Characteristics оf growth and fluorescence оf certain types оf algae under acclimation to different temperatures under conditions оf cultures
- Authors: Akimov A.I.1, Solomonova E.S.1
-
Affiliations:
- Kovalevsky Institute of Marine Biological Research, Russian Academy of Sciences
- Issue: Vol 59, No 3 (2019)
- Pages: 347-359
- Section: Морская биология
- URL: https://journals.eco-vector.com/0030-1574/article/view/14391
- DOI: https://doi.org/10.31857/S0030-1574593347-359
- ID: 14391
Cite item
Full Text
Abstract
The temperature rate growth dependence and the relative variable fluorescence, (Fv/Fm) of some of marine planktonic algae from the culture collections were investigated. The algae optima temperature growth (Topt), upper and lower limits tolerant zone of species, and in some cases, changes in the dynamics of these parameters outside the tolerance zone were determined. The similarity of species temperature characteristics with vegetation conditions these species in the nature was observed. Prolonged stress exposure to low positive temperature (4–6°C) was reversible; recovery of the growth rate and Fv/Fm was observed immediately after the increase of temperature. At temperatures above Topt on 2–3°C for diatoms was observed gradual degradation of culture, which, depending on the duration of exposure can lead to the death of the algae. Dinoflagellate species of the summer growing season had higher temperature resistance, and remained viable at temperatures above 5–8°C high Topt, due to lower growth rates. Rising part temperature dependence of the rate of growth approximated by a linear relation, the regression coefficient is 0.08–0.13 for diatoms and 0.03–0.11 for dinophyte. The normalized values for this parameter (the relative value of change in the growth rate, %) was 5.3±0.4 for diatoms and 6.4±0.5 for dinophyte at 1°C of temperature change. For dinophyte species were also been observed larger values of the parameter Q10. The value Fv/Fm for most species had high values in the whole temperature range, in which maintained a stable growth of algae. The fall of this parameter was observed in increasing the border of tolerance zone, and was associated with inhibition of thermal growth processes.
Full Text
ВВЕДЕНИЕ
Температура является одним из основных факторов, влияющих на формирование растительных биоценозов, их биогеографию и биологическую продуктивность. Считается, что для морских экосистем продукционный потенциал фитопланктонных сообществ в большей степени обусловлен гидрологическими условиями, определяющими уровень минерального питания водорослей эвфотической зоны [18, 31, 42]. Вместе с тем в бореальных акваториях сезонные изменения температуры являются фактором, определяющим развитие цветения видов и скорость образования первичной продукции [10, 35]. Роль температуры в этих условиях может иметь важное значение, что делает актуальным исследования индивидуальных температурных свойств различных видов фитопланктона. Такие характеристики, как скорость роста вида, ширина толерантной зоны и функциональная выживаемость на ее границах, могут иметь приоритетное значение в конкурентных условиях морского фитоценоза.
Одним из обсуждаемых в литературе остается вопрос о функциональной зависимости скорости роста от температуры: ее соответствие законам ферментативной кинетики (Q10), или другим типам зависимостей, что может являться важным при моделировании экологических и продукционных процессов [16, 29].
Слабо освещенным в литературе остается вопрос связи температуры и величины относительной переменной флуоресценции Fv/Fm — параметра, характеризующего скорость электронного транспорта фотосистемы 2 и являющегося показателем функционального состояния водорослей [5, 23].
Цель данной работы заключалась в детальном исследовании температурных зависимостей роста морских планктонных водорослей (Bacillariophyceae и Dynophyceae), вегетирующих в различных температурных условиях, определении для них верхней и нижней температур толерантной зоны, связи ростовых параметров и величины Fv/Fm, изучении динамики температурного ингибирования и восстановления функциональной активности отдельных видов на границах толерантной зоны.
МАТЕРИАЛ И МЕТОДЫ
В исследованиях использовались культуры из коллекции отдела экологической физиологии водорослей: Bacillariophyceae (Chaetoceros curvisetus, Cylindrotheca closterium, Skeletonema costatum, Thalassiosira parva, Тhalassiosira weissflogii, Ditilym brightwelli), Dynophyceae (Gymnodinium wulffii, Prorocentrum pusilla, Glenodinium foliaceum, Heterocapsa triquetra, Gyrodinium fissum, Prorocentrum micans, Prorocenrum cordatum) и Chlorophyceae (Chlorella vulgaris suboblonga). В условиях коллекции рост видов поддерживался при естественном освещении и температурах 18–20°С на среде f/2 в течение года и более.
Условия выращивания водорослей. Требуемые свето-температурные режимы выращивания культур осуществляли путем инкубации водорослей внутри 2 холодильных камер, каждая из которых была оборудована малоинерционным нагревательным элементом, светодиодным источником света и внутренней вентиляцией. Собственное температурное реле отключалось и заменялось электронным регулятором, позволяющим реализовывать режимы охлаждения или нагревания с точностью ±0.1°С. Освещенность водорослей во всех экспериментах составляла 85 мкЕм-2с-1 в непрерывном режиме. Среда культивирования f/2. Культуры выращивали в конических колбах объемом 350 мл, для анализа отбирали пробы объемом 20 мл, затем добавляли свежую питательную среду для поддержания культур в определенном диапазоне плотностей в экспоненциальной фазе роста.
