Organic substances of sea bottom sediments in conditions of the coast urbanization (for example Kazachiya Bay, The Black Sea)
- Авторлар: Soloveva O.V.1, Tikhonova E.A.1, Klimenko T.L.2, Skrupnik G.V.2, Votinova T.V.2
-
Мекемелер:
- The A.O. Kovalevsky Institute of Marine Biological Research, Russian Academy of Sciences
- Azov Institute of Fisheries Research
- Шығарылым: Том 59, № 2 (2019)
- Беттер: 234-242
- Бөлім: Химия моря
- URL: https://journals.eco-vector.com/0030-1574/article/view/13320
- DOI: https://doi.org/10.31857/S0030-1574592234-242
- ID: 13320
Дәйексөз келтіру
Толық мәтін
Аннотация
The data on the hydrocarbons compound in the sea bottom sediments of adjacent water area to the zone of mass cottage building (Kazachiya Bay, the coast of Sevastopol, the Black Sea) are given. As a result of the survey conducted in the summer of 2015, pH, Eh, natural moisture, chloroform extractable substances, oil hydrocarbons, petroleum products, polyaromatic hydrocarbons and n-paraffins in the sea bottom sediments of the water area were determined. Areas with unfavorable and moderately adverse environmental conditions are identified. The impact of coastal urbanization on the deterioration condition of the sea bottom sediment is shown.
Толық мәтін
ВВЕДЕНИЕ
В настоящее время во многих регионах Российской Федерации встал остро вопрос массовой жилой застройки, которая влечет за собой освоение новых земель, расширение городской черты и, соответственно, увеличение стоков с селитебной территории. Исключение не составил и город-герой Севастополь, который в настоящее время лидирует в стране по количеству вводимого в эксплуатацию жилья. Ярким примером является территория, прилегающая к б. Казачьей. Данный район расположен в 15 км от центра города между Камышовой бухтой и мысом Фиолент в западной части Гераклейского полуострова (рис. 1). Это один из наиболее динамично развивающихся микрорайонов, где проживает, по предварительным данным, более 12 тыс. человек [20].
Рис. 1. Карта-схема станций отбора проб донных отложений в б. Казачья.
На берегах бухты в последние годы активно ведется как многоквартирное, так и индивидуальное строительство, функционирует большое количество частных пансионатов. Интенсивная застройка прибрежной зоны вызвала рост нагрузки на ее акваторию. Вместе с канализационными и ливневыми стоками, которые в большинстве случаев попадают в морскую воду в неочищенном виде, привносятся и органические вещества, в том числе нефтяного происхождения. Об этом факте свидетельствуют полученные нами данные о содержании хлороформ-экстрагируемых веществ (ХЭВ) и нефтяных углеводородов (НУ) в донных отложениях данной акватории [1].
Ранее исследуемая акватория считалась условно чистой и использовалась как эталон для сравнения ее состояния с другими закрытыми участками севастопольского побережья. Так, в 2003 г. морские грунты Казачьей бухты относили к слабо загрязненным, а полученные позднее результаты показали повышение уровня их загрязнения. Количество поллютантов увеличилось в период с 2003 по 2012 г. [3]. НУ в большей степени стали накапливаться в илах вершины бухты, при этом за последнее десятилетие их концентрация здесь возросла в 2 раза. Исключение не составил и 2015 г. При проведении планового мониторинга акватории нами отмечено визуальное ухудшение качества среды. Донные отложения вершинной части бухты были представлены черными илами с большим количеством гниющей органики и запахом сероводорода. По сравнению с предыдущими исследованиями запах стал более резким. Этот факт вызвал необходимость проведения расширенных работ на данном полигоне, включающих в себя определение качественного и количественного состава загрязняющих органических соединений.
Целью данной работы стал анализ состава органических веществ, в том числе углеводородов, в донных отложениях акватории, прилегающей к району массовой застройки, на примере б. Казачья (акватория г. Севастополя, Черное море).
