Phytoplankon of Khatanga bay, shelf and continental slope of the Western Laptev sea
- Authors: Sukhanova I.N.1, Flint M.V.1, Fedorov A.V.2, Sakharova E.G.2, Artemyev V.A.1, Makkaveev P.N.1, Nedospasov A.A.1
-
Affiliations:
- Shirshov Institute of Oceanology RAS
- South branch of Shirshov Institute of Oceanology RAS
- Issue: Vol 59, No 5 (2019)
- Pages: 724-733
- Section: Морская биология
- URL: https://journals.eco-vector.com/0030-1574/article/view/17600
- DOI: https://doi.org/10.31857/S0030-1574595724-733
- ID: 17600
Cite item
Full Text
Abstract
The research was done at transect (11 stations) from inner part of the Khatanga Bay in the south to continental slope area in the north from 17 to 20 September 2017. Four biotops with different parameters of pelagic environment, composition, quantitative characteristics and vertical distribution of phytoplankton were allocated: inner part of the Khatanga Bay, estuarine frontal zone, western shelf of the Laptev Sea and continental slope area. Inner part of the Khatanga Bay and continental slope area were characterized by the highest values of phytoplankton numbers and biomass, which reached 1×106 cell/l и 160 mg/m3, respectively. Formation of maximum at the depth of 45 meters was typical for phytoplankton vertical distribution in continental slope area. Algae biomass in the maximum reached 400 mg/m3 which was the highest value for the transect. Well pronounced latitudinal zoning in phytoplankton communities structure was revealed in the western part of the Laptev Sea which was similar to that in another areas the Arctic seas under strong impact of Siberian rivers discharge.
Full Text
Среди сибирских арктических морей море Лаптевых относится к числу относительно хорошо изученных. Это касается, прежде всего, восточной области бассейна, находящейся под воздействием стока крупнейшей сибирской реки Лены. Интенсивные исследования 1990-х–начала 2000-х годов были в основном ориентированы на изучение динамики ледового режима, воздействия масштабного речного стока на гидрологическую структуру, процессов осадконакопления, гидро- и геохимии, анализ современных и палеоклиматических процессов [3, 4]. Особенности структуры и биологической продуктивности пелагических экосистем, ключевые связи среда–биота, сезонные и климатические процессы в экосистемах даже в восточной части моря Лаптевых остаются недостаточно изученными.
Работы, направленные на исследование фитопланктона моря Лаптевых, факторов, определяющих структурные и функциональные параметры этого ключевого компонента экосистемы, его пространственную и временную изменчивость, немногочисленны. Все исследования выполнены в восточной части бассейна, в области влияния стока Лены [2, 8, 10, 11, 13, 15]. Западная часть моря Лаптевых, характеризующаяся максимальной ледовитостью и находящаяся под воздействием стока р. Хатанги и вод, поступающих из Карского моря через пролив Вилькицкого, оставалась в этом аспекте неисследованной.
Настоящая работа представляет собой первое исследование фитопланктона западной части моря Лаптевых, широтной зональности в структуре и количественных параметрах фитоценозов и факторов, определяющих эту зональность, в области от внутренней части Хатангского залива на юге до района арктического континентального склона на севере.
МАТЕРИАЛ И МЕТОДЫ
Район исследований. Исследования выполнены на разрезе из 11 станций от внутренней части Хатангского залива на юге до области континентального склона на севере (рис. 1) с 17 по 20 сентября 2017 г. В целом район работ охватывал широтный диапазон от 73°29,6’ с. ш. до 78°03,0’ с. ш. Глубины в районе исследований изменялись от 11 м в эстуарии р. Хатанги до 860 м в области склона.
Рис. 1. Схема расположения станций.
Отбор материала. Пробы воды в объеме 2 л отбирали из 5-литровых батометров Нискина комплекса «Розетта» SBE 32 и CTD-зонда SBE 911. Выбор горизонтов отбора проб проводили на основании предварительного зондирования температуры, солености и флуоресценции; для оценки интенсивности флуоресценции использовался флуориметр Wet Labs ECO-FL. Пробы отбирали с 3–5 горизонтов с тем, чтобы охватить верхний перемешанный слой, слои скачка плотности/солености и максимума флуоресценции и слой, подстилающий пикноклин. Пробы воды для исследования фитопланктона отбирали из тех же батометров, из которых брали пробы для определений концентраций хлорофилла и гидрохимических анализов, характеризующих абиотическую составляющую экосистемы.
Концентрирование фитопланктона и первичная обработка проб. Два литра морской воды профильтровывали через ядерные фильтры с размером ячеи 1 мкм на установках для мягкой обратной фильтрации [5]. Объем полученного концентрата составлял 40–60 мл. Все пробы обработаны в день отбора в живом состоянии без фиксации. Для обработки проб использованы камеры Ножотта объемом 0.05–0.08 мл и камеры Наумана объемом 1 мл. Проведены видовые определения, подсчет и измерения клеток каждого вида для расчета численности и биомассы фитопланктона. После обработки живого материала пробы были зафиксированы 1% формальдегидом для последующей идентификации трудно определяемых в полевых условиях форм. Для обработки проб использованы микроскопы Leica DM 1000 и Prima Star Zeiss. В основу работы положены результаты анализа 32 проб фитопланктона. Расчет сырой биомассы (объема) клеток делался на основе принципа геометрического подобия с использованием данных измерений линейных размеров. Содержание углерода в клетках рассчитывали, используя соответствующие коэффициенты для разных таксономических и размерных групп [12, 14].
СОСТАВ И КОЛИЧЕСТВЕННЫЕ ХАРАКТЕРИСТИКИ ФИТОПЛАНКТОНА
Работы в Хатангском заливе, протяженность которого составляет около 170 км, начались в 40 км от эстуария реки (ст. 5628). Последняя станция в заливе была проведена в Северном проливе, ширина которого составляет ~13 км и который лежит между островом Бегичев и таймырским берегом.
В пределах Хатангского залива было выполнено 5 станций. На двух южных станциях 5628 и 5627 над глубинами 11 и 14 м соответственно, при поверхностной солености <4.0 psu более 75% численности фитопланктона составляли пресноводные и солоноватоводные виды водорослей, в основном диатомовые; зеленые и криптофитовые имели существенно меньшее обилие (таблица). Наиболее многочисленными были диатомеи Hippodonta sp., виды рода Aulacoseira, в основном А. ambiqua, Nitzschia acicularis, Cylindrotheca closterium и др. Среди зеленых водорослей преобладали роды Monoraphidium, Scenedesmus, Pediastrum, Crucigenia. На самой южной и мелководной ст. 5628 зеленые водоросли составляли 16.7% общей численности фитопланктона; к северу, на ст. 5627, их доля снижалась до 5.3%. Криптомонады были представлены пресноводным Cryptomonas sp. с максимальной численностью 7.0×10 4 кл./л в нижнем слое на ст. 5627. На этой станции криптомонады были второй после диатомей группой по численности (9.8%) и биомассе (8.4%). В биомассу значительный вклад вносили диатомеи Hippodonta sp., Asterionella formosa и Actinocyclus sp. Начиная с самой южной ст. 5628 в фитопланктоне присутствовал морской неритический вид Skeletonema costatum (рис. 2). Максимальная численность вида на этой станции — 5.0×10 4 кл./л (~25% от общей численности фитопланктона) зарегистрирована в верхнем пятиметровом слое. Севернее, на ст. 5627, численность вида возрастала в 2 с лишним раза и достигала ~30% общей численности водорослей. На этой станции высокого обилия достигала S. costatum — численность вида на пятиметровом горизонте составляла 1.2×10 5 кл./л (36% общей численности водорослей). На обеих станциях во внутренней части Хатангского залива были встречены разнообразные донные пресноводные диатомеи родов Nitzschia, Navicula, Hantzschia, Gomphonema и др. Здесь же зарегистрировано значительное число мертвых клеток пресноводных диатомей. Они составляли ~40% от общей численности диатомовых.
