Composition and formation of the Whale Ridge volkanits
- Authors: Eroshenko D.V.1, Kharin G.S.1
-
Affiliations:
- Shirshov Institute of Oceanology, RAS
- Issue: Vol 59, No 5 (2019)
- Pages: 826-843
- Section: Морская геология
- URL: https://journals.eco-vector.com/0030-1574/article/view/17610
- DOI: https://doi.org/10.31857/S0030-1574595826-843
- ID: 17610
Cite item
Full Text
Abstract
Summarizes the materials according to the chemical composition of the volcanic rocks of the Whale Ridge. The analysis showed that the formation of the Eastern and Central parts of the ridge in the Cretaceous and Paleogene was determined, first of all, by the appearance of fractured decompression foci, which arose as a result of shear-thrust dislocations during the split of the Gondwana. Basalts of the Central part of the Whale Ridge have signs of contamination by the crustal matter. Tristan Plume apparently indirectly participated in the formation of the Whale Ridge rocks in the Cretaceous and Paleogene: he partially enriched the melting centers with his material, which originated in the deformed powerful (>20 km) crust. The spreading factor manifested itself in the upper Cretaceous (toleite volcanism of the Eastern part of the ridge) and in the Neogene-Quaternary time, when the power of the newly formed oceanic crust began to decrease. This allowed the "fading" Tristan plume to form a system of underwater volcanic mountains in the Western part of the Whale Ridge.
Keywords
Full Text
ВВЕДЕНИЕ
Происхождение Китового хребта до сих пор остается предметом дискуссий. Причинами является неоднородность строения его фундамента (наличие крупных вулканических массивов на востоке хребта и отдельно стоящих подводных гор на западе; существенное различие мощности земной коры у восточной части хребта и в его центральной и западной частях), гетерогенность предполагаемых магматических источников, отличие состава вулканитов хребта от составов океанических MORB-базальтов. Формирование хребта объясняется рядом гипотез и представлений: 1 — как след «горячих точек» Тристан, Гофф [45, 52]), 2 — вертикальными перемещениями блоков земной коры на линии косого скола под действием сил сжатия [9]; 3 — гипотезой «горячих линий» [4, 7, 8]; 4 — как внутриплитные поднятия океанической коры, возникшие при прохождении плиты над плюмом Тристан [11]. Вышеперечисленными представлениями далеко не исчерпывается список гипотез о происхождении Китового хребта. Более того, появление новых данных, так же как и переосмысливание старых, дает возможность пополнять этот список или комбинировать известные представления друг с другом.
Целью данной работы является попытка оценить перспективность гипотезы «горячей точки» Тристан для объяснения генезиса Китового хребта и дать представление о его магматической активности в кайнозое.
ФАКТИЧЕСКИЙ МАТЕРИАЛ
Наше обобщение основано на изучении данных 32 скважин глубоководного бурения, пробуренных на Китовом хребте, прилегающих участках котловин и шельфа африканского континента (рис. 1): большинство скважин сосредоточено в центральной и северо-восточной частях хребта. На западе хребет практически не охвачен бурением (пробурена только скв. 359). Мощность вскрытых бурением осадочных толщ от 52 м до 1112 м; из 32 скважин 23 остановлены в осадках. Максимальный возраст пробуренной осадочной толщи на Китовом хребте составил 102.5 млн лет (северо-восточный фланг хребта, скв. 530). В центральной и восточной частях Китового хребта бурением вскрыты мел-палеогеновые отложения, в западной — палеоген-четвертичные. Максимальное количество проб базальтового фундамента было изучено в 73- и 74-м рейсах «Джойджес Резолюшн» — скважины 524–532. Анализы на содержание основных оксидов, литофильных, редких элементов, изотопный анализ производились в разных лабораториях и характеризуются целым спектром методических особенностей подготовки самих проб, работы со стандартами, описанными в соответствующих статьях [29–32, 38, 40–43, 50, 51, 61]. Можно отметить общий момент в подготовке проб при определении главных элементов и микроэлементов: отбор проводился из наименее измененных, наименее выщелоченных образцов кернов скважин. Пробы подвергались тщательной очистке, обработке карбидом кремния, ультразвуковой очистке в ацетоне и дистиллированной воде, что дало возможность свести к минимуму загрязнение пробы осадочным веществом. Определение породообразующих элементов и микроэлементов проводилось методами X-RAY-анализа (рентген-флюоресцентный метод) и нейтронного активационного анализа INAA с анализатором ND600; изотопные исследования проводились методом масс-спектрометрии с термической ионизацией (TIMS). Отметим, что при изучении изотопного состава базальтов Китового хребта (скважины 525, 527, 528) не проводилось кислотное выщелачивание образцов для нивелирования влияния процессов изменения на результаты анализов [50, 51]. В работе также использованы данные по составу щелочных базальтов, полученных драгированием в 15-м рейсе НИС «Академик Курчатов» в западной части Китового хребта [12]. Химический состав базальтов Китового хребта также представлен в работах Когарко, Салтерса, Виллволда, Пейве, Виевера [6, 50–53, 64].
Рис. 1. Геологическая карта-схема Китового хребта с дополнениями.
1 — Африканский континент; 2 — область шельфа и континентального склона; 3 — вулканотектонические поднятия, хребты и отдельные вулканические постройки; 4 — граница подножия Китового хребта; 5 — линеаменты (преимущественно трансформные разломы); 6 — ось САХ; 7 — острова; 8 — точки с известным абсолютным возрастом вулканических пород (млн лет), показаны цифрами; 9 — вулканиты провинция Этендека; 10 — скважины глубоководного бурения DSDP и ODP. Прямоугольником показана область рис. 3. Врезки: (а) — центральная часть Китового хребта, (б) — смена возраста пород фундамента Китового хребта в зависимости от расстояния до современной проекции плюма Тристан.
Всего опубликовано свыше 200 результатов химических анализов, и их основная часть была использована в статье. Также приводится оценка эруптивной вулканической активности Китового хребта на основе подсчетов прослоев пепла в кернах глубоководных скважин [2, 27–32, 41–44, 54–59], возраст слоев рассчитывался по скорости накопления осадков с использованием биостратиграфических данных, геомагнитных маркеров и по возрасту вулканитов хребта, который определялся К–Ar и Ar–Ar методами.
При интерпретации геохимических данных необходима оценка постмагматических изменений, связанных с метаморфическими преобразованиями, которые контролируются термальными условиями, движением флюидов, наличием градиентов концентрации или давления. Надо отметить, что большинством исследователей с точки зрения подвижности элементов в древних базальных сериях выделены ряды достаточно устойчивых к постмагматическим изменениям микроэлементов при низких ступенях метаморфизма — высокозарядные, REