Особенности распределения и питания доминирующих видов зоопланктона в условиях осеннего развития кокколитофорид в восточной части Баренцева моря
- Авторы: Сергеева В.М.1, Дриц А.В.1, Флинт М.В.1
-
Учреждения:
- Институт океанологии им. П.П. Ширшова РАН
- Выпуск: Том 59, № 5 (2019)
- Страницы: 734-745
- Раздел: Морская биология
- URL: https://journals.eco-vector.com/0030-1574/article/view/17601
- DOI: https://doi.org/10.31857/S0030-1574595734-745
- ID: 17601
Цитировать
Полный текст
Аннотация
Исследования пространственного распределения и питания зоопланктона были проведены в восточной части Баренцева моря в начале октября 2014 г. Масштаб пространственной изменчивости биомассы зоопланктона на полигоне в 30 000 км2 был сопоставим с диапазоном межгодовой изменчивости биомассы зоопланктона в Баренцевом море. Биомасса зоопланктона в период исследований изменялась от 6.1 до 43.3 мг сух.веса/м3 и определялась популяциями крупных копепод Calanus finmarchicus и Metridia longa. Пространственное распределение C. finmarchicus было связано с топографией полигона: биомасса этого вида на станциях с глубинами более 250 м была в 3 раза выше, чем на менее глубоких станциях. На фоне влияния относительно более теплых вод атлантического происхождения, положительных аномалий температуры и преобладания кокколитофорид в фитопланктоне доминирующие виды совершали суточные миграции в верхний 50 м слой и активно потребляли кокколитофорид и тинтиннид Acanthostomella norvegica. Количество ассимилированного органического углерода у C. finmarchicus CV, CIV и M. longa CV, CIV с учетом вклада тинтиннид составляло 2.6, 8.3 и 3.5, 4.9% содержания углерода в теле соответственно и компенсировало траты на обмен. Cуточное выедание автотрофного фитопланктона в октябре не превышало 5% биомассы водорослей и определялось численностью мигрирующих копепод и активностью их питания.
Ключевые слова
Полный текст
ВВЕДЕНИЕ
Исследования структуры и функционирования планктонных сообществ в арктическом регионе в последнее время особенно актуальны в связи с возрастающим влиянием притока в Арктику относительно более теплых и соленых атлантических вод, что влечет за собой сокращение ледового покрова, увеличение безледного периода и интенсификацию вертикального перемешивания [21, 30]. Экосистема баренцевоморского шельфа наиболее подвержена влиянию процессов атлантификации, следствием которых могут стать увеличение температуры и солености верхнего слоя и ослабление стратификации водного столба в северных арктических районах Баренцева моря [21]. Одним из наблюдаемых проявлений влияния теплых атлантических вод на экосистему баренцевоморского шельфа может служить возрастание частоты и продолжительности явлений массового развития кокколитофорид [28]. Обычно цветения кокколитофорид более характерны для центральной части Баренцева моря в летний период [2, 6, 7, 32]. Натурные данные показывают, что в последние годы происходит распространение кокколитофорид в более северные и восточные районы Баренцева моря, где их высокая численность и доминирование в сообществе фитопланктона наблюдаются и в осенний сезон. Так, в октябре 2014 г. биомасса кокколитофорид в восточной части Баренцева моря достигала 30 мгС/м 3, составляя более 90% общей биомассы фитопланктона [8]. Эти результаты свидетельствуют о том, что в отдельные годы влияние вод атлантического происхождения на планктонное сообщество восточной части Баренцева моря прослеживается не только в летний, но и в осенний период. Несмотря на многочисленные исследования зоопланктона Баренцева моря, обобщенные в [15, 16, 36], число работ, посвященных изучению особенностей функционирования зоопланктона Баренцева моря в осенний период, ограничено. Настоящая работа направлена на исследование пространственного распределения и питания массовых видов зоопланктона в восточной части Баренцева моря в октябре 2014 г. на фоне преобладания в фитопланктоне кокколитофорид.
МАТЕРИАЛЫ И МЕТОДЫ
Исследования были выполнены в 129-м рейсе НИС «Профессор Штокман» в восточной части центрального шельфа Баренцева моря с глубинами 170–310 м 5–8 октября 2014 г. (рис. 1).
Рис. 1. Район исследования и расположение станций. Черными треугольниками показаны станции с вертикальным отбором проб зоопланктона.
Сбор зоопланктона. Зоопланктон был отобран на 15 станциях сетью Джеди (диаметр входного отверстия 37 см, ячея фильтрующего конуса 180 мкм) при скорости подъема сети 0.6–0.8 м/с. На семи станциях были проведены вертикальные ловы зоопланктона по четырем горизонтам, на одной — по двум горизонтам, на остальных — облавливали весь слой от дна до поверхности. Горизонты выбирали на основании данных о вертикальном распределении температуры и солености, полученных при вертикальном CTD-зондировании зондом SeaBird 19+. Пробы фиксировали 4% нейтральным формалином. Таксономический и размерный состав зоопланктона был определен при обработке проб по традиционной методике под бинокуляром при увеличении ×40. Индивидуальный сырой вес животных определяли по номограммам [9]. Сухой вес рассчитывали с учетом следующих коэффициентов [3]: для рачкового зоопланктона, меропланктона и крылоногих моллюсков — 0.16; для щетинкочелюстных и аппендикулярий — 0.03; для медуз и гребневиков — 0.01.
Определение хлорофилла “а” и феопигментов. Для определения концентрации фитопигментов пробы отбирали батометрами Нискина комплекса Rosett на всех станциях полигона с 4–8 горизонтов в верхнем 50 м слое. Горизонты отбора были выбраны с учетом вертикальных профилей распределения флуоресценции, температуры и солености, полученных на основании CTD-зондирования. Пробы воды объемом 0.5–1.0 л фильтровали на стекловолоконные фильтры GF/F при разряжении не более 0.3 атм. Для определения концентрации хлорофилла “а” (хл “а”) использовали стандартную методику [34]. Флуоресценцию экстрактов определяли, используя флуориметр Trilogy Turner Designs (США), концентрации хл “а” и феофитина рассчитывали по стандартным формулам [18].
Питание зоопланктона. Исследования питания массовых видов зоопланктона (Calanus finmarchicus и Metridia longa) были проведены на 5 станциях полигона (станции 129-97, 129-98, 129-103, 129-104, 129-105) и на дополнительной ст. 129-111. Интенсивность питания оценивали флуоресцентным методом по содержанию фитопигментов (хл “а” и феопигментов) в кишечнике и времени переваривания пищи [23]. Зоопланктон для анализов собирали сетью Джеди, облавливая верхний квазиоднородный слой. Детально этапы пробоподготовки описаны в [4]. Общее содержание пигментов в кишечнике (G, нг хл “а”/экз) рассчитывали по формуле [19]:
G = (хл “а”+ 1.51 Феопигмент).
Суточное потребление хл “а” (I, нг хл “а”/экз. сутки) рассчитывали как I = G t/T, где t — время питания, равное времени пребывания зоопланктеров в верхнем 50 м слое (10 часов), T — время переваривания, равное 0.83 и 1.5 часа соответственно для Calanus finmarchicus и Metridia longa [29].
Общее потребление биомассы автотрофного фитопланктона популяциями исследованных видов мезозоопланктона (Eхл “а”, мг хл “а”/м 2/сутки) рассчитывали по формуле:
Eхл “а” = Ii × Ni,
где Ii — потребление хл “а”для i вида, Ni — численность i вида (экз/м 2) в верхнем перемешанном слое. Для пересчета суточного потребления пищи в единицы углерода (Ic, мкг С/экз*сутки) были использованы данные по содержанию органического углерода в автотрофных видах водорослей (Сф), полученные на основании обработки проб фитопланктона и определения его биомассы в единицах углерода согласно [8] концентрации хл “а”. На основании этих данных было получено соотношение Сф: хл “а” = 70±43, n = 9. Содержание углерода в тинтиннидах (3 нг С/экз) было рассчитано с использованием аллометрических зависимостей [25].
РЕЗУЛЬТАТЫ
Характеристика района работ. Подробное описание гидрологических условий приведены в работе [8]. Характерные профили вертикального распределения солености и температуры в разных частях полигона — на рис. 6. Осредненные для верхнего перемешанного слоя значения температуры изменялись в пределах 3.6–4.6, солености — 34.7–34.8; для глубин больше 100 м — от 1.1 до 2.0 и от 34.9 до 35.0 соответственно. Концентрация хл “а” в эвфотическом слое изменялась от 15.2 до 27.3 мг/м 2.
Распределение зоопланктона. Пространственное распределение численности и биомассы зоопланктона было крайне неравномерным, несмотря на небольшую площадь исследованного района (30 000 км 2). Численность зоопланктона изменялась от 268.6 до 1244.8 экз/м 3 (в среднем 590.7±306.7 экз/м 3), биомассы — от 6.1 до 43.3 мг сух. веса/м 3 (в среднем 19.1±11.1 мг/м 3. Вариабельность биомассы зоопланктона в столбе воды составила 1.2–12.3 г сух. веса/м 2 (в среднем 5.1± г/м 2). Наименьшие значения биомассы (<8 мг/м 3 и <2 г/м 2) были характерны для центральной области полигона (станции 129-98, 129-99, 129-104); наибольшие (>25 мг/м 3 и >8 г/м 2) — для западной части полигона (станции 129-06, 129-105, 129-106, 129-107) (рис. 2). На соседних станциях, расстояние между которыми составляло 14–25 км, биомасса зоопланктона изменялась в 3–6 раз.
Рис. 2. Биомасса зоопланктона (DW, мг сух. веса/м3) и вклад разных видов зоопланктона в районе исследований 1 — Calanus glacialis, 2 — Calanus finmarchicus, 3 — Metridia longa, 4 — Pseudocalanus spp., 5 — остальных. Серыми стрелками отмечены станции, где были проведены исследования питания зоопланктона.
Доминирующими по биомассе видами на всех станциях были крупные интерзональные копеподы Calanus finmarchicus и Metridia longa (рис. 2). Доля Calanus finmarchicus в общей биомассе зоопланктона колебалась от 25 до 65%, Metridia longa составляла от 11 до 56%. Пространственное распределение по полигону биомассы этих видов приведено на рис. 3.
