Spatial and temporal variability of the transformation of dissolved matter runoff in the Mezen’ River estuary
- Authors: Savenko A.V.1, Demidenko N.A.2, Pokrovsky O.S.3,4
-
Affiliations:
- M.V. Lomonosov Moscow State University
- N.N. Zubov State Oceanographic Institute
- Federal Research Centre of Complex Studying of the Arctic Region RAS
- National Research Tomsk State University
- Issue: Vol 59, No 2 (2019)
- Pages: 216-226
- Section: Химия моря
- URL: https://journals.eco-vector.com/0030-1574/article/view/13318
- DOI: https://doi.org/10.31857/S0030-1574592216-226
- ID: 13318
Cite item
Full Text
Abstract
Spatial and temporal variability of the transformation of dissolved matter runoff in the Mezen’ River estuary is studied by results of the complex hydrological-hydrochemical researches lead in 2009 and 2015. The conservative behavior of major ions and dissolved forms of Li, Rb, Cs, Sr, B, F, As, Sb, and Mo is demonstrated. The additional input into solution reaching 93 and 32–38% of content in the river water mass is determined for phosphates and silicon. This is caused, apparently, by mobilization of these nutrients from pore waters of regularly tide-stirred bottom sediments and vertical mixing of the water column. The desorption flux of barium and uranium due to long-term interaction of terrigenic material with saline waters exceeded their input with a continental runoff reaching 180–380 and 90–150% of content of these elements in the river waters. Up to 50, 43, 29, 32, 44, 50, and 45% of Fe, Pb, Y, La, Ce, Pr, and Nd supplying with river runoff which are present in the form of strong organic complexes are removed from solution at the beginning of the mixing zone due to coagulation of colloids. It is drawn a conclusion on spatial homogeneity and long-term stability of transformation features of dissolved matter runoff in the Mezen’ River estuary. Peculiar characteristic of migration of dissolved phosphates, silicon, barium, and uranium are caused by hydrological features of the estuary.
Full Text
В ходе предыдущих исследований [8] нами были выявлены отличительные черты трансформации стока растворенных веществ в эстуарии Мезени по сравнению с устьевыми областями других рек водосбора Белого моря (Онеги, Северной Двины, малых рек), в частности десорбция с речных взвесей урана и бария в количествах, превышающих их вынос с материковым стоком, и дополнительное поступление из поровых растворов фосфатов и кремния. Было показано, что специфика миграции растворенных компонентов в подверженном сильному воздействию приливных явлений эстуарии Мезени определяется формированием продольно перемещающейся зоны литоклина с высоким содержанием взвеси (до 1–13 кг/м3 [1, 3–5]), значительно превосходящим мутность вод на речном участке и устьевом взморье, а также регулярным взмучиванием донных отложений и вертикальным перемешиванием водной толщи, вызывающим усиление обменных процессов в поглощенном комплексе взвесей и на границе раздела вода–дно.
Вместе с тем остается неясным, насколько сильной пространственно-временной изменчивостью обладают установленные закономерности и можно ли считать полученные количественные характеристики консервативного или неконсервативного поведения растворенных компонентов устойчивыми в многолетнем плане. Целью настоящей работы стало выяснение этого вопроса по данным комплексных гидролого-гидрохимических исследований эстуария Мезени 2009 и 2015 гг.
МЕТОДИКА ИССЛЕДОВАНИЙ
В дополнение к проведенной в июле 2009 г. съемке эстуария Мезени (рис. 1а), результаты которой подробно изложены в [8], в августе 2015 г. были выполнены аналогичные экспедиционные исследования на 14 станциях, расположенных по разрезу от речной границы зоны смешения до выхода в открытую часть Мезенского залива, а также на рейдовой станции 15 (рис. 1б). Работы проводили с борта плоскодонного судна “Путеец”, за исключением мелководных участков и приливных осушек, где использовали спасательный вельбот или надувной катер типа “Зодиак”. Пробы воды отбирали из поверхностного слоя (0.5 м) пластиковым батометром: на продольном разрезе — в фазу, близкую к полной воде (на станциях 1–11 — в сизигию, на станциях 12–14 — в квадратуру); на рейдовой станции — каждый час в течение полусуточного приливно-отливного цикла.
Рис. 1. Расположение станций отбора проб воды в эстуарии Мезени в 2009 (а) и 2015 (б) гг.
Сразу после отбора проб проводили их фильтрацию и консервацию. Содержание хлоридов, карбонатную щелочность (Alkкарб ≈ HCO3) и концентрацию сульфатов измеряли соответственно объемными меркуриметрическим, ацидиметрическим методами и методом капиллярного электрофореза в пробах, предварительно отфильтрованных через плотный бумажный фильтр. Определение концентраций биогенных элементов (Pмин, Si) выполняли колориметрическими методами с молибдатом аммония и аскорбиновой кислотой и с молибдатом аммония и солью Мора в отфильтрованных через плотный бумажный фильтр пробах, законсервированных небольшим количеством хлороформа (1 мл на 100 мл пробы). Содержание главных катионов и микроэлементов определяли методом масс-спектрометрии с индуктивно связанной плазмой на приборе Agilent 7500ce в растворах, отфильтрованных через мембранный фильтр 0.45 мкм в полипропиленовые флаконы с предварительно внесенными туда аликвотами 5 N азотной кислоты марки ос. ч. (0.2 мл на 8 мл пробы). Мутность воды измеряли весовым методом после вакуумной фильтрации 0.55 л пробы через плотный бумажный фильтр. Относительная погрешность определений не превышала ±5% с учетом разбавления высокоминерализованных проб.
