Structural-functional characteristics оf zooplankton in the ob estuary and adjacent Kara sea shelf in summer
- 作者: Drits A.V.1, Arashkevich E.G.1, Nedospasov A.A.1, Amelina A.B.1, Flint M.V.1
- 
							隶属关系: 
							- Shirshov Institute of Oceanology, Russian Academy of Sciences
 
- 期: 卷 59, 编号 3 (2019)
- 页面: 383-395
- 栏目: Морская биология
- URL: https://journals.eco-vector.com/0030-1574/article/view/14420
- DOI: https://doi.org/10.31857/S0030-1574593383-395
- ID: 14420
如何引用文章
全文:
详细
The study was carried out in the Ob estuary and the adjacent shelf of the Kara Sea in July 2016. For the first time data on the species composition, abundance and distribution as well as on feeding of zooplankton were obtained during the period of intensive river runoff. The biomass of zooplankton in terms of wet weight (without jelly animals and chaetognaths) varied over a wide range from 40 to 1880 mg/m3. The biomass was dominared by the Limnocalanus macrurus population, represented by all age stages, and Pseudocalanus spp. (an average of 60% and 17% of biomass, respectively. Maxima of zooplankton biomass were associated with the boundary of the distribution of river waters and with the southern periphery of the estuary frontal zone (EFZ). The short-term temporal variation of the abundance of zooplankton was observed when the transect was repeated after 2 days: the biomass at the southern periphery of the EFZ decreased from 1900 to 250 mg/m3). The observed changes is supposed to be caused by the shift of the southern boundary of the EFZ under the change in the wind regime. At high phytoplankton biomass in the estuary (>7 μg Chl-a/l), the daily ingestion of autotrophic phytoplankton of different copepodite stages of Limnocalanus macrurus was 5.77, 4.46, 2.59 and 1.4 μg C/ind/day in CVI, CV, CIV and CIII, respectively. Energy intake by younger copepodite stages not only covered the metabolic requirements, but also enabled the copepods to growth. At a relatively low Chl-a concentration (<2 μg/l) on the shelf, the mean values for older stages were lower (1.56 μg C/ind/day and 1.17 μg C/ind/day in CVI and CV, respectively) and hardly met the metabolic demands. The zooplankton grazing impact estimated with the gut fluorescence method varied from 0.2 to 7.3% of phytoplankton standing stock and from 2.2 to 30% of primary production. The results are discussed in relation to the specific hydrophysical conditions in the summer period and in comparison with the data obtained earlier for the autumn season.
全文:
ВВЕДЕНИЕ
Эстуарии являются важнейшими компонентами прибрежных экосистем и играют ключевую роль во взаимодействиях между континентами и морской средой [8, 10, 21]. Согласно Лисицыну [8], в глобальном масштабе области смешения морских и речных вод представляют собой пояс «маргинального фильтра» океана — уникальной системы химического и биохимического реактора, эффективность работы которого в условиях небольших глубин значительно выше, чем в открытом океане. Это в наибольшей степени справедливо для арктических регионов, характеризующихся большими объемами речного стока и широкими мелководными шельфами. Через эстуарии Оби и Енисея ежегодно проходит 1200 км3 пресной воды, что составляет более 40% от общего пресноводного стока в Арктику [12]. Со стоком этих рек в их эстуарные зоны поступают огромные количества аллохтонных веществ (>150 млн т в год), состав которых отражает весь спектр природных процессов и хозяйственной деятельности на их водосборных площадях. Степень трансформации пресных вод, поступающих в эстуарии, определяется особенностями геоморфологии, уровнем водообмена, объемом речного стока и его сезонной динамикой. Обский эстуарий протяженностью 800 км, шириной 30–90 км и объемом более 400 км3 характеризуется рядом уникальных особенностей. При относительно невысоком уровне водообмена (около 1.2 раза в год) в эстуарии р. Оби происходит глубокая трансформация поступающего в нее стока под воздействием как гидрологических, так и биологических факторов [7]. Ключевую роль в процессах биологической трансформации играет специфическое сообщество зоопланктона, которое осуществляет важнейшие функции биофильтрации и биоаккумуляции растворенного и взвешенного вещества, приносимого речным стоком [1, 4, 10]. Ранее нами [14, 15] было показано, что характер распределения массовых видов зоопланктона в Обском эстуарии во многом определяются гидрофизическим режимом, а возрастная структура популяций и активность питания — фазой сезонного цикла развития популяций и трофическими условиями. Эти работы были выполнены в позднелетний-осенний период (август-октябрь). Исследований такого рода в летний период (июль) до настоящего времени не проводилось. Можно предположить, что высокая интенсивность речного стока, которая в этот период близка к максимальной, отразится как на структурных (состав, обилие, пространственное распределение), так и функциональных (активность питания, суточный рацион, выедание фитопланктона) характеристиках эстуарного сообщества зоопланктона. Проверка этого предположения являлась основной задачей данной работы. Кроме того, полученный материал позволил проследить короткопериодную (1–3 сут) изменчивость обилия, распределения и активности питания массовых видов зоопланктона, обусловленную изменениями гидрофизического режима.
МАТЕРИАЛ И МЕТОДЫ
Исследования были выполнены в 66-м рейсе НИС «Академик Мстислав Келдыш» в Обском эстуарии и на прилегающем шельфе Карского моря 19–24 июля 2016 г.