Рис. 3. Пространственное распределение биомассы (DW, мг сух. веса/м3) Calanus finmarchicus (а) и Metridia longa (б) в районе исследований.
Пространственное распределение биомассы Calanus finmarchicus характеризовалось высокой изменчивостью: на относительно небольшой площади исследованной акватории биомасса колебалась от 1.7 до 24.6 мг/м 3. Наибольшие величины биомассы C. finmarchicus были отмечены для станций с глубиной больше 250 м — в западной части (станции 129-96, 129-105, 129-106, 129-107) и в самой северной точке (ст. 129-110), составляя в среднем 18.8 мг/м 3 (рис. 4а). На станциях с меньшими глубинами биомасса этого вида была в 3.5–6 раз ниже. В отличие от C. finmarchicus популяция другого доминанта — Metridia longa — была распределена более равномерно. Более высокие значения биомассы M. longa были отмечены в юго-западной (ст. 129-96, 129-105) и северной (ст. 129-109) области полигона. В пространственном распределении биомассы этого вида очевидной зависимости от глубины не наблюдалось (рис. 4б).
Рис. 4. Изменчивость средних значений биомассы (DW, мг сух. веса/м3) Calanus finmarchicus (а) и Metridia longa (б) в зависимости от глубины. На диаграмме приведены нижние и верхние квартили, соответствующие нижним и верхним границам серых боксов (серые боксы включают совокупность значений между 25% и 75% от всей выборки), медиана со значениями (черная линия внутри боксов), стандартное отклонение (усы).
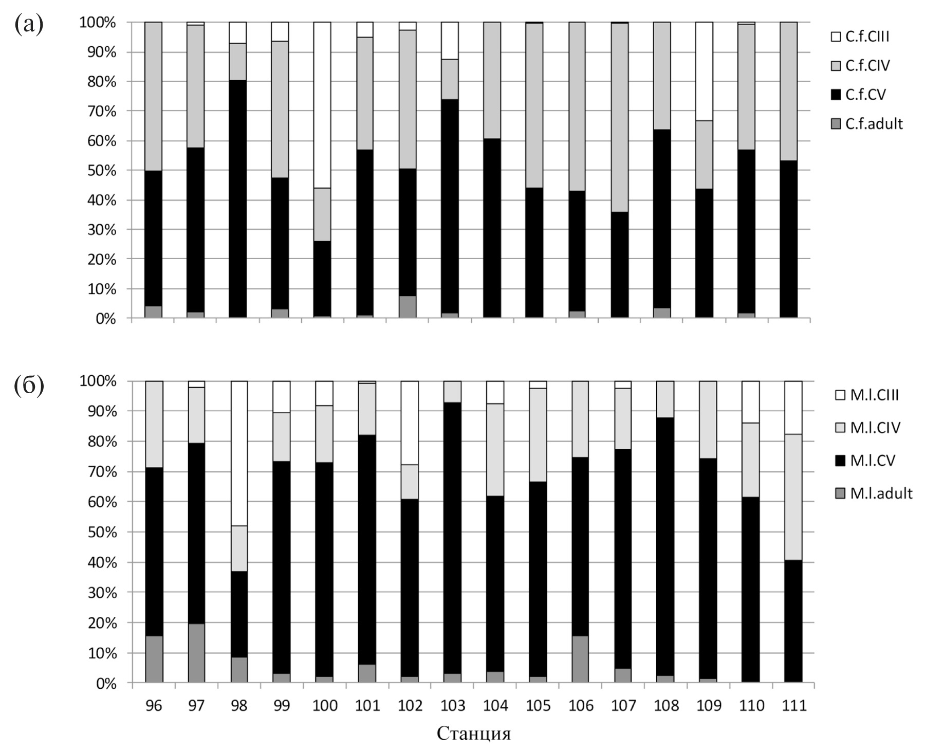
Возрастная структура. На большинстве исследованных станций популяция Calanus finmarchicus была представлена старшими копеподитными стадиями CIV и СV, составляющими более 85% (рис. 5) с большой жировой каплей в теле, что характерно для образования зимующего фонда. Преобладание старших копеподитов свидетельствует о завершении активной фазы популяционного цикла этого вида и продолжении процесса подготовки к зимним неблагоприятным условиям. Более 73% популяции Metridia longa была представлена V копеподитной стадией. В небольшом количестве были встречены половозрелые особи и младшие копеподиты (рис. 5).
Рис. 5. Возрастная структура Calanus finmarchicus (а) и Metridia longa (б) в районе исследований.