РЕЗУЛЬТАТЫ И ОБСУЖДЕНИЕ
Результаты определений содержания взвешенного вещества, а также концентраций главных ионов и растворенных микроэлементов представлены в табл. 1, 2.
Таблица 1. Гидрологические условия во время съемки и содержание ионов основного солевого состава в эстуарии Мезени в 2015 г.
№ станции | Дата | Время | Мутность s, г/м3 | Cl | SO4 | HCO3 | Na | K | Mg | Ca |
мг/л | ||||||||||
Продольный разрез в зоне смешения речных и морских вод | ||||||||||
1 | 04.08 | 1800 | 737 | 140 | 31.9 | 109.8 | 82.5 | 5.01 | 15.9 | 19.0 |
2 | То же | 1745 | 1060 | 317 | 56.0 | 109.8 | 186 | 9.29 | 26.5 | 22.5 |
3 | « | 1730 | 1071 | 594 | 99.5 | 107.4 | 320 | 14.3 | 40.5 | 28.5 |
4 | « | 1715 | 1053 | 776 | 136 | 107.4 | 441 | 18.3 | 54.5 | 33.9 |
5 | « | 1700 | 907 | 1900 | 307 | 108.0 | 1080 | 41.3 | 132 | 61.6 |
6 | « | 1640 | 679 | 2930 | 462 | 107.4 | 1710 | 62.8 | 202 | 84.9 |
7 | « | 1630 | 420 | 3760 | 587 | 105.5 | 2200 | 81.0 | 261 | 104 |
8 | « | 1620 | 811 | 5240 | 786 | 106.1 | 3010 | 109 | 358 | 134 |
9 | « | 1610 | 832 | 5480 | 826 | 104.9 | 3100 | 112 | 365 | 135 |
10 | « | 1550 | 328 | 7470 | 1070 | 104.9 | 4430 | 161 | 530 | 182 |
11 | « | 1530 | 154 | 6600 | 987 | 104.9 | 3690 | 134 | 436 | 157 |
12 | 11.08 | 925 | 39.1 | 12160 | 1790 | 114.7 | 6890 | 250 | 817 | 276 |
13 | То же | 945 | 37.2 | 11050 | 1610 | 112.9 | 6480 | 232 | 765 | 257 |
14 | « | 1015 | 23.6 | 15590 | 2250 | 119.6 | 8730 | 320 | 1040 | 345 |
Полусуточная рейдовая станция | ||||||||||
15 | 08.08 | 800 | 72.4 | 11020 | 1620 | 109.8 | 6190 | 226 | 733 | 248 |
« | То же | 900 | 102 | 11550 | 1640 | 110.4 | 6420 | 232 | 749 | 252 |
« | « | 1000 | 185 | 7710 | 1090 | 108.6 | 4070 | 150 | 480 | 169 |
« | « | 1100 | 361 | 9200 | 1280 | 109.2 | 5160 | 187 | 617 | 208 |
« | « | 1200 | 438 | 6740 | 982 | 106.1 | 3810 | 140 | 457 | 161 |
« | « | 1300 | 510 | 5820 | 836 | 104.9 | 3250 | 120 | 385 | 141 |
« | « | 1400 | 989 | 2740 | 397 | 105.5 | 1470 | 58.2 | 169 | 76.7 |
« | « | 1500 | 1278 | 1780 | 252 | 109.2 | 928 | 38.0 | 106 | 57.6 |
« | « | 1600 | 1080 | 1740 | 240 | 108.6 | 924 | 37.9 | 106 | 55.1 |
« | « | 1700 | 546 | 3260 | 472 | 106.8 | 1690 | 64.4 | 194 | 84.5 |
« | « | 1800 | 250 | 9850 | 1390 | 108.0 | 5780 | 211 | 680 | 229 |
« | « | 1900 | 152 | 10350 | 1520 | 109.8 | 6010 | 219 | 712 | 240 |
« | « | 2000 | 58.5 | 11850 | 1660 | 111.0 | 6840 | 252 | 820 | 264 |
Примечание. Здесь и в табл. 2 прочерк означает отсутствие данных.
Таблица 2. Содержание растворенных форм микроэлементов в эстуарии Мезени в 2015 г.
