Suboxic and anoxic conditions in the Gdansk basins’ deep water (the Baltic sea)
- Authors: Artamonova K.V.1, Demidov A.N.2, Zuev O.A.2
-
Affiliations:
- Russian Federal Research Institute of Fisheries and Oceanography
- Lomonosov Moscow State University
- Issue: Vol 59, No 5 (2019)
- Pages: 714-723
- Section: Химия моря
- URL: https://journals.eco-vector.com/0030-1574/article/view/17590
- DOI: https://doi.org/10.31857/S0030-1574595714-723
- ID: 17590
Cite item
Full Text
Abstract
Variability of oxygen and hydrogen sulphide concentrations in the Gdansk basin’s deep water of the Baltic Sea for the last 25 years was analyzed. It was shown that suboxic and anoxic conditions in deep water were mainly determined by Baltic inflow frequency and intensity. Oxygen concentration in the bottom layer of the Gdansk basins’ increased strongly in 1–3 months after Major Baltic Inflow events (MBI). There were three periods of strong increasing of dissolve oxygen concentration in deep water since 1992 till 2018 after MBI in 1993, in 2003 and 2014–2016. It was shown that at the bottom of the Gdansk basin’s hydrogen sulphide was detected during 7–9 months till 2–2.5 years after MBI. Quality evaluation of dissolved oxygen distribution reanalysis was also conducted in this work. It can be noted good reproduction of field data by the reanalysis in its quality part; however, in most cases the observable maximum concentrations in dissolved oxygen distribution are understated, sometimes even several times.
Full Text
Балтийское море является одним из крупнейших в мире водоемов с солоноватой водой, гидрохимический режим которого отличается неустойчивостью и обусловлен уникальным комплексом факторов: ограниченным водообменом с Северным морем и мощным материковым стоком, формирующим основную специфику Балтики — устойчивую стратификацию вод с затрудненным вертикальным обменом между слоями [2, 6]. Наличие постоянного галоклина между Поверхностными и Североморскими глубинными водами препятствует аэрации глубинных вод Балтийского моря и приводит к образованию в периоды стагнаций бескислородных зон в глубоководных котловинах с последующим накоплением в них сероводорода [2]. Именно затоки североморских вод (ЗСВ), а не конвекция, являются главным источником растворенного кислорода в глубоководной части Балтийского моря [3, 10]. На скорость распространения ЗСВ в Балтике влияют прежде всего характеристики и объем затекающих вод, а также локальные гидрометеорологические условия в районе Датских проливов [5]. Согласно оценкам из [17], основанным на анализе 90 событий по ЗСВ с 1897 по 1976 г., средняя продолжительность пути вод от порога Дарсер до центральной части Борнхольмской котловины составляет 41 день. Непосредственно в Гданьскую котловину ЗСВ попадают через Слупский желоб через 1–3 месяца после фиксирования затоков в Арконской котловине [4]. При этом ЗСВ как источник пополнения кислорода функционируют постоянно, но неравномерно во времени [14]. Так, до 1983 г. ЗСВ высокой солёности, эффективные для обновления глубинного слоя обширной части моря, происходили раз в 3–5 лет. С середины 1980-х ЗСВ стали происходить заметно реже [15], что связано с ростом уровня моря и изменением индекса Североатлантического колебания [4, 11]. Наиболее мощные ЗСВ, эффективные для обновления всего глубинного слоя Балтики, происходят крайне редко [2]. Мощность поступлений и степень аэрации ими различных зон глубинного слоя также неравномерны. Так, мощные затоки отмечались в 1993, 2003, 2014 и 2016 гг. [18]. Отметим, что заток 2014 г. занимает третье место по мощности из всех зафиксированных за всю историю наблюдений, а заток 1993 г. — четвертое [21]. По данным [16, 20], если ЗСВ происходят в период с сентября по начало декабря, то обычно не оказывают заметного влияния на кислородное состояние глубинных вод, в отличие от ЗСВ с января по апрель, которые приводят к увеличению растворенного кислорода в глубинных водах Балтийского моря.
Балтийское море по праву считается одним из самых изученных морей Мирового океана, в том числе и по гидрохимическому режиму. Однако до сих пор существуют разные оценки времени наступления сероводородного заражения глубинного слоя в разных глубоководных котловинах Балтики после ЗСВ, их периодов, а также прогнозы дальнейшего их возникновения. Цель данной работы — изучение современного состояния кислородно-сероводородных условий глубинных вод Гданьской котловины и их изменения за последние 25 лет. По данным [2] ниже галоклина в Гданьской котловине существует зона устойчивого дефицита кислорода, где концентрации растворенного кислорода достигают нулевых значений. В придонном слое глубоководных котловин наблюдается чередование периодов стагнации и обновления североморских вод в разные годы. По данным работ [7, 9, 12], наблюдается общая тенденция к уменьшению содержания растворенного кислорода в глубинном слое Балтики.
Изучение гидрохимического режима Балтийского моря в связи с наличием периодически повторяющегося сероводородного заражения в глубоководных его котловинах является актуальной задачей. Истощение запасов растворенного кислорода оказывает губительное воздействие на всю экосистему Балтийского моря, богатого ценными видами рыб. При концентрации растворенного кислорода около 1.5 мл/л рыбы начинают мигрировать в районы с большим содержанием кислорода, а при более низких концентрациях многие виды погибают [2]. При этом с материковым стоком происходит постоянное поступление как минерального, так и органического вещества в верхний фотический слой, а ниже — его разложение до минеральных форм с потреблением растворенного кислорода [9]. Такое перераспределение гидрохимических параметров без дополнительного затока свежих вод в придонный слой приводит к полному исчезновению растворенного кислорода и к образованию сероводорода. В связи с этим необходим постоянный мониторинг гидрохимического режима Балтийского моря, позволяющий оценить его современное экологическое состояние и сделать прогноз на перспективу.
МАТЕРИАЛЫ И МЕТОДЫ
В работе использовались данные измерений содержания растворенного кислорода трёх комплексных учебно-научных экспедиций в Гданьской котловине по проектам РГО-РФФИ (в июле-августе 2014, 2015 и 2018 гг.) (рис. 1). В рамках экспедиции в августе 2018 г. при обнаружении нулевых концентраций растворенного кислорода проводились измерения содержания сероводорода в придонном слое Гданьской котловины. Растворенный в воде кислород определялся методом Винклера титрованием пробы 0.02-н раствором тиосульфата натрия с помощью автоматической бюретки на 20 мл. Для определения сероводорода использовался спектрофотометрический метод измерения содержания сульфидов в пробах воды с дальнейшим перерасчетом в концентрацию сероводорода [8]. Отбор проб на сероводород осуществлялся с частотой 5–10 м от дна с целью установить более точно верхнюю границу и толщину слоя сероводородного заражения в Гданьской котловине. Определения содержания сероводорода, выполненные в августе 2018 г., проводились впервые с 1990-х годов в российской части Гданьской котловины.
Рис. 1. Схема расположения станций в Балтийском море в районе Гданьской котловины (в июле-августе 2014, 2015 и 2018 гг.). 1 — положение станции многолетнего мониторинга (ст. 233) по данным [21]; 2 — положение самых глубоких станций разреза Янтарный вблизи ст. 233, выполненных в августе 2018 г.
Для оценки многолетней изменчивости были использованы данные по содержанию растворенного кислорода и сероводорода, выполненные с 1992 по 2017 гг. на станции многолетнего мониторинга (ст. 233) в придонном слое Гданьской котловины (рис. 1), представленные в открытом доступе [21]. В работе использовались ежегодные отчеты по гидролого-гидрохимическому состоянию вод Балтики Института Лейбница и картосхемы распределения содержания растворенного кислорода и сероводорода, представленные на сайте. Причем используемые в работе измерения на станции 233 непосредственно в Гданьской котловине были выполнены польским Институтом метеорологии и водных ресурсов и переданы немецким коллегам. Поэтому картосхемы распределения концентраций растворенного кислорода и сероводорода, представленные на сайте, зачастую не содержат измерений непосредственно в Гданьской котловине и появляются именно в ежегодных отчетах. Кроме того, были использованы данные по содержанию растворенного кислорода в придонном слое Гданьской котловины за 2015–2016 гг. из [13].
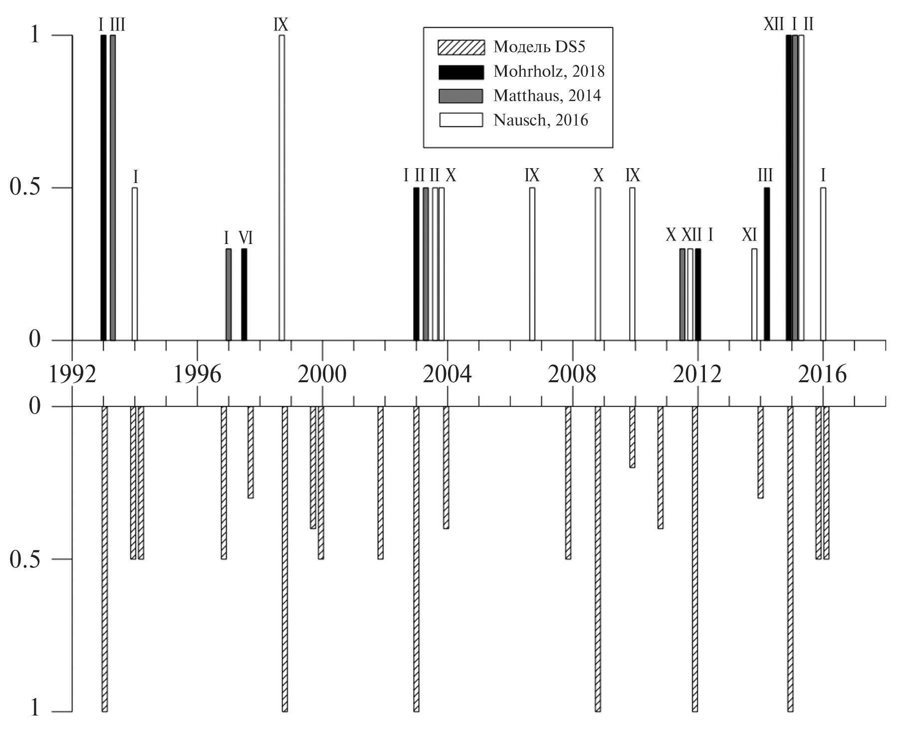
В работе на основе реальных источников и с использованием модели DS5 были построены индексы мощности ЗСВ с 1992 по 2018 г. (рис. 2). Модель DS5 ассимилирует данные объема воды и солей через Датские проливы, средний уровень моря, речной сток, данные автономных буев MARNET. В зависимости от общего объема воды и солей ЗСВ, по мнению [18], разделяются на слабые, средние и сильные.
Рис. 2. Условный индекс мощности затоков Североморских вод по данным реальных наблюдений (столбики сверху, в легенде приведены источники данных) и по модельным расчетам (модель DS5) (столбики снизу). Рисунок построен на основе работы [18].
В работе также был проведен анализ реконструкции пространственного распределения растворенного кислорода, построенного на основе реанализа биогидрохимических данных за период с 1993 по 2016 г. с использованием шведской биогеохимической модели SCOBI (Swedish Coastal and Ocean Biogeochemical model) Шведского гидрометеорологического института (SHMI). Были построены ежемесячные картосхемы содержания растворенного кислорода от нулевых значений до 5.5 мл/л через каждые 0.5 мл/л для всего придонного слоя Балтики с 2002 по 2016 г. и в точке, совпадающей по положению со станцией 233, был построен график временной изменчивости распределения концентраций растворенного кислорода. Произведена попытка привлечь реанализ и прогноз SHMI (с 2016 г.) распределения содержания растворенного кислорода в Гданьской котловине на 2017 и 2018 гг. Было установлено, что прогноз содержал неадекватные значения (не воспроизводил наблюдаемые в 2018 г. нулевые концентрации кислорода, а наоборот, показывал его увеличение), и из дальнейшего рассмотрения был исключен.
РЕЗУЛЬТАТЫ И ОБСУЖДЕНИЯ
Интенсивность и периодичность затоков Североморских вод в Балтику с 1992 по 2018 г. Анализ многолетней изменчивости кислородно-сероводородного режима глубинных вод рассмотрим исходя из интенсивности и периодичности ЗСВ за последние 25 лет (рис. 2). Этот временной период интересен тем, что с начала 1980-х годов и до января 1993 г. не было зафиксировано ни одного значимого ЗСВ через Датские проливы в Балтику [18], что в свою очередь не могло не отразиться на содержании растворенного кислорода и сероводорода в придонном слое глубоководных котловин.
С 1992 г. по 2018 г. можно выделить несколько периодов очень мощных ЗСВ (рис. 2):
- 1993–1994 гг. — 2 мощных затока в январе и марте 1993 г. и менее мощный в январе 1994 г.;
- конец 1998 г. — мощный заток в сентябре;
- 2003 г. — продолжительная серия средних затоков в январе, марте и октябре;
- 2014–2016 гг. — наиболее продолжительная серия мощных ЗСВ: 2 ЗСВ в феврале-марте 2014 г. и январе 2016 г., 3 мощных затока в декабре 2014 г. и в январе, марте 2015 г.
При этом сравнивая периодичность ЗСВ по реальным источникам [18] и по модельным данным (Модель DS5), можно отметить хорошее воспроизведение реальности моделью в качественной части — отмечены только четыре лишних затока, полученные из модели, но не подтвержденные натурными данными (в 2000, 2002, 2008 и 2011 гг.). Однако все перечисленные ЗСВ весьма слабы, что позволяет предположить, что в ходе прямых измерений они просто не были зафиксированы. Вместе с тем имеется только один заток (в сентябре 2006 г.), не полученный по модельным расчетам (рис. 2). Сравнивая реальные и модельные данные по условному индексу мощности (УИМ) ЗСВ, можно отметить непостоянство в совпадении модели с натурными данными. Большинство средних и особенно сильных затоков имеют верные УИМ. Однако затоки в 2003, 2010 и 2013 гг. не совпадают в оценках УИМ. В этих случаях модель часто показывает серию незначительных затоков, что может действительно иметь место, но не подтверждается реальными источниками.
Многолетняя динамика содержания растворенного кислорода и сероводорода в глубинных водах Гданьской котловины. Анализируя многолетнюю изменчивость в распределения содержания растворенного кислорода и сероводорода в глубинных водах Гданьской котловины, можно отметить, с одной стороны, хорошую зависимость между определенными ЗСВ и резким улучшением кислородных условий в придонном слое Гданьской котловины. С другой стороны — некоторые, даже очень мощные ЗСВ, не приводят к ожидаемому вентилированию глубинных вод, а, наоборот, условия в придонном слое Гданьской котловины меняются на противоположные, и отмечается присутствие сероводорода. Рассмотрим подробнее каждую из этих ситуаций.
Для первой можно выделить несколько периодов, когда концентрации растворенного кислорода в глубинных водах Гданьской котловины резко увеличивались после ЗСВ (рис. 3). Первый период — начало 1990-х годов. Здесь можно отметить два наиболее характерных глубинных максимума — 4 мл/л (в феврале 1993 г.) и 3.5 мл/л (в апреле 1994 г.) (рис. 3). Оба этих максимума наблюдались спустя месяц после ЗСВ в Балтику (рис. 2). Однако в ноябре 1994 г., уже через семь месяцев после второго не столь мощного затока, в придонном слое Гданьской котловины, впервые с 1971 г., по данным [21], был обнаружен сероводород, концентрации которого возрастали от 0.4 (в ноябре 1994 г.) до 2.8 мл/л (в феврале 1996 г.) (рис. 3).
Рис. 3. Распределение содержания растворенного кислорода, мл/л и сероводорода, мл/л на ст. 233 в глубинных водах Гданьской котловины: 1 — по собственным данным, 2 — по данным [21], 3 — по данным [13]. Сверху отмечены годы, когда наблюдались ЗСВ в соответствии с рис. 2.
Второй период — после серии продолжительных ЗСВ в январе-марте 2003 г., когда содержание растворенного кислорода в придонном слое Гданьской котловины к маю 2003 г. достигло 3.96 мл/л (через 2 месяца).
Третий период приходится на июль-август 2014 г. и на март 2016 г. После ЗСВ в феврале-марте 2014 г. концентрации растворенного кислорода в глубинных водах Гданьской котловины увеличились до 3.4 мл/л (в июле-августе 2014 г.), а после ЗСВ в феврале 2016 г. содержание растворенного кислорода вновь резко возросло и в конце марта (спустя месяц) составило 3.76 мл/л. В августе 2018 г. (через 2.5 года) нами был обнаружен сероводород, содержание которого достигало 1.23 мл/л (рис. 3).
