Benthic Harpacticoida of the Cara sea: species composition and bathymetric distribution
- Authors: Garlitska L.А.1, Chertoprud E.S.2,3, Portnova D.A.1, Azovsky A.I.1,2
-
Affiliations:
- Shirshov Institute of Oceanology, Russian Academy of Science
- Lomonosov Moscow State University
- Severtsov Institute of Ecology and Evolution, Russian Academy of Science
- Issue: Vol 59, No 4 (2019)
- Pages: 600-611
- Section: Морская биология
- URL: https://journals.eco-vector.com/0030-1574/article/view/16101
- DOI: https://doi.org/10.31857/S0030-1574594600-611
- ID: 16101
Cite item
Full Text
Abstract
Data on benthic harpacticoid copepods from the Voronin Trench (central part of the Kara Sea) are reported for the first time. Harpacticoids accounted for 1–25% of total meiofauna, their abundance varied from 6 to 102 ind/10 cm2 and decreased with depth. Totally, 42 nominal species have been found, 15 species are new for the Kara Sea, and at least eight species are new for science. Several species are first records for the Arctic waters (Cylindronannopus bispinosus, Haloschizopera clotensis, H. bathyalis, Metauntemannia pseudomagniceps, Mesocletdemus duosetosus, M. parabodini, Proameira echinipes, Cletodes tuberculatus). Ameiridae, Argestidae, Pseudotachidiidae, Miraciidae and Ectinosomatidae are the most species-rich families. Joint analysis with data on shallow-water stations (Yenisei Gulf, southern Kara Sea) revealed three assemblages occupying different habitats. The assemblage inhabiting shallow silts (20–62 m in depth) was the poorest one, the shallow sands were more species-rich, while the deepest stations (92–698 m) was the richest one. The latter assemblage had the composition of families typical for the deep-sea areas. The known fauna of the Kara Sea includes 82 harpacticoid species, most of which have been also reported from north Atlantic and/or western Arctic waters.
Keywords
Full Text
ВВЕДЕНИЕ
Мейобентос (микроскопические многоклеточные животные, обитающие в донных осадках) — важный компонент морских экосистем, служащий связующим звеном в пищевой цепи от микробиоты к более крупным организмам. Одной из важнейших групп мейобентоса являются гарпактикоидные копеподы, населяющие все типы донных субстратов во всем диапазоне глубин, занимая, как правило, одно из первых мест по обилию и видовому богатству [4, 17]. Вместе с тем разнообразие и экология этой группы до сих пор малоизучены. О гарпактикоидах Карского моря известно крайне мало. Наиболее полные сведения содержатся в работах [2, 5], выполненных по материалам плавания ледокола «Садко» в 1935–1937 гг. До последнего времени, кроме этих работ, в литературе имелись лишь эпизодические сведения по гарпактикоидам этого региона [1, 13, 18]. Недавно нами была опубликована работа о гарпактикоидах мелководий центральной части Карского моря, включая Енисейский залив [15]. В настоящей работе мы представляем первые сведения о гарпактикоидах восточной части Карского моря (желоб Воронина) и результаты сравнительного анализа карскоморской фауны гарпактикоид на градиенте глубин от 20 до 335 м.
МАТЕРИАЛ И МЕТОДИКА
Район исследований и условия среды. Материал для данной работы был собран в сентябре 2015 г. в ходе 63-го рейса НИС «Академик Мстислав Келдыш» в желобе Воронина (восточная часть Карского моря, 7 станций). Использован также материал, полученный ранее (сентябрь–октябрь 2011 г., 59-й рейс НИС «Академик Мстислав Келдыш», 13 станций) из центральной части моря к северу от устья р. Енисей [15] (рис. 1, табл. 1). Данные по станциям 5013 и 5015, расположенным в опресненной устьевой части и находящимся под сильным влиянием речного стока, в рассмотрение не включались.
Рис. 1. Карта станций в Карском море. (1 — 63-й рейс НИС «Академик Мстислав Келдыш» 2015 г., 2 — 59-й рейс НИС «Академик Мстислав Келдыш» 2011 г.).
Таблица 1. Основные характеристики станций, выполненных в ходе 63-го рейса НИС «Академик Мстислав Келдыш». Станции расположены по мере увеличения расстояния от п-ва Таймыр
№ станции | Координаты | Глубина, м | Температура (придонная), °C | Соленость (придонная), psu | Средний размер частиц, мкм | Содержание ила, % | |
5232 | 75.8842° с.ш. | 89.5014° в.д. | 52 | -1.03 | 33.88 | 213.60 | 55 |
5236 | 76.9669° с.ш. | 87.8344° в.д. | 90 | -1.05 | 33.86 | 73.33 | 67 |
5237 | 77.5000° с.ш. | 87.2172° в.д. | 125 | -0.91 | 34.27 | 34.54 | 84 |
5238 | 78.0025° с.ш. | 87.6175° в.д. | 108 | -0.43 | 34.60 | 70.64 | 59 |
5239 | 78.5858° с.ш. | 88.0522° в.д. | 241 | -1.37 | 34.74 | 84.51 | 62 |
5240 | 79.2667° с.ш. | 87.6189° в.д. | 301 | -1.42 | 34.82 | 57.01 | 75 |
5241 | 80.0000° с.ш. | 85.5333° в.д. | 335 | -0.90 | 34.85 | 31.87 | 89 |
Полевые и лабораторные методы. Всего на 20 станциях было отобрано 50 проб. Грунт отбирали при помощи трубки Неймисто (по две-четыре на каждой станции). Для проб мейобентоса отбирали верхние 5 см грунта трубчатым пробоотборником диаметром 2 см (по две повторности из каждой трубки). Параллельно с помощью STD-зонда (SBE-32, Seabird Electronics) определяли параметры среды, такие как глубина, придонная соленость, температура придонной воды. Гранулометрический состав верхнего 5-сантиметрового слоя осадков анализировали лазерным гранулометром Analizeter-22 методом лазерной дифрактометрии в образцах, растертых пестиком с резиновым наконечником и обработанных 4% Na4P2O7, в Эколого-геохимическом центре географического факультета МГУ имени М. В. Ломоносова.
Пробы фиксировали на борту 5% формалином. Организмы мейофауны извлекали из субстрата центрифугированием в смеси коллоидного полимера кремния (Levasil®) и каолина [22]. Пробы центрифугировали три раза по 5 минут при 4000 оборотах в минуту. После каждого центрифугирования верхнюю фракцию, содержащую мейобентосные организмы, промывали через сито 40 μм и окрашивали бенгальским розовым. Пробы тотально обсчитывали под стереомикроскопом Leica MZ APO, и параллельно выбирали гарпактикоид для определения. Взрослых особей препарировали в глицерине, а отделенные части тела помещали в лактофенол и делали постоянные препараты. Определение гарпактикоид осуществляли под микроскопом Olympus CX41. Для идентификации использовали как определители [3, 8, 19, 21, 40], так и отдельные оригинальные статьи. У взрослых особей определяли пол. Копеподитные и науплиальные стадии подсчитывались, но не идентифицировались.
Статистический анализ. Данные всех повторностей на станции объединялись и далее анализировались как единая проба. Численности пересчитывались на 10 см 2. Для выявления связи между структурой сообществ гарпактикоид и факторами среды использовали прямую нелинейную ординацию методом канонического анализа соответствий (Canonical Correspondence analysis, CCA), в качестве предикторов использовали глубину, средний размер частиц осадка и долю алевропелита.
РЕЗУЛЬТАТЫ
Численность и разнообразие мейофауны. В исследуемый период мейофауна восточной части Карского моря была представлена восемью таксонами: Nematoda, Harpacticoida, Ostracoda, Halacaridae, Tardigrada, Kinorhyncha, Polychaeta и Bivalvia (табл. 2). Общая численность мейофауны варьировала в довольно широких пределах — от 197 до 1526 экз/10 см 2 (в среднем 664±394 экз/10 см 2), и нематоды преобладали на всех семи станциях. На самой мелководной станции 5232 (52 метра) доли нематод и гарпактикоид были приблизительно равны, глубже лидирующая роль нематод была выражена отчетливо (рис. 2).
Рис. 2. Доля руководящих групп в общей численности мейобентоса в сентябре 2015 г.
Таблица 2. Распределение многоклеточного мейобентоса по станциям
Таксон | № станции | ||||||
5232 | 5236 | 5237 | 5238 | 5239 | 5240 | 5241 | |
Nematoda | 143 | 420 | 559 | 663 | 1221 | 553 | 312 |
Harpacticoida (взрослые + копеподиты) | 45 | 20 | 33 | 31 | 76 | 46 | 44 |
Harpacticoida (науплиусы) | 81 | 25 | 22 | 100 | 170 | 34 | 10 |
Tardigrada | 0 | 0 | 0 | 0 | 1 | 0 | 0 |
Kinorhyncha | 0 | 0 | 5 | 2 | 1 | 1 | 1 |
Ostracoda | 14 | 3 | 0 | 1 | 10 | 9 | 2 |
Halacaridae | 0 | 0 | 0 | 0 | 2 | 0 | 0 |
Polychaeta | 19 | 16 | 19 | 7 | 18 | 7 | 6 |
Bivalvia | 0 | 1 | 5 | 1 | 14 | 1 | 3 |
Количество таксонов | 4 | 5 | 5 | 6 | 8 | 6 | 6 |
Обилие и видовое богатство гарпактикоид. Численность гарпактикоид варьировала от 6 до 102 экз/10 см 2, при этом в среднем составляя лишь 36±18 экз/10 см 2, в общей же численности мейобентоса это было от 1.0 до 24.2% (в среднем 8.1±5.4%). На долю копеподитных стадий приходилось от 0 до 75% (в среднем 40.3±22.9%). Наблюдалось существенное различие в количестве самок и самцов в пробе: плотность первых в среднем была выше в 8.4 раза (рис. 3а). При совместном анализе всего имеющегося материала очевидна тенденция к снижению количества взрослых особей в пробах с глубиной (рис. 3б).
Рис. 3. Соотношение полов и возрастных стадий в сентябре 2015 г. (а) и количество взрослых особей в 2011 и 2015 гг. (б).
В материале 2015 г. обнаружено 42 номинальных вида гарпактикоид, которые относятся к 12 семействам (табл. 3). Из них 29 были определены до видового уровня, 13 — до уровня рода, из которых как минимум 8 новых для науки. Наиболее богато были представлены сем. Pseudotachidiidae (8 видов), Argestidae (7) и Miraciidae (6). Следует отметить, что семейство Ectinosomatidae в данный момент находится в обработке, так что в будущем возможно увеличение списка на несколько видов. Наиболее часто встречались Bradya scotti, Monocletodes varians, Heteropsyllus major, Ameira parvula и Zosime incrassata. Двадцать три вида были представлены единичными экземплярами.
Таблица 3. Список видов Harpacticoida и их встречаемость
№ станции | 5232 | 5236 | 5237 | 5238 | 5239 | 5240 | 5241 |
Ameiridae Boeck, 1865 | |||||||
Ameira parvula (Claus, 1866) | + | + | + | + | |||
Proameira echinipes Soyer, 1975 | + | + | |||||
Pseudameira crassicornis Sars G.O., 1911 | + | ||||||
Pseudameira sp. | + | + | + | ||||
Argestidae Por, 1986 | |||||||
Dizahavia sp. | + | ||||||
Eurycletodes (O.) uniarticulatus Smirnov, 1946 | + | ||||||
Eurycletodes sp. | + | + | |||||
Mesocletodes duosetosus Schriever, 1985 | + | + | |||||
Mesocletodes parabodini Schriever, 1983 | + | ||||||
Mesocletodes sp. | + | ||||||
Odiliacletodes gracilis Soyer, 1964 | + | ||||||
Canthocamptidae Brady, 1880 | |||||||
Heteropsyllus major (Sars G.O., 1920) | + | + | + | + | |||
Heteropsyllus rostratus (Sars G.O., 1920) | + | ||||||
Metahuntemannia pseudomagniceps Schriever, 1983 | + | ||||||
Mesopsyllus sp. | + | ||||||
Canuellidae Lang, 1944 | |||||||
Canuellopsis sp. nov. | + | ||||||
Cletodidae Scott T., 1904 | |||||||
Cletodes macrura Fiers, 1991 | + | ||||||
Cletodes tenuipes (Scott T., 1897) | + | ||||||
Cletodes tuberculatus Fiers, 1991 | + | + | |||||
Monocletodes varians (Scott T., 1903) | + | + | + | + | + | ||
Ectinosomatidae Sars G.O., 1903 | |||||||
Bradya scotti Sars G.O., 1920 | + | + | + | + | + | ||
Pseudobradya exilis Sars G.O., 1920 | + | ||||||
Ectinosomatidae gen.spp. | + | + | + | + | + | ||
Harpacticidae Dana, 1846 | |||||||
Harpacticus uniremis Krøyer, 1842 | + | ||||||
Idyanthidae Lang, 1948 | |||||||
Idyella nilmaensis Kornev & Chertoprud, 2008 | + | ||||||
Nematovorax sp. nov. | + | ||||||
Miraciidae Dana, 1846 | |||||||
Delavalia sp. nov. 1 | + | ||||||
Delavalia sp. nov. 2 | + | ||||||
Delavalia sp. nov. 3 | + | ||||||
Haloschizopera bathyalis Schriever, 1984 | + | + | |||||
Haloschizopera clotensis Moore & O'Reilly, 1994 | + | + | + | ||||
Stenhelia sp. nov. | + | ||||||
Neobradyidae Olofsson, 1917 | |||||||
Marsteinia similis Drzycimski, 1968 | + | ||||||
Pseudotachidiidae Lang, 1936 | |||||||
Cylindronannopus bispinosus Schriever, 1985 | + | ||||||
Danielssenia quadriseta Gee, 1988 | + | + | + | ||||
Danielssenia spitsbergensis Gee & Huys, 1994 | + | + | |||||
Danielssenia typica Boeck, 1873 | + | ||||||
Mucrosenia kendalli Gee & Huys, 1994 | + | + | |||||
Paradanielssenia christineae Gee & Huys, 1994 | + | ||||||
Pseudomesochra sp. nov. 1 | + | ||||||
Pseudomesochra sp. nov. 2 | + | ||||||
Zosimeidae Seifried, 2003 | |||||||
Zosime incrassata Sars G.O., 1910 | + | + | + | + | |||
Zosime valida Sars G.O., 1919 | + | ||||||
Распределение гарпактикоид. Для анализа использованы 20 морских станций 59-го и 63-го рейсов (без опресненных районов 59-го рейса). Общая численность гарпактикоид в целом снижается с глубиной, составляя в среднем 40.3±28.0 экз/10 см 2 до 90 м и 18.8±8.4 экз/10 см 2 глубже (рис. 3б). Видовое разнообразие демонстрирует противоположный тренд, возрастая с глубиной (рис. 4).
Рис. 4. Индексы разнообразия Harpacticoida: число видов на станции (а) и индекс Шеннона (б) на различных глубинах.
В результате ординации станций методом канонического анализа соответствий (CCA) выделены две канонических оси, статистическая достоверность которых подтверждена перестановочным тестом (рис. 5). Первая отражает батиметрический градиент (глубину) и связанное с глубиной заиление грунта, эта ось объясняет 58.8% общей изменчивости (неслучайность оси достоверна на уровне значимости p = 0.001). По этой оси станции разделились на мелководные (20–62 м, слева) и глубоководные (92–335 м, справа). Вторая ось отражает отличия в гранулометрическом составе грунта, не связанные с глубиной. Эта ось объясняет 41.2% вариаций (достоверна с p = 0.001); по ней мелководные станции дополнительно разделились на две группы: с песчаными и смешанными осадками (вверху слева) и с илистыми (внизу слева).
Рис. 5. Ординация станций по видовой структуре методом канонического анализа соответствий. Жирными линиями показаны вектора влияния факторов среды: глубины (DEPTH), содержания алевропелита в осадке (SILT) и среднего размера частиц осадка (MPS).
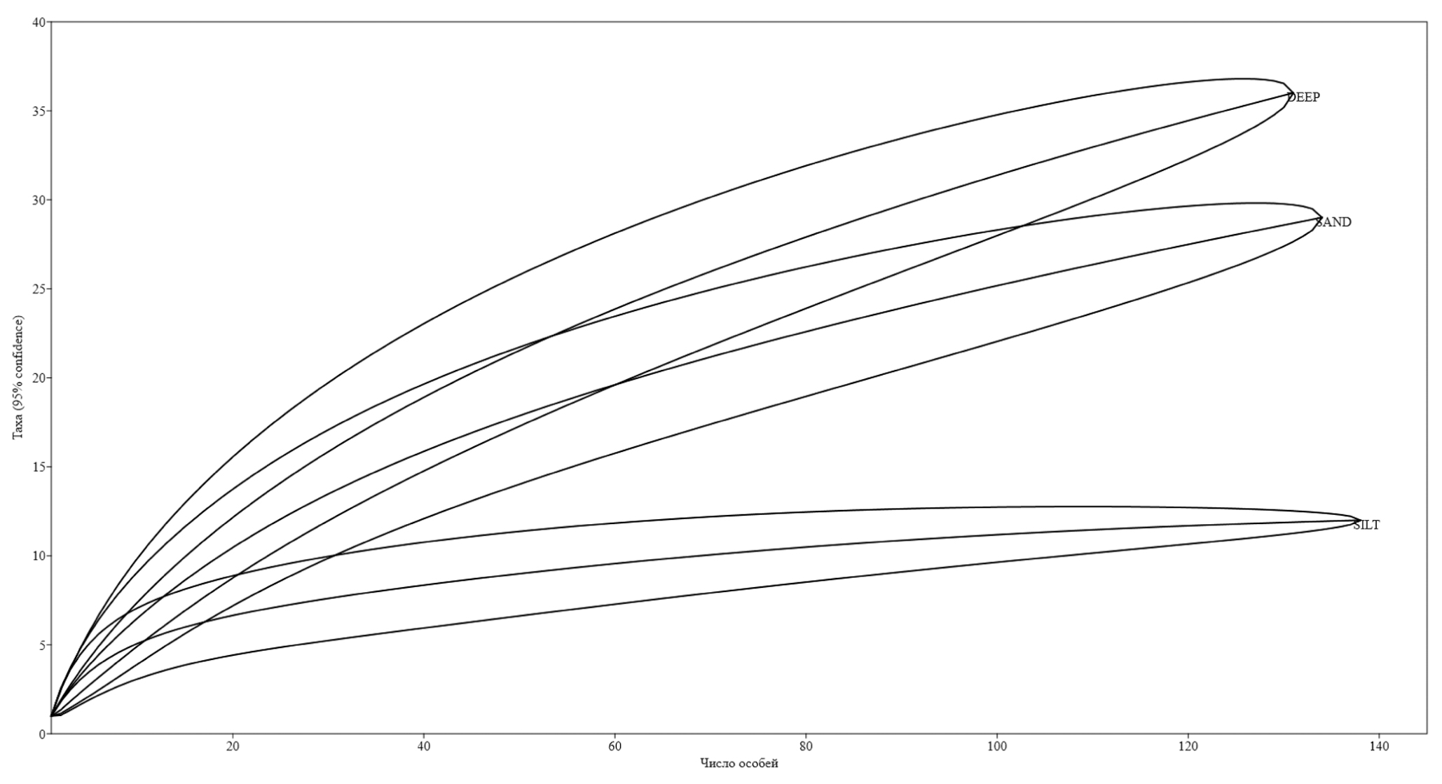
Мы также провели повторный анализ состава гарпактикоид на уровне семейств, добавив для сравнения данные по глубоководной (698 м) станции 1935 г. [2, 5]. Общая картина ординации станций (рис. 6) осталась практически неизменной, первая ось (глубина) объясняет 63.5% изменчивости в составе на уровне семейств (p = 0.007), вторая (характер грунта) — 36.5% (p = 0.001). Кривые накопления видов (зависимости ожидаемого числа видов от числа особей, рис. 7) показывают, что наибольшим видовым богатством отличается население глубоководных станций (глубины более 90 м), наименее разнообразно население мелководных илов.
Рис. 6. Ординация станций по численности семейств методом канонического анализа соответствий. Показано положение станций (квадраты — мелководные пески и смешанные грунты, треугольники — мелководные илы, открытые кружки — глубоководные станции) и семейств (черные кружки). 60 (1946) — станция 1935 г., по данным Смирнова [5].
Рис. 7. Кривые накопления видов для трех выделенных сообществ. Показаны средние значения и 95% доверительные области.
Таким образом, можно выделить три сообщества (таксоцена) гарпактикоид, населяющих разные биотопы и отличающихся друг от друга показателями видового богатства (табл. 4) и набором семейств, доминирующих и «уникальных» родов:
- мелководные илы: Pseudotachidiidae (Danielssenia), Ectinosomatidae (Bradya), Adenopleurellidae (Proceropes), Ameiridae (Sarsameira);
- мелководные пески и смешанные грунты: Cletodidae (Cletodes), Rhizotricidae (Rhizothrix), Idyanthidae (Idyella, Tachidiella), Pseudotachidiidae (Paradanielssenia), Ectinosomatidae, Miraciidae (Stenhelia, Delavalia);
- глубоководные: Aegiisthidae (Cerviniopsis), Argestidae (Mesocletodes, Eurycletodes), Ancorabolidae (Lobopleura, Polyascophorus), Ameiridae (Ameira, Proameira, Pseudameira), Canuellidae (Canuellopsis), Canthocamptidae (Heteropsyllus, Metahuntemannia), Pseudotachidiidae (Cylindronannopus, Mucrosenia, Pseudomesochra), Miraciidae (Haloschizopera), Neobradyidae (Marteinia), Zosimidae (Zosime), Ectinosomatidae (Bradya, Pseudobradya), Cletodidae (Monocletodes).
Таблица 4. Показатели видового богатства выделенных сообществ
Сообщество | Число станций | Общее число видов | Видов на станцию |
Мелководные илы | 7 | 12 | 5.2±1.16 |
Мелководные пески | 7 | 29 | 8.8±3.0 |
Глубоководные | 6 | 36 | 11.5±2.6 |
ОБСУЖДЕНИЕ
Численность и другие количественные показатели Harpacticoida. Высокий процент копеподитных стадий может указывать на период массового размножения этих ракообразных. Об этом же говорит соотношение полов в пробах (в среднем глубже 90 м, ♀:♂ = 7.6:1) (см. рис. 3а). Так, например, Монтанья и Кэри [25] обнаружили, что у гарпактикоид Моря Бофорта (Аляска) соотношение численности самок и самцов равно 99 к 1. Более ровное соотношение полов (♀:♂ от 1.3:1 до 3.5:1) было отмечено для глубоководных гарпактикоид и сообществ донных копопед [6, 38, 40, 43]. В глубоководной части залива Сагами (Япония) средняя доля самцов Cerviniidae составляла приблизительно 23% от всех взрослых особей. Но Шиманага с соавторами [37] считают, что такое соотношение связано с тем, что самцы не питаются во время взрослой стадии. Эта их особенность, в свою очередь, может привести к сокращению продолжительности жизни по сравнению с самками, и быть причиной смещенного соотношения полов. Тисел и Экман [40] утверждают, что такое соотношение полов может отчасти быть артефактом пробоотбора: орудия лова генерируют сильную волну, которая и могла сносить более легких самцов чаще, чем крупных самок. В нашем случае, однако, использовались трубки Неймисто, гидродинамический эффект которых слабее, чем у дночерпателей. В целом же разнонаправленный ход численности и разнообразия с глубиной — достаточно ожидаем, а сходные батиметрические тренды известны для макро- и мейофауны разных районов [7, 23, 24, 31].
Сообщества. Картина изменения видового состава гарпактикоид в зависимости от глубины и типа осадков также типична. В частности, такая картина была описана нами ранее [15] для мелководий центральной части Карского моря. Совместный анализ этих и новых данных, проведенный в настоящей работе, позволил выделить специфические сообщества, населяющие исследуемую акваторию.
Наиболее бедна фауна мелководных илов (табл. 4). В этом биотопе наблюдается четкое доминирование представителей двух семейств — Ectinosomatidae (Bradya scotti и др.) и Pseudotachidiidae: Danielssenia typica, D. quadriseta и Danielssenia sp. nov. Более разнообразна фауна мелководных песков. Здесь доминируют Pseudotachidiidae: D. typica, D. quadriseta, Paradanielssenia kathleenae; а Ectinosomatidae (Bradya scotti и др.) выступают субдоминантным семейством. Заметна роль и других семейств: Cletodidae (Cletodes macrura, C. tenuipes), Miraciidae (Delavalia sp. nov. 1, Stenhelia sp. nov.), Rhizothricidae (Rhizothrix sp. nov.), Idyanthidae (Idyellopsis typica). Наиболее богата фауна глубоководных субстратов. При численном доминировании Ectinosomatidae (Bradya scotti и др.) тут характерны представители семейств Argestidae, Ameiridae, Canthocamptidae, Cletodidae, Miraciidae, Neobradyidaeи Zosimeidae.
Специфически глубоководных семейств для гарпактицид не обнаружено [36]. Сравнительный анализ глубоководных фаун гарпактикоид [20] показывает, что, несмотря на региональные вариации структуры, чаще всего по численности лидируют сем. Ameiridae, Ectinosomatidae, Argestidae, Miraciidae, Pseudotachidiidae, Cletodidae и Canuellidae. Все эти семейства характерны и для относительно глубоководных проб Карского моря. К глубоководным можно отнести и сем. Ancorabolidae [11, 35]. Хотя в нашем материале представители этого семейства не были встречены, на единственной карскоморской глубоководной станции 1935 г. (698 м) были обнаружены два представителя этого семейства — Lobopleura expansa и Polyascophorus gorbunovi [2, 5]. Таким образом, по составу семейств фауна гарпактикоид в Карском море уже начиная с нижнесублиторальных глубин (100 м и глубже) носит типично глубоководный характер. При этом кривая накопления видов на этих глубинах далека от выхода на плато. Более того, все восемь новых для науки видов найдены именно в глубоководных пробах. Все это заставляет ожидать существенного прироста числа видов по мере появления нового материала из абиссали.
Таксономический состав и распространение. В материале 2015 г. обнаружено 42 вида гарпактикоид (включая 8, вероятно, новых для науки), 15 видов — впервые указаны для фауны Карского моря. Всего, с учетом предыдущих работ, к настоящему времени для акватории Карского моря зарегистрировано 82 вида гарпактикоидных копепод. Материал собирался из разных частей акватории: прибрежье [1] и глубоководная часть [2, 5] архипелага Новая Земля, центральная часть моря и эстуарий р. Енисей [15]. В большинстве своем фауна Harpacticoida имеет арктический и аркто-бореальный характер, что подтверждают и наши данные. Для ряда видов их нахождение в Карском море существенно расширяет их ареалы (табл. 5).
Таблица 5. Некоторые редкие виды, обнаруженные в восточной части Карского моря
Вид | Район | Среда (глубина, осадок) | Ссылка |
Proameira echinipes | Средиземное море Ирландское море западная Шотландия Северное море Карское море | ??? 61–122 м, ил, песчанистый ил верхняя литораль, ил ??? 241–335 м, ил, заиленный песок | [39] [27] [30] [29] наши данные |
Eurycletodes (O.) uniarticulatus | Восточно-Сибирское море Карское море | 60–65 м, ил и камни 108 м, заиленный песок | [5] наши данные |
Mesocletodes duosetosus | север Атлантики (подводный хребет между Исландией и Фарерскими островами) Карское море | 985 м, ??? 301–335 м, ил | [35] наши данные |
Mesocletodes parabodini | север Атлантики (подводный хребет между Исландией и Фарерскими островами) Карское море | 500 м, ??? 241 м, заиленный песок | [33] наши данные |
Metahuntemannia pseudomagniceps | север Атлантики (подводный хребет между Исландией и Фарерскими островами) Карское море | 500 м, ??? 241 м, заиленный песок | [33] наши данные |
Cletodes tuberculatus | Тихий Океан (Калифорнийское побережье) Мексиканский залив Карское море | 50–565 м, ил 26–40 м, заиленный песок 241–335 м, ил, заиленный песок, | [14] [26] наши данные |
Pseudobradya exilis | Северное море (Норвегия) север Атлантики (западная Шотландия) Карское море | 30 м, ??? 101 м, ил 108 м, заиленный песок | [32] [42] наши данные |
Idyella nilmaensis | Белое море Карское море | 40 м, ил 52 м, ил | [3] наши данные |
Haloschizopera bathyalis | север Атлантики (подводный хребет между Исландией и Фарерскими островами) Карское море | 500 м, ??? 108–241 м, заиленный песок | [34] наши данные |
Haloschizopera clotensis | север Атлантики (западная Шотландия) Море Лаптевых Карское море | 148 м, ил 114 м, ил 241–335 м, ил, заиленный песок | [28] [9] наши данные |
Marsteinia similis | Северное море (Норвегия) Атлантический Океан (Северная Каролина) Карское море | 242 м, ил более 1000 м, ??? 108 м, заиленный песок | [12] [10] наши данные |
Cylindronannopus bispinosus | север Атлантики (подводный хребет между Исландией и Фарерскими островами) Карское море | 1555 м, ??? 301 м, ил | [35] наши данные |
Danielssenia spitsbergensis | Шпицберген Карское море | 30 м, ил 108–335 м, ил, заиленный песок | [16] наши данные |
Mucrosenia kendalli | Шпицберген Карское море | 95 м, ил 125–301 м, ил, песчанистый ил | [16] наши данные |
Paradanielssenia christineae | Шпицберген Море Лаптевых Карское море | 30 м, ил 114 м, ил 52 м, ил | [16] [9] наши данные |
Интерес представляют новые находки для Карского моря. Так, например, типовое местообитание Mesocletodes duosetosus, M. parabodini, Metahuntemannia pseudomagniceps, Haloschizopera bathyalis и Cylindronannopus bispinosus — подводный хребет между Исландией и Фарерскими островами. Эти находки в нашем материале указывают на элементы глубоководной североатлантической фауны в Карском море, несмотря на меньшие, по сравнению с типовым местообитанием, глубины. Danielssenia spitsbergensis, Mucrosenia kendalli, Paradanielssenia christineae были описаны с арх. Шпицберген [16], а Idyella nilmaensis — из Белого моря [3], и до сих пор известны только по первоописаниям. Наши находки свидетельствуют, что эти виды имеют широкие высокоарктические ареалы.
Cletodes tuberculatus, как и C. macrura, отмеченный нами в Карском море ранее [15], был впервые обнаружен у Калифорнийского побережья [14] и позднее указан из Мексиканского залива [26]. Распространение довольно странное, но, принимая во внимание находки C. macrura в двух арктических морях, можно предположить, что и для C. tuberculatus это вполне возможно. Proameira echinipes была описана для западного Средиземноморья [39], но в литературе есть упоминания о ее бореальных находках: на чистых и песчанистых илах северо-восточной Атлантики [27, 30] и в Северном море [29]. Наши экземпляры были встречены на станциях 5239 и 5241 на сходных субстратах.
Также в таксономическом плане представляют интерес находки самца Marsteinia similis и самок Danielssenia spitsbergensis, которые ранее были неизвестны [12, 16] и могут дополнить описание этих видов.
Из 82 видов, известных к настоящему времени в Карском море, 30 видов отмечены также и в море Лаптевых. Семьдесят два вида (87.8%) отмечались также из атлантических и/или арктических вод к западу от Карского, тогда как в холодных водах восточного (тихоокеанского) сектора (исключая море Лаптевых) отмечено лишь 35 карскоморских видов (36.6%). Такая асимметрия подтверждает наше предположение о том, что трансарктический обмен фаунами более интенсивно шел в восточном направлении (из Атлантического сектора).