№ станции | Sr | B | Si | Pмин | Li | Rb | Cs | Ba | As | Sb | Mo | U | Fe | Pb | Y | La | Ce | Pr | Nd |
мг/л | мкг/л | ||||||||||||||||||
Продольный разрез в зоне смешения речных и морских вод | |||||||||||||||||||
1 | 0.24 | 0.090 | 3.86 | 25.3 | 3.75 | 2.00 | 0.010 | 6.0 | 1.47 | 0.058 | 0.41 | 0.16 | 157 | 0.116 | 0.143 | 0.136 | 0.253 | 0.038 | 0.165 |
2 | 0.31 | 0.12 | 4.35 | 31.0 | 5.18 | 3.14 | 0.012 | 6.8 | 1.60 | 0.073 | 0.50 | 0.26 | 141 | 0.118 | 0.121 | 0.116 | 0.224 | 0.035 | 0.140 |
3 | 0.41 | 0.14 | 5.14 | 34.2 | 6.58 | 4.43 | 0.014 | 8.7 | 1.63 | 0.061 | 0.58 | 0.27 | 112 | 0.143 | 0.115 | 0.106 | 0.187 | 0.027 | 0.124 |
4 | 0.55 | 0.18 | 5.16 | 47.4 | 8.23 | 5.43 | 0.016 | 10.5 | 1.51 | 0.076 | 0.74 | 0.31 | 90.7 | 0.135 | 0.105 | 0.094 | 0.153 | 0.021 | 0.083 |
5 | 1.00 | 0.42 | 4.46 | 43.5 | 17.7 | 12.1 | 0.035 | 20.8 | 1.53 | 0.070 | 1.27 | 0.45 | 75.3 | 0.086 | 0.097 | 0.091 | 0.114 | 0.015 | 0.070 |
6 | 1.44 | 0.77 | 4.03 | 39.2 | 27.9 | 18.2 | 0.035 | 25.2 | 1.53 | 0.084 | 1.75 | 0.62 | 57.8 | 0.058 | 0.086 | 0.075 | 0.082 | 0.013 | 0.066 |
7 | 1.80 | 0.82 | 3.77 | 34.5 | 34.7 | 24.2 | 0.058 | 29.4 | 1.67 | 0.089 | 2.17 | 0.77 | 57.9 | 0.047 | 0.077 | 0.065 | 0.091 | 0.011 | 0.056 |
8 | 2.38 | 1.11 | 2.86 | 30.4 | 46.7 | 33.3 | 0.091 | 33.8 | 1.66 | 0.099 | 2.97 | 1.03 | 54.9 | 0.037 | 0.077 | 0.060 | 0.057 | 0.012 | 0.038 |
9 | 2.38 | 1.12 | 3.04 | 27.9 | 48.7 | 33.7 | 0.074 | 33.7 | 1.52 | 0.098 | 3.04 | 1.06 | 52.9 | 0.040 | 0.071 | 0.042 | 0.056 | 0.010 | 0.049 |
10 | 3.31 | 1.89 | 1.97 | 20.8 | 70.1 | 48.0 | 0.095 | 30.2 | 1.61 | 0.107 | 4.19 | 1.42 | 50.2 | 0.023 | 0.062 | 0.033 | 0.053 | 0.007 | 0.037 |
11 | 2.81 | 1.45 | 2.44 | 22.2 | 58.2 | 40.8 | 0.094 | 32.3 | 1.55 | 0.106 | 3.45 | 1.27 | 53.0 | 0.028 | 0.065 | 0.042 | 0.056 | 0.009 | 0.040 |
12 | 5.07 | 2.76 | 0.45 | 6.0 | 107 | 76.1 | 0.182 | 24.3 | 1.61 | 0.139 | 6.28 | 1.92 | 47.5 | 0.007 | 0.053 | 0.016 | 0.030 | 0.005 | 0.029 |
13 | 4.72 | 2.51 | 0.54 | 6.0 | 103 | 68.2 | 0.168 | 26.2 | 1.72 | 0.122 | 5.85 | 1.85 | 53.3 | 0.009 | 0.057 | 0.023 | 0.035 | 0.006 | 0.029 |
14 | 6.41 | 3.52 | 0.27 | 3.8 | 134 | 95.5 | 0.223 | 19.5 | 1.68 | 0.174 | 8.32 | 2.36 | 50.9 | 0.002 | 0.050 | 0.012 | 0.016 | 0.002 | 0.028 |
Полусуточная рейдовая станция | |||||||||||||||||||
15 (800) | 4.66 | 2.63 | 1.24 | 9.8 | 100 | 66.9 | 0.180 | 27.4 | 1.69 | 0.143 | 6.30 | 1.77 | 49.8 | 0.012 | 0.056 | – | – | 0.006 | 0.028 |
« (900) | 4.84 | 2.45 | 1.30 | 11.0 | 98.6 | 71.5 | 0.172 | 29.0 | 1.62 | 0.145 | 5.56 | 1.84 | 47.6 | 0.010 | 0.056 | 0.025 | 0.038 | 0.005 | 0.027 |
« (1000) | 3.23 | 1.66 | 2.44 | 19.8 | 65.6 | 47.1 | 0.110 | 27.6 | 1.58 | 0.101 | 4.04 | 1.34 | 45.9 | 0.024 | 0.061 | 0.038 | 0.048 | 0.007 | 0.027 |
« (1100) | 4.04 | 2.21 | 1.91 | 16.5 | 81.0 | 58.5 | 0.153 | 29.7 | 1.70 | 0.112 | 5.22 | 1.57 | 45.9 | 0.016 | 0.061 | 0.038 | 0.039 | 0.005 | 0.024 |