Начальная акклимация водорослей, взятых из коллекции, проводилась при 18–22°С, затем одну часть исследуемой культуры помещали в условия понижения, а другую — повышения температуры ступенчато с шагом 2–4°С. При каждом температурном режиме осуществлялся ежедневный контроль концентрации клеток путем измерения оптической плотности культуры и соответствующее количественное разведение культуры с целью поддержания плотности в пределах, обеспечивающих экспоненциальный рост водорослей и плотность достаточную для измерений. Акклимацию считали законченной при установлении постоянного роста, и она составляла от 2 до 6 суток в зависимости от температуры. На границах толерантной зоны, если стабилизация темпа роста не достигалась, скорость роста определялась в первые–вторые сутки после изменения условий и отмечался факт температурного ингибирования водорослей.
Скорость роста водорослей (сут-1) определяли по формуле:
µ = ln((D2 – D1)/Δt),
где D1 и D2 — оптические плотности суспензии клеток в начале и конце экспозиции, Δt — время между измерениями в сутках.
Для каждого исследуемого вида водорослей и для каждого значения температурной зависимости скорости роста эксперимент проводился в тройной повторности, и из каждого культурального сосуда отбиралась проба для 3–6 измерений оптической плотности суспензии клеток. По результатам данных измерений рассчитывались средняя скорость роста и стандартная ошибка среднего.
Оптическая плотность суспензии клеток определялась на спектрофотометре “СФ 26” на длине волны 750 нм в 10-сантиметровой цилиндрической кювете, закрепляемой внутри кюветного отделения в специально изготовленном держателе.
Возможность использования оптической плотности как показателя скорости роста для разных видов была исследована ранее, и получена линейная зависимость между этой величиной и содержанием органического углерода, определяемого с помощью сжигания на СHN-анализаторе в суспензиях водорослей [7]. Стандартное отклонение (S) измерения оптической плотности определялось путем статистической обработки серии измерительных процедур (n = 12) и составляло 0.047 опт. ед. При минимальных экспериментальных плотностях измеряемых суспензий, равных 0.3 опт. ед., коэффициент вариации не превышал 16%.
Величина рН культуральной среды контролировалась и находилась в пределах 8.2–8.5.
Величина относительной переменной флуоресценции (Fv/Fm) определялась на флуориметре “МЕГА” 25 [4, 5, 11]:
Fv/Fm = (Fm – F0)/ Fm,
где F0 — величина флуоресценции при открытых реакционных центрах, Fm — максимальная флуоресценция после серии световых вспышек, насыщающих реакционные центры фотосинтеза. Перед измерением пробы выдерживали 15 мин в темноте при температуре акклимации.
Температурный коэффициент Q10 определяли по формуле:
Q10 = (µ2/µ1)10/(t2 – t1),
где µ1 и µ2 — скорости роста при температурах t1 и t2 соответственно.
Экспериментальные точки были аппроксимированы полиномиальными функциями. Такое представление характеризовало общий вид температурных зависимостей, позволяло определить величины: Топт — температура максимальной скорости роста, определяемая как вершина полиномиальной аппроксимации зависимости, ∆Tопт — ширина купола максимальных значений скорости роста при колебании параметра Топт в пределах 20%. Для определения величины ∆Топт использовали уравнение полиноминальной функции, куда подставляли значение Топт, уменьшенное на 20%.
РЕЗУЛЬТАТЫ
На рис. 1 представлены температурные зависимости скорости роста исследуемых видов водорослей, в таблице — численные значения ряда параметров этих зависимостей.
Таблица. Основные параметры температурных зависимостей скорости роста
Вид | Tопт °С, ∆Tопт °С | ∆T °С | Тmax °С | а±SE µ/сут.°С | анорм %/сут.°С | Q10 | µmax ср±SE, сут.-1 | Fv/Fmcр±SE в диапазоне Т, °С |
Bacillariophyceae | ||||||||
S. costatum | 21 4 | 18 | 23 | 0.12±0,004 | 4.9±0.2 | 2.0 | 2.7±0.2 | 0.69±0.02 6–23 |
D. brightwelli | 20 4 | 15 | 22 | 0.09±0.005 | 5.7±0.3 | 2.4 | 1.6±0.1 | 0.70±0.02 7–22 |
Ch. curvisetus | 22 5 | 18 | 25 | 0.13±0.006 | 5.6±0.2 | 2.6 | 2.3±0.2 | 0.70±0.03 6–23 |
T. parva | 20 5 | 16 | 23 | 0.08±0,007 | 5.1±0.4 | 2.4 | 1.6±0.3 | 0.61±0.03 7–22 |
C. closterium | 24 5 | 19 | 26 | 0.11±0.005 | 5.5±0.3 | 2,6 | 1.9±0.2 | 0.72±0.03 7–26 |
T. weissflogii | 27 7 | 20 | 32 | 0.12±0.06 | 5.6±0.3 | 2.9 | 2±0.3 | 0.64±0.02 12–32 |