Благодарности. Авторы благодарят анонимных рецензентов за критику и замечания, которые позволили улучшить содержание статьи.
Источник финансирования. Работа выполнена при финансовой поддержке РФФИ (проекты № 18-05-60228, № 17-04-00337, № 19-05-00128 и № 18-04-00206).
About the authors
L. А. Garlitska
Shirshov Institute of Oceanology, Russian Academy of Science
Author for correspondence.
Email: garlitska@gmail.com
Russian Federation, Moscow
E. S. Chertoprud
Lomonosov Moscow State University; Severtsov Institute of Ecology and Evolution, Russian Academy of Science
Email: garlitska@gmail.com
Biological Faculty
Russian Federation, MoscowD. A. Portnova
Shirshov Institute of Oceanology, Russian Academy of Science
Email: garlitska@gmail.com
Russian Federation, Moscow
A. I. Azovsky
Shirshov Institute of Oceanology, Russian Academy of Science; Lomonosov Moscow State University
Email: garlitska@gmail.com
Biological Faculty
Russian Federation, MoscowReferences
- Вехов Н. В. Ракообразные водоемов полярных пустынь архипелага Новая Земля // Вестник зоол. 2000. Т. 34. № 3. С. 17-22.
- Горбунов Г. П. Донное население Новосибирского мелководья и центральной части Северного Ледовитого океана // Труды дрейфующей экспедиции Главсевморпути на ледокольном пароходе «Г. Седов» 1937-1940 гг. М., Л.: Изд-во Главсевморпути, 1946. С. 30-138.
- Корнев П. Н., Чертопруд Е. С. Веслоногие ракообразные отряда Harpacticoida Белого моря: морфология, систематика, экология. М.: Т-во научных изданий КМК, 2008. 379 с.
- Мокиевский В. О. Экология морского мейобентоса. М.: Т-во научных изданий КМК, 2009. 286 с.
- Смирнов С. С. Новые виды Copepoda-Harpacticoida из Северного Ледовитого океана // Труды дрейфующей экспедиции Главсевморпути на ледокольном пароходе «Г. Седов» 1937-1940 гг. М., Л.: Изд-во Главсевморпути, 1946. С. 231-263.
- Ahnert A., Schriever G. Response of abyssal Copepoda Harpacticoida (Crustacea) and other meiobenthos to an artificial disturbance and its bearing on future mining for polymetallic nodules // Deep-Sea Res. Part II: Topical Studies in Oceanography. 2001. V. 48. Is. 17-18. P. 3779-3794.
- Azovsky A. I., Garlitska L. A., Chertoprud E. S. Broad-scale patterns in local diversity of marine benthic harpacticoid copepods (Crustacea) // Mar. Ecol. Prog. Ser. 2012. V. 460. P. 63-77
- Boxshall G. A., Halsey S. H. An introduction to Copepod diversity. London: Ray Society, 2004. 966 p.
- Chertoprud E., Abramova E., Korsun S. et al. Composition of Harpacticoida (Crustacea, Copepoda) of the Laptev Sea in comparison with faunas of adjacent Arctic seas // Pol. Biol. 2018. https://doi.org/10.1007/s00300-017-2229-6
- Coull B. C. Meiobenthic Harpacticoida (Crustacea, Copepoda) from the deep. sea off North Carolina III. The families Tisbidae Stebbing emend. Lang, Thalestridae Sars emend. Lang, and Diosaccidae Sars // Trans. of the Amer. Microscop. Soc. 1973. V. 92. P. 592-603.
- Gheerardyn H., George K. H. New representatives of the genus Ancorabolina George, 2006 (Copepoda, Harpacticoida, Ancorabolidae) including remarks on ancorabolid phylogeny // Zool. J. Linn. Soc. 2010. V. 158. P. 16-55.
- Drzycimski I. Drei neue Harpacticoida aus westnorwegen // Sarsia. 1968. V. 36. P. 55-64.
- Fefilova E. B., Loskutova O. A., Pestov S. V. Micro-benthic crustacean communities in tundra lakes of North-East European Russia // Aquat. Ecol. 2008. V. 42. P. 449-461.
- Fiers F. Three new harpacticoid copepods from the Santa Maria Basin off the Californian Pacific coast (Copepoda, Harpacticoida) // Beaufortia. 1991. V. 42. P. 13-47.
- Garlitska L. A., Azovsky A. I. Benthic harpacticoid copepods of the Yenisei Gulf and the adjacent shallow waters of the Kara Sea // J. Nat. Hist. 2016. V. 50. Is. 47-48. P. 2941-2959.
- Gee J. M., Huys R. Paranannopidae (Copepoda: Harpacticoida) from sublittoral soft sediments in Spitzbergen // J. Nat. Hist. 1994. V. 28. P. 1007-1046.
- Giere O. Meiobenthology: the microscopic motile fauna of aquatic sediments. Springer, 2009. 527 p.
- Hirche H. J., Kosobokova K. N., Gaye-Haake B. et al. Structure and function of contemporary food webs on Arctic shelves: a panarctic comparison: the pelagic system of the Kara Sea — communities and components of carbon flow // Prog. Oceanogr. 2006. V. 71. P. 288-313.
- Huys R., Gee J. M., Moore C. G., Hamond R. Marine and brackish water harpacticoids, Part 1 // Synopses of the British Fauna (new series) № 51. Shrewsbury: Field Studies Council, 1996. 352 p.