« (1200) | 3.01 | 1.52 | 2.91 | 25.5 | 61.3 | 43.7 | 0.110 | 26.0 | 1.63 | 0.107 | 3.37 | 1.23 | 49.4 | 0.029 | 0.065 | 0.050 | 0.058 | 0.006 | 0.034 |
« (1300) | 2.60 | 1.35 | 3.19 | 27.2 | 52.9 | 37.1 | 0.090 | 24.5 | 1.65 | 0.107 | 3.16 | 1.10 | 55.1 | 0.028 | 0.069 | 0.042 | 0.060 | 0.008 | 0.046 |
« (1400) | 1.29 | 0.51 | 4.40 | 39.2 | 25.4 | 17.7 | 0.046 | 12.0 | 1.64 | 0.084 | 1.60 | 0.61 | 60.5 | 0.060 | 0.089 | 0.070 | 0.112 | 0.014 | 0.080 |
« (1500) | 0.93 | 0.43 | 4.70 | 42.3 | 21.8 | 12.6 | 0.033 | 9.6 | 1.62 | 0.077 | 1.24 | 0.46 | 102 | 0.063 | 0.128 | 0.111 | 0.180 | 0.038 | 0.133 |
« (1600) | 0.88 | 0.34 | 4.39 | 41.9 | 18.8 | 12.4 | 0.029 | 8.9 | 1.66 | 0.073 | 1.25 | 0.42 | 134 | 0.082 | 0.126 | 0.124 | 0.223 | 0.033 | 0.107 |
« (1700) | 1.46 | 0.70 | 4.25 | 38.3 | 30.3 | 20.9 | 0.051 | 15.9 | 1.57 | 0.074 | 1.66 | 0.67 | – | – | – | – | – | – | – |
« (1800) | 4.20 | 2.22 | 1.51 | 16.0 | 93.0 | 59.5 | 0.157 | 28.3 | 1.68 | 0.134 | 5.52 | 1.64 | 47.9 | 0.015 | 0.059 | 0.029 | 0.039 | 0.007 | 0.035 |
« (1900) | 4.45 | 2.53 | 1.33 | 11.8 | 95.4 | 64.3 | 0.146 | 30.1 | 1.57 | 0.122 | 5.23 | 1.69 | 47.5 | 0.011 | 0.053 | 0.026 | 0.036 | 0.005 | 0.027 |
« (2000) | 4.90 | 2.76 | 0.94 | 9.6 | 105 | 71.3 | 0.153 | 27.6 | 1.63 | 0.133 | 6.16 | 1.86 | 50.3 | 0.005 | 0.054 | 0.021 | 0.036 | 0.006 | 0.022 |
Содержание взвешенного вещества. Распределение содержания взвешенного вещества в поверхностных водах эстуария Мезени в 2015 г. было аналогичным таковому в 2009 г. (рис. 2а). Воды эстуария обладали аномально высокой мутностью, которая увеличивалась от 400–700 г/м3 на его речной границе до 1000–1300 г/м3 в зоне литоклина, располагавшейся в 2009 и 2015 гг. в интервале хлорности соответственно 3.5–5.0 и 0.5–2.0 г/л. При дальнейшем осолонении вод содержание взвеси плавно снижалось до значений порядка десятков г/м3 на морской границе эстуария. Примечательно, что данные полусуточной рейдовой станции 2015 г. хорошо согласуются с распределением мутности на продольном разрезе во время этой съемки. Это указывает на отсутствие значимых кратковременных вариаций формы зависимости между содержанием взвешенного вещества и хлоридов.
Рис. 2. Распределение содержания взвешенного вещества в поверхностных водах эстуария Мезени (а) и изменение его во времени на рейдовой станции (б).
1 — продольный разрез в зоне смешения речных и морских вод, 2009 г. [8]; 2 — то же, 2015 г.; 3 — полусуточная рейдовая станция, 2015 г.
Изменение мутности на рейдовой станции в эстуарии Мезени во времени (рис. 2б), несмотря на высокие абсолютные концентрации взвешенного вещества, имеет типичный для полусуточного приливно-отливного цикла вид, характерный для многих подверженных сильному воздействию приливов устьевых областей рек, например для эстуария р. Тай в Шотландии [10]: в фазу отлива содержание взвеси возрастает и достигает максимума при низкой воде, превышая мутность речного стока, а затем по мере распространения приливной волны снижается до прежнего уровня.
Консервативные растворенные компоненты. К консервативным компонентам, распределение которых контролируется процессами гидродинамического смешения речных вод с морской водной массой и описывается линейными зависимостями их концентраций от содержания хлоридов
[i, мг/л] = a + b[Cl, мг/л], (1)
где a — постоянный параметр, близко соответствующий концентрации компонента i в речных водах; b — угловой коэффициент, в эстуарии Мезени относятся все главные ионы (Na, K, Mg, Ca, SO4, HCO3) и ряд микроэлементов (Li, Rb, Cs, Sr, B, F, As, Sb, Mo). В табл. 3 приведены параметры зависимостей (1) для этих компонентов, которые являются общими для 2009 и 2015 гг., что свидетельствует об их многолетней устойчивости и слабом влиянии изменчивости химического состава речного стока.
Таблица 3. Распределение ионов основного солевого состава и растворенных форм биогенных элементов и микроэлементов в эстуарии Мезени
Компонент i | Годы наблюдений* | Поведение | Параметры зависимостей (1) или величины дополнительного поступления (удаления)** | Число проб (n) | ||
a | b | r | ||||
Главные ионы | ||||||
Na | 2009, 2015 | Конс. | 19.3 | 0.568 | 0.998 | 38 |
K | То же | Конс. | 1.92 | 0.0206 | 0.999 | 38 |
Mg | « | Конс. | 5.46 | 0.0677 | 0.997 | 38 |
Ca | « | Конс. | 19.4 | 0.0209 | 0.997 | 38 |
SO4 | « | Конс. | 19.1 | 0.143 | 0.999 | 38 |
HCO3 | « | Конс. | 103.8 | 7.51×10–4 | 0.656 | 38 |
Биогенные элементы | ||||||
Pмин | 2009, 2015 | Неконс. | Избыток, максимум 93% при Cl = 0.4–0.8 г/л | 38 | ||
Si | То же | Неконс. | Избыток, максимум 32–38% при Cl = 0.4–0.8 г/л | 38 | ||
Микроэлементы | ||||||
Li | 2009, 2015 | Конс. | 2.6×10–3 | 8.76×10–6 | 0.996 | 38 |
Rb | То же | Конс. | 1.3×10–3 | 6.06×10–6 | 0.999 | 38 |
Cs | « | Конс. | 4.5×10–6 | 1.45×10–8 | 0.962 | 38 |
Sr | « | Конс. | 0.21 | 4.04×10–4 | 0.999 | 38 |
Ba | « | Неконс. | Избыток, максимум 180–380% при Cl = 4.5–9 г/л | 38 | ||
B | « | Конс. | 0.018 | 2.27×10–4 | 0.993 | 38 |
F | 2009 | Конс. | 0.13 | 5.93×10–5 | 0.999 | 11 |
As | 2009, 2015 | Конс. | 1.5×10–3 | 8.05×10–9 | 0.514 | 38 |
Sb | 2015 | Конс. | 6.2×10–5 | 6.49×10–9 | 0.973 | 27 |
Mo | 2009, 2015 | Конс. | 2.9×10–4 | 5.05×10–7 | 0.996 | 38 |
U | То же | Неконс. | Избыток, максимум 90–150% при Cl = 9 г/л | 38 | ||
Fe | 2015 | Неконс. | Потери, максимум 50% при Cl = 2.0–3.0 г/л | 26 | ||
Pb | То же | Неконс. | Потери, максимум 43% при Cl = 3.0–5.0 г/л | 26 | ||
Y | 2009, 2015 | Неконс. | Потери, максимум 29% при Cl = 3.0–5.0 г/л | 36 | ||
La | То же | Неконс. | Потери, максимум 32% при Cl = 3.0–5.0 г/л | 36 | ||
Ce | « | Неконс. | Потери, максимум 44% при Cl = 3.0–5.0 г/л | 36 | ||
Pr | 2015 | Неконс. | Потери, максимум 50% при Cl = 3.0–4.0 г/л | 26 | ||
Nd | « | Неконс. | Потери, максимум 45% при Cl = 3.0–4.0 г/л | 26 | ||
* Результаты измерений, проведенных в 2009 г., за исключением Y, La и Ce, опубликованы в [8].
** В % относительно содержания в речной водной массе.
Неконсервативные растворенные компоненты. Неконсервативное поведение, которое может быть вызвано внутриводоемными химическими или биологическими процессами, а также обменными процессами на границе раздела вода–дно, приводящими к отклонению фактических концентраций компонентов от расчетных значений по уравнению консервативного смешения (1), в эстуарии Мезени характерно для биогенных элементов (Pмин, Si), бария, урана, железа, свинца, иттрия и редкоземельных элементов (La, Ce, Pr, Nd).
Распределение растворенных форм минерального фосфора и кремния в 2015 г. имело те же специфические черты, что и в 2009 г.: на первом этапе осолонения концентрации обоих биогенных элементов резко возрастали, после чего начиналось их линейное снижение с ростом содержания хлоридов, замедляющееся только вблизиморской границы эстуария (рис. 3). Максимальные величины дополнительного поступления минерального фосфора и кремния в раствор в 2009 и 2015 гг. на продольных разрезах и рейдовой станции были близки между собой и составили 0.023–0.025 мг P/л (93% содержания в речной водной массе) и 0.9–1.5 мг Si/л (32–38% содержания в речной водной массе) при хлорности 0.4–0.8 г/л (табл. 3).