Среднее±S | 0.108±0.019 | 5.3±0.4 | 2.4±0.2 | 2.1±0.5 | 0.68±0.04 | |||
CV | 18% | 7% | 8% | 24% | 6% | |||
Dynophyceae | ||||||||
H. triquetra | 20 5 | 15 | 23 | 0.08±0.004 | 6.8 | 2.7 | 1.2±0.2 | 0.55±0.01 18–22 |
P. pusilla | 23 7 | 19 | 27 | 0.06±0.003 | 6.1 | 2.3 | 1.0±0.2 | 0.58±0.02 9–27 |
G. fissum | 25 8 | 19 | 29 | 0.07±0.004 | 7.0 | 3.4 | 0.9±0.1 | 0.48±0.02 18–29 |
P. micans | 25 7 | 19 | 29 | 0.03±0.002 | 6.3 | 2.9 | 0.5±0.1 | 0.44±0.02 14–29 |
G.wulffii | 26 8 | 21 | 31 | 0.10±0.005 | 6.2 | 3.1 | 1.6±0.2 | 0.62±0.03 12–29 |
P.cordatum | 24 9 | 20 | 30 | 0.06±0.002 | 5.8 | 2.9 | 0.9±0.3 | 0.58±0.04 12–30 |
G. foliaceum | >23 Н.д. | >19 | >23 | 0.11±0.004 | 7.3 | 3.3 | 1.5+0.2 | 0.71±0.04 7–23 |
Среднее+S | 0.073±0.027 | 6.5±0.5 | 3.0±0.4 | 1.1±0.4 | 0.54±0.07 | |||
CV | 37% | 8% | 12% | 35% | 13% | |||
Chlorophyceae | ||||||||
Ch. vulgari sub. | 23 6 | 24 | 30 | 0.05±0.004 | 5.6 | 2.2 | 0.9±0.2 | 0.60±0.01 18–22 |
Примечание. Топт — температура максимальной скорости роста, определяемая как вершина полиномиальной аппроксимации зависимости, ∆Tопт — ширина купола максимальных значений скорости роста при колебании параметра в пределах 20%, Тmax — экспериментально установленная максимальная температура роста, выше которой наблюдалась постепенная деградация водорослей, ∆T — ширина толерантной зоны, a — коэффициент регрессии, анорм (a*100/µmax) — нормированный коэффициент регрессии в процентах, Q10 — коэффициент Вант-Гоффа, µmax ср — средняя максимальная скорость роста в диапазоне ∆Tопт, сут-1, Fv/Fmср — средние значения коэффициента переменной флуоресценции в указанном диапазоне температур, SE — стандартная ошибка среднего, S — стандартное отклонение, CV — коэффициент вариации.
Температурный оптимум и границы температурного диапазона роста водорослей
Для диатомовых видов Ch. curvisetus, S. costatum, T. parva, D. brightwelli, являющихся представителями зимне-весеннего и осеннего черноморского фитопланктона, наблюдались близкие значения температурного оптимума и скорости роста (Топт 20–22°С) и ширины диапазона оптимальных температур (∆Топт 4–5°С) в области 18–23°С. Для вида C. closterium, выделенного в коллекцию из фитопланктона Средиземного моря, Топт равнялась 24°С и ∆Топт — 5°С, (21–26°С). Диатомовая Т. weissflogii, выделенная из планктона южной Атлантики, имела максимум роста при температуре 27°С и ∆Tопт — 7°С (25–32°С).
Динофитовые водоросли, развивающиеся в Черном море в летний и ранне-осенний период, характеризовались более высокими значениями температурного оптимума роста (24–26°С) и существенно большей шириной плато максимального роста — 7–9°С в диапазоне 18–28°С. Более холодолюбивая H. triquetra, вегетирующая весной и осенью, имела показатели, аналогичные диатомовым.
В ходе проведенных экспериментов были определены крайние значения температур Tmin и Тmax, при которых водоросли сохраняли устойчивый воспроизводимый рост, но при дальнейшем увеличении или снижении фактора происходило постепенное угасание функциональной активности и остановка скорости роста. На рис. 1 эти температуры отмечены вертикальными прямыми, расстояние между которыми определялось как диапазон толерантных температур роста (∆T).
Для холодолюбивых диатомовых видов предельные верхние температуры находилась в пределах 22–24°C, для C. closterium — 26°C, Т. weissflogii — 32°C. Верхние границы выживаемости диатомовых превосходили величину Топт (вершина аппроксимированной кривой роста) примерно на 3°C. При больших отклонениях наблюдались постепенная деградация водорослей, затухание роста и гибель культуры. В области низких температур крайние значения составляли 5–7°C, ниже которых для большинства диатомовых также отмечалось падение скорости роста, зависящее от времениэкспозиции.
Для летних видов динофитовых водорослей максимальные температуры роста находились выше 29–30°C, для более холодолюбивых H. triquetra и P. pusilla — 23°C и 26°C соответственно, что превышало значения их оптимальных температур на 5–6°C. Водоросли сохраняли стабильный рост при этих температурах, хотя и при пониженной скорости роста. Динофитовые водоросли имели широкий (сравнительно с диатомовыми) диапазон температур максимальных скоростей роста (∆Tопт ~8°C). Минимальные температуры устойчивого роста составляли 7–10°C.