- Kitahashi T., Kawamura K., Veit-Köhler G., and others. Assemblages of Harpacticoida (Crustacea: Copepoda) from the Ryukyu and Kuril Trenches, north-west Pacific Ocean // J. Mar. Biol. Ass. UK. 2012. V. 92. Is. 2. P. 275-286.
- Lang K. Monographie der Harpacticiden. Lund: Håkan Ohlsson, 1948. 1682 p.
- McIntyre A. D., Warwick R. M. Meiofauna techniques // Methods for the study of marine benthos / Eds. Holme N. A., McIntyre A. D. Oxford: Blackwell, 1984. P. 217-244.
- Mokievsky V. O., Azovsky A. I. Re-evaluation of species diversity patterns of free-living marine nematodes // Mar. Ecol. Progr. Ser. 2002. V. 238. P 101-108.
- Mokievsky V. O., Udalov A. A., Azovsky A. I. Quantitative distribution of meiobenthos in deep-water zones of the World Ocean // Okeanologiya 2007. V. 47. P. 787-813.
- Montagna P. A., Carey A. G. Distributional notes of Harpacticoida (Crustacea: Copepoda) collected from the Beaufort Sea (Arctic Ocean) // Astarte. 1978. V. 11. P. 117-123.
- Montagna P. A., Jarvis S. C., Kennicutt M. C. II Distinguishing between contaminant and reef effects on meiofauna near offshore hydrocarbon platforms in the Gulf of Mexico // Can. J. Fish. Aquat. Sc. 2002. V. 59. Is. 10. P 1584-1592.
- Moore C. G. Analysis of the associations of meiobenthic Copepoda of the Irish Sea // J. Mar. Biol. Ass. UK. 1979. V. 59. P. 831-849.
- Moore C. G., O’Reilly M. G. A description of Haloschizopera bulbifera (Sars) and three similar new species of harpacticoid copepod // J. Nat. Hist. 1994. Vol. 28. P. 53-74.
- Ocean Biogeographic Observation System (OBIS). http://iobis.org/
- Ólafsson E., Moore C. G. Effects of macroepifauna on developing nematode and harpacticoids assemblages in a subtidal muddy habitat // Mar. Ecol. Progr. Ser. 1992. V. 84. P. 161-171.
- Renaud P. E., Webb T. J., Bjørgesæter A, and others. Continental-scale patterns in benthic invertebrate diversity: insights from the MacroBen database // Mar. Ecol. Progr. Ser. 2009. V. 382. Is. 2. P. 39-252.
- Sars G. O. An Account of the Crustacea of Norway. Bergen: Bergen Museum, 1920. V. VII. Copepoda Supplement, Parts 4-8. P. 25-92, Plates.
- Schriever G. New Harpacticoidea (Crustacea, Copepoda) from the North-Atlantic Ocean. III. New species of the family Cletodidae // Meteor Forschungsergebnisse. 1983. V. 36. P. 65-83
- Schriever G. New Harpacticoidea (Crustacea, Copepoda) from the North Atlantic Ocean. IV. Four new species of the families Diosaccidae, Ameiridae, and Ancorabolidae // Crustaceana. 1984. V. 47. P. 52-71.
- Schriever G. New Harpacticoida from the North Atlantic Ocean. VII. The description of five new species of the genus Mesocletodes Sars (Cletodidae) // Mitteilungen aus dem Zoologischen Museum der Universität Kiel. 1985. V. 2. Is. 3. P. 1-12.
- Seifried S. The importance of a phylogenetic system for the study of deep-sea harpacticoid diversity // Zool. Stud. 2004. V. 43. Is. 2. P. 435-445.
- Shimanaga M., Lee W., Nomaki H., Iijima K. Sex ratio and gut contents of the deep-sea harpacticoid Neocervinia Itoi and other cerviniids: a possibility of reduced foraging among males // J. Crust. Biol. 2009. V. 29. Is. 2. P. 183-191.
- Shimanaga M., Shirayama Y. Sex ratio and reproductive activity of benthic copepods in bathyal Sagami Bay (1430 m), central Japan // Progr. Oceanogr. 2003. V. 57. Is. 1. P. 97-107.
- Soyer J. Contribution a l’étude des Copépodes Harpacticoïdes de Méditerranée occidentale. 11. Ameiridae Monard, Lang, Systématique, écologie // Vie et Milieu. 1974. V. 24. Is. 2. P. 379-408.
- Thistle D., Eckman J. E. The effect of a biologically produced structure on the benthic copepods of a deep-sea site // Deep-Sea Res. Part A. Oceanographic Research Papers. 1990. V. 37. Is. 4. P. 541-554.
- Wells J. B. J. An annotated checklist and keys to the species of Copepoda Harpacticoida (Crustacea) // Zootaxa. 2007. V. 1568. P. 1-872.
- Wells J. B. J. Copepoda (Crustacea) from the meiobenthos of some Scottish marine sub-littoral muds // Proc. Royal Soc. of Edinburgh, 1965. V. 69B. Is. 2. P. 1-33.
- Zekely J., Van Dover C. L., Nemeschkal H. L., Bright M. Hydrothermal vent meiobenthos associated with mytilid mussel aggregations from the Mid-Atlantic Ridge and the East Pacific Rise // Deep-Sea Res. Part I: Oceanographic Research Papers. 2006. V. 53. Is. 8. P. 1363-1378.
Supplementary files