МАТЕРИАЛ И МЕТОДЫ
Пробы донных отложений отбирали на 6 станциях в б. Казачья в рамках многолетнего мониторинга отдела морской санитарной гидробиологии ФГБУН «Институт морских биологических исследований имени А. О. Ковалевского» РАН (ФГБУН ИМБИ) с помощью дночерпателя Петерсона (площадь захвата 0.038 м2) летом 2015 г. Нумерация станций соблюдена — станции 48–53 (рис. 1). В свежеотобранных пробах определяли натуральную влажность весовым методом, pH и Eh — с помощью рН-метр-термометра «Нитрон-рН». В подготовленных воздушно-сухих пробах донных отложений (высушивали при нормальных условиях, удаляли крупные раковины моллюсков и обрывки водорослей, растирали и просеивали через сита с диаметром ячеек 0.25 мм) определяли количество ХЭВ весовым методом. Для дальнейшего определения содержания НУ в пробе ее перерастворяли в четыреххлористом углероде и пропускали через колонку с окисью алюминия. В полученном экстракте определяли количество НУ методом инфракрасной (ИК) спектрометрии на спектрофотометре ФСМ-1201 в ближней ИК области спектра (2700–3100 см-1).
Отбор проб донных отложений на содержание нефтепродуктов (НП), полиароматических углеводородов (ПАУ) и н-парафинов проводили в соответствии с ГОСТ 17.1.5.01-80. Для анализа брали поверхностный 2-сантиметровый слой. Отобранный материал тщательно перемешивали неметаллическим шпателем и помещали в стеклянную банку.
Для определения НП (ФР.1.31.2005.01512), ПАУ (ФР.1.31.2007.03548), н-парафинов (ФР.1.31.2010.08907) пробы помещали в чистую стеклянную посуду с навинчивающейся или притертой пробкой. Посуду предварительно промывали хромовой смесью (1 раз), тщательно ополаскивали водопроводной (4–5 раз) и дистиллированной (2 раза) водой. Хранили пробы донных отложений при температуре не выше 4°C не более 2 недель. Масса пробы около 400 г.
Определение НП в донных отложениях проводили согласно ФР.1.29.2012.12493 «Методика измерения массовой доли НП в пробах почв и донных отложений пресных и морских водных объектов люминесцентным методом». Методика их измерения по сумме углеводородов и смолистых веществ основана на выделении исследуемого вещества из влажных донных отложений и почв последовательной экстракцией ацетоном и хлороформом, концентрировании экстракта и хроматографическом разделении углеводородов и смолистых веществ в тонком слое оксида алюминия в системе растворителей «гексан: четыреххлористый углерод: уксусная кислота». Количественное определение выделенных углеводородов и смолистых веществ проводят люминесцентным методом, который основан на измерении интенсивности люминесценции их элюатов. Количество НП определяют по суммарному содержанию углеводородов и смолистых веществ. Оптическую плотность элюатов углеводородов измеряли на ИК-спектрофотометре IR-Prestige-21 (Шимадзу, Япония), интенсивность поглощения рассчитывали по сумме оптических плотностей при двух частотах (n = 2926 см-1 и n = 2956 см-1). Интенсивность люминесценции углеводородов измеряли на спектрофлуориметре RF-5301 (Шимадзу, Япония) при λвозб = 370 нм и λлюм = 460 нм.
Определение ПАУ в донных отложениях проводили согласно ФР.1.31.2007.03548 «Методика выполнения измерений массовой доли полициклических ароматических углеводородов в пробах почв и донных отложений пресных и морских водных объектов». Она основана на их выделении из донных осадков и почв экстракцией смесью гексана и ацетонитрила (10:1), концентрировании экстракта, хроматографическом отделении углеводородной фракции в тонком слое оксида алюминия, концентрировании его элюата. Идентификация и количественное определение ПАУ проводится методом высокоэффективной жидкостной хроматографии. Иден-тификацию и определение индивидуальных по-лициклических ароматических углеводородов в воде и донных отложениях проводили на жид-костном хроматографе Beta-10US фирмы «ЕКОМ» с люминесцентным детектором (RF-5301 PC) и колонкой Yanapak ODS-T.
Определение н-парафинов в донных отложениях проводили согласно ФР.1.31.2010.08907 «МВИ массовых долей н-парафиновых углеводородов в пробах почв и донных отложений пресных и морских водных объектов методом газожидкостной хроматографии». Метод основан на их выделении из донных отложений и почв последовательной экстракцией ацетоном и н-гексаном, очистке экстракта на колонке с оксидом алюминия от мешающих анализу органических соединений, концентри-ровании экстракта до нужного объема и газохроматографическом качественном и количественном определении.
Идентификацию индивидуальных н-парафи-нов проводят по временам удерживания. Количественно их содержание рассчитывают по площадям хроматографических пиков на хроматограммах аттестованных растворов и экстракта пробы донных отложений с учетом степени экстракции данного н-парафина. Работы проводили на газовом хроматографе «Кристалл 2000М» (фирма «Хроматэк», Россия) с пламенно-ионизационным детектором и капиллярной хроматографической колонкой размером 30 м × 0.25 мм (фаза NB 1701).
РЕЗУЛЬТАТЫ И ОБСУЖДЕНИЕ
Характер донных отложений в бухте был достаточно однороден. В середине водоема и на выходе отмечены пески с примесью ила и ракуши, за исключением ст. 50, где морские грунты представлены ракушняком. Натуральная влажность донных отложений связана с их гранулометрическим составом и в среднем составляла 56%. Пески (ст. 53) и ракушняки (ст. 50) имели минимальную натуральную влажность — 33 и 29% соответственно, максимальная величина была в заиленных донных отложениях — от 57 (ст. 52) до 79% (ст. 48). Eh в донных осадках был в основном отрицательным (от -159 до -223 мВ), что характерно для илистых отложений, за исключением песков ст. 53, где был зафиксирован положительный редокс-потенциал (+9 мВ). В илистых донных осадках был несколько заниженный рН от 7.25 до 7.42, тогда как в песках и ракушняках исследуемой акватории он колебался от 8.0 до 8.06.
Из полученных данных видно, что вершинная ст. 48 отличалась не только органолептическими свойствами донных отложений, но и физико-химическими параметрами: максимальной натуральной влажностью (79%), минимальным значением Eh (-223 мВ) и заниженным показателем рН (7.33).
Содержание ХЭВ в донных отложениях исследуемого полигона колебалось в широких пределах (рис. 2).
Рис. 2. Концентрации нефтепродуктов (НП, мг/г), хлороформ-экстрагируемых веществ (ХЭВ, мг/100 г) и нефтяных углеводородов (НУ, мг/100 г) в донных отложениях б. Казачья.
Максимальных значений оно достигало на станции 48 — 186.7 мг/100 г, минимальным было на станциях 50 и 53 порядка 6–10 мг/100 г. Таким образом, различные участки б. Казачья неоднородны по уровням загрязнения [5]: станции 48 и 51 можно отнести к III уровню, т. е. к такому состоянию, когда начинается деградация биоценозов; станции 49 и 52 относятся ко II, но ее показатели лежат близко к верхней границе; остальные точки принадлежат к I уровню загрязнения, т. е. к чистым акваториям с благоприятными условиями существования донных сообществ. Диапазоны концентраций поллютантов, соответствующих определенным уровням загрязнения, представлены в табл. 1.
Таблица 1. Уровни загрязнения донных отложений
ХЭВ [5] | ПАУ [19] | Б(а)П [12] | |||
Уровень загрязнения | Диапазон концентраций, мг/100 г | Уровень загрязнения | Диапазон концентраций, нг/г | Уровень загрязнения | Диапазон концентраций, нг/г |
I | 0–50 | Чистый | <250 | Чистый | <5 |
II | 50–100 | Умеренный | 250–500 | Умеренный | 5–30 |
III | 100–500 | Сильный | >500 | Сильный | >30 |
IV | 500–1000 | - | - | - | - |
V | >1000 | - | - | - | - |
Содержание НУ в донных отложениях колебалось в пределах от 2.1 до 43.3 мг/100 г. Наиболее загрязненными были станции 48 и 49. Наименьшее содержание НУ отмечено на станциях 50 и 53. В целом зафиксированные уровни их содержания можно оценить как невысокие, характерные для прибрежных районов городов. Нормативы РФ по содержанию НУ в донных отложениях отсутствуют, но в европейских странах подобные величины уже разработаны. Исходя из них, предельно-допустимая концентрация (ПДК) НУ составляет 5 мг/100 г [17]. Таким образом, превышение ПДК по данному показателю в исследуемом районе отмечено на станциях 48, 49, 51, 52. На остальных точках пробоотбора превышения данного показателя не выявлено.
Экологическое состояние акватории может характеризовать не только общее количество поллютантов органического происхождения, а соотношение отдельных компонентов загрязнения. Данные показатели могут указывать на природу исследуемого класса веществ, которые, возможно, накопились в донных осадках как в результате различного рода антропогенной деятельности, так и при естественных процессах. Индекс CPI (carbon preference index), представляющий собой соотношение нечетных алканов к четным, для осадков данного района колебался от 0.96 до 0.98. Такие показатели CPI не позволяют однозначно судить о преимущественно автохтонной или аллохтонной их природе.
Доля НУ, которые можно считать преимущественно слаботрансформированной фракцией, колебалась в широких пределах и составляла от 6 до 98% от общего количества НП. На станциях с повышенным содержанием НУ и НП доля тяжелых фракций нефти была меньшей, чем на более благополучных участках. Данное соотношение определяется широким спектром факторов и зависит как от физико-химических условий среды, интенсивности процессов биотрансформации, так и от состава поллютантов, поступающих в водоем.
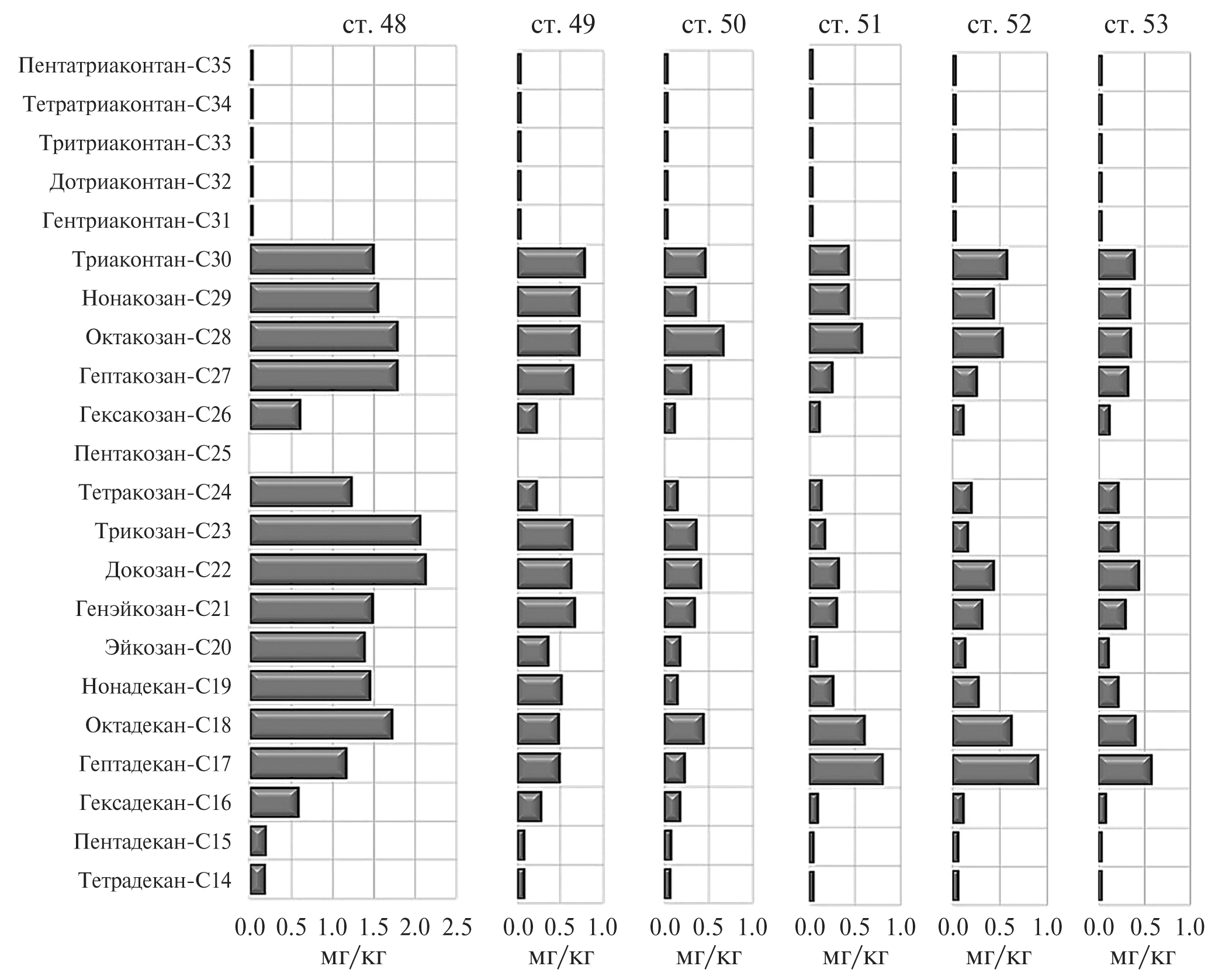
Хроматографический анализ позволил на всех станциях полигона выделить из отобранных отложений углеводороды парафинового ряда в диапазоне С14–С35 (рис. 3). В большинстве случаев для хроматограмм донных осадков характерно наличие алканов С17–С35 [4, 6], а наличие более легких гомологов зачастую говорит об относительно свежем (до 30 суток) поступлении НУ. Это связано с приоритетным потреблением легких гомологов микрофлорой. Как показано в экспериментах по биодеградации нефти, содержащей в исходном виде н-парафины от С11 до С24 с максимумом пиков С13–С15, углеводороды C11–C14 исчезают из смеси в течение 30 суток, а гомологи до C17 — в течение 2 месяцев [2]. Присутствие парафинов до С25 также связывают с данным фактом [10, 11]. Особенно в этом отношении выделяется наиболее приближенная к району застройки ст. 48, доля парафинов на которой в диапазоне С14–С16 существенно выше, чем на остальных участках акватории. Данное явление в меньшей мере характерно для ст. 49, географически близкой к ст. 48.