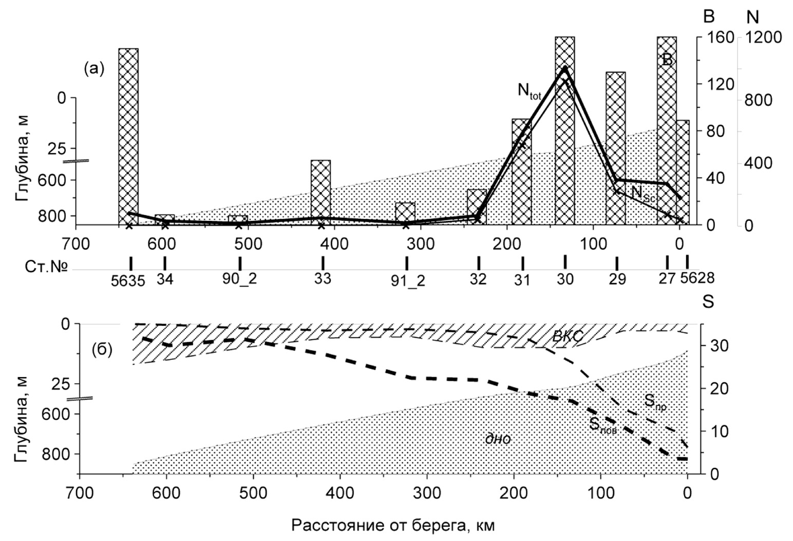
Рис. 2. Общая численность (Ntot), биомасса (В) фитопланктона и численность Skeletonema costatum (NSc) на станциях разреза — (а); соленость в верхнем квазиоднородном (Sпов) и придонном (Sпр) слоях, глубина верхнего квазиоднородного слоя (ВКС) — (б).
Таблица. Численность ( N×103 кл./л), сырая биомасса (B, мг/м3) и биомасса в углероде (Вс, мг/м3) всего фитопланктона и основных групп водорослей в столбе воды; доля (%) каждой группы в общей численности и биомассе фитопланктона
Станция, слой, м | Общая | Bacillari- ophyceae | Dino- phyceae | Chloro- phyceae | Crypto- phyceae | Primnesi- ophyceae | Dictyo choph. | Chryso- phyce. | Остальные | ||||||||||
N | B | Вc | N % | B % | N % | B % | N % | B % | N % | B % | N % | B % | N % | B % | N % | B % | N % | B % | |
5628 0–11 | 179 | 88.8 | 8.9 | 124 69.3 | 73.1 82.3 | 0.3 0.2 | 1.1 1.2 | 30 16.7 | 2.5 2.8 | 15 8.4 | 10.3 11.6 | 5 2.8 | 0.5 0.6 | 0.3 0.3 | + + | 4.2 2.3 | 1.3 1.5 | ||
5627 0–8 | 264 | 160 | 15.7 | 195 73.8 | 137 85.7 | 3.0 1.1 | 3.8 2.4 | 14 5.3 | 2.0 1.2 | 26 9.8 | 13.4 8.4 | 18 6.8 | 2.0 1.2 | 2.3 0.9 | 0.1 + | 6.0 2.3 | 1.7 1.0 | ||
5629 0–12 | 292 | 132 | 19.4 | 271 92.8 | 113 85.7 | 0.8 0.3 | 7.8 5.9 | 1.3 0.5 | 0.4 0.3 | 8.8 3.0 | 8.9 6.7 | 7.0 2.4 | 0.6 0.5 | 2.9 1.0 | 1.2 0.9 | ||||
5630 0–20 | 1010 | 160 | 23.0 | 1000 99.0 | 148 92.9 | 4.9 0.5 | 10.3 6.5 | 0.2 + | + + | 3.4 0.3 | 0.8 0.5 | 1.0 0.1 | 0.1 + | 0.4 + | + + | ||||
5631 0–18 | 582 | 89 | 12.7 | 576 99.0 | 74.0 83.2 | 3.3 0.6 | 13.0 14.7 | 0.9 0.1 | 1.0 1.1 | 0.7 0.1 | 0.1 0.1 | 0.1 + | 0.1 0.1 | 0.9 0.1 | 0.7 0.8 | ||||
5632 0–17 | 60 | 30 | 3.7 | 51 85.1 | 16.0 53.6 | 2.8 4.7 | 10.5 35.1 | 1.4 2.4 | 0.7 2.3 | 2.0 3.3 | 0.5 1.7 | + + | + + | 0.1 0.2 | + + | 2.5 4.2 | 2.1 7.1 | ||
5591-2 0–20 | 17 | 18 | 2.4 | 5 29.4 | 2.2 12.3 | 3.0 17.6 | 13.6 75.5 | 0.5 3.0 | 0.6 3.3 | 3.0 17.6 | 0.4 2.2 | 0.2 1.2 | 0.2 1.1 | 1.7 10.0 | 0.2 1.2 | 3.6 21.2 | 0.8 4.4 | ||
5633 0–18 | 48 | 55 | 7.2 | 31.76 66.1 | 41.5 75.4 | 1.1 2.3 | 7.0 12.7 | 1.4 2.9 | 1.3 2.4 | 6.1 12.7 | 1.3 2.4 | 1.8 3.8 | 1.2 2.2 | 0.3 0.6 | + + | 5.6 11.6 | 2.7 4.9 | ||
5590-2 0–27 | 14 | 7.8 | 0.9 | 3.1 22.1 | 1.5 19.2 | 1.7 12.1 | 3.8 48.6 | 0.1 0.7 | + | 4.5 32.1 | 1.1 14.1 | 0.5 3.7 | 0.5 6.4 | 0.7 5.0 | 0.1 1.3 | 3.4 24.3 | 0.8 10.4 | ||
5634 0–40 | 27 | 8.3 1.3 | 1.3 | 2.1 7.8 | 0.2 2.6 | 7.1 26.3 | 5.8 69.8 | 11.3 41.8 | 1.1 13.1 | 6.5 24.1 | 1.2 14.5 | ||||||||
5635 0–45 | 80 | 150 | 14.6 | 10.9 13.6 | 112 74.7 | 13.7 17.1 | 26.3 17.5 | 37.0ц 46.2 | 6.9ц 4.6 | 11.5 14.4 | 1.8 1.2 | + | + | 0.6 0.7 | + | 6.2 7.8 | 2.9 1.9 | ||
Примечание. ц — цисты Dinophyceae; + — значения <0.1.
На ст. 5629, на расстоянии 34 км к северу от ст. 5627, на фоне возрастания солености поверхностного слоя с 4.0 до 11 psu (рис. 3) произошли изменения в качественном составе фитопланктона. Резко сократилась численность пресноводных видов — они составляли лишь 10% общей численности клеток, из которых на долю зеленых водорослей приходилось 0.5%. Во внешней части Хатангского залива на станциях 5630 и 5631 при возрастании солености в верхних 10–15 метрах до 18 psu вклад пресноводных видов в общую численность не превышал 1.6 и 0.8% соответственно; зеленые водоросли исчезли из планктона. Начиная со ст. 5629, доминирующим видом в фитоценозе становилась Skeletonema costatum. На долю этого вида на станциях 5629–5631 в верхнем слое водной толщи приходилось от 68 до 91%, в нижнем 18–20-метровом слое — от 81 до 95% общей численности фитопланктона (рис. 2). В биомассу водорослей наряду со S. costatum существенный вклад вносили Thalassiosira cf. baltica, T. bulbosa, Chaetoceros diadema, C. debilis, C. wighamii, Nitzschia longissimа.
Рис. 3. Распределение солености на разрезе.
На границе между Хатангским заливом и прилежащим мелководным шельфом моря Лаптевых между станциями 5631 и 5632 на фоне увеличения солености с 18.8 до 21.8 psu зарегистрированы резкие изменения количественных показателей фитопланктона (рис. 2). Численность водорослей уменьшилась почти на порядок (с 580×10 3 до 60×10 3 кл./л), биомасса — в три раза (с 90 до 30 мг/м 3) (таблица). Столь значительные изменения суммарного обилия водорослей определялись сокращением более чем на порядок численности Skeletonema costatum. На фоне резких изменений численности фитопланктона снижение биомассы было менее существенным, что связано с появлением в фитоцене крупноклеточных морских видов динофлагеллят Dinophysis acuminatа и Ceratium arcticum и диатомеи Porosira glacialis.
На шельфе моря Лаптевых мористее ст. 5632 и в области континентального склона при солености в поверхностном слое >22 psu были встречены только морские виды фитопланктона. Численность и биомасса на внутреннем и внешнем шельфе были самыми низкими на разрезе — <30×10 3 кл./л и <18 мг/м 3 (рис. 2, таблица). Исключение представляла ст. 5633 над глубиной 45 м, где в поверхностном слое наблюдалось пятно высокой численности Сhaetoceros compressus (~1.0×10 5 кл./л). Большое число спор в колониях С. compressus свидетельствовало о недавнем окончании периода «цветения» вида.
На последней станции разреза (ст. 5635) над глубиной 860 м зарегистрировано резкое (в 18 раз) увеличение биомассы фитопланктона, которая достигла величин 150 мг/м 3 в среднем для столба воды, что сопоставимо с величинами, наблюдавшимися в южной части Хатангского залива (рис. 2, таблица). Общая численность фитопланктона в склоновом максимуме составляла 80×10 3 кл./л. Здесь в состоянии активного роста была встречена Detonula cf. рumila c объемом клеток от 6×10 3 до 3×10 4 мкм 3. На горизонте 45 метров численность вида достигла 23×10 3 кл./л, биомасса — ~300 мг/м 3. Судя по данным зондирования, слой наиболее высоких показателей флуоресценции располагался между 22 и 37 м. Максимальные концентрации хлорофилла «а» — 0.8 мг/м 3 — были зарегистрированы на горизонте 27 м. Подобные глубинные максимумы, сформированные морскими видами, отмечались нами ранее в глубоководных районах Карского моря и моря Лаптевых [8, 9].
ОБСУЖДЕНИЕ РЕЗУЛЬТАТОВ
Анализ материала, полученного в обширном районе (широтный диапазон >4°30’) от внутренней части Хатангского залива (глубина от 11 м) до области континентального склона на севере моря Лаптевых (глубина 860 м), позволил выделить несколько биотопов, характеризующихся различными свойствами пелагической среды, составом, количественными характеристиками и вертикальным распределением фитопланктона. В пределах Хатангского залива в осенний сезон формируются два биотопа. Южный (станции 5627, 5628), находящийся под сильным влиянием стока реки Хатанги, характеризовался низкой соленостью (3–4 psu) в верхнем 5–6-метровом слое, относительно высокой температурой (3.6–4.0°С), очень слабой вертикальной стратификацией водной толщи (рис. 2, 4) и аномально высокой для узкоприбрежных районов арктических морей мутностью — 51–80 м-1 в нижних слоях водной толщи и 42–44 м-1 — в верхних (рис. 5). Концентрации нитратов, аммония и кремния были самыми высокими на разрезе — 1.0–1.5 мкг-ат/л, 2.6–3.3 мкг-ат/л и 63–68 мкг-ат/л соответственно (рис. 6, 7, 8). Основу фитоцена во внутренней части Хатангского залива составлял пресноводный комплекс видов, на долю которого приходилось ~75% общей численности фитопланктона. Основу численности и биомассы формировали диатомовые водоросли, среди которых не было ярко выраженных доминант. Средняя численность фитопланктона в столбе воды в этом районе варьировала в пределах 180–260×10 3 кл./л, средняя биомасса — 89–160 мкг/л. Средние концентрации хлорофилла в столбе воды варьировали в пределах 1.6–1.8 мг/м 3. В вертикальном распределении фитопланктона наблюдался подповерхностный максимум численности и придонный максимум биомассы, в формировании которого существенную долю составляли крупноклеточные водоросли Actinocyclus sp. и Stephanopyxis sp. (рис. 9).
Рис. 4. Распределение температуры на разрезе.
Рис. 5. Распределение показателя ослабления света на разрезе.
Рис. 6. Распределение нитратного азота на разрезе.
Рис. 7. Распределение аммонийного азота на разрезе.
Рис. 8. Распределение растворенного кремния на разрезе.
Рис. 9. Вертикальное распределение температуры (t), солености (S), численности (NPh) и биомассы (BPh) фитопланктона на станциях разреза.
Второй, более северный биотоп в пределах Хатангского залива, по сути, представляет собой широкую южную периферию эстуарной фронтальной зоны, формирующуюся при взаимодействии речного стока и относительно высокосоленых вод шельфа моря Лаптевых. В этой области между станциями 5627 и 5631, протяженность которой по широте составляет ~100 км, наблюдалось существенное изменение основных гидрофизических и гидрохимических показателей. Соленость в верхнем перемешанном слое возрастала с 4 до 19 psu, формировался выраженный пикногалоклин (рис. 2, 3). Градиент солености в пикногалоклине увеличивался с 0.6 (ст. 5629) до 1.25 psu на метр (ст. 5631). Мутность в верхнем перемешанном слое уменьшилась более чем в четыре раза — с 20.0 м-1 на ст. 5629 до 4.8 м-1 на ст. 5631 (рис. 5). В 3 раза снижались концентрации кремния, аммония и нитратного азота (рис. 6, 7, 8). В фитопланктоне резко уменьшалась доля пресноводных видов. На южной ст. 5629 в пределах этого биотопа пресноводные виды составили всего 10% общей численности клеток, на более северных станциях 5630 и 5631 их доля падала до 1.6 и 0.8% соответственно. В сообществе господствовали диатомовые водоросли, численность которых на 78–90% была сформирована морским неритическим видом Skeletonema costatum. В целом фитоцен этого биотопа выделялся самой высокой численностью клеток на разрезе — до 1.0×10 6 кл./л в среднем в столбе воды. При этом общая биомасса фитопланктона по сравнению с южным биотопом, находящимся под интенсивным воздействием речного стока, оставалась почти неизменной. Это было связано с небольшим объемом клеток самого массового вида Skeletonema costatum (~70 мкм 3) и одновременным появлением в фитопланктоне крупноразмерных видов динофлагеллят Dinophysis acuminatа (~14 000 мкм 3) и Ceratium arcticum (~150 000 мкм 3). Вертикальное распределение общей численности и биомассы фитопланктона определялось распределением доминирующего вида Skeletonema costatum. Наблюдалось постепенное увеличение числа клеток S. costatum c глубиной (рис. 9). Биотоп внешней части Хатангского залива — южной периферии эстуарной фронтальной зоны (станции 5629–5631) — также характеризовался высокими показателями содержания хлорофилла — 1.1–1.2 мг/м 3 [1].