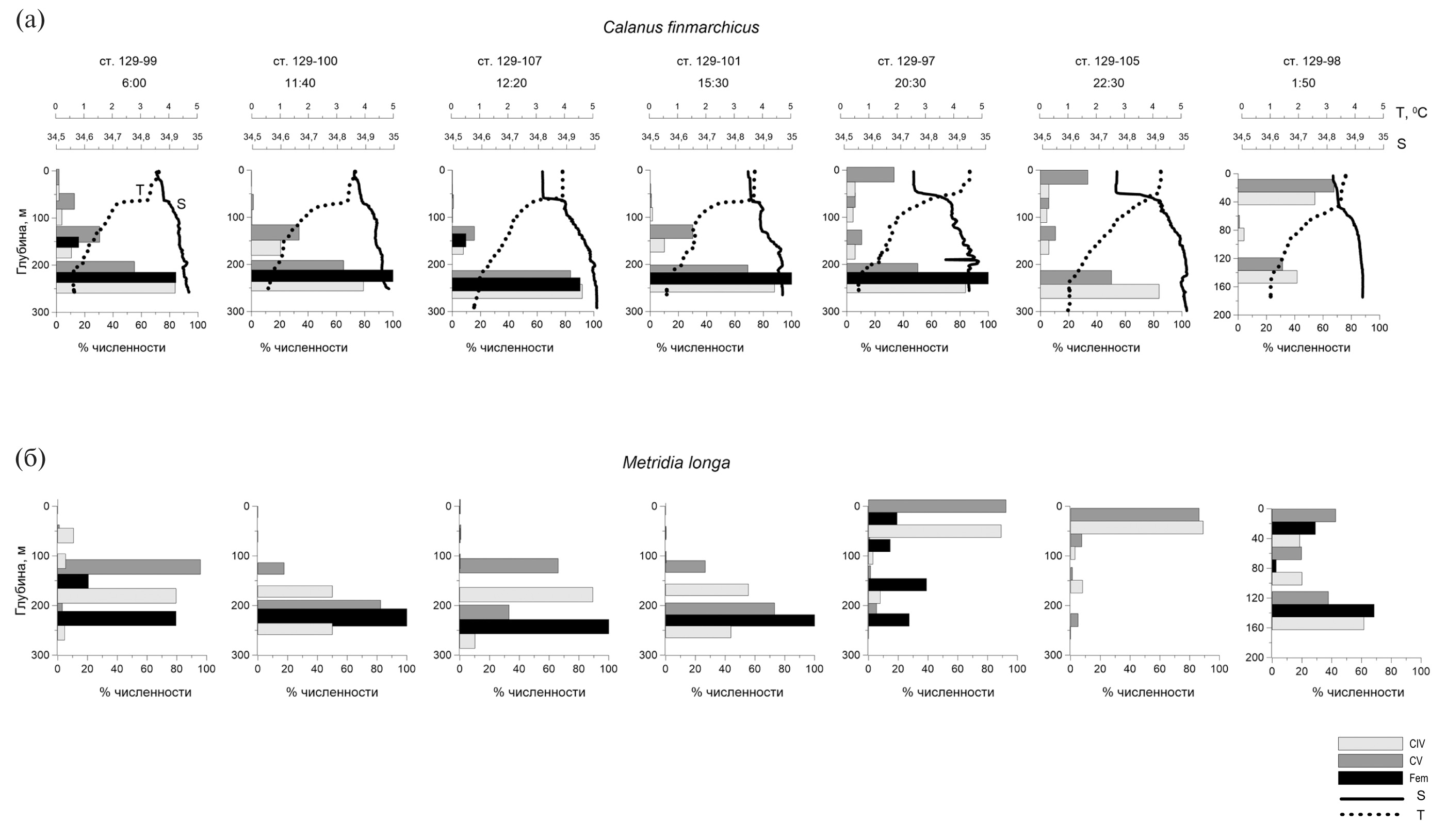
Вертикальное распределение. Данные о вертикальном распределении Calanus finmarchicus и Metridia longa на станциях, выполненных в разное время суток, свидетельствуют о выраженных суточных миграциях (рис. 6). В светлое время суток (6:00–15:30) популяции этих видов целиком находились в слое глубже 100 м. В период с 20:30 до 22:30 практически вся популяция M. longa (80–90%), представленная IV и V копеподитной стадией, находилась в верхнем перемешанном слое, а в 1:50 — только 1/3 популяции оставалась в этом слое, остальная часть опускалась глубже 50 м. В отличие от M. longa значительная часть популяции C. finmarchicus (40–80%) в ночные часы не поднималась в поверхностный слой, причем на глубоководных станциях 129-97 и 129-105 доля немигрирующих копепод была вдвое выше, чем на мелководной ст. 129-98.
Рис. 6. Вертикальное распределение (% численности) Calanus finmarchicus (а) и Metridia longa (б) и вертикальные профили температуры (Т) и солености (S) на станциях, выполненных в разное время суток.
Питание и выедание фитопланктона. Исследования содержимого фекальных пеллет Calanus finmarchicus и Metridia longa показали, что на всех станциях в составе пищи в большом количестве присутствовали кокколитофориды (рис. 7). Количество кокколитофорид в одной пеллете C. finmarchicus составило в среднем 105±32 клеток, в пеллете M. longa — 53±8 клеток. На ст. 129-98 в пеллетах C. finmarchicus были обнаружены панцири автотрофных динофлагеллят — Dinophysis acuta и Prorocentrum minimum. Практически на всех станциях помимо кокколитофорид в большом количестве были встречены лорики тинтинниды Acanthostomella norvegica размером 35×40 мкм (рис. 7). Их количество в одной пеллете варьировало от 2 до 28 тинтиннид для C. finmarchicus и от 3 до 21 — для M. longa. Наибольшее количество лорик в пищеварительном тракте копепод наблюдалось на ст. 129-111. Несмотря на то, что в Баренцевом море Acanthostomella norvegica является одним из часто встречаемых массовых видов тинтиннид в верхнем 50 м слое [26], этот вид в составе пищи копепод ранее не упоминался [33].
Рис. 7. Содержимое фекальных пеллет доминирующих видов копепод. (а) и (б) — Calanus finmarchicus (ст. 129-98); (в) — Calanus finmarchicus (ст. 129-97); (г) — Metridia longa (ст. 129-111).
Содержание фитопигментов в кишечнике доминирующих видов было максимальным на самой мелководной станции полигона (ст. 129-98, глубина 175 м, рис. 8). Средние значения G для обоих видов были в 2–9 раз выше по сравнению с другими исследованными станциями. При этом концентрация хл “а” на этой станции была наименьшей.
Рис. 8. Концентрация хл “а” (Chl-a, мг/м2), глубина на станции и содержание фитопигментов в пищеварительном тракте разных возрастных стадий массовых видов зоопланктона (G, нг хл “а”/экз.) в разное время суток. (а) — Calanus finmarchicus, (б) — Metridia longa.
Величины потребления автотрофного фитопланктона за время пребывания копепод в верхнем перемешанном слое приведены в табл. 1. Максимальные значения удельного рациона, полученные на самой мелководной станции 129-98, составляли 9.1 и 25.7% от содержания углерода в теле у Calanus finmarchicus CV и CIV, 14.1% — у Metridia longa CV. Величины суточного выедания автотрофных водорослей популяциями двух видов колебались в диапазоне 0.6–5.3% от биомассы фитопланктона в эвфотическом слое (табл. 2). Наибольшие величины выедания были получены на станции 129-105 в западной части полигона.
Таблица 1. Суточное потребление фитопланктона (I, нг хл “а”/экз сутки) массовыми видами зоопланктона, суточный рацион (R, мкг С/экз сутки) и удельный суточный рацион R/W (%). W — вес тела в единицах органического углерода
Ст. | Calanus finmarchicus CV (W = 141 мкг С*) | Calanus finmarchicus CIV (W = 30 мкг С*) | Metridia longa CV (W = 48 мкг С*) | Metridia longa CIV (W = 13.6 мкг С*) | ||||||||
I | R | R/W | I | R | R/W | I | R | R/W | I | R | R/W | |
129-97 | 24.5 | 1.7 | 1.2 | 19.8 | 1.4 | 2.9 | 9.9 | 0.7 | 5.1 | |||
129-98 | 183.2 | 12.8 | 9.1 | 109.9 | 7.7 | 25.7 | 96.5 | 6.8 | 14.1 | |||
129-103 | 63.1 | 4.4 | 3.1 | 16.0 | 1.1 | 3.7 | 48.2 | 3.4 | 7.0 | 19.8 | 1.4 | 10.2 |
129-104 | 55.4 | 3.9 | 2.8 | 44.4 | 3.1 | 6.5 | 16.3 | 1.1 | 8.4 | |||
129-105 | 50.9 | 3.6 | 2.5 | 31.2 | 2.2 | 4.5 | 18.0 | 1.3 | 9.3 | |||
129-111 | 43.5 | 3.0 | 2.2 | 36.9 | 2.6 | 8.6 | 18.7 | 1.3 | 2.7 | 11.6 | 0.8 | 6.0 |
Примечание. * — вес тела в единицах органического углерода исследованных видов согласно опубликованным данным [29].
Таблица 2. Суточное выедание биомассы фитопланктона (Ехл “а”, мкг хл “а” /м2/сутки) массовыми видами зоопланктона на разных станциях
Ст. | Концентрация фитопигментов | Calanus finmarchicus CIV+CV | Metridia longa CIV+CV | Total (%) | |||
мг хл “а”/м2 | Ехл “а” | % | Ехл “а” | % | ЕChl-a | % | |
129-97 | 25.95 | 61.9 | 0.24 | 105.6 | 0.41 | 167.6 | 0.65 |
129-98 | 15.20 | 424.3 | 2.79 | 50.2 | 0.33 | 474.5 | 3.12 |
129-103 | 18.77 | 290.3 | 1.55 | 433.8 | 2.32 | 724.1 | 3.87 |
129-104 | 20.30 | 110.9 | 0.55 | 410.6 | 2.02 | 521.5 | 2.57 |
129-105 | 20.02 | 510.5 | 2.60 | 536.7 | 2.73 | 1047.2 | 5.33 |
129-111 | 23.22 | 113.8 | 0.50 | 244.3 | 1.06 | 358.1 | 1.56 |
ОБСУЖДЕНИЕ
В период наших работ в октябре 2014 г. в восточной части Баренцева моря наблюдались положительные аномалии температуры верхнего перемешанного слоя, которые, судя по многолетним данным 1955–2012 гг. [22], превышали средние значения температуры в октябре на 0.7–1.1°C. Другой характерной чертой района исследования было преобладание кокколитофорид в фитопланктонном сообществе. Их биомасса достигала 30.8 мг С/м 3, составляя до 93% в общей биомассе фитопланктона [8]. Эти особенности свидетельствуют о том, что в октябре район исследований находился под влиянием вод атлантического происхождения. В этих условиях диапазон полученных величин биомассы зоопланктона (1.2–12.3 г сух. веса/м 2) был сопоставим с диапазоном многолетней изменчивости биомассы зоопланктона в осенний период в Баренцевом море в области Полярного фронта и в зоне смешанных прибрежных и атлантических вод (1–23 г сух. веса/м 2) [14], и с многолетними данными изменчивости биомассы зоопланктона в центральной части Баренцева моря в весенне-летний период (2–20 г сух. веса/м 2) [36]. Пространственная неоднородность распределения биомассы зоопланктона в районе исследования определялась главным образом распределением популяции Calanus finmarchicus. Биомасса этого вида (мг/м 3) зависела от глубины, и при глубинах выше 250 м возрастала в 3.5–6 раз. Согласно нашим данным, в октябре значительная часть популяции C. finmarchicus была представлена диапаузирующими особями, обитавшими постоянно в течение суток в глубинных слоях. Концентрация