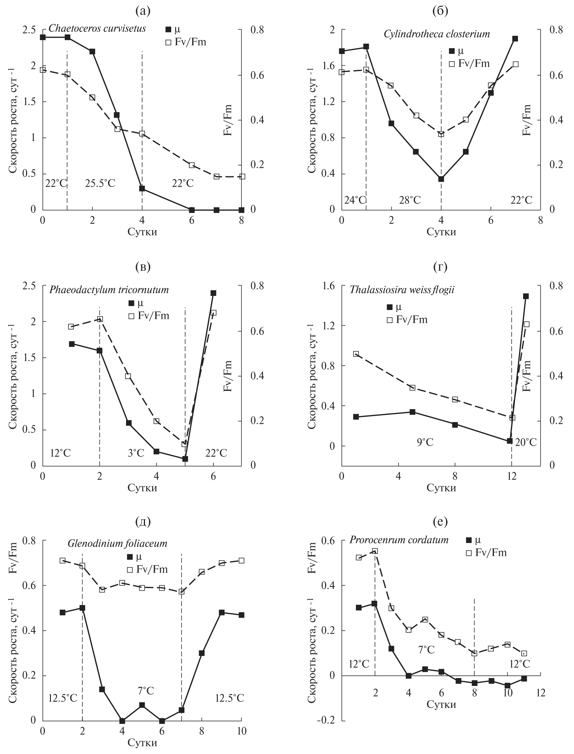
На рис. 2 показана временная динамика изменений скорости роста и относительной переменной флуоресценции Fv/Fm водорослей в условиях экспозиции при температурах за пределами толерантной зоны и при последующем восстановлении благоприятного уровня температурного фактора. Для высоких температур (рис. 2а, 2б) наблюдалось снижение скорости роста при заданных температурах для обоих представленных видов, однако для C. closterium это снижение имело обратимый характер, а для Ch. curvisetus экспозиция при температуре 26°C в течение 4 суток приводила к гибели культуры. Восстановление функциональных параметров C. closterium имело пролонгированный характер (лаг-фаза трое суток), что свидетельствует об уменьшении количества жизнеспособных клеток в этих условиях.
Рис. 2. Динамика скорости роста и относительной переменной флуоресценции водорослей при изменении температурных условий. Пунктирными вертикальными линиями отмечены моменты изменения температуры культивирования и указаны ее значения.
На рис. 2в и 2г показана динамика изменений скорости роста двух видов диатомовых при низких температурах. Низкотемпературное ингибирование имело обратимый характер. Так, при выбранных температурах наблюдалось замедление (Т. weissflogii) или полная остановка роста (Ph. tricornutum). Последующее повышение температуры приводило к быстрому восстановлению скорости роста, соответствующей новым условиям. Лаг-фаза при этом отсутствовала. Высокая жизнеспособность и быстрая восстанавливаемость при акклимации к температурам ниже значений Tmin (4–7°C) наблюдались для большинства исследованных диатомовых.
Динофитовые виды показывали два типа реакции при температурах акклимации на 2–3°C ниже значений Tmin (рис. 2д, 2е). В одном случае водоросли длительно сохраняли свою жизнеспособность при нулевой или очень малой скорости роста (G. foliaceum, P. pusilla, H. triquetra). Для остальных четырех видов низкотемпературная экспозиция приводила к обездвиживанию и постепенной элиминации клеток в культурах без возможности последующего восстановления.
Полученные данные позволяют оценить диапазон допустимых температур водорослей. Ширина толерантной зоны изменялась от 15° до 18°C для холодолюбивых и 19–21°C для теплолюбивых видов и, по-видимому, не зависела от их таксономической принадлежности. Так, весенняя динофитовая H. triquetra по этому параметру, а также и по величине ∆Tопт соответствует холодолюбивым диатомовым, а теплолюбивая диатомея Т. weissflogii — летним динофитовым. Отметим здесь работу [37], где также отмечается более широкий диапазон температур роста для теплолюбивых видов.
Максимальная теплоустойчивость наблюдалась для зеленой водоросли Ch. vulgaris suboblonga. Этот вид сохранял жизнеспособность и способность к восстановлению после 3-суточного периода сильного температурного ингибирования при 30°C.
Функциональный характер температурной зависимости скорости роста
Для восходящего участка температурной зависимости скорости роста была использована линейная аппроксимация в виде µ = а · (t – t0), которая давала высокие коэффициенты детерминации. Линейная функция дает возможность формализовать полученные зависимости с помощью двух параметров: углового коэффициента регрессии, характеризующего степень взаимосвязи температуры и скорости роста (а), и экстраполированного значения температуры нулевого роста (t0). Для определения коэффициента Q10 также использовалась экспоненциальная аппроксимация, но в более узком температурном диапазоне — в середине восходящего участка зависимости. Угловой коэффициент регрессии изменялся от 0.08 до 0.13 сут.-1∙°C (CV 18%) для разных диатомовых и от 0.03 до 0.11 сут.-1∙°C (CV 37%) для динофитовых микроводорослей. При нормировании зависимостей по максимальным скоростям роста межвидовая вариабельность коэффициента регрессии снижается до 7–8%. На рис. 3а и 3б показаны отдельно линии регрессии видов при двух способах представления данных. Значения нормированного углового коэффициента регрессии колебались в узком диапазоне и в среднем составляли 5.3±0.4 и 6.4±0.5% изменения скорости роста на 1°C для диатомовых и динофитовых видов соответственно.
Рис. 3. Линия регрессии восходящего участка температурной зависимости скорости роста исследуемых видов водорослей в абсолютных (а) и относительных величинах (б).
Величина относительной переменной флуоресценции Fv/Fm
Для диатомовых водорослей величина относительной переменной флуоресценции Fv/Fm (определяет максимальную эффективность электронного транспорта) сохраняла высокие значения в толерантной зоне; средние значения для отдельных видов изменялись от 0.64 до 0.72 при коэффициенте вариации около 6% (таблица). При температурах ниже 5–7°C (для Т. weissflogii 12°C) наблюдалось падение Fv/Fm, которое, как правило, совпадало с точкой начала низкотемпературного торможения роста Тmin. При высоких температурах снижение этого параметра также было сопряжено с температурной инактивацией водорослей (рис. 1).