Сбор зоопланктона. Сборы зоопланктона для определения видового состава и численности проводили дважды на квазимеридиональном разрезе вдоль эстуария р. Оби (рис. 1). На первом этапе разрез был выполнен с севера на юг (разрез «С-Ю», станции 5310–5324), на втором — с юга на север (разрез «Ю-С», станции 5321_2, 5320_2, 5319_2, 5318_2, 5330, 5317_2). Даты и время проведения работ, а также данные [13] о величине падающей радиации, первичной продукции и концентрации хлорофилла «а» (Chl-a) на станциях приведены в табл. 1. Зоопланктон отбирали сетью Джеди (диаметр входного отверстия 37 см, ячея фильтрующего конуса 180 мкм). На станциях 5314–5324 облавливали слой от дна до поверхности, на станциях 5310–5313 и на всех станциях разреза «Ю-С» отбор проб проводился послойно: из верхнего перемешанного слоя и из слоя под пикноклином, положение которого предварительно определялось на основании CTD-зондирования. Фиксацию проб проводили 4% нейтральным формалином. Таксономический и размерный состав зоопланктона был определен при обработке проб по традиционной методике под бинокуляром при увеличении ×40. Индивидуальный сырой вес животных определяли по номограммам [11].
Рис. 1. Схема расположения станций в Обском эстуарии и на прилежащем шельфе. • — разрез «С-Ю», ☆ — разрез «Ю-С».
Таблица 1. Характеристики станций разреза в эстуарии р. Оби
| Станция | Дата | Время | Глубина, м | ПР, % | Chl-a | PP | 
| 5311 | 19.07.16 | 23:10 | 27 | 6 | 9.85 | 87 | 
| 5310 | 19.07.16 | 20:45 | 28 | 9 | 23.5 | 247 | 
| 5312 | 20.07.16 | 09:30 | 28 | 77 | 13.2 | 87 | 
| 5213 | 20.07.16 | 14:40 | 30 | 100 | 44.7 | 102 | 
| 5314 | 20.07.16 | 17:40 | 30 | 50 | 109 | |
| 5315 | 20.07.16 | 19:45 | 28 | 10 | 175.8 | |
| 5315_2 | 23.07.16 | 13:30 | 28 | 100 | 26.9 | 203 | 
| 5316 | 20.07.16 | 21:45 | 26 | 9 | 96.5 | |
| 5317 | 20.07.16 | 23:45 | 19 | 6 | 150.9 | |
| 5317_2 | 23.07.16 | 00:50 | 19 | 6 | 30.4 | 103 | 
| 5330_2 | 23.07.16 | 23:40 | 17 | 6 | 76.8 | 301 | 
| 5318 | 21.07.16 | 01:50 | 28 | 10 | 153.6 | |
| 5318_2 | 23.07.16 | 21:05 | 28 | 9 | 83.1 | |
| 5319 | 21.07.16 | 03:40 | 22 | 15 | 211.6 | |
| 5319_2 | 22.07.16 | 18:10 | 22 | 50 | 219.7 | 491 | 
| 5320 | 21.07.16 | 05:40 | 14 | 30 | 211.3 | |
| 5320_2 | 22.07.16 | 14:10 | 14 | 100 | 255.7 | 1096 | 
| 5321 | 21.07.16 | 07:50 | 13 | 90 | 132.3 | |
| 5321_2 | 21.07.16 | 23:45 | 13 | 6 | 255.7 | 967 | 
| 5322 | 21.07.16 | 10:06 | 15 | 80 | 126.0 | |
| 5323 | 21.07.16 | 12:50 | 18 | 100 | 192.5 | |
| 5324 | 21.07.16 | 15:00 | 17 | 90 | 309.8 | 260 | 
Примечание. ПР — относительная падающая радиация (% от максимальной), Chl-a — концентрация хлорофилла «а» (мг/м2), РР — первичная продукция (мгС/м2 сутки)
Сопутствующие данные по температуре, солености и флуоресценции были получены при вертикальном CTD-зондировании зондом SeaBird 19+ на всех станциях.
Питание зоопланктона. Интенсивность потребления автотрофного фитопланктона массовыми видами зоопланктона оценивали флуоресцентным методом по содержанию фитопигментов (хлорофилла «а» и феопигментов) в кишечнике (G) и времени переваривания пищи (Т) [19]. Зоопланктон для анализов собирали сетью Джеди, облавливая слой от дна до поверхности. Детально методика отбора зоопланктеров и измерений Gописана в работах [1, 4]. Для большинства массовых видов были использованы литературные данные по времени переваривания пищи: Mysis oculata — 3.3 ч, Limnocalanus macrurus — 1.3 ч, Calanus glacialis — 0.8 ч [4], Pseudocalanus sp. — 0.7 ч [22], приведенные к средней для слоя поимки животных температуре с учетом Q10 = 2.2 [17]. Для Drepanopus bungei нам не удалось найти опубликованных данных о времени переваривания растительной пищи, поэтому мы использовали значения, полученные для копепод рода Pseudocalanus.
Суточное потребление автотрофного фитопланктона в единицах Chl-a (IChl-a, нг Chl/экз сутки) рассчитывали как I = G*24/T. Суммарное потребление биомассы автотрофного фитопланктона популяциями исследованных видов мезозоопланктона (EСhl-a, мг Chl/м2 сутки) рассчитывали по формуле:
EChl-a = ∑ni=1Ii Ni,
где Ii — суточное потребление Chl-a для i вида, Ni — численность i вида в слое (экз/м2), n — число видов. Для пересчета суточного потребления пищи в единицы углерода (Ic, мкг С/экз*сутки) были использованы данные по биомассе автотрофных водорослей в единице органического углерода (Сph) [9] и концентрации хлорофилла «а» [13]. На основании этих данных было получено уравнение регрессии для исследуемого района: Сph = 39.5*Chl-a, r2 = 0.71, n = 78.