Рис. 3. Зависимости концентраций растворенных форм минерального фосфора и кремния в эстуарии Мезени от содержания хлоридов.
1 — продольный разрез в зоне смешения речных и морских вод, 2009 г. [8]; 2 — то же, 2015 г.; 3 — полусуточная рейдовая станция, 2015 г. Здесь и на рис. 4–6 пунктиром обозначены расчетные линии консервативного смешения.
Как отмечалось в [8], наблюдаемое распределение растворенных фосфатов и кремния не-типично для побережий Белого моря, где в вегетационный период происходит удаление значительной части этих элементов в результате биологической ассимиляции, и контролируется, по-видимому, процессом реминерализации органического вещества в донных отложениях, которые в силу гидрологических особенностей эстуария регулярно взмучиваются и контактируют с вертикально перемешивающейся водной толщей. Поэтому дополнительное поступление биогенных элементов находится в прямой зависимости от количества осаждающихся в разных частях эстуария взвешенных наносов (и соответственно подвергающегося деструкции органического вещества), которые наиболее интенсивно аккумулируются вскоре после выхода смешивающихся вод в эстуарий, а затем седиментационный поток уменьшается пропорционально степени разбавления речных вод морской водой.
Барий в зоне смешения речных и морских вод интенсивно вовлекается в сорбционно-десорбционные процессы, причем в большинстве изученных устьев рек установлено его дополнительное поступление в раствор [2, 7–9]. Для эстуария Мезени также характерна десорбция бария, однако вследствие продолжительного контакта терригенного материала с осолоненными водами его поток в 5–8 раз больше такового в устьевых областях других крупнейших рек водосбора Белого моря — Онеги и Северной Двины — и превышает вынос этого элемента в составе материкового стока (рис. 4, табл. 3). Дополнительное поступление растворенного бария в 2009 и 2015 гг. достигало соответственно 22 и 23 мкг/л (180 и 380% содержания в речных водах, равного 12 и 6 мкг/л) при хлорности 4.5–5.5 г/л на трансэстуарных разрезах и 16 мкг/л (270% содержания в речной водной массе) при хлорности 9 г/л на полусуточной рейдовой станции. Отклонение области максимального поступления бария от зоны литоклина (пика содержания взвешенного вещества) в сторону большей солености может возникать в силу конечной скорости протекания обменных процессов в поглощенном комплексе речных взвесей. Особенно заметно это для рейдовой станции, где максимум десорбции приходится на содержание хлоридов 9 г/л, тогда как на продольных разрезах наибольшая интенсивность десорбции отмечается в диапазоне хлорности 4.5–5.5 г/л. Вместе с тем данные 2009 и 2015 гг. хорошо согласуются между собой, что подтверждает сделанные в [7] выводы о многолетней устойчивости распределения бария и указывает на его непосредственную связь с распределением взвешенного вещества.
Многократное возрастание результирующего эффекта обменных процессов в поглощенном комплексе речных взвесей также послужило причиной десорбции в эстуарии Мезени растворенного урана, для которого в большинстве изученных устьев рек мира отмечалось формально консервативное поведение [2, 7, 8], а экспериментальные исследования [6] показали его незначительное сорбционное поглощение, составляющее 4–6% поступления с глобальным материковым стоком. Как в 2009, так и в 2015 г. дополнительное поступление урана в раствор происходило на протяжении всего эстуария, достигая максимальных величин при содержании хлоридов ~9 г/л: 0.22 и 0.13 мкг/л (соответственно 150 и 90% содержания в речных водах, равного 0.15 мкг/л) для продольных разрезов и полусуточной рейдовой станции (рис. 4, табл. 3). Поэтому даже в условиях неполного достижения сорбционного равновесия, что, скорее всего, имело место на рейдовой станции, возникающий избыток урана по порядку величины сравним с его выносом речным стоком, и данная закономерность остается неизменной для разных лет.
Рис. 4. Зависимости концентраций растворенных форм бария и урана в эстуарии Мезени от содержания хлоридов.
1 — продольный разрез в зоне смешения речных и морских вод, 2009 г. [8]; 2 — то же, 2015 г.; 3 — полусуточная рейдовая станция, 2015 г.
