и связанные с ним процессы», 82–85.
 - Толстых М.Л., Певзнер М.М., Наумов В.Б., Бабанский А.Д., Кононкова Н.Н. (2015) Типы расплавов, формировавших пирокластические породы различных структурно-возрастных комплексов вулканического массива Шивелуч (Камчатка), по данным изучения включений в минералах. Петрология 23 (4), 521–560.
 - Шапиро М.Н., Соловьев А.В. (2009) Кинематическая модель формирования Олюторско-Камчатской складчатой области. Геология и геофизика 50 (8), 863–880.
 - Anderson A.T. (1976) Magma mixing: petrological process and volcanological tool. J. Volcanol. Geotherm. Res. 1 (1), 3–33.
 - Castillo P. R. (2006) An overview of adakite petrogenesis. Chinese Sci. Bull. 51, 257–267.
 - Churikova, T., Dorendorf, F., G. Woerner (2001) Sources and fluids in the mantle wedge below Kamchatka, evidence from across-arc geochemical variation. J. Petrology 42 (8), 1567–1593.
 - Davaille A., Lees J.M. (2004) Thermal modeling of subducted plates: tear and hotspot at the Kamchatka corner. Earth Planet. Sci. Lett. 266, 293–304.
 - Duggen S., Portnyagin M., Baker J., Ulfbeck D., Hoernle K., Garbe-SchloЁnberg D., Grassineau N. (2007) Drastic shift in lava geochemistry in the volcanic-front to rear-arc region of the Southern Kamchatkan subduction zone: Evidence for the transition from slab surface dehydration to sediment melting. Geochim. Cosmochim. Acta 71, 452–480.
 - Gorbatov A., Kostoglodov V., Suarez G., Gordeev E. (1997) Seismicity and structure of the Kamchatka subduction zone. J. Geophys. Res. 102 (B8), 17883–17898.
 - Gorbatov A., Widiyantoro S., Fukao Y., Gordeev E. (2000) Signature of remnant slabs in the North Pacific from P-wave tomography. Geophys. J. Int. 142, 27–36.
 - Hammarstrom J.M., Zen E.A. (1986) Aluminum in hornblende – an empirical igneous geobarometer. Amer. Mineral 71 (11–12), 1297–1313.
 - Humphreys M.C.S, Blundy J.D., Sparks R.S. J. (2008) Shallow-level decompression crystallisation and deep magma supply at Shiveluch Volcano. Contrib. Mineral. Petrol. 155, 45–61.
 - Kamenetsky V. S., Morrow N., McPhie J. (2000) Origin of high-Si dacite from rhyolitic melt: evidence from melt inclusions in mingled lavas of the 1.6 Ga Gawler Range Volcanics, South Australia. Mineral. Petrol. 69 (3–4), 183–195.
 - Lander A.V., Shapiro M.N. (2007) The Origin of the Modern Kamchatka Subduction Zone. Volcanism and Tectonics of the Kamchatka Peninsula and Adjacent Arcs. Geophysical Monograph Series (Eds. Eichelberger J., Gordeev E., Kasahara M., Izbekov P., Lees J.) 172, 57–64.
 - Le Bas M.J., Le Maitre R.W., Streckeisen A., Zanettin B.A. (1986) Chemical classification of volcanic rocks based on the total alkali-silica diagram. J. Petrol. 27, 745–750.
 - Martin H., Smithies R.H., Rapp. R. (2005) An overview а adakite, TTG and sanukitoid: Relationships and some implications for crustal evolution. Lithos 79, 1–24.
 - Moyen J-F. (2009) High Sr/Y and La/Yb ratios: The meaning of the adakitic signature. Lithos 112, 556–574.
 - Nielsen C.H., Sigurdsson H. (1981) Quantitative methods for electron microprobe analysis of sodium in natural and synthetic glasses. Am. Mineral. 66, 547–552.
 - Pearce J.A., Norry M.J. (1979) Petrogenetic implications of Ti, Zr, Y, and Nb variations in volcanic rocks. Contrib. Mineral. Petrol. 69, 33–47.