немигрирующих особей C. finmarchicus на станциях с глубинами более 250 м (200–500 экз/м 3) была более чем на порядок выше, чем на мелководной станции (20 экз/м 3). При этом доля мигрирующих особей на глубоководных станциях была вдвое ниже. По-видимому, увеличение биомассы с глубиной связано с описанным для этого вида эффектом «сноса» придонными течениями диапаузирующих особей C. finmarchicus в более глубокие районы шельфа Баренцева моря [5, 10]. Следует отметить, что наблюдаемые в начале октября суточные вертикальные миграции C. finmarchicus не типичны для этого сезона. По немногочисленным имеющимся данным, осенью старшие возрастные стадии копепод рода Calanus не совершают суточных вертикальных миграций на шельфе Баренцева моря [13, 17]. В то же время для старших возрастных стадий Metridia longa суточные миграции разной интенсивности в течение всего года являются характерной чертой [13, 17]. Наши результаты по питанию Calanus finmarchicus и Metridia longa показали, что оба вида активно потребляют кокколитофорид, составляющих основу фитопланктонного сообщества в период исследований. Клетки кокколитофорид были обнаружены в большом количестве в пеллетах копепод, а данные о количестве фитопигментов в пищеварительном тракте C. finmarchicus сопоставимы с величинами, измеренными для старших возрастных стадий этого вида в период весеннего развития фитопланктона в Баренцевом (0.5–16.8 нг Chl-a/экз [35]) и Норвежском (1.4–10.7 нг Chl-a/экз [31]) морях. Величины удельного рациона C. finmarchicus и M. longa (1.2–25.7%) также сопоставимы с оценками, приводимыми для этих видов в мае-июне в работе [11] — 0.5–32.0%. Эти результаты подтверждают выводы [1, 27] о том, что кокколитофориды при значительной доли их в общей биомассе водорослей могут активно потребляться крупными копеподами.
Количество ассимилированного органического углерода у Calanus finmarchicus CV, CIV и Metridia longa CV, CIV при усвояемости растительной пищи 0.6 [24] составляло в среднем для района работ 2.1, 7.6 и 3.8, 4.7%, а с учетом вклада тинтиннид — 2.6, 8.3 и 3.5, 4.9% содержания углерода в теле соответственно. Относительные траты на обмен этих рачков, рассчитанные по уравнению [20], принимая во внимание время пребывания в слоях с разной температурой, равны 2.5, 3.2 и 3.2, 4.2%. Сопоставление этих величин показывает, что, питаясь автотрофными водорослями, особи V копеподитной стадии C. finmarchicus и M. longa компенсируют, а особи IV копеподитной стадии C. finmarchicus с избытком покрывают энергетические траты на обмен. Эти результаты свидетельствуют о том, что в октябре, несмотря на конец вегетационного периода, значительная часть популяции C. finmarchicus все еще находилась в активном состоянии. Можно предположить, что увеличение продолжительности периода активного функционирования (суточные вертикальные миграции, высокая интенсивность питания) популяции C. finmarchicus является реакцией на положительную аномалию температуры верхнего перемешанного слоя в районе исследований. Подобного рода аномалии могут быть следствием наблюдаемого в последние годы процесса атлантификации восточных районов Баренцева моря [21].
Кокколитофориды вследствие небольших размеров клеток (<20 мкм) не являются приоритетным пищевым объектом для мезозоопланктеров. Однако в условиях доминирования кокколитофорид в фитопланктоне старшие стадии копепод могут активно их потреблять [1, 27]. Наши оценки выедания фитопланктона впервые характеризуют роль зоопланктона в утилизации первичного органического углерода в Баренцевом море в конце вегетационного периода. В работе [29] приведены оценки выедания фитопланктона в Баренцевом море в весенний и летний периоды. Весной на фоне массового развития фитопланктона уровень выедания был невысоким (2–8% в сутки), летом выедание возростало до 12–32%. Сходная тенденция увеличения выедания в летний период была также отмечена в морях западной Арктики [12]. По нашим данным, суточное выедание доминирующими видами зоопланктона осенью составляли 0.6–5.3% биомассы автотрофного фитопланктона. Максимальные значения были получены на станции 129-105, где численность Calanus finmarchicus и Metridia longa в слое 0–50 м в темное время суток была самой высокой (650 экз/м 3), а активность питания низкой. С другой стороны, при минимальной численности (66 экз/м 3) и высокой активности питания рачков на ст. 129-98 суточное выедание фитопланктона было достаточно высоким (3.7%). Таким образом, на фоне невысокого обилия фитопланктона в осенний период величина выедания определялась численностью и активностью питания мигрирующих в верхние слои копепод.