РЕЗУЛЬТАТЫ
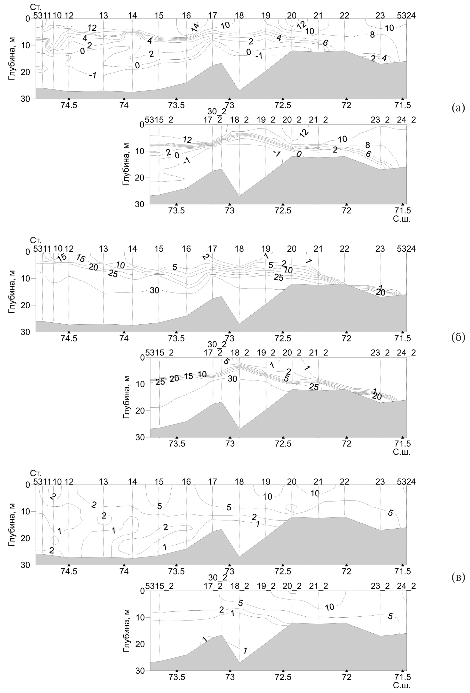
Характеристика района работ. Протяженность разреза, на котором были выполнены сборы зоопланктона, составляла около 400 км. Распределение температуры, солености и флуоресценции на разрезах показано на рис. 2. На самых южных станциях 5321–5324 практически вся толща занята водами с соленостью 0.2 psu и температурой 9–10°С. Для этих станций характерны максимальные значения флуоресценции. Начиная со станций, расположенных над баром (станции 5321, 5322), проявляется вертикальная стратификация. На разрезе «С-Ю» распространение вод с соленостью менее 1.0 psu в верхнем перемешанном слое прослеживается до ст. 5317. В этих водах также отмечены высокие значения флуоресценции. Севернее ст. 5317 соленость поверхностного слоя резко возрастала до 3–5 psu на станциях 5316–5313 и до 15 psu на ст. 5312. На ст. 5310 соленость снижалась до 7 psu, вновь повышаясь до 16 psu на станции 5311. С увеличением солености севернее ст. 5317 заметно снижается флуоресценция. В распределении температуры приповерхностного слоя наблюдались несколько локальных максимумов на станциях 5311, 5316 и 5320. Через двое суток (разрез «Ю-С») произошли существенные изменения пространственного распределения гидрофизических параметров: изохалина 1 psu сместилась почти на 30 км к югу от ст. 5317 к ст. 5318_2, изохалина 5 psu — на 100 км к югу от ст. 5314 к ст. 5330, в приповерхностном слое ослабла пространственная изменчивость температуры. В распределении температуры и солености по вертикали произошло сгущение изолиний и увеличение вертикального градиента солености в слое скачка; глубина залегания пикноклина увеличилась на всем протяжении разреза, кроме ст. 5318_2, где наблюдался подъем морских вод, связанный, по всей видимости, с орографией берега и рельефом. Примерно на 50 км к югу сместилась граница области с высокими значениями флуоресценции верхнего перемешанного слоя.
Рис. 2. Распределение температуры, °С (а), солености, psu (б) и флуоресценции хлорофилла «а» (в) на разрезах «С-Ю» и «Ю-С».
Состав и распределение зоопланктона. Биомасса зоопланктона в единицах сырого веса (без учета желетелых животных и хетогнат) изменялась в широком диапазоне — от 40 до 1880 мг/м3 (рис. 3). Основу биомассы составляли популяции копепод Limnocalanus macrurus (10–90%, в среднем 60%) и Pseudocalanus spp. (4–44%, в среднем 17%). В северной части разреза (станции 5310–5316) заметный вклад давали личинки полихет (17–61%) и Calanus glacialis (4–15%), в южной части (станции 5322–5324) — копеподы рода Cyclops (5–11%). На отдельных станциях (5318, 5317_2) от 27 до 45% биомассы составляла популяция мизид Mysis oculata. Пространственное распределение биомассы зоопланктона на разрезе «С-Ю» характеризовалось двумя выраженными пиками (рис. 3), один из которых был зафиксирован на самой южной ст. 5324, другой — на границе распространения трансформированных речных вод (ст. 5317). Оба максимума сформированы Limnocalanus macrurus, однако возрастная структура популяции в этих максимумах различалась. На ст. 5324 значительная часть популяции была представлена младшими возрастными стадиями (CI–CII — 35%, СIII–CIV — 27%, CV — 38% численности), на ст. 5217 — 99% популяции составляли самки и самцы. Самые низкие величины бимассы (менее 100 мг/м3) отмечены на станциях 5321–5323, на всех остальных станциях биомасса зоопланктона изменялась от 150 до 400 мг/м3. На разрезе «Ю-С» биомасса зоопланктона не превышала 400 мг/м3. На ст. 5317_2, где двумя днями ранее были отмечены максимальные величины, биомасса уменьшилась почти на порядок — с 1900 до 250 мг/м3, главным образом за счет многократного снижения биомассы L. macrurus.
Рис. 3. Состав и распределение биомассы зоопланктона (В, мг/м3) и солености верхнего перемешанного слоя (Sпов, psu) на разрезе «С-Ю» (а) и «Ю-С» (б). C. g. — Calanus glacialis, Ps — Pseudocalanus spp., L. m. — Limnocalanus macrurus, Mys — Mysis oculata, Cyc. — Cyclops sp., Pol. — Polychaeta larvae.