 - Pevzner M.M. (2004) The First Geological Data on the Chronology of Holocene Eruptive Activity in the Ichinskii Volcano (Sredinnyi Ridge, Kamchatka). Doklady Earth Sci. 395A (3), 335–337.
 - Ponomareva V.V., Portnyagin M.V., Pevzner M.M., Blaauw M., Kyle P., Derkachev A. (2015) Tephra from andesitic Shiveluch volcano, Kamchatka, NW Pacific: chronology of explosive eruptions and geochemical fingerprinting of volcanic glass. Int. J. Earth Sci. 104 (5), 1459–1482.
 - Ponomareva V.V., Portnyagin M.V., Pendea I.F. (2017) A full holocene tephrochronology for the Kamchatsky Peninsula region: Applications from Kamchatka to North America. Quaternary Sci. Rev. 168, 101–122.
 - Portnyagin M. V., Simakin S. G., Sobolev A. V. (2002) Fluorine in Primitive Magmas of the Troodos Ophiolite Complex, Cyprus: Analytical Methods and Main Results. Geochem. Int. 40 (7), 625–632.
 - Robertson K., Simon A., Pettke T., Smith E., Selyangin O., Kiryukhin A., Mulcahy S.R., Walker J.D. (2013) Melt inclusion evidence for magma evolution at Mutnovsky volcano. Geofluids 13 (4), 421–439.
 - Rowe M.C., Peate D.W., Peate I.U. (2011) An investigation into the nature of the magmatic plumbing system at Paricutin Volcano, Mexico. J. Petrol. 52, 2187–2220.
 - Ruscitto D. M., Wallace P. J., Kent A. J. R. (2011) Revisiting the compositions and volatile contents of olivine-hosted melt inclusions from the Mount Shasta region: implications for the formation of high-Mg andesites. Contrib. Mineral. Petrol. 162 (1), 109–132.
 - Simakin А., Zakrevskaya O., Salova T. (2012) Novel Amphibole Geo-barometer with Application to Mafic Xenoliths. Earth Sci. Res. 1(2), 82–97.
 - Sun S.-S., McDonough W.F. (1989) Chemical and isotopic systematics of oceanic basalts: implications for mantle composition and processes. Magmatism in the ocean basins. Geol. Soc. London, Special Publ. (Eds. A.D. Saunders, M.J. Norry) (42), 313–345.
 - Tatsumi Y., Kogiso T., Nohda S. (1995) Formation of a third volcanic chain in Kamchatka: generation of unusual subduction-related magmas. Contrib. Mineral. Petrol. 120, 117–128.
 - Tolstykh M., Volynets A., Pevzner M. (2018). Melt compositions relationships between large polygenetic and adjacent monogenetic edifices: results of melt inclusions study in minerals of two large volcanic centers (Kamchatka). Abstracts Volume of 7th International Maar Conference. 112–113.
 - Tolstykh M., Pevzner M., Volynets A., Babansky A. (2018). Ichinsky volcano: two types of melts in the minerals of 4200 14C eruption. 10th Biennual workshop on Japan-Kamchatka-Alaska subduction prcesses (JKASP-2018).
 - Volynets O.N. (1994) Geochemical types, petrology, and genesis of late Cenozoic volcanic rocks from the Kurile-Kamchatka island arc system. Int. Geol. Rev. 36, 373–405.
 - Volynets A., Churikova T., Woerner G., Gordeychik B., Layer P. (2010) Mafic Late Miocene – Quaternary volcanic rocks in the Kamchatka back arc region: implications for subduction geometry and slab history at the Pacific-Aleutian junction. Contrib. Mineral. Petrol. 159 (5), 659–687.
 
Supplementary files
				
			
					
						
						
						
						
									