Для динофитовых видов наблюдались видовые различия характера зависимости величины Fv/Fm от температуры. При снижении температуры падение относительной переменной флуоресценции для 4 видов наблюдалось в толерантной зоне роста при температурах ниже 12–15°C, H. triquetraи Ch. vulgaris suboblonga (зеленая) имели куполообразный вид зависимости. G. foliaceum и P. pusilla сохраняли высокие значения данного параметра в широком температурном интервале. Температуры выращивания выше Тmax, как и для диатомовых, приводили к быстрому падению величины Fv/Fm (рис. 1).
На рис. 2 представлены примеры динамики изменений величины относительной переменной флуоресценции некоторых видов водорослей при температурах на 2–3°C ниже или выше значений Tmin и Тmax. Наблюдается тесная взаимосвязь ростовых параметров и относительной переменной флуоресценции в условиях сублетальных температур, при ингибировании и восстановлении функциональной активности водорослей. Для G. foliaceum отмечалась высокая устойчивость Fv/Fm при низкотемпературной инактивации ростовых процессов, в то время как во всех остальных случаях амплитуда изменений этого параметра была велика и соответствовала степени температурного ингибирования роста. Средние значения Fv/Fm для диатомовых водорослей были выше, чем для динофитовых и были равны соответственно 0.68±0.04 и 0.54±0.07 (таблица).
Температурный коэффициент Q10
Мы приводим значения Q10, определенные нами по экспоненциальной экстраполяции в средней части восходящего участка кривой роста. Определенные таким образом величины Q10 находились в диапазоне от 2 до 3.5 (таблица). В среднем значения, полученные для динофитовых, были выше, чем для диатомовых видов водорослей и равнялись 3.0±0.4 и 2.4±0.2 соответственно.
ОБСУЖДЕНИЕ
Считается, что температура не является главным фактором, определяющим величину первичной продукции в Мировом океане [13, 16]. Карты распределения продуктивности вод Мирового океана показывают, что величина первичной продукции связана в основном с гидрологическими процессами различного масштаба, вызывающими обогащение поверхностных вод питательными элементами [2, 3]. Вместе с тем в локальных морских ареалах умеренных широт, в частности в Черном море, сезонные изменения температуры вызывают вертикальную циркуляцию вод, что определяет регуляцию видового состава фитопланктона. Так, в Черном море в холодные зимы (температура воды 5–7.5°C, при интенсивном конвекционном перемешивании) доминирующим видом является S. costatum (до 99%). В более теплые годы при 8–12°C и слабом перемешивании индекс видового разнообразия увеличивается, хотя общая продукция может падать. В течение зимне-весенней сукцессии по мере прогревания воды и уменьшения концентрации биогенных элементов в конце апреля–начале мая S. costatum вытесняется Ch. curvisetus [6].
Исследованные нами виды осеннее-весеннего комплекса диатомовых водорослей встречаются в фитопланктоне практически круглогодично (летом эпизодически при ветровом разрушении температурной стратификации), но их количественные соотношения сильно различаются по сезонам, и отдельно зависят также от температуры воды в разные годы [1]. Как мы видим из экспериментальных данных, диатомовые виды имеют близкие значения основных параметров температурной зависимости скорости роста таких, как Топт, верхняя и нижняя температуры роста, Q10, нормированные значения наклона восходящего участка (анорм). По этой причине смена видов диатомового комплекса осенне-зимне-весенней сукцессий не может быть объяснена на основе только температурных характеристик. По нашему мнению, одним из факторов, обеспечивающих превалирующее развитие вида при прочих равных условиях, является его максимальная скорость роста. Так, наиболее массовым видом зимне-весенней сукцессии черноморского взморья является S. costatum, который в экспериментах показывал максимальную скорость роста как при низких, так и при высоких температурах. Вторым часто доминирующим видом в весенней сукцессии является Ch. curvisetus, скорость роста которого в оптимальных условиях уступает S. costatum. В природных условиях Ch. curvisetus вытесняет S. costatum по мере прогревания воды, уменьшения конвекционного перемешивания и снижения концентрации биогенных элементов [6]. Это указывает на влияние других факторов среды, таких как температура, биогенные элементы, световые условия, а также их взаимодействие между собой и влияние на развитие и смену видов в природных условиях [34, 38].
Из исследованных динофитовых водорослей только H. triquetra встречается в весеннем фитопланктоне, что соответствует ее температурным характеристикам. Нижняя граница роста этого вида составляет около 7°C, и скорость роста сильно уступает диатомовым, что, возможно, и обуславливает слабое количественное развитие этого вида. Более теплолюбивые виды динофитовых водорослей способны расти при температурах до 10°C, однако низкие скорости роста не позволяют им конкурировать с диатомовыми водорослями в холодный период времени. Преимущественное развитие эти виды имеют в летнее время, когда температура воды и низкое содержание биогенных элементов в водной толще не позволяют активно развиваться диатомовым водорослям [1].
Температуры ниже и выше обозначенных на рис. 1 граничных значений приводят к постепенному снижению функциональной активности водорослей. Считается, что низкотемпературное ингибирование вызывается разбалансом скоростей мембранного транспорта (активного и пассивного) и внутриклеточных энзиматических реакций, инактивацией отдельных ферментов, увеличением вязкости среды и другими физическими факторами [32, 33, 40]. В определенных пределах эти изменения могут иметь обратимый характер, что подтверждается нашими данными для диатомовых и части динофитовых водорослей. Для ряда динофитовых, однако, наблюдались негативная реакция на пролонгированное воздействие температур 5–6°C, постепенное разрушение и элиминация клеток.
Температуры, превышающие верхнюю границу толерантной зоны, можно рассматривать как более жесткий фактор, вызывающий трансформацию мембранных белков и липидов (денатурация и плавление) [9], а также перекисное окисление мембранных липидов [27]. Наши исследования показывают, что температуры выше температурного оптимума роста на несколько градусов приводили к прогрессирующему снижению числа жизнеспособных, активно делящихся клеток, а восстановление функциональной активности и скорости роста имело длительный характер. Динофитовые водоросли в области высоких температур более устойчивы, но отличаются от диатомовых самим характером зависимости в районе температурного оптимума и выше. Степень выживаемости и возможность восстановления в области сублетальных температур зависели от величины и продолжительности стрессового воздействия, а также от индивидуальных особенностей видов.
Значительное внимание продолжает уделяться вопросу о характере функциональной зависимости скорости роста от температуры. Ряд авторов указывают на несоответствие получаемых экспериментальных данных с экспоненциальной функцией Аррениуса, основанной на законах ферментативной кинетики. Поэтому многие авторы считают, что применение таких параметров, как Q10 или энергия активации для неэкспоненциальных зависимостей, некорректно [8, 12, 28, 29]. Причиной несоответствия считается то, что различные ферментативные реакции становятся лимитирующими при разных температурах [22]. Отклонение от экспоненциальной зависимости может быть обусловлено также факторами физической природы [8]. Так, [28] на основании теоретического и экспериментального подходов полагает, что экспоненциальная зависимость соблюдается в небольшой области температур, близких к условиям вегетации водорослей в природе. В большинстве экспериментальных работ полученные данные хорошо аппроксимируются линейной функцией [17, 29, 39].
Приводимые в литературе данные по величине коэффициента линейной регрессии для культур водорослей лежат в широком диапазоне. Так, [29], обобщая свои и чужие данные, приводит значения от 0.02 до 0.15 сут.-1∙°C для диатомовых водорослей. Усредняя большой массив данных и сделав некоторые поправки с учетом световых условий, авторы дают средние значения порядка 0.1 сут.-1∙°C, что совпадает с нашими данными для диатомовых видов водорослей. Данные, представленные в этой работе, показывают, что для диатомовых водорослей величины наклона зависимости были в целом выше, чем для динофитовых. Абсолютные значения этого параметра также были выше для диатомовых водорослей, однако нормированные значения были больше для динофлагелят, что, в частности, указывает на большую чувствительность этих видов к понижению температуры. Для динофитовых видов наблюдались и более высокие значения коэффициента Q10 — параметра (как и нормированный угол линейной регрессии), характеризующего относительную величину изменения скорости роста с температурой в случае экспоненциальной аппроксимации. Это соответствует результатам [28], которые показали, что в области экспериментальных температур, близких к условиям развития вида в природе, температурная зависимость может соответствовать экспоненциальной при значениях коэффициента Q10 около 2, однако при снижении температур ниже этого диапазона падение скорости роста имеет более крутой характер. Это может определять более высокие значения Q10 и нормированного коэффициента регрессии для теплолюбивых динофитовых водорослей по сравнению с диатомовыми видами в диапазоне температур 10–20°C. Средние значения Q10 для двух исследованных таксономических групп водорослей достоверно различались, однако при существенной вариабельности между отдельными видами.
Величина переменной флуоресценции является параметром, характеризующим эффективность переноса энергии света в первичных фотохимических процессах (максимальный квантовый выход разделения зарядов фотосистемы 2 [4]. Эта величина является чувствительным показателем функционального состояния водорослей [5, 19, 23, 25]. Кроме того, флуоресцентные параметры используются для оценки фотосинтетической активности и продукции фитопланктона в природных условиях и культурах [11, 15, 20, 41]. В этом аспекте влияние температуры на величину Fv/Fm может иметь большое значение. Вместе с тем в литературе недостаточно работ, где подробно исследовалась такая зависимость в широком температурном диапазоне для разных видов фитопланктона. При этом незначительное количество информации по этому вопросу не дает возможности систематизировать полученные результаты и связать их с видовыми особенностями или внутренними и внешними факторами. В целом имеющиеся данные можно разделить условно на два типа: отсутствие влияния температуры акклимации на величину Fv/Fm в толерантной зоне [14, 24, 26, 36] и куполообразный вид зависимости с максимумом при оптимальных температурах [41]. Наши данные подтверждают в основном первый тип зависимости для исследованных видов, хотя для некоторых динофитовых снижение Fv/Fm наблюдается при температурах от 12–15°C еще в толерантной зоне. Для H. triquetra и Ch. vulgaris suboblonga наблюдался куполообразный характер связи температуры и относительной переменной флуоресценции, надежно подтверждаемый в повторных экспериментах. Для Ch. vulgari такая же зависимость приводится в работе [41]. В литературе есть данные, подтверждающие наблюдаемую нами корреляцию снижения величины Fv/Fm и функциональной активности при температурах выше и ниже определенного уровня [21, 30]. Отметим, что изменения этих величин имеют динамический, развивающийся во времени характер, а восстановление зависит от величины и продолжительности воздействия сублетальной температуры.
ВЫВОДЫ
- Были определены температурные оптимумы скорости роста и диапазоны толерантных температур ряда видов диатомовых и динофитовых водорослей, а также зеленой vulgari suboblonga. Межвидовые различия имели устойчивый характер и определялись условиями их вегетации в природе.
- Минимальные верхние сублетальные температуры роста превосходят значения температурного оптимума не более чем на 3°C для диатомовых и 5–8°C для динофитовых и зеленых видов.