Ко второй ситуации можно отнести мощный ЗСВ в сентябре 1998 г., который не привел к ожидаемому вентилированию глубинных вод Гданьской котловины, при этом наблюдаемые здесь с января 1998 г. концентрации сероводорода продолжали расти и достигли максимальных значений (2.8 мл/л) в октябре 1998 г. (рис. 3) Возможно, влияние затока можно проследить в улучшении условий в придонном слое, которые наметились к концу 1998 г. — началу 1999 г. Однако в августе 1999 г. содержание сероводорода вновь возросло до 1.7 мл/л. Можно отметить, что наблюдаемое сероводородное заражение с января 1998 г. по август 1999 г. в придонном слое Гданьской котловины являлось самым сильным за весь исследуемый период (рис. 3). Предполагается, что такие условия сложились вследствие двух факторов — продолжительного интервала (с 1980 по 1993 г.), когда не было значимых ЗСВ, и увеличения эвтрофикации вод Балтийского моря.
Следующий период — после ЗСВ в октябре 2003 г., который также существенно не отразился на увеличении концентрации растворенного кислорода в придонном слое Гданьской котловины, а спустя 9 месяцев (в июле 2004 г.) содержание кислорода упало до нулевых значений. В ноябре 2004 г. и в мае 2005 г. здесь наблюдался сероводород, концентрации которого составляли 1.4 мл/л (рис. 3).
Третий период — после ЗСВ в сентябре 2006 г. и в сентябре-октябре 2008–2009 гг. За весь этот период содержание растворенного кислорода не поднималось выше 1 мл/л. В то же время значимых концентраций сероводорода в этот период обнаружено не было. Возможно, улучшение условий в придонном слое Гданьской котловины вызвано тем, что с 2003 г. произошло увеличение частоты ЗСВ.
Четвертый период — после продолжительной серии мощных ЗСВ в декабре 2014 г. и январе-марте 2015 г, которые, по нашим данным, не привели к улучшению кислородных условий в придонном слое Гданьской котловины, а в октябре-ноябре 2015 г. (через 7 месяцев) здесь наблюдался сероводород с концентрациями менее 0.3 мл/л.
В периоды, когда, по различным источникам, наблюдались серии незначительных затоков (1995–1997 гг., 1999–2002 гг., 2009–2013 гг.), отклик в содержании растворенного кислорода в придонном слое был менее выражен. При этом можно отметить значительные колебания в концентрациях растворенного кислорода (от аналитического нуля до 2.5 мл/л) в придонном слое с периодическим образованием здесь сероводорода, что, вероятно, связано с водообменом глубинных вод между Гданьской и соседними котловинами.
Анализируя 25-летний ряд данных по содержанию растворенного кислорода и сероводорода в глубинных водах Гданьской котловины, можно выделить следующую закономерность: после фиксирования мощного ЗСВ в январе-марте (за исключением ЗСВ в декабре 2014 г. и в январе-марте 2015 г.) через Датские проливы в Балтику через 1–3 месяца происходит резкое увеличение концентрации растворенного кислорода в придонном слое Гданьской котловины, а затем в течение от 7–9 месяцев до 2 лет происходит уменьшение концентрации растворенного кислорода до нулевых значений с образованием сероводорода.
Результаты наблюдений в ходе летних экспедиций 2014, 2015 и 2018 гг. Анализ данных по содержанию растворенного кислорода в придонном слое в районе Гданьской котловины в июле-августе 2014 г. свидетельствовал о благоприятных кислородных условиях, наблюдаемых в этот период.
Хорошо аэрированный слой (более 6 мл/л), соответствующий водам Холодного промежуточного слоя, занимал верхнюю часть склона Гданьской котловины. Меньшие концентрации в глубинном распределении растворенного кислорода наблюдались в прибрежной зоне, заполненной Поверхностными водами (рис. 4). Собственно в самой впадине после мощного ЗСВ в марте 2014 г. наблюдались высокие для этого района значения придонного содержания растворенного кислорода: в июле на глубине 106 м — 2.06 мл/л, а в августе 2014 г. на глубине 100–108 м — от 2.5 до 3.38 мл/л (рис. 4).