К северу от южной периферии фронтальной зоны располагался биотоп западного шельфа моря Лаптевых (станции 5632–5634, 5591, 5590_2), широтная протяженность которого составляла ~360 км, и который также характеризовался хорошо выраженными широтными изменениями свойств пелагической среды. В южной части этого биотопа на ст. 5632 соленость в верхнем перемешанном слое по сравнению ст. 5631, находящейся в 30 км южнее, возрастала на 3 psu — до 21.9 psu (рис. 2, 3), мутность в верхнем перемешанном слое снижалась в 3 раза — с 4.8 до 1.5 psu (рис. 5). Характерный для арктического шельфа пикногалоклин был хорошо выражен, глубина верхнего перемешанного слоя составляла 12 м. Концентрации нитратов, аммония и кремния в верхнем перемешанном слое уменьшались в 2–3 раза (рис. 6, 7, 8). Фитоцен шельфового биотопа формировали исключительно морские виды водорослей. Здесь зарегистрированы низкие величины численности и биомассы фитопланктона. По сравнению с более южным биотопом численность водорослей сократилась почти на порядок (до 14–60×10 3 кл./л), биомасса — втрое (до 8–30 мг/м 3). Содержание Chl a упало до 0.3–0.5 мг/м 3. Существенные изменения наблюдались и в составе фитопланктона. В численности и еще в большей степени в биомассе возросла роль динофлагеллят. На станциях 5591 и 5634 на их долю приходилось 17.6 и 26.3% численности и 75.6 и ~70.0% биомассы соответственно (таблица). Биомассу динофлагеллят определяли главным образом виды родов Dinophysis, Gymnodinium, Heterocapsa triquetra и гетеротрофные виды рода Protoperidinium. На всех станциях в области шельфа значительную долю численности составлял мелкоклеточный фитопланктон, включающий представителей класса Prymnesiophyceae и трудно определяемых автотрофных и гетеротрофных Flagellatae. Увеличение роли диатомового фитопланктона и его доминирование в численности и в биомассе наблюдалось локально на ст. 5633. Здесь в верхнем перемешанном шестиметровом слое над пикноклином была зарегистрирована максимальная концентрация Chaetoceros compressus (объем клеток ~1500 мкм 3) — ~1×10 5 кл./л (таблица, рис. 9). Эта станция располагалась на северной границе области с хорошо выраженным влиянием речного стока на верхний перемешанный слой. К северу от ст. 5633, на станциях 5590_2 и 5634 соленость возрастала до 30 psu и более (рис. 2, 3), мутность в верхнем перемешанном слое уменьшалась до ~0.2 м-1 (рис. 5), концентрация нитратов не превышала 0.27 мкг-ат/л, содержание кремния падало до 1.0 мкг-ат/л. В этой области шельфа наблюдались самые низкие величины численности и биомассы фитопланктона — 14×10 3 кл./л и 8 мг/м 3.
Фитоценоз биотопа континентального склона (ст. 5635, глубина 860 м) характеризовался более высокой, чем на шельфе, численностью водорослей — 80×10 3 кл./л. Биомасса фитопланктона достигала 150 мг/м 3 и была сравнима с той, которая наблюдалась в южной опресненной части Хатангского эстуария. Наиболее многочисленной группой были цисты динофлагеллят (46.2%). Биомассу определяли крупноразмерные виды фитопланктона, из которых 74.7% составляли диатомовые водоросли — в основном Detonula cf. pumila. Для вертикального распределения фитопланктона в области склона было характерно формирование глубинного максимума (рис. 9). Биомасса водорослей на глубине 45 м была в три раза выше, чем в верхнем перемешанном слое, — 400 и 120 мг/м 3 соответственно. Это определялось характером вертикального распределения морской крупноклеточной диатомеи D. cf. pumila со средним объемом клеток ~13 000 мкм 3. Судя по большому числу делящихся клеток в колониях этого вида на глубине 45 м, популяция находилась в состоянии активного роста. Возникновение глубинных максимумов возможно только при определенных условиях: высокая прозрачность воды и большая вертикальная протяженность эвфотического слоя, отсутствие жесткого пикноклина в эвфотическом слое, доступность биогенных элементов, поступающих из нижележащих слоев, на глубинах с освещенностью, достаточной для активного фотосинтеза. На ст. 5635 слабый пикноклин располагался между 16 и 20 метрами, мутность в слое над пикноклином была ~0.21 м-1, под пикноклином до 35 метров возрастала до ~0.35 м-1, и в нижележащих слоях снижалась до <0.1 м-1. Нижняя граница слоя фотосинтеза лежала на глубине 55 м. Уже на глубине 25 м концентрация нитратов возрастала до 4.5 мкг-ат/л (в верхнем перемешанном слое 0.17–0.21 мкг-ат/л), аммония — до 0.25 мкг-ат/л (в верхнем слое 0.01–0.06 мкг-ат/л), фосфатов — до 0.31 мкг-ат/л (в верхнем слое 0.05–0.07 мкг-ат/л), кремния — до 0.9 мкг-ат/л (в верхнем слое 0.1 мкг-ат/л).
Настоящие исследования в западной части моря Лаптевых охватили широкое разнообразие биотопов — от района, подверженного сильному влиянию речного стока с высоким содержанием аллохтонного вещества, до области континентального склона с высокой прозрачностью вод и связанных с этими биотопами фитоценозов. Это позволило выявить широтную зональность в структуре сообществ фитопланктона, подобную той, которая формируется в других арктических морях под влиянием мощного стока сибирских рек. Об этом свидетельствуют наши данные, полученные при исследовании фитоценозов Обского и Енисейского эстуариев, Обь-Енисейского и Ленского шельфов и районов континентального склона на соответствующих долготах [6–10].
Хатангский залив в своей южной части по гидрофизическим и гидрохимическим характеристикам сходен с эстуарными районами Оби и Енисея. Для этих районов характерны низкая соленость, отсутствие вертикальной стратификации (иногда с небольшим увеличением солености в придонном слое), высокие концентрации аллохтонного вещества и высокая мутность, более высокое по сравнению с шельфовыми районами содержание биогенных элементов. Во всех эстуарных биотопах неизменными являются абсолютное доминирование пресноводного, главным образом диатомового, фитопланктона, высокие численность и биомасса водорослей. В фитоценозах присутствуют зеленые и синезеленые водоросли, при этом они составляют значительно меньшую, чем диатомовые, часть сообщества.
Биотоп внешней северной части Хатангского залива, который характеризуется постепенным увеличением солености до 19 psu, формированием жесткого пикногалоклина и постепенным переходом от абсолютного доминирования пресноводного фитопланктона к морскому комплексу видов водорослей, аналогичен эстуарным фронтальным зонам Оби и Енисея. Существенное отличие состоит в том, что во фронтальных зонах Оби и Енисея во все исследованные нами сезоны наблюдалось резкое снижение количественных характеристик фитопланктона [6–10], в то время как в северной внешней части Хатангского залива этого не происходило, и мы наблюдали массовое развитие морского неритического вида Skeletonema costatum.
Наименее стабилен по качественному составу и количественным характеристикам фитоцен шельфового биотопа сибирских морей. Фитопланктон в этой области, состоящий из морских видов, как правило, очень беден [6–10]. Однако в этой области при неглубоком верхнем перемешанном слое сильные ветра могут приводить к интенсивному перемешиванию, разрушению пикноклина и поступлению в поверхностный слой биогенных элементов, следствием чего может быть локальное массовое развитие фитопланктона.
Очевидно, что область континентального склона в западной части моря Лаптевых представляет собой специфический локальный биотоп, где, как и в других районах континентального склона сибирских арктических морей, развивается фитоценоз, отличный от сопредельных районов [7–9]. Для фитопланктона в области склона характерны повышенные численность и биомасса, доминирование диатомовых даже в осенний сезон, и формирование глубинного максимума, образованного активно вегетирующими водорослями.
Благодарности. Авторы признательны анонимному рецензенту за ценные замечания.
Источник финансирования. Работа выполнена в рамках госзадания № 0149-2019-0008 и при финансовой поддержке Проекта РФФИ № 8-05-60069-Арктика.
About the authors
I. N. Sukhanova
Shirshov Institute of Oceanology RAS
Author for correspondence.
Email: m_flint@ocean.ru
Russian Federation, Moscow
M. V. Flint
Shirshov Institute of Oceanology RAS
Email: m_flint@ocean.ru
Russian Federation, Moscow
A. V. Fedorov
South branch of Shirshov Institute of Oceanology RAS
Email: m_flint@ocean.ru
Russian Federation, Gelendzhik
E. G. Sakharova
South branch of Shirshov Institute of Oceanology RAS
Email: m_flint@ocean.ru
Russian Federation, Gelendzhik
V. A. Artemyev
Shirshov Institute of Oceanology RAS
Email: m_flint@ocean.ru
Russian Federation, Moscow
P. N. Makkaveev
Shirshov Institute of Oceanology RAS
Email: m_flint@ocean.ru
Russian Federation, Moscow
A. A. Nedospasov
Shirshov Institute of Oceanology RAS
Email: m_flint@ocean.ru
Russian Federation, Moscow
References
- Демидов А. Б., Гагарин В. И., Арашкевич Е. Г. и др. Пространственная изменчивость первичной продукции и хлорофилла в море Лаптевых в августе–сентябре 2015, 2017 и 2018 гг. // Океанология. 2019. Т. 59. В печати.
- Дружкова Е. И., Макаревич П. Р. Исследования фитопланктона моря Лаптевых: история и современность // Тр. КНЦ РАН. 2013. Вып. 1 (14). С. 71-79.
- Никаноров А. М., Иванов В. В., Брызгало В. А. Реки Российской Арктики в современных условиях антропогенного воздействия. Ростов-на-Дону: Изд-во «НОК», 2007. 280 с.
- Система моря Лаптевых и прилежащих морей Арктики. М.: Из-во МГУ, 2009. 605 с.
- Суханова И. Н. Концентрирование фитопланктона в пробе // Современные методы количественной оценки распределения морского планктона. М.: Наука, 1983. С. 97-105.
- Суханова И. Н., Флинт М. В., Мошаров С. А., Сергеева В. М. Структура сообществ фитопланктона и первичная продукция в Обском эстуарии и на прилежащем Карском шельфе // Океанология. 2010. Т. 50. № 5. С. 785-800.
- Суханова И. Н., Флинт М. В., Сергеева В. М. и др. Структура сообществ фитопланктона Енисейского эстуария и прилежащего Карского шельфа // Океанология. 2015. Т. 55. № 6. С. 935-949.
- Суханова И. Н., Флинт М. В., Георгиева Е. Ю. и др. Структура сообществ фитопланктона в восточной части моря Лаптевых // Океанология. 2017. Т. 57. № 1. С. 86-103.
- Суханова И. Н., Флинт М. В., Сахарова Е. Г. и др. Фитоценозы Обского эстуария, и Карского шельфа в поздневесенней сезон // Океанология. 2018. Т. 58. № 6. С. 882-898.
- Тимофеев С. Ф. Пелагическая экосистема моря Лаптевых // Биологические ресурсы прибрежья Российской Арктики. М.: ВНИРО, 2000. С. 137-139.
- Kraberg A. C., Druzhkova E., Heim B. еt al. Phytoplankton community structure in the Lena Delta (Siberia, Russia) in relation to hydrography // Biogeosciences. 2013. V. 10. P. 7263-7277.
- Menden-Deuer S., Lessard E. J. Carbon to volume relationships for dinoflagellates, diatoms and other protist plankton // Limnol. Oceanogr. 2000. V. 45. № 3. P. 569-579.
- Sorokin Yu. I., Sorokin P.Yu. Plankton and primary production in the Lena river estuary and in the south-eastern Laptev Sea // Estuarine, Coastal and Shelf Science. 1996. V. 43. P. 399-418.
- Strathmann R. R. Estimating the organic carbon content of phytoplankton from cell volume, cell area or plasma volume // Limnol. Oceanigr. 1967. V.12. № 3. P. 411-418.
- Tuschling K. Phytoplankton ecology in the arctic Laptev Sea — a comparison of three seasons // Berichte zur Polarforschung. 2000. 347. 144 p.
Supplementary files