Рис. 3. Углеводороды парафинового ряда донных отложений б. Казачья.
Общее содержание ПАУ существенно различалось в пределах района исследований (рис. 4). На ст. 48 оно достигало 2000.3 нг/г сух. массы, а на ст. 53 не превышало 33.4 нг/г сух. массы. Наибольшее содержание ПАУ характерно для станций 48 и 49. Коэффициент корреляции между н-алканами и ПАУ составлял 0.76, что может быть связано с общим источником поступления этих углеводородных классов. Зафиксированное в донных отложениях б. Казачьей содержание ПАУ несколько выше, чем характерные для Черного моря величины, которые лежат в пределах от 7 до 638 нг/г [7]. Аналогичные параметры определены и для Средиземного моря [18].
Рис. 4. Концентрации ПАУ в донных отложениях б. Казачья.
Во всех пробах выделено 16 полиароматических соединений. Содержание таких из них, как нафталин, бифенил, 2-метилнафталин, флуорен, аценафтен и антрацен было следовым. Процентное соотношение идентифицированных ПАУ в донных отложениях по станциям б. Казачья приведено на рис. 5. В среднем по полигону наибольшая массовая доля (73.5%) определенных полиаренов приходилась на 4-ядерные соединения, в основном относящиеся к канцерогенам, поступающим в окружающую среду в результате антропогенного воздействия [13]. Токсичные соединения, содержащие 2–3 кольца, практически отсутствовали. Наибольшее содержание 3-ядерных полиаренов было на станциях 50 и 53 (46 и 38% соответственно). На остальных — их доля не превышала 11%. На станциях 48, 49, 51, 52, находящихся в восточной части бухты, существенно преобладали соединения с 4 кольцами с примерно одинаковой долей 70–75%. Именно в этом районе располагается поселок и полигон военного транспорта.
Рис. 5. Процентное содержание ПАУ с различным количеством колец.
В настоящее время в литературе имеется несколько мнений по поводу идентификации происхождения ПАУ. Тем не менее попробуем попытаться оценить основные пути поступления контаминантов в донные отложения исследуемой акватории. Степень техногенности ПАУ оценивается как отношение так называемых «техногенных» ПАУ к «природным». Техногенными принято считать ПАУ с числом циклов 5 и 6, а природными — с числом циклов 2–4. Полициклические углеводороды, которые образованы в природных условиях, характеризуются доминированием ПАУ с числом циклов 2–4 и преобладанием фенантрена и пирена, тогда как концентрация высших соединений мала [8]. В нашем случае доля т. н. «техногенных» полиаренов была в пределах 11–32% от «природных», что говорит о преимущественно естественном их происхождении. С другой стороны, высокие концентрации канцерогенных ПАУ, к которым относятся полициклические соединения с 4 и более кольцами, составляющие более половины от суммарной их концентрации, указывают на их техногенное происхождение. Полученные нами соотношения фенантрен-антрацен и флуорантен-пирен характерны для ПАУ антропогенного происхождения [19]. Вероятно, такие разночтения связаны с особенностями предполагаемого источника загрязнения, который носит характер коммунально-бытовых стоков и не имеет промышленных компонентов.