- Восходящий участок температурной зависимости скорости роста аппроксимировался линейной функцией. Значения коэффициентов линейной регрессии варьировали в широком диапазоне (от 0.03 до 0.12 µ/сут.°C) для различный видов, однако для нормированных значений этого параметра равнялись 5.3±0.4 (диатомовые), 6.5±0.5 (динофитовые) процентов изменения скорости роста на один градус изменения температуры при коэффициенте вариации 7–8% соответственно.
- Действие температур, превышающих верхний предел толерантной зоны, приводило к прогрессирующей деградации и элиминации клеток водорослей в культуре; низкотемпературная инактивация для большинства видов имела обратимый характер.
- Величина относительной переменной флуоресценции сохраняла высокие значения в толерантной зоне роста для диатомовых и части динофитовых водорослей. В неблагоприятных температурных условиях наблюдалось падение этой величины, коррелирующее с изменением скорости роста.
About the authors
A. I. Akimov
Kovalevsky Institute of Marine Biological Research, Russian Academy of Sciences
Author for correspondence.
Email: solomonov83@mail.ru
Russian Federation, Sevastopol
E. S. Solomonova
Kovalevsky Institute of Marine Biological Research, Russian Academy of Sciences
Email: solomonov83@mail.ru
Russian Federation, Sevastopol
References
- Брянцева Ю. В. Особенности сезонной сукцессии фитоценозов Севастопольской бухты в 2004–2006 гг. // Микроводоросли Черного моря: проблемы сохранения биоразнообразия и биотехнологического использования / Под. ред. Токарева Ю. Н. и др. Севастополь: ЭКОСИ-Гидрофизика, 2008. С. 18–23.
- Кобленц-Мишке О. И. Фотосинтетическая первичная продукция // Биологические ресурсы океана. М., 1985. С. 48–62.
- Кобленц-Мишке О. И., Волковинский В. В., Кабанова Ю. Г. Первичная продукция планктона Мирового океана // Программа и методика изучения биогеоценозов водной среды. Биогеоценозы морей и океанов. М.: Наука, 1970. С. 66–83.
- Маторин Д.Н., Алексеев А. А. Флуоресценция хлорофилла для биодиагонстики растений. М.: ООО «ПКЦ Альтекс», 2013. 364 с.
- Осипов В. А. Зависимость флуоресцентных параметров микроводорослей от факторов среды, включая антропогенные загрязнения: Автореф. дис. канд. биол. наук. М., 2006. 22 с.
- Сеничива М. И. Видовое разнообразие, сезонная и межгодовая изменчивость микроводорослей в планктоне к берегов Крыма // Микроводоросли Черного моря: проблемы сохранения биоразнообразия и биотехнологического использования / Под. ред. Токарева Ю. Н. и др. Севастополь: ЭКОСИ-Гидрофизика, 2008. С. 18–23.
- Шоман Н. Ю., Акимов А. И. Влияние фотоадаптации на удельную скорость роста и соотношение органического углерода к хлорофиллу «а» у диатомовой водоросли Phaeodactylum tricornutum // Морской экологический журнал. 2013. Т. 12. № 4. С. 97–103.
- Ahlgren G. Temperature functions in biology and their application to algal growth constants // Oikos. 1987. P. 177–190.
- Ahrens M. J., Ingram D. L. Heat tolerance of citrus leaves // Hort Science (USA). 1988. V.23.
- Andersson A., Haecky P., Hagström Å. Effect of temperature and light on the growth of micro-nano-and pico-plankton: impact on algal succession // Marine Biology. 1994. V. 120. №. 4. P. 511–520.
- Antal T. K., Venediktov P. S., Matorin D. N. et al. Measurement of phytoplankton photosynthesis rate using a pump-and-probe fluorometer // Oceanologia. 2001. V. 43. №. 3. P. 291–313.
- Berges J. A., Varela D. E., Harrison P. J. Effects of temperature on growth rate, cell composition and nitrogen metabolism in the marine diatom Thalassiosira pseudonana (Bacillariophyceae) // Marine Ecology Progress Series. 2002. V. 225. P. 139–146.
- Burke I. C., Lauenroth W. K., Parton W. J. Regional and temporal variation in net primary production and nitrogen mineralization in grasslands // Ecology. 1997. V. 78. №. 5. P. 1330–1340.
- Chalifour A., Juneau P. Temperature-dependent sensitivity of growth and photosynthesis of Scenedesmus obliquus, Navicula pelliculosa and two strains of Microcystis aeruginosa to the herbicide atrazine // Aquatic Toxicology. 2011. V. 103. №. 1. P. 9–17.
- Claquin P., Probert I., Lefebvre S., Veron B. Effects of temperature on photosynthetic parameters and TEP production in eight species of marine microalgae // Aquatic Microbial Ecology. 2008. V. 51. №. 1. P. 1–11.
- Eppley R. W. Temperature and phytoplankton growth in the sea // Fish. Bull. 1972. V. 70. №. 4. P. 1063–1085.
- Fawley M. W. Effects of light intensity and temperature interaction on growth characteristics of Phaeodactilum tricornutum (Bacillariophyceae) // J. of phycology. 1984. V. 20. №. 1. P. 67–72.
- Fogg G. E., Thake B. Algal cultures and phytoplankton ecology. Univ. of Wisconsin Press, 1987. 219 P.