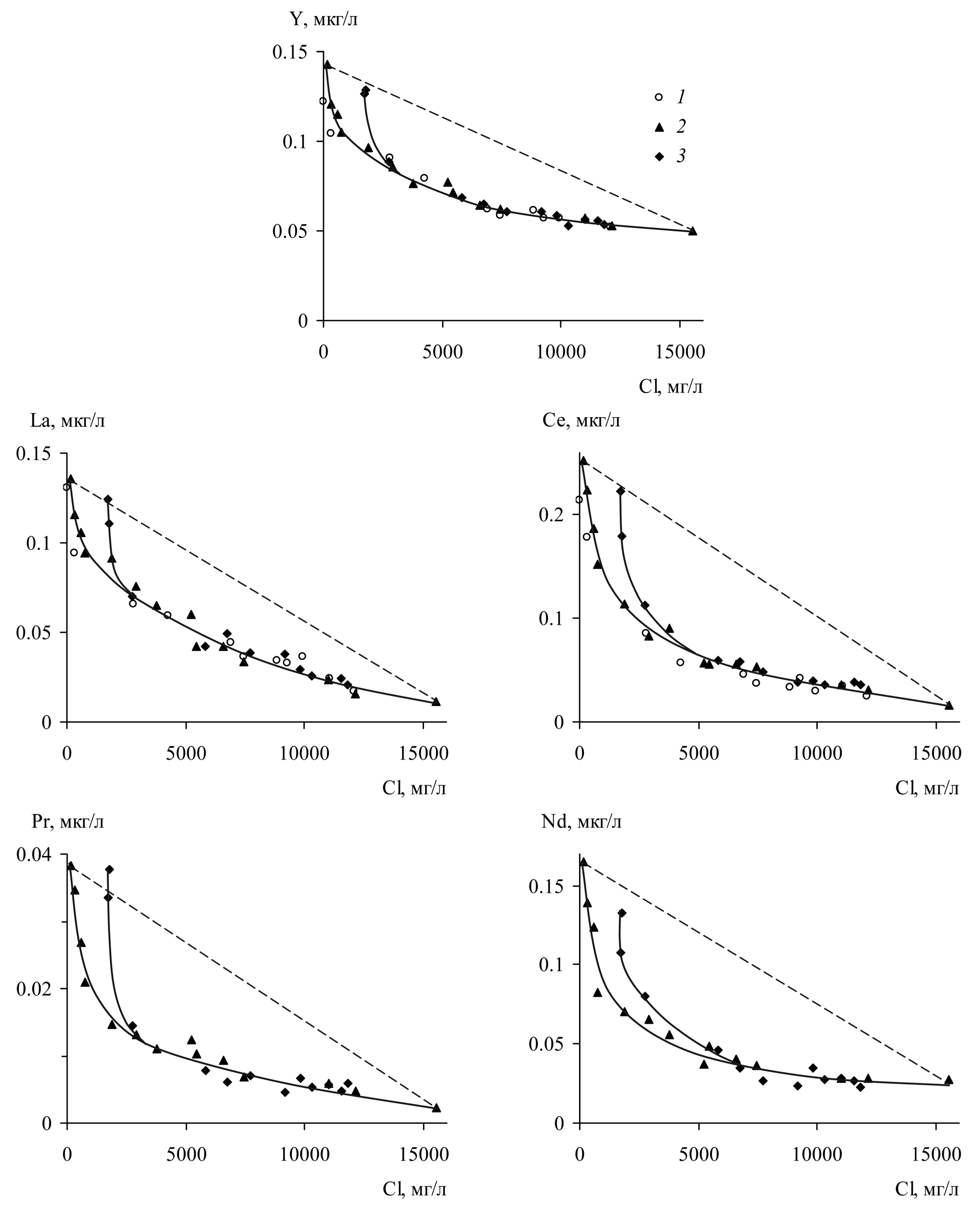
Распределение в эстуарии Мезени железа, свинца, иттрия и редкоземельных элементов (La, Ce, Pr, Nd), которые образуют прочные комплексы с растворенным органическим веществом и находятся как в истинно растворенном, так и в коллоидном состоянии, тоже было идентичным для продольных разрезов 2009 и 2015 гг. (для Y, La и Ce) и несколько отличалось только на рейдовой станции в области низкой солености: на начальном этапе смешения речных и морских вод наблюдалось резкое снижение концентраций указанных элементов, замедляющееся при содержании хлоридов >2–3 г/л (рис. 5, 6). Наибольшее количество железа (78 мкг/л, или 50% содержания в речной водной массе) удалялось при содержании хлоридов 2–3 г/л; максимальные потери свинца, иттрия, лантана, церия, празеодима и неодима отмечались при хлорности 3–5 г/л и составили соответственно 62, 42, 44, 112, 19 и 74 нг/л, или 43, 29, 32, 44, 50 и 45% их поступления с речным стоком (табл. 3). Такое поведение элементов, связанных в органические комплексы, типично для устьевых областей рек мира [2, 7, 8] и обусловлено их извлечением из раствора в составе коллоидной фракции, переходящей во взвешенное состояние в процессе коагуляции и флоккуляции органических и органо-минеральных коллоидов, что было подробно рассмотрено в [2].
Рис. 5. Зависимости концентраций растворенных форм железа и свинца в эстуарии Мезени от содержания хлоридов в 2015 г.
1 — продольный разрез в зоне смешения речных и морских вод; 2 — полусуточная рейдовая станция.
Рис. 6. Зависимости концентраций растворенных форм иттрия и редкоземельных элементов в эстуарии Мезени от содержания хлоридов.
1 — продольный разрез в зоне смешения речных и морских вод, 2009 г. [8]; 2 — то же, 2015 г.; 3 — полусуточная рейдовая станция, 2015 г.