Рис. 4. Распределение содержания растворенного кислорода, мл/л (сплошной линией), 02.08.2014, 28.07.2015 и 01.08.2018 и сероводорода, мл/л (пунктирной линией), 01.08.2018 г. в придонном слое на разрезе Янтарный (по ~54,9° с. ш.).
Данные по содержанию растворенного кислорода в летний период 2015 г. показали, что наблюдалось общее падение его концентраций у дна в Гданьской котловине. Так, ниже галоклина, на глубине 77 м содержание растворенного кислорода составляло 3.10 мл/л (в августе 2014 г. — 6.7 мл/л) (рис. 4), а на глубине 108 м значения растворенного кислорода уже были ниже 1 мл/л (0.64 мл/л).
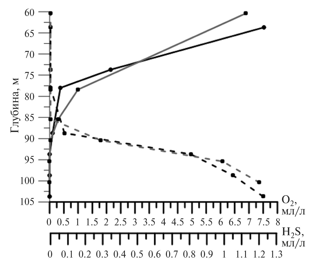
Анализ данных, полученных в ходе экспедиции 2018 г., показал, что наблюдалось резкое ухудшение кислородных условий по сравнению с раннее исследуемыми годами. Ниже галоклина с глубины 60–70 м содержание растворенного кислорода резко падало и достигало нулевых значений в глубинных водах Гданьской котловины (рис. 4). Можно говорить о наличии устойчивой гипоксии ниже 85–90 м в исследуемый период, здесь же нами был обнаружен сероводород, концентрации которого достигали у дна 1.23 мл/л (рис. 5), а толщина слоя сероводородного заражения составляла 15–23 м.
Рис. 5. Вертикальное распределение содержания растворенного кислорода (сплошная линия) и сероводорода (пунктирная линия) на двух станциях в глубоководной части Гданьской котловины (положение станций показано на рис. 1).
Таким образом, результаты полученных наблюдений в летний период 2014 г., 2015 г. и 2018 г. продемонстрировали три разные ситуации по кислородным условиям в глубинных водах Гданьской котловины.
- В августе 2014 г. — благоприятные условия с высокими концентрациями растворенного кислорода после ЗСВ в марте 2014 г.
- Промежуточная ситуация с уже нарастающим дефицитом кислорода в июне-августе 2015 г.
- В августе 2018 г. — бескислородные условия во всем слое североморских вод Гданьской котловины ниже 85–90 м, характеризующиеся наличием сероводорода с концентрациями более 1 мл/л. Этому периоду предшествовал мощный ЗСВ в январе 2016 г., после которого содержание растворенного кислорода, по данным [13], резко увеличилось и в конце марта 2015 г. составляло 3.76 мл/л.
Сравнение реанализа SHMI и натурных данных. Реанализ SHMI в целом удовлетворительно воспроизводит изменение содержания растворенного кислорода в глубинных водах Гданьской котловины (рис. 6).
Рис. 6. Распределение содержания растворенного кислорода в североморских глубинных водах Гданьской котловины на ст. 233 по натурным данным (пунктирной линией) и на основе реанализа с использованием шведской биогеохимической модели SCOBI (сплошной линией). Сверху отмечены мощные и прочие ЗСВ в соответствии с рис. 2.
Сильное различие натурных данных с реанализом наблюдалось в период с 2000 по 2002 г., когда содержание растворенного кислорода в глубинных водах Гданьской котловины по измеренным данным составляло около 2 мл/л, а реанализ показывал нулевые значения. Данные изменения, вероятно, связаны с тем, что увеличение концентраций растворенного кислорода в это период произошло за счет водообмена между Гданьской и соседними котловинами и не связано с ЗСВ.
В то же время по реанализу также можно выделить повторяющиеся циклы в распределении растворенного кислорода в глубинных водах Гданьской котловины в зависимости от ЗСВ, однако в большинстве случаев пиковые максимальные концентрации растворенного кислорода, наблюдающиеся после мощных ЗСВ, сильно занижены, иногда даже в несколько раз, по сравнению с натурными данными.