Вертикальное распределение массовых видов зоопланктона на станциях с выраженной вертикальной стратификацией показано на рис. 4. На северных станциях разреза «С-Ю» популяции копепод рода Pseudocalanus, состоящие преимущественно из младших возрастных стадий, населяли слой под пикноклином. Популяция Limnocalanus macrurus, напротив, на большинстве станций разреза, за исключением ст. 5311, была более многочисленна в поверхностном слое. На станциях 5319_2 и 5318_2 разреза «Ю-С» большая часть популяции этого вида обитала в слое под пикноклином, а на станциях 5330 и 5317_2 практически вся популяция L. macrurus была сконцентрирована ниже пикноклина. На ст. 5315_2 L. macrurus населял только поверхностный слой. Вертикальное распределение копепод рода Pseudocalanus на этом разрезе имело такой же характер. Отметим отсутствие связи вертикального распределения L. macrurus с временем суток, поскольку в дневное (ст. 5313) и ночное (ст. 5310) время характер распределения был одинаков, а при одинаково низком уровне падающей радиации (10% от максимума) (табл. 1) в ночные часы (станции 5318_2 и 5317_2) характер распределения заметно различался.
Рис. 4. Вертикальное распределение массовых видов зоопланктона (% популяции) и вертикальные профили температуры (Т), солености (S) и флуоресценции (Fluor) на станциях Обского эстуария и прилегающего шельфа. Ps — Pseudocalanus spp., L. m. — Limnocalanus macrurus.
Рис. 5. Содержание фитопигментов в пищеварительном тракте разных возрастных стадий Limnocalanus macrurus (G, нг/экз) и концентрация хлорофилла «а» (Хл«а», мкг/л) на разрезе «С-Ю» (а) и «Ю-С» (б).
Рис. 6. Содержание фитопигментов в пищеварительном тракте разных возрастных стадий Pseudocalanus spp. (G, нг/экз) и концентрация хлорофилла «а» (Хл«а», мкг/л) на станциях Обского эстуария и прилегающего шельфа.
Рис. 7. Суммарное потребление (Еchl, мг/м2/сут) и суточное выедание биомассы фитопланктона (Е, %) массовыми видами зоопланктона на разрезе «С-Ю» (а) и «Ю-С» (б). Ps — Pseudocalanus spp., L. m. — Limnocalanus macrurus, D. b. — Drepanopus bungei.
Рис. 8. Суммарное потребление фитопланктона в единицах углерода (Ес, мгС/м2/сут) и доля первичной продукции (Ерр, %), потребляемая массовыми видами зоопланктона на станциях Обского эстуария и прилегающего шельфа. Ps — Pseudocalanus spp., L. m. — Limnocalanus macrurus, D. b. — Drepanopus bungei.
Питание массовых видов зоопланктона. Limnocalanus macrurus. Данные о количестве фитопигментов в кишечнике разных возрастных стадий этого вида на разрезах приведены на рис. 5. Высокие значения G, как правило, характерны для южных станций с высокой концентрацией Chl-a, с уменьшением концентрации хлорофилла «а» на северных станциях значения G заметно снижаются. На основании данных, объединенных для всех станций, были рассчитаны уравнения регрессии, описывающие зависимость G от концентрации Chl-a для взрослых особей и CV: G = 3.58*ln(Chl-a)-0.74 (r2 = 0.47, n = 34) и G = 3.01*ln(Chl-a)-0.46 (r2 = 0.59, n = 29). Сравнение значений G у этих рачков в дневные и ночные часы на станциях с близкими величинами концентрации Chl-a (станции 5319 и 5320_2 с высокой концентрацией Chl-a, 5310 и 5313, 5317_2 с низкой концентрацией Chl-a) (табл. 1) показало отсутствие достоверных различий (критерий Манна-Уитни, р = 0.27 и 0.51 соответственно) при разном уровне падающей радиации. Изменение количества фитопигментов в кишечнике разных возрастных стадий при высокой концентрации Chl-a (14–17 мкг Chl-a/л) в зависимости от сырого веса рачков описываются уравнением G = 14.79W0.77, r2 = 0.88, n = 24. Средние значения суточного потребления автотрофного фитопланктона у разных возрастных стадий при высокой концентрации Chl-a (>7 мкг/л) были равны: в единицах фитопигментов (IChl) — 0.15, 0.11, 0.06 и 0.035 мкг Chl/экз сут у CVI, CV, CIV и CIII соответственно, а в единицах углерода (Ic) — 5.77, 4.46, 2.59 и 1.4 мкг С/экз сут у CVI, CV, CIV и CIII соответственно. При относительно низкой концентрации Chl-a (<2 мкг/л) средние значения IChl и Ic для взрослых особей составляли 0.04 мкг Chl/экз сут и 1.56 мкг С/экз сут, для CV — 0.03 мкг Chl/экз сут и 1.17 мкг C/экз сут).
Pseudocalanus spp. Количество фитопигментов в кишечнике младших возрастных стадий копепод рода Pseudocalanus изменялось в диапазоне от 0.3 до 1.2 нг/экз, у старших возрастных стадий — от 1.3 до 1.6 нг/экз (рис. 6). Значения G на дневной и ночной станциях при близкой концентрации Chl-a (станции 5311 и 5312) достоверно не различались (критерий Манна-Уитни, р = 0.51), не выявлено достоверных различий и для рачков, пойманных в слоях над и под термоклином (критерий Манна-Уитни, р = 0.13–0.83). Средние значения IChl-a и Ic у младших возрастных стадий были равны 0.016 мкг Chl/экз и 0.64 мкгС/экз, у старших — 0.033 мкг Chl/экз и 1.31 мкгС/экз.
Средние значения G для копепод Drepanopus bungei, которые были достаточно многочисленны только на трех станциях, составляли 0.67±0.24 нг Chl, суточное потребление — 0.018 мкг Chl/экз или 0.71 мкгС/экз.
Выедание зоопланктоном биомассы и продукции фитопланктона. На большинстве станций суммарное потребление автотрофного фитопланктона (ЕChl-a) было рассчитано на основании данных о численности массовых видов зоопланктона и количестве фитопигментов в кишечнике. На станциях, где измерения фитопигментов в кишечнике не проводились либо проводились не для всех видов, для расчетов IChl-a у Limnocalanus macrurus использовали полученные для этого вида уравнения зависимости G от концентрации Chl-a и веса тела, для копепод Pseudocalanus spp. и Drepanopus bungei — средние значения IChl-a и Ic. Величина ЕChl-a на разрезе «С-Ю» изменялась от 0.3 до 15.0 мг Chl/м2 сутки и определялась обилием зоопланктона (рис. 7а). На южных станциях (5319–5324) основной вклад в суммарное потребление обеспечивала популяция Limnocalanus macrurus, на северных станциях — копеподы рода Pseudocalanus. Выедание биомассы фитопланктона (Е) существенно различалось на разных станциях, составляя 0.2–7.3% в сутки. В богатой фитопланктоном области эстуария высокие значения (3–5%) характерны для станций с максимальной биомассой зоопланктона (станции 5324, 5317). В северной части разреза такие же высокие величины Е (3.5–7.0%) получены на станциях, где биомасса фитои зоопланктона почти на порядок меньше. На разрезе «Ю-С» суммарное потребление и выедание биомассы фитопланктона составляло 0.2–0.9 мг Chlм2 сутки и 0.2–2.2% соответственно (рис. 7б). На самой южной станции этого разреза (ст. 5320_2) выедание определялось популяцией L. macrurus, на других станциях возрастала роль копепод рода Pseudocalanus и Drepanopus bungei. По сравнению с оценками, полученными двумя днями ранее, величина ЕChl-a на ст. 5317_2 снизилась в 8 раз, а выедание биомассы — почти вдвое. На других станциях временные различия этих показателей были не столь значительны.
Доля новосинтезированного органического углерода, ежесуточно потребляемая зоопланктоном (Еpp, %), была рассчитана только для станций, на которых измерялась первичная продукция. На северных станциях разреза «С-Ю» Еpp варьировало от 11 до 30% (рис. 8). В области эстуария максимальные значения этого показателя (238%) получены на самой южной ст. 5324. На станциях разреза «Ю-С» Еpp изменялось от 2.2 до 17%.
ОБСУЖДЕНИЕ
Наши исследования позволили впервые описать ряд структурных и функциональных параметров зоопланктонного сообщества Обского эстуария в летний период, для которого характерна высокая интенсивность речного стока, составляющая в июле 2016 г. около 29 500 м3/с (Arctic GRO Dataset). Интенсивный сток в значительной степени определяет специфику распределения основных гидрофизических параметров в районе исследований. В частности, граница распространения поверхностного слоя с соленостью менее 1 psu, которую можно рассматривать в качестве маркера южной границы эстуарной фронтальной зоны [7], в этот период находится в районе 73° с. ш. При уменьшении стока в более поздний сезон эта граница располагалась значительно южнее. Согласно данным [15], в конце августа 2014 г. при стоке 18 000 м3/с, изохалина 1 psu доходила до 72.2° с. ш., в сентябре 1993, 2007 и 2013 гг. при стоке около 11 000 м3/с — до 71.5–71.7° с. ш. [2, 4, 10]. Еще одна характерная черта гидрофизического режима в июле 2016 г. — выраженная короткопериодная временная изменчивость пространственного распределения температуры и солености поверхностного слоя в области взаимодействия морских и распресненных вод. При повторном выполнении разреза произошло смещение границы распространения опресненных речным стоком вод в южном направлении и возрастание почти в 7 раз горизонтального градиента поверхностной солености.
Наблюдаемая перестройка гидрофизической структуры вод в течение достаточно короткого времени, вероятнее всего, связана с изменчивостью ветрового воздействия и сопутствующей трансформацией опресненного поверхностного слоя за счет турбулентного вовлечения более соленой воды из нижележащей толщи [5]. Подтверждением этого предположения служат данные реанализа NCEP (National Center for Environmental Prediction, http://oceandata.sci.gsfc.nasa.gov/), согласно которым за период работ (с 18 по 22 июля) произошло значительное усиление ветра и смена его направления с восточного и юго-восточного на западное и северо-западное. Подобные изменения направления и интенсивности действующего над акваторией ветра могут вызывать не только меандрирование поверхностного фронтального раздела, но его смещение в широтном направлении.
Специфика гидрологической ситуации во время наших исследований отразилась на структурных характеристиках зоопланктона Обского эстуария. Мы сравнили результаты по составу, обилию и распределению зоопланктона в июле с данными, полученными в другие сезоны (табл. 2). В июле 2016 г. основным компонентом зоопланктонного сообщества были копеподы Limnocalanus macrurus. В августе 2014 г. доля этих копепод снижалась до 60%, в сентябре 2007, 2010, 2013 гг. — до 11–40% суммарной биомассы. Одновременно в эти периоды возрастала роль других представителей солоноватоводного комплекса — Senecella siberica, Drepanopus bungii, Mysis oculata. Максимальное и среднее значения биомассы зоопланктона (без учета желетелых организмов и хетогнат) в июле в 1.5–2.3 раза ниже, чем в более поздние сезоны. Пространственное распределение зоопланктона в августе-сентябре характеризовалось наличием выраженного максимума, ассоциированного с южной периферией эстуарной фронтальной зоны [4, 10]. В июле были отмечены два максимума биомассы, сформированных исключительно популяцией L. macrurus: один — в районе 71.45° с. ш., где, по данным [7], в летний период расположена граница распространения речных вод. Второй максимум, зафиксированный только на разрезе «С-Ю», совпадал с южной границей эстуарной фронтальной зоны (ст. 5317). Исчезновение максимума при повторном выполнении разреза через 2 суток (ст. 5317_2), вероятней всего, обусловлено смещением этой границы и изменением гидрофизических условий. Интересно, что именно на ст. 5317_2 практически вся популяция L. macrurus была сосредоточена под пикноклином. Одна из возможных причин такого вертикального распределения — локальное повышение температуры верхнего перемешанного слоя до 13.2˚С. На станциях, где средняя температура этого слоя не превышала 11°C, L. macrurus был достаточно многочислен в слое над пикноклином. В то же время по солености верхнего перемешанного слоя ст. 5317_2 не отличалась от ст. 5315_2, на которой большая часть популяции этого вида была сосредоточена в верхнем слое. Не исключено, что отсутствие L. macrurus в поверхностном слое и привело к резкому снижению биомассы зоопланктона при возврате на эту станцию.