Таким образом, полученные результаты свидетельствуют о пространственном единстве и многолетней устойчивости закономерностей трансформации стока растворенных веществ в эстуарии Мезени, включая главные ионы, биогенные элементы и микроэлементы, при сохранении специфических черт миграции растворенных форм минерального фосфора, кремния, бария и урана, обусловленных гидрологическими особенностями эстуария.
ВЫВОДЫ
- В результате комплексных гидролого-гидрохимических исследований эстуария Мезени установлено консервативное поведение ионов основного солевого состава (Na, K, Mg, Ca, SO4, HCO3) и растворенных форм ряда микроэлементов (Li, Rb, Cs, Sr, B, F, As, Sb, Mo) с общими для 2009 и 2015 гг. параметрами зависимостей их концентраций от содержания хлоридов, что свидетельствует о многолетней устойчивости распределения указанных компонентов.
- Для минерального фосфора и кремния характерно нетипичное для побережий Белого моря дополнительное поступление в раствор примерно в одинаковом количестве по данным 2009 и 2015 гг. (соответственно до 93 и до 32–38% содержания Pмин в Si речной водной массе), что, вероятнее всего, связано с их выносом из поровых вод донных отложений, регулярно взмучивающихся под действием приливов, и вертикальным перемешиванием водной толщи в эстуарии.
- Закономерности миграции растворенных форм бария и урана также практически неизменны для разных лет и определяются влиянием обменных процессов в поглощенном комплексе речных взвесей, результирующий эффект которых вследствие продолжительного контакта терригенного материала с осолоненными водами многократно возрастает, и десорбционный поток этих элементов превышает их вынос в составе материкового стока, достигая соответственно 180–380 и 90–150% содержания бария и урана в речных водах.
- Поведение железа и других микроэлементов, образующих прочные органические комплексы, соответствует обычно наблюдаемому распределению в устьях рек мира: из раствора удаляется до 50, 43, 29, 32, 44, 50 и 45% поступающих с речным стоком железа, свинца, иттрия, лантана, церия, празеодима и неодима в результате коагуляции и флоккуляции органических и органо-минеральных коллоидов.
Источник финансирования. Работа выполнена при финансовой поддержке РФФИ (проекты № 16-05-00369 и № 16-05-01018) и РНФ (проект № 14-37-00038).
About the authors
A. V. Savenko
M.V. Lomonosov Moscow State University
Author for correspondence.
Email: Alla_Savenko@rambler.ru
Faculty of Geology
Russian Federation, MoscowN. A. Demidenko
N.N. Zubov State Oceanographic Institute
Email: Alla_Savenko@rambler.ru
Russian Federation, Moscow
O. S. Pokrovsky
Federal Research Centre of Complex Studying of the Arctic Region RAS; National Research Tomsk State University
Email: Alla_Savenko@rambler.ru
Russian Federation, Arkhangelsk; Tomsk
References
- Альтшулер В. М., Парванян А. Я. Особенности динамики приливов в устье р. Мезени // Информационный сборник. Гидропроект, Ленинградское отд. 1962. № 24. С. 44–50.
- Гордеев В. В. Геохимия системы река–море. М.: И. П. Матушкина И. И., 2012. 452 с.
- Демиденко Н. А., Землянов И. В., Горелиц О. В., Михайлов В. Н. Исследование гидролого-морфологических процессов в устьевой области реки Мезень для целей проектирования Мезенской приливной электростанции // Тр. ГОИН. 2008. Вып. 211. С. 273–288.
- Полонский В. Ф., Лупачев Ю. В., Скриптунов Н. А. Гид-ролого-морфологические процессы в устьях рек и методы их расчета (прогноза). СПб.: Гидрометеоиздат, 1992. 383 с.
- Протопопов И. Д. Несколько данных о гидрологическом режиме р. Мезени // Исследования морей СССР. Вып. 16. Л.: Изд-во ГГИ, 1932. С. 87–102.
- Савенко А. В. Факторы, контролирующие геохимию урана в зоне смешения речных и морских вод // Геохимия. 2007. № 9. С. 1030–1037.
- Савенко А. В., Бреховских В. Ф., Покровский О. С. Миграция растворенных микроэлементов в зоне смешения вод Волги и Каспийского моря (по многолетним данным) // Геохимия. 2014. № 7. С. 590–604.
- Савенко А. В., Демиденко Н. А., Покровский О. С. Химическая трансформация стока растворенных веществ в устьевых областях Онеги и Мезени // Геохимия. 2016. № 5. С. 447–456.
- Coffey M., Dehairs F., Collette O. et al. The behaviour of dissolved barium in estuaries // Estuar. Coast. Shelf Sci. 1997. V. 45. № 1. P. 113–121.
- Sholkovitz E. R. Chemical and physical processes controlling the chemical composition of suspended material in the River Tay Estuary // Estuar. Coast. Marine Sci. 1979. V. 8. № 6. P. 523–545.
Supplementary files