ЗАКЛЮЧЕНИЕ
В октябре 2014 г. на фоне хорошо выраженного влияния вод атлантического происхождения масштаб пространственной изменчивости биомассы зоопланктона в восточной части Баренцева моря был сопоставим с диапазоном межгодовой изменчивости биомассы зоопланктона в Баренцевом море. Доминирующими по биомассе видами были крупные копеподы Calanus finmarchicus и Metridia longa.
В период исследований практически вся популяция Metridia longa мигрировала в темное время суток в верхний 50 м слой, в то время как лишь 30–60% популяции Calanus finmarchicus совершали суточные миграции. При этом мигрирующие особи активно потребляли кокколитофорид, доминирующих в фитопланктонном сообществе в октябре, и тинтиннид Acanthostomella norvegica.
Активно питаясь в ночное время, оба вида компенсировали энергетические траты на обмен. При этом количество ассимилированной энергии у IV стадии Calanus finmarchicus существенно превышало энергозатраты.
Суточное выедание фитопланктона в период исследований не превышало 5% биомассы автотрофных микроводорослей и определялось численностью мигрирующих копепод и активностью их питания.
По всей видимости, возрастающее влияние относительно более теплых вод атлантического происхождения на экосистему Баренцева моря влечет за собой увеличение продолжительности активного периода жизнедеятельности массовых видов зоопланктона не только в западной и центральной, но также и в восточной области Баренцева моря.
Источник финансирования. Работа выполнена в рамках государственного задания, тема № 0149-2019-0008. Обработка проб зоопланктона и анализ данных по распределению зоопланктона проведены при финансовой поддержке проектов РФФИ № 19-04-00322, РФФИ № 19-05-00022, анализ данных по питанию зоопланктона и выеданию фитопланктона — при финансовой поддержке проекта РФФИ № 18-05-60069.
Об авторах
В. М. Сергеева
Институт океанологии им. П.П. Ширшова РАН
Автор, ответственный за переписку.
Email: vsergeeva@gmail.com
Россия, Москва
А. В. Дриц
Институт океанологии им. П.П. Ширшова РАН
Email: vsergeeva@gmail.com
Россия, Москва
М. В. Флинт
Институт океанологии им. П.П. Ширшова РАН
Email: vsergeeva@gmail.com
Россия, Москва
Список литературы
- Амелина А. Б., Сергеева В. М., Арашкевич Е. Г. и др. Питание массовых видов растительноядного планктона черного моря и их роль в потреблении кокколитофорид // Океанология. 2017. Т. 57. № 6. С. 894-905.
- Буренков В. И., Копелевич О. В., Ратькова Т. Н. и др. Цветение кокколитофорид в Баренцевом море — спутниковые и судовые наблюдения // Океанология. 2011. Т. 51. № 5. С. 1-9.
- Виноградов М. Е., Шушкина Э. А. Функционирование планктонных сообществ эпипелагиали океана. М.: Наука, 1987. 240 с.
- Дриц А. В., Никишина А. Б., Семенова Т. Н. и др. Пространственное распределение и питание массовых видов зоопланктона в эстуарии реки Обь // Океанология. 2016. Т. 56. № 3. С. 414-428. DOI: 10.7868/ S0030157416030047
- Кашкин Н. И. О приспособительном значении сезонных миграций Calanus finmarchicus (Gunnerus, 1770) // Зоологический журнал. 1962. Т. 41. С. 342-357.
- Кондрик Д., Поздняков Д., Петтерссон Л. Тенденции в кокколитофоридных цветениях в ряде акваторий северного полушария по данным спутниковых наблюдений за 1998-2013 гг. // Исследование земли из космоса. 2017. № 2. С. 26-37.
- Копелевич О. В., Шеберстов С. В., Вазюля С. В. и др. Сравнительные оценки характеристик кокколитофоридных цветений в Баренцевом и Черном морях по данным спутниковых сканеров цвета // Труды международной конференции «Современные проблемы оптики естественных вод». 2015. Т. 8. С. 31-35.
- Сергеева В. М., Житина Л. С., Мошаров С. А. и др. Структура фитопланктонного сообщества в области полярного фронта восточной части Баренцева моря в конце вегетационного сезона // Океанология. 2018. Т. 58. № 5. С. 763-773.
- Численко Л. Л. Номограммы для определения веса водных организмов по размерам и форме тела. Л.: Наука, 1968. 106 с.
- Arashkevich E., Wassmann P., Pasternak A., Wexels Riser C. Seasonal and spatial changes in biomass, structure, and development progress of the zooplankton community in the Barents Sea // Journal of Marine Systems. 2002. V. 38. P. 125-145.
- Bamstedt U., Eilertsen H. C., Tande K. S. et al. Copepod grazing and its potential impact on the phytoplankton development in the Barents Sea // Polar Res. 1991. V. 10. P. 339-354.
- Campbell R. G., Sherr E. B., Ashjian C. J. et al. Mesozooplankton prey preference and grazing impact in the western Arctic Ocean // Deep-Sea Res. II. 2009. V.56. P. 1274-1289.