Таблица 2. Состав доминирующих видов зоопланктона, биомасса зоопланктона (В, мг/м3) и положение максимума биомассы (Bmax) в Обском эстуарии по данным экспедиций ИО РАН
| Период | Доминирующие виды | B | Bmax | Источник | |
| диапазон | среднее | ||||
| 19–21.07.2016 | L.m.(75), Ps.spp. (10) | 40–1877 | 418 | 71.45 с.ш., 73.15 с.ш. | Настоящая работа | 
| 16–20.08.2014 | L.m. (60), S.s. (9), M.o. (8), Ps.spp. (14) | 85–2464 | 684 | 72.6 с.ш. | [15] | 
| 03–05.09.2013 | L.m. (40), S.s. (20), M.o. (13), D.b. (12), Ps.spp. (10) | 231–2752 | 970 | 71.7 с.ш., 72.3 с.ш. | [4] | 
| 24–29.09.1993 | L.m., S.s., M.o. | 100–4300 | 71.7 | [2] | |
| 23–26.09.2007 | L.m.(37), S.s.(14), M.o.(23), Ps.spp.(17) | 230–3067 | 984 | 72.5 | [10] | 
| 27–30.09.2010 | L.m. (11), S.s. (37), M.o. (39), Ps.spp. (4), D.b. (3) | 68–3561 | 947 | 71.7 с.ш. | [15] | 
Примечание. L.m. — Limnocalanus macrurus, S.s. — Senecella siberica, M.o. — Mysis oculata, Ps.spp. — Pseudocalanus spp., D.b. — Drepanopus bungii. В скобках указана доля в общей биомассе, %.
Полученные результаты — наглядный пример короткопериодной временной изменчивости пространственного распределения зоопланктона в эстуарных областях со сложным и динамичным гидрологическим режимом. Очевидно, что изменчивость такого рода имеет принципиальное значение при изучении распределения планктона и оценках его обилия в этих биотопах. Со спецификой гидрологического режима в летний период связано также распространение копепод Limnocalanus macrurus далеко за пределы Обского эстуария. Доля этого вида в суммарной биомассе на шельфовых станциях вплоть до 75° с. ш. составляла в среднем 23% и была сопоставима с долей типичных шельфовых копепод рода Pseudocalanus (31%). В сентябре 2007, 2013 гг. при уменьшении речного стока L. macrurus практически не встречался севернее 73° с. ш. [4, 10].
Важнейшая характеристика летнего сезона в обском эстуарии — высокий уровень продукции и биомассы фитопланктона [6, 9, 13]. Продукция фитопланктона в июле 2016 г. составляла 0.26–1.10 гС/м2/сут, средняя для всего столба воды концентрация Chl-a — 10–19 мг/м3 [13], биомасса фитопланктона — 0.2 — >1 гС/м3 [9]. В этих условиях интенсивность питания массовых видов эстуарного зоопланктона была высокой. Суточное потребление автотрофного фитопланктона в единицах органического углерода (Ic) разными возрастными стадиями L. macrurus (CVI — 5.77, CV — 4.46, CIV — 2.59 мкгС/экз,) в 4–15 раз превышало величины, полученные в августе-сентябре (CVI — 1.4, CV — 0.59, CIV — 0.15 мкгС/экз) [4, 15]. По этим данным, энергии, получаемой L. macrurus при питании автотрофными водорослями в осенний сезон, было недостаточно для компенсации трат на дыхание. В период наших работ количество ассимилированного органического углерода, рассчитанное с учетом усвояемости растительной пищи 0.6 [20], составляло 3.46, 2.70, 1.38, 0.84 мкгС/экз/сут у взрослых особей CV, CIV, CIII, CII соответственно. Траты на обмен этих возрастных стадий, рассчитанные по уравнению [18], равны 3.53, 1.46, 1.17, 0.68 мкгС/экз/сут. Сопоставление этих величин показывает, что взрослые особи L. macrurus практически компенсируют, а особи III, IV и V копеподитных стадий с избытком покрывают энергетические траты на обмен. На основании данных о количестве углерода, ассимилированного при питании автотрофными водорослями (A), и трат на дыхание (R) у разных возрастных стадий мы рассчитали по уравнению gi = (A-R)/w относительную скорость роста (gi, мгС/экз/сут) для каждой возрастной стадии и потенциальную (без учета смертности) продукцию популяции L. macrurus P = giBi, где Bi — биомасса данной возрастной стадии [16]. Согласно этим расчетам, среднее значение P на южных станциях Обского эстуария 5322–5324 составила 0.93 мгС/м3/сут. Близкие оценки суточной продукции мезозоопланктона (0.44–1.48 мгС/м3/сут) были получены в разных районах Баренцева моря в летний период [3]. Эти результаты показывают, что в июле при высоком обилии фитопланктона популяция L. macrurus в Обском эстуарии находилась в активной фазе жизненного цикла. На активное развитие популяции во время наших исследований указывает и высокая численность молоди этого вида на южных станциях эстуария.
На шельфе активность питания взрослых особей L. macrurus заметно снижается, а среднее значение суточного потребления фитопланктона (1.56 мкгС/экз сутки) вдвое меньше затрат на дыхание. В отличие от L. macrurus, количество ассимилированного органического углерода у других массовых копепод рода Pseudocalanus, пойманных на этих же станциях (0.38 и 0.79 мкгС/экз сутки у молоди и старших возрастных стадий соответственно), на 30% превышало траты на дыхание (0.30 и 0.59 мкгС/экз/сут), рассчитанные для соответствующих стадий по уравнению [18], обеспечивая этим копеподам возможность роста и размножения. По-видимому, трофические условия на шельфе не столь благоприятны для L. macrurus, по сравнению с морскими видами, а относительно высокое обилие этого вида на шельфовых станциях связано с выносом распресненных вод в период интенсивного речного стока.
Наши оценки выедания фитопланктона впервые характеризуют роль зоопланктона в утилизации первичного органического углерода в Обском эстуарии в летний период и позволяют провести сравнительный анализ с результатами, полученными нами ранее в другие сезоны. Наиболее интенсивно процесс утилизации биомассы и продукции автотрофного фитопланктона в июле происходит в эстуарии на самой южной станции, где отмечен максимум биомассы зоопланктона. Суточное суммарное потребление фитопланктона на этой станции (15.6 мг Chl/м2 и 619 мг С/м2) в несколько раз выше максимальных значений в августе 2014 г. (5.2 мг Chl/м2 и 42.0 мг С/м2) [15] и близки к аналогичным величинам в сентябре 2013 г. (10.4 мг Chl-a/м2/сут и 791 мг С/м2/сут) [4]. В то же время максимальное выедание биомассы фитопланктона в Обском эстуарии в период наших работ (5%) было существенно ниже по сравнению с августом-сентябрем (16–18%). Одна из основных причин этого — высокие величины концентрации Chl-a и биомассы фитопланктона, характерные для обского эстуария в летний период (см. выше). В августе-сентябре концентрация Chl-a в местах скоплений зоопланктона была в несколько раз ниже, составляя 2.0–2.6 мг/м3 [15]. Временная изменчивость обилия популяции L. macrurus на ст. 5317, где первоначально был отмечен максимум биомассы зоопланктона, проявилась в многократном снижении суммарного потребления фитопланктона зоопланктоном на этой станции. При этом величина выедания снизилась лишь вдвое, поскольку при повторном выполнении разреза наряду с уменьшением численности L. macrurus существенно уменьшилась биомасса фитопланктона. Эти результаты свидетельствуют о том, что летом, даже при высоком уровне суммарного потребления, роль скоплений эстуарного зоопланктона в формировании пелагического «биофильтра», аккумулирующего аллохтонное органическое вещество, не так велика, как в более поздний сезон. На шельфовых станциях, расположенных вне зоны распространения распресненных вод (станции 5310–5313), суммарное потребление фитопланктона (1.4 мг Chl-a/м2 сутки) и выедание его биомассы зоопланктоном (5.8%) было заметно выше значений, полученных для этих районов в августе (0.04 мг Chl/м2 сутки, 0.2%) и сентябре (0.79 Chl/м2 сутки, 2.2%) [15]. Высокий уровень выедания на шельфе в период исследований определялся массовым развитием популяций копепод рода Pseudocalanus, в которых доминировали активно питающиеся младшие возрастные стадии. Средняя численность молоди этого вида в июле 2016 г. составляла почти 60 000 экз/м2, а вклад в суммарное выедание — более 90%.
Анализ результатов, полученных в настоящей работе, позволяет сформулировать следующие заключительные положения.
- В летний сезон при интенсивном речном стоке, большой протяженности эстуарной фронтальной зоны средняя биомасса зоопланктона Обского эстуария невелика, в сообществе доминирует популяция macrurus, представленная всеми возрастными стадиями. В планктоне практически отсутствуют типичные для этого эстуария копеподы Senecella siberica, которые в осенний период составляют более половины биомассы зоопланктона.
- Распределение зоопланктона характеризуется выраженной пространственно-временной изменчивостью. Максимумы биомассы ассоциированы с границей распространения речных вод и южной периферией эстуарной фронтальной зоны. Короткопериодная временная изменчивость обилия зоопланктона на южной границе эстуарной фронтальной зоны, вероятнее всего, обусловлена перестройкой гидрофизической структуры вод под действием смены ветрового режима в течение достаточно короткого времени.
- При благоприятных трофических условиях в Обском эстуарии популяция macrurus находилась в активной фазе жизненного цикла. Высокий уровень активности питания обеспечивал возможность массового развития этого вида. Суточная продукция популяции L. macrurus в эстуарии сопоставима с продукцией мезопланктона в высокопродуктивном Баренцевом море в летний период.
- Несмотря на высокую активность питания, роль зоопланктона в процессах трансформации органического вещества в Обском эстуарии в летний период невелика. Эффективность функционирования пелагического «биофильтра» в скоплениях эстуарного зоопланктона существенно ниже, чем в осенний сезон.
Благодарности. Авторы благодарят команду НИС «Академик Мстислав Келдыш» за помощь в работе.
Источник финансирования. Работы выполнены в рамках Госзадания № 0149-2018-0035. Полевые исследования выполнены при поддержке РНФ (Проект № 14-50-00095), обработка и анализ материалов поддержана Проектами РФФИ № 18-05-60069, № 17-05-00799, № 19-05-00022 и № 19-04-00322.
作者简介
A. Drits
Shirshov Institute of Oceanology, Russian Academy of Sciences
							编辑信件的主要联系方式.