- Geider R. J., Roche J., Greene R. M., Olaizola M. Response of the photosynthetic apparatus of Phaeodactylum tricornutum (Bacillariophyceae) to nitrate, phosphate, or iron starvation // J. of Phycology. 1993. V. 29. №. 6. P. 755–766.
- Hancke K., Hancke T. B., Olsen L. M., et al. Temperature effects on microalgal photosynthesis-light responses measured by O2 production pulse-amplitude-modulated fluorescence and 14C assimilation // J. of Phycology. 2008. V. 44. №. 2. P. 501–514.
- Iglesias-Prieto R., Matta J. L., Robins W. A., Trench R. K. Photosynthetic response to elevated temperature in the symbiotic dinoflagellate Symbiodinium microadriaticum in culture // Proceedings of the national Academy of Sciences. 1992. V. 89. №. 21. P. 10302–10305.
- Jumars P. A., Deming J. W., Hill P. S. et al. Physical constraints on marine osmotrophy in an optimal foraging context // Aquatic Microbial Ecology. 1993. V. 7. №. 2. P. 121–159.
- Kolber Z., Falkowski P. G. Use of active fluorescence to estimate phytoplankton photosynthesis in situ // Limnology and Oceanography. 1993. V. 38. №. 8. Р. 1646–1665.
- Kulk G., de Vries P., van de Poll W. H. et al. Temperature-dependent growth and photophysiology of prokaryotic and eukaryotic oceanic picophyto-plankton // Marine Ecology Progress Series. 2012. V. 466. P. 43.
- Lippemeier S., Hintze R., Vanselow K. et al. In-line recording of PAM fluorescence of phytoplankton cultures as a new tool for studying effects of fluctuating nutrient supply on photosynthesis // European Journal of Phycology. 2001. V. 36. №. 1. P. 89–100.
- Maxwell D. P., Falk S., Trick C. G., Huner N. P. Growth at low temperature mimics high-light acclimation in Chlorella vulgaris // Plant Physiology. 1994. V. 105. №. 2. P. 535–543.
- Mishra R. K., Singhal G. S. Function of photosynthetic apparatus of intact wheat leaves under high light and heat stress and its relationship with peroxidation of thylakoid lipids // Plant Physiology. 1992. V. 98. №. 1. P. 1–6.
- Moisan J. R., Moisan T. A., Abbott M. R. Modelling the effect of temperature on the maximum growth rates of phytoplankton populations // Ecological Modelling. 2002. V. 153. №. 3. P. 197–215.
- Montagnes D. J., Kimmance S. A., Atkinson D. Using Q~ 1~ 0: Can growth rates increase linearly with temperature? // Aquatic Microbial Ecology. 2003. V. 32. №. 3. P. 307–313.
- Morris E. P., Kromkamp J. C. Influence of temperature on the relationship between oxygen-and fluorescence-based estimates of photosynthetic parameters in a marine benthic diatom (Cylindrotheca closterium) // European Journal of Phycology. 2003. V. 38. №. 2. P. 133–142.
- Piehler M. F., Twomey L. J., Hall N. S., Paerl H. W. Impacts of inorganic nutrient enrichment on phytoplankton community structure and function in Pamlico Sound, NC, USA // Estuarine, Coastal and Shelf Science. 2004. V. 61. №. 2. P. 197–209.
- Quinn P. J. Effects of temperature on cell membranes // Symp Soc Exp Biol. 1988. V. 42. P. 237–258.
- Quinn P. J., Williams W. P. The structural role of lipids in photosynthetic membranes // Biochimica et Biophysica Acta (BBA)-Reviews on Biomembranes. 1983. V. 737. №. 2. P. 223–266.
- Reynolds C. S. Phytoplankton periodicity: the interactions of form, function and environmental variability // Freshwater Biology. 1984. V. 14. №. 2. P. 111–142.
- Richardson T. L., Gibson C. E., Heaney S. I. Temperature, growth and seasonal succession of phytoplankton in Lake Baikal, Siberia // Freshwater Biology. 2000. V. 44. №. 3. P. 431–440.
- Schofield O., Grzymski J., Moline M. M., Jovine R. V. Impact of temperature acclimation on photosynthesis in the toxic red-tide dinoflagellate Alexandrium fundyense (Ca28) // J. of plankton research. 1998. V. 20. №. 7. P. 1241–1258.
- Suzuki Y., Takahashi M. Growth responses of several diatom species isolated from various environments to temperature // J. of Phycology. 1995. V. 31. №. 6. P. 880–888.
- Tilman D., Kiesling R., Sterner R. et al. Green, bluegreen and diatom algae: taxonomic differences in competitive ability for phosphorus, silicon and nitrogen // Archiv für Hydrobiologie. 1986. V. 106. №. 4. P. 473–485.
- Verity P. G. Effects of temperature, irradiance, and daylength on the marine diatom Leptocylindrus danicus Cleve. IV. Growth // J. of Experimental Marine Biology and Ecology. 1982. V. 60. №. 2. P. 209–222.
- Wheeler P. A. Phytoplankton nitrogen metabolism // Nitrogen in the marine environment. 1983. P. 309–346.
- Zhang M., Yu Y., Yang Z., Kong F. Photochemical responses of phytoplankton to rapid increasing‐temperature process // Phycological research. 2012. V. 60. №. 3. P. 199–207.
- Zhao M., Lei L., Han B. Seasonal change in phytoplankton communities in Tangxi reservoir and the effecting factors // J. of Tropical and Subtropical Botany. 2004. V. 13. №. 5. P. 386–392.
Supplementary files