Анализируя период с 1992 по 2018 г., можно выделить тенденцию понижения содержания растворенного кислорода в Североморских глубинных водах Гданьской котловины (рис. 3, 6). При этом среднемноголетняя концентрация растворенного кислорода в придонном слое за этот период не превышала 1.0 мл/л, что значительно ниже средних многолетних значений содержания растворенного кислорода в Североморских водах, которые, по данным [1], в Гданьской котловине составляли 2.0 мл/л за период наблюдений с 1947 по 1984 г., а с 1902 по 2005 г., по данным [19], на глубине 100 м превышали 1.7 мл/л. Наметившаяся тенденция уменьшения концентрации растворенного кислорода за анализируемый период времени по сравнению с литературными источниками связана, с одной стороны, с длительным периодом (с 1980-х годов и, вероятно, до 2014 г.) редких по частоте ЗСВ [18]. С другой стороны, Гданьский бассейн находится под сильным влиянием материкового стока, определяющего большое поступление органического вещества (ОВ) в море [7, 9]. При этом на минерализацию ОВ, которое главным образом происходит в глубинных водах, расходуется большое количество растворенного кислорода. В последние десятилетия, по данным [9], непрерывно поступает всевозрастающее количество ОВ, которое приводит к увеличению эвтрофикации вод Балтийского моря и, как следствие, к увеличению бескислородных зон в придонном слое Балтики [9, 18]. В связи с этим сложный характер динамики содержания кислорода и сероводорода в глубинных водах Гданьской котловины определяется тремя основными факторами:
1) сильными или средними, но продолжительными ЗСВ в январе-марте;
2) водообменом между соседними котловинами;
3) эвтрофикацией вод Балтийского моря.
ВЫВОДЫ
- В исследуемый период с 1992 по 2018 г. было выделено три временных интервала, когда наблюдалось резкое увеличение содержания растворенного кислорода в придонном слое Гданьской котловины, связанное с ЗСВ, — 1993, 2003, 2014–2016 гг.
- Показано, что после фиксирования мощного ЗСВ в январе-марте через Датские проливы в Балтику через 1–3 месяца происходит резкое увеличение содержания растворенного кислорода в придонном слое Гданьской котловины; с другой стороны, выявлено, что не каждый ЗСВ приводит к значимому увеличению содержания кислорода в глубинных водах Гданьской котловины.
- Показана сильная изменчивость во времени наступления аноксии в придонном слое Гданьской котловины после мощных ЗСВ (от 7–9 месяцев и до 2–2.5 лет). Самое сильное сероводородное заражение отмечалось в середине и конце 90-х годов, когда концентрации сероводорода достигли максимальных значений за весь период наблюдений (2.8 мл/л).
- Результаты собственных измерений продемонстрировали три разные ситуации по кислородным условиям в глубинных водах Гданьской котловины: благоприятную с высокими концентрациями растворенного кислорода (выше 3 мл/л) после ЗСВ в марте 2014 г., промежуточную с уже нарастающим дефицитом кислорода в июне-августе 2015 г. и бескислородные условия во всем слое североморских вод Гданьской котловины ниже 85–90 м, характеризующиеся наличием сероводорода с концентрациями более 1 мл/л.
- Реанализ SHMI в целом удовлетворительно воспроизводит изменение содержания кислорода по натурным данным в глубинных водах Гданьской котловины. Правда, в большинстве случаев максимальные концентрации растворенного кислорода занижены, иногда даже в несколько раз.
Благодарности. Авторы выражают огромную благодарность своим коллегам И. А. Гангнусу, Н. А. Рыкову, Н. С. Чечуевой и А. С. Гордей за помощь в получении и обработке экспедиционных данных.
Источник финансирования. Исследование проведено при финансовой поддержке РФФИ-РГО, проект № 17-05-41029. Оценка качества реанализа проведена по проекту РНФ № 19-17-00110.
About the authors
K. V. Artamonova
Russian Federal Research Institute of Fisheries and Oceanography
Author for correspondence.
Email: ksusha.vniro@gmail.com
Russian Federation, Moscow
A. N. Demidov
Lomonosov Moscow State University
Email: ksusha.vniro@gmail.com
Faculty of Geography
Russian Federation, MoscowO. A. Zuev
Lomonosov Moscow State University
Email: ksusha.vniro@gmail.com
Faculty of Geography
Russian Federation, MoscowReferences
- Агатова А. И., Аржанова Н. В., Владимирский С. С. и др. Гидрохимические особенности Балтийского моря // Океанология. 1991. Т. 31. № 6. 1991. С. 955-962.