							Email: adrits@mail.ru
				                					                																			                												                	俄罗斯联邦, 							 Moscow 						
E. Arashkevich
Shirshov Institute of Oceanology, Russian Academy of Sciences
														Email: adrits@mail.ru
				                					                																			                												                	俄罗斯联邦, 							 Moscow 						
A. Nedospasov
Shirshov Institute of Oceanology, Russian Academy of Sciences
														Email: adrits@mail.ru
				                					                																			                												                	俄罗斯联邦, 							 Moscow 						
A. Amelina
Shirshov Institute of Oceanology, Russian Academy of Sciences
														Email: adrits@mail.ru
				                					                																			                												                	俄罗斯联邦, 							 Moscow 						
M. Flint
Shirshov Institute of Oceanology, Russian Academy of Sciences
														Email: adrits@mail.ru
				                					                																			                												                	俄罗斯联邦, 							 Moscow 						
参考
- Арашкевич Е. Г., Флинт М. В., Никишина А. Б. и др. Роль зоопланктона в трансформации органического вещества в обском эстуарии, шельфовых и глубоководных районах Карского моря // Океанология. 2010. Т. 50. № 5. С. 823–836
- Виноградов М. Е., Шушкина Э. А., Лебедева Л. П. и др. Мезопланктон восточной части Карского моря и эстуариев Оби и Енисея // Океанология. 1994. Т. 34. № 5. С. 716–723.
- Дворецкий В. Г., Дворецкий А. Г. Экология зоопланктонных сообществ Баренцева моря и сопредельных вод / Отв. ред. Макаревич Р. П. СПб.: ММБИ КНЦ РАН, 2015. 736 С.
- Дриц А. В., Никишина А. Б., Семенова Т. Н. и др. Особенности распределения и питания массовых видов зоопланктона в эстуарии реки Обь // Океанология. 2016. Т. 56, № 3.С. 414–428.
- Зацепин А. Г., Завьялов П. О., Баранов В. И. и др. О ветровом механизме трансформации опресненных речным стоком вод в Карском море // Океанология. 2017. Т. 57. № 1.С. 5–12.
- Лапин С. А. Гидрологическая характеристика обской губы в летне-осенний период // Океанология. 2011. Т. 51. № 6. С. 1–10.
- Лапин С. А. Специфика формирования зон повышенной продуктивности в Обском эстуарии // Тр. ВНИРО. 2014. Т. 152. С. 146–154.
- Лисицын А. П. Маргинальный фильтр океанов // Океанология. 1994. Т. 34. № 5. С. 735–747.
- Суханова И. Н., Флинт М. В., Сахарова Е. Г. и др. Фитоценозы Обского эстуария и Карского шельфа в поздневесенний период // Океанология. 2018. Т. 57. № 6. С. 882–898.
- Флинт М. В., Семенова Т. Н., Арашкевич Е. Г. и др. Структура планктонного сообщества в области эстуарного фронта Оби // Океанология. 2010. Т. 50. № 5. С. 809–822.
- Численко Л. Л. Номограммы для определения веса водных организмов по размерам и форме тела. Л.: Наука, 1968. 106 с.
- Carmack E. C., Yamamoto-Kawai M., Haine T. W. N. et al. Freshwater and its role in the Arctic Marine System: Sources, disposition, storage, export, and physical and biogeochemical consequences in the Arctic and global oceans // J. Geophys. Res. Biogeosci. V.121. P. 675–717
- Demidov A. B., Gagarin V. I., Vorobieva O. V. et al. Spatial and vertical variability of primary production in the Kara Sea in July and August 2016: the influence of the river plume and subsurface chlorophyll maxima // Polar Biology. 2018. V. 41. № 3.P. 563–578.
- Drits A. V., Pasternak A. F., Nikishina A. B. et al. 2016b. The dominant copepods Senecella siberica and Limnocalanus macrurus in the Ob estuary: ecology in a high-gradient environment // Polar Biology. 2016. V. 39. P. 1527–1538.
- Drits A. V., Pasternak A. F., Flint M. V. Distribution and grazing of dominant zooplankton species in the Ob Estuary: Influence of the runoff regime // Estuaries and Coasts. 2017. V. 40. P. 1082–1095
- ICES Zooplankton Methodology Manual / Eds. Harris R. et al. London: Academic Press, 2000. 684 p.
- Irigoien X. Gut clearance rate constant, temperature and initial gut contents: a review // J. Plank. Res. 1998. V. 20. № 5. P. 997–1003.
- Ikeda T., Kanno Y., Ozaki K., Shinada A. Metabolic rates of epipelagic copepods as a function of body mass and temperature // Mar. Biol. 2001. V. 139. P. 587–596.
- Mackas D. L., Bohrer R. N. Fluorescence analysis of zooplankton gut contents and investigation of diel feeding patterns // J. Exp. Mar. Biol. Ecol. 1976. V. 25. P. 77–85.
- Mauchlin J. The biology of calanoid copepods // Adv. Mar / Biol. 1998. V.33. P. 1–708.
- McClelland J. W., Tank S. E., Spencer R. G. M., Shiklomanov A. I. Coordination and sustainability of river observing activities in the Arctic. // Arctic 2015.V. 68. P. 59–68.
- Pasternak A., Arashkevich E., Reigstad M. et al. Dividing mesozooplankton into upper and lower size groups: Applications to the grazing impact in the Marginal Ice Zone of the Barents Sea // Deep-Sea Res. II. 2008. V. 55. P. 2245–2256.
补充文件
 
				
			 
						 
						 
						 
						 
					
 
  
  
  电邮这篇文章
			电邮这篇文章 