- Daase M., Eiane K., Aksnes D. L., Vogedes D. Vertical distribution of Calanus spp. and Metridia longa at four Arctic locations // Mar. Biol. Res. 2008. V. 4. P. 193-207.
- Dalpadado P., Ingvaldsen R., Hassel A. Zooplankton biomass variation in relation to climatic conditions in the Barents Sea // Polar Biology. 2003. V. 26. P. 233-241. doi: 10.1007/s00300-002-0470-z
- Dalpadado P., Ingvaldsen R. B., Stige L. C. et al. Climate effects on Barents Sea ecosystem dynamics // ICES Journal of Marine Science. 2012. V. 69. № 7. P. 1303-1316.
- Eriksen E., Skjoldal H. R., Gjøsæter H., Primicerio R. Spatial and temporal changes in the Barents Sea pelagic compartmentduring the recent warming // Progress in Oceanography. 2017. V.151. P. 206-226.
- Falkenhaug T., Tande K. S., Semenova T. Diel, seasonal and ontogenetic variations in the vertical distributions of four marine copepods // Mar. Ecol. Prog. Ser. 1997. V. 149. P. 1105-1119.
- Holm-Hansen О., Riemann В. Chlorophyll a determination: improvements in methodology // Oikos. 1978. V. 30. P. 438-447.
- ICES Zooplankton Methodology Manual / Eds. Harris R. et al. London: Academic Press, 2000. 684 p.
- Ikeda T., Kanno Y., Ozaki K., Shinada A. Metabolic rates of epipelagic copepods as a function of body mass and temperature // Mar. Biol. 2001. V. 139. P. 587-596.
- Lind S., Ingvaldsen R. B., Furevik T. Arctic warming hotspot in the northern Barents Sea linked to declining sea-ice import // Nature Climate Change. 2018. V. 8. P. 634-639.
- Locarnini R. A., Mishonov A. V., Antonov J. I. et al. World Ocean Atlas 2013, V.1: Temperature. Levitus S. (Ed.), Mishonov A. (Technical Ed.). NOAA Atlas NESDIS. 2013. V. 73. 40 p.
- Mackas D. L., Bohrer R. N. Fluorescence analysis of zooplankton gut contents and investigation of diel feeding patterns // J. Exp. Mar. Biol. Ecol. 1976. V. 25. P. 77-85.
- Mauchline J. Gut, food and feeding // The Biology of Calanoid Copepods / Ed. Mauchline J. Advances in Marine Biology. 1998. P. 140-175.
- Menden-Deuer S., Lessard E. J. Carbon to volume relationships for dinoflagellates, diatoms, and other protist plankton // Limnology Oceanography 2000. V. 45. № 3. P. 569-579.
- Monti M., Minocci M. Microzooplankton along a transect from northern continental Norway to Svalbard // Polar Research. 2013. V. 32. 19306. http://dx.doi.org/ 10.3402/polar.v32i0.19306
- Nejstgaard J. C., Gismervik I., Solberg P. T. Feeding and reproduction by Calanus fnmarchicus, and microzooplankton grazing during mesocosm blooms of diatoms and the coccolithophore Emiliania huxleyi // Mar. Ecol. Prog. Ser. 1997. V. 147. P. 197-217
- Neukermans G., Oziel L., Babin M. Increased intrusion of warming Atlantic water leads to rapid expansion of temperate phytoplankton in the Arctic // Global Change Biology. 2018. P. 1-9. doi: 10.1111/gcb.14075
- Pasternak A., Arashkevich E., Reigstad M. et al. Dividing mesozooplankton into upper and lower size groups: applications to the grazing impact in the marginal ice zone of the Barents Sea // Deep-Sea Res. Part II. 2008. V. 55. № 20-21 P. 2245-2256. doi: 10.1016/j.dsr2.2008.05.002
- Polyakov I. V., Pnyushkov A. V., Alkire M. B. et al. Greater role for Atlantic infows on sea-ice loss in the Eurasian Basin of the Arctic Ocean // Science. 2017. V. 356. P. 285-291.
- Prokopchuk I. Mesozooplankton distribution, feeding and reproduction of Calanus finmarchicus in the western Norwegian Sea in relation to hydrography and chlorophyll a in spring. The United Nations University. Final Project. 2003.
- Smyth T. J., Tyrrell T., Tarrant B. Time series of coccolithophore activity in the Barents Sea, from twenty years of satellite imagery // Geophys. Res. Letters. 2004. V. 31. L11302. P. 1-4.
- Stoecker D. K. Predators of tintinnids // The biology and ecology of tintinnid ciliates: models for marine plankton / Eds. Dolan J. R. et al. Hoboken: Wiley, 2012. P. 122-144.
- Strickland J. D. H., Parsons T. R. A practical handbook of seawater analysis. Pigment analysis // Bull. Fish. Res. Bd. Can. 1968. V. 167. P. 1-311.
- Tande K. S., Båmstedt U. Grazing rates of the copepods Calanus glacialis and C. finmarchicus in arctic waters of the Barents Sea // Marine Biology 1985. V. 87. P. 251-258.
- Wassmann P., Reigstad M., Haug T. et al. Food webs and carbon flux in the Barents Sea // Progress In Oceanography. 2006. V.71 (2-4). P. 232-287.
Дополнительные файлы