Суммарное содержание ПАУ в акватории колебалось от 33.4 до 2000.3 нг/г. Санитарные нормативы для них в донных осадках отсутствуют. В соответствии с так называемыми «голландскими листами» [17], ПДК для суммы ПАУ также составляет 1000 нг/г. По более современным данным, морские донные отложения могут быть классифицированы по трем категориям в зависимости от общего содержания в них ПАУ: легкозагрязненные (SПАУ<250 мкг/кг), загрязненные (SПАУ от 250 до 500 мкг/кг) и очень загрязненные (SПАУ>500 мкг/кг) [19].
Таким образом, в соответствии с [19], станции 48, 49 и 51 можно классифицировать как сильнозагрязненные, а ст. 52 находится на границе умеренной и сильной степени загрязнения. Остальные станции можно считать относительно благополучными. При этом выявленные уровни загрязнения (до 4000 нг/г) не являются токсичными [15], а лишь диагностируют наличие загрязнения.
Концентрация наиболее токсичного и являющегося индикатором для оценок загрязнения среды канцерогенными и мутагенными ПАУ бенз(а)пирена (Б(а)П) в среднем составляла 0.55% от общей массы полициклических соединений и была в пределах от 0.18 (ст. 53) до 11.8 нг/г сух. массы (ст. 48). Данные показатели являются достаточно благополучными и соответствуют концентрации Б(а)П в донных отложениях многих районов Мирового океана и существенно ниже показателей, отмеченных в районах активного судоходства и промышленных стоков [14, 16]. К благополучным районам можно отнести б. Казачью, в соответствии с Нидерландскими нормами, по которым содержание данного поллютанта не должно превышать 25 нг/г сух. массы [17]. С другой стороны, согласно шкале загрязненности внутриконтинентальных водоемов, учитывающей гранулометрический состав отложений, фоновое содержание Б(а)П в песках не должно превышать 2 мкг/кг, а в илистых — 5 мкг/кг, а концентрации более 5 и 30 мкг/кг соответственно обычно приурочены к сильнозагрязненным участкам акваторий [12]. Исходя из последнего и с учетом фракционного состава осадков станции 48, 49, 50 и 51 можно отнести к умеренно загрязненным, остальные участки бухты являются чистыми. В то же время по хризену и флуорантрену данный норматив (20 и 15 мкг/кг соответственно) многократно превышен на всех станциях за исключением 50-й и 53-й.
Если подытожить данные об уровнях загрязнения различных участков б. Казачьей (табл. 2, рис. 6) отдельными классами органических соединений на основании различных оценок допустимых уровней загрязнения, то можно выделить участки с относительно неблагополучной ситуацией, на которых фиксируются умеренные уровни загрязнения донных осадков: это станции 48, 49 и 51. Остальные станции в пределах бухты можно считать относительно чистыми. С удалением от них и от берега качество донных осадков повышается, и состояние станций 50, 52 и 53, удаленных от берега и кута бухты, характеризуется как благополучное. Наглядно ведущую роль берегового стока в загрязнении прибрежной акватории демонстрируют представленные схемы распределения исследуемых поллютантов (рис. 6).
Рис. 6. Распределение органических веществ в донных отложениях б. Казачьей (хлороформ-экстрагируемых веществ — ХЭВ, н-парафинов, нефтяных углеводородов — НУ, нефтепродуктов — НП, полиароматических углеводородов — ПАУ).
Таблица 2. Оценка уровня загрязненности б. Казачья по основным органическим веществам
№ ст. | НУ | ХЭВ | ПАУ | Б(а)П | Заключение |
Наличие превышения ПДК [17] | Уровень загрязнения | ||||
[5] | [19] | [12] | |||
48 | + | III | сильный | умеренный | умеренный |
49 | + | II | сильный | умеренный | умеренный |
50 | - | I | чистый | чистый | чистый |
51 | + | III | сильный | умеренный | умеренный |
52 | + | II | умеренный | чистый | умеренный |
53 | - | I | чистый | чистый | чистый |
Можно подытожить, что в результате усиления антропогенного пресса в кутовой и центральной частях акватории отмечены следующие признаки загрязнения донных отложений: — в вершинной части отмечены максимальные концентрации ХЭВ, не характерные для данной акватории и III уровень загрязнения из 5 возможных; — высокое процентное содержание НУ от ХЭВ; — повышенное содержание парафинов в диапазоне С14–С16; — концентрации ПАУ выше характерных для черноморских донных отложений; — высокое содержание 4-ядерных полиаренов (в среднем по акватории до 73.5%); — соотношение фенантрен-антрацен и флуорантен-пирен характерны для ПАУ антропогенного происхождения; — данные участки по содержанию ПАУ характеризуются как сильнозагрязненные.