- Антонов А. Е. Крупномасштабная изменчивость гидрометеорологического режима Балтийского моря и ее влияние на промысел. Л.: Гидрометеоиздат, 1987. 64 с.
- Гидрометеорология и гидрохимия морей (Проект «Моря СССР») / ГОИН и др. СПб.: Гидрометеоиздат, 1994. Т. 3. Балтийское море. 436 с.
- Демидов А. Н., Мысленков С. А., Гриценко В. А. и др. Особенности структуры и динамики вод прибрежной части Балтийского моря вблизи Самбийского полуострова // Вестник МГУ. 2011. Сер. 5. География. № 1. С. 41-47.
- Демидов А. Н., Колтовская Е. В., Куликов М. Е. Многолетние изменения термохалинных характеристик Балтийского моря // Вестник МГУ. 2018. Сер. 5. География. Т. 4. С. 39-48.
- Емельянов Е. М., Гриценко В. А., Егорихин В. Д. Придонная циркуляция в Гданьской впадине Балтийского моря: донные осадки и динамика затоков североморских вод // Океанология. 2004. Т. 44. № 2. С. 283-295.
- Лаврова О. Ю., Краюшкин Е. В., Соловьев Д. М. и др. Влияние ветрового воздействия и гидродинамических процессов на распространение через Балтийский канал вод Калининградского залива в акваторию Балтийского моря // Современные проблемы дистанционного зондирования Земли из космоса. 2014. Т. 11. № 4. С. 76-99.
- Нефть и окружающая среда Калининградской области / Под ред. Сивкова В. В. и др. Калининград: Терра-Балтика, 2012. Т. 2. Море. 576 с.
- Руководство по химическому анализу морских и пресных вод при экологическом мониторинге рыбохозяйственных водоемов и перспективных для промысла районов Мирового океана / Под ред. Сапожникова В. В. М.: ВНИРО, 2003. 202 с.
- Соскин И. М. Многолетние изменения гидрологических характеристик Балтийского моря. Л.: Гидрометеоиздат, 1963. 160 с.
- Franck, H., Matthäus, W. Sea level conditions associated with major Baltic inflows // Beitr. Meereskunde, Berlin. 1992. V. 63. P. 65-90.
- Fonselius S., Valderrama J. One hundred years of hydrographic measurements in the Baltic Sea // J. of Sea Res. 2003. V. 49. № 4. P. 229-241.
- Krechik V. A., Kapustina M. V., Lukashin V. N, Ezhova E. E. Variability of hydrological and hydrochemical conditions of Gotland and Gdansk Basins bottom waters (Baltic Sea) in 2015-2016 // Russ. J. Earth Sci. 2019. V. 19. P. 1-8.
- Matthäus W. Natural variability and human impacts reflected in long-term changes in the Baltic deep water conditions — a brief review // Dt. Hydrogr. Z., 1995. V. 47. P. 47-65.
- Matthäus W. The history of investigation of salt water inflows into the Baltic Sea — from the early beginning to recent results // Mar. Sci. Rep. 2006. No 65. Baltic Sea Res. Inst. Warnemünde. 73 p.
- Matthäus W., Franck H. The seasonal nature of major Baltic inflows // Kieler Meeresforsch. 1988: Sonderheft V. 6. P. 64-72.
- Matthäus W., Franck H. Characteristics of major Baltic inflows — a statistical analysis // Continental Shelf Res. 1992: V. 12. P. 1375-1400.
- Mohrholz V. Major Baltic inflow statistics — Revised // Front. Mar. Sci. 2018. V. 5: 384, doi: 10.3389/fmars.2018.00384
- State and Evolution of the Baltic Sea, 1952-2005. A Detailed 50-Year Servey of Meteorology and Climate, Physics, Chemistry, Biology, and Marine Environment. 2008. 608 р.
- Zorita E., Laine A. Dependence of salinity and oxygen concentrations in the Baltic Sea on the large-scale atmospheric circulation // Climate Res. 2000. V. 14. P. 25-42.
- https://www.io-warnemuende.de
Supplementary files