Относительно характера источника загрязнения можно сказать, что повышенные уровни ХЭВ в кутовой части могли быть и результатом заморных явлений, связанных с существенным прогревом мелководья и затрудненным водообменом. Но наличие большого количества полиароматических соединений, низкий уровень техногенных полиаренов, содержание и соотношение НУ и НП и другие характерные признаки говорят о преимущественно антропогенной природе загрязнения, не связанной с техногенным фактором. Вероятной причиной настоящего явления может быть интенсивная застройка побережья и несанкционированные коммунальные стоки с прилегающей территории. В пользу этого говорит приуроченность загрязненных донных отложений не только к вершинной части, но и к побережью бухты. К тому же в местных СМИ неоднократно появлялись жалобы жителей микрорайона на характерный запах канализации от воды в кутовой части водоема. Учитывая то, что в предыдущие годы исследований повышенные уровни ХЭВ в б. Казачьей не отмечались [1], резкое ухудшение экологического состояния донных отложений, вероятно, произошло в последние несколько лет в результате активного освоения береговой линии без соответствующих природоохранных мероприятий.
ВЫВОДЫ
- Оценка состояния донных отложений б. Казачья, побережье которой подвержено массовой застройке, показало, изменение в период с 2002 по 2015 г. органолептических свойств донных осадков, их физико-химических, химических показателей. Наличие большого количества полиароматических соединений, низкий уровень техногенных полиаренов, содержание и соотношение НУ и НП указывают на преимущественно антропогенную природу загрязнения.
- Анализ определенных компонентов органического загрязнения донных отложений б. Казачьей показал, что в целом на исследуемом полигоне не отмечено превышения ПДК данных поллютантов [17]. На этом полигоне ни разу не отмечено превышения ПДК [17] по содержанию НУ и Б(а)П. В то же время на отдельных станциях (на 2 из 6) превышены ПДК для суммы ПАУ. По содержанию ХЭВ различные участки б. Казачья неоднородны: отмечены донные отложения, характерные для чистых акваторий, так и те, в которых, судя по содержанию ХЭВ, начинается деградация биоценозов.
- Анализ распределения поллютантов по акватории показал, что с удалением от берегов качество донных отложений улучшается, и их состояние на отдаленных участках бухты характеризуется как благополучное.
Благодарности. Авторы благодарят м.н.с. лаборатории аналитического контроля водных эко-систем ФГБНУ «Азовский научно-исследовательский институт рыбного хозяйства» М. А. Мандрыкину за проведенный анализ содержания н-парафинов, а также анонимных рецензентов, советы которых содействовали улучшению рукописи.
Источник финансирования. Работа выполнена в рамках государственного задания ФГБУН ИМБИ «Молисмологические и биогеохимические основы гомеостаза морских экосистем» (№ 0828-2018-0001).
Авторлар туралы
O. Soloveva
The A.O. Kovalevsky Institute of Marine Biological Research, Russian Academy of Sciences
Хат алмасуға жауапты Автор.
Email: kozl_ya_oly@mail.ru
Ресей, Sevastopol
E. Tikhonova
The A.O. Kovalevsky Institute of Marine Biological Research, Russian Academy of Sciences
Email: kozl_ya_oly@mail.ru
Ресей, Sevastopol
T. Klimenko
Azov Institute of Fisheries Research
Email: kozl_ya_oly@mail.ru
Ресей, Rostov-on-Don
G. Skrupnik
Azov Institute of Fisheries Research
Email: kozl_ya_oly@mail.ru
Ресей, Rostov-on-Don
T. Votinova
Azov Institute of Fisheries Research
Email: kozl_ya_oly@mail.ru
Ресей, Rostov-on-Don
Әдебиет тізімі
- Алёмов С. В., Тихонова Е. А. Характеристика донных осадков и макрозообентоса б. Казачья в первой декаде XXI века // Экологическая безопасность прибрежной и шельфовой зон и комплексное использование ресурсов шельфа. 2012. Вып. 26. Т. 1. С. 38–50.
- Биологические аспекты нефтяного загрязнения морской среды / Ред. Миронов О. Г. и др.; под общ. ред. Миронова О. Г. // АН УССР Ин-т биологии южных морей им. А. О. Ковалевского. Киев: Наукова думка, 1988. 248 с.
- Котельянец Е. А., Гуров К. И., Тихонова Е. А., Соловьёва О. В. Некоторые геохимические показатели донных отложений прибрежной акватории под влиянием антропогенного фактора (на примере бухты Казачья, г. Севастополь) // Вестник Удмуртского университета. Сер. Биология. науки о Земле. 2017. Т. 27. № 1. С. 5–13.
- Миронов О. Г., Кирюхина Л. Н., Дивавин И. А. Санитарно-биологические исследования в Черном море // АН УССР Ин-т биологии южных морей. СПб.: Гидрометеоиздат, 1992. 115 с.
- Миронов О. Г., Миловидова Н. Ю., Кирюхина Л. Н. О предельно-допустимых концентрациях нефтепродуктов в донных осадках прибрежной зоны Черного моря // Гидробиол. журнал. Т. 22. № 6. 1986. С. 76–78.
- Немировская И. А. География, геология, экология океана. Ростов-на-Дону, 2009. С. 243–246.
- Немировская И. А. Нефть в океане (загрязнение и природные потоки). М.: Научный мир, 2013. 432 с.
- Никаноров А. М., Стародомская А. Г., Иваник В. М. Локальный мониторинг загрязнения водных объектов в районах высоких техногенных воздействий топливно-энергетического комплекса. СПб.: Гидрометеоиздат, 2002. 134 с.
- Руководство по методам химического анализа морских вод. Л.: Гидрометеоиздат, 1977. 204 с.
- Савин П. Т., Подплетная Н. Ф. Сравнительная характеристика нефтяного загрязнения прибрежных и мористых районов Одесского региона // Материалы 22-й Междунар. берег. конфер. «Проблемы управления и устойчивого развития прибрежной зоны моря». Геленджик, 2007. С. 201–204.
- Савин П. Т., Рясинцева Н. И., Подплетная Н. Ф. Загрязнение Черного моря углеводородами нефтяного происхождения // Экологическая безопасность прибрежной и шельфовой зон и комплексное использование ресурсов шельфа. 2000. С. 142–153.
- Трапидо М. А. Распределение канцерогенных ПАУ и мониторинг водной среды (на примере водоемов Прибалтийского региона): Автореф дис. … канд. биол. наук. Ленинград, 1985. 20 с.
- Цымбалюк К. К., Деньга Ю. М., Антонович В. П. Опре-деление полициклических ароматических углеводородов в донных отложениях Черного моря методом хромато-масс-спектрометрии // Украинский химический журнал. 2009. Т. 75. № 5. С. 45– 49.
- McGowin A. E. Polycyclic aromatic hydrocarbons // Chromatographic Analysis of the Environment / Ed. L. M. L. Nollet. 3rd ed. Boca Raton: CRC Press, 2006. Ch. 15. P. 556–616.
- Monitoring of hazardous substances in the White Sea and Pechora Sea: harmonisation with OSPAR’s Coordinated Environmental Monitoring Programme (CEMP). Tromsø: Akvaplan-niva, 2011. 71 р.
- Mzoughi N., Chouba L. Distribution and partitioning of aliphatic hydrocarbons and polycyclic aromatic hydrocarbons between water, suspended particulate matter, and sediment in harbours of the West coastal of the Gulf of Tunis (Tunisia) // J. Environ. Monitoring. 2011. V. 13. P. 689–698.
- Neue Niederlandische Liste // Altlasten Spektrum 3/95.
- Readman J. W., Fillmann G., Tolosa I. Petroleum and PAH contamination of the Black Sea // Mar. Pollut. Bull. 2002. V. 44. P. 48 -.62.
- Traven L., Zaja R., Loncar J. CYP1A induction potential and the concentration of priority pollutants in marine sediment simples — In vitro evaluation using the PLHC-1 fish hepatoma cell line // Toxicology in vitro. 2008. V 22. № 6. P. 1648– 1656.
- http://rbkstroi.ru/proektu/skifiya/infrastruktura/
Қосымша файлдар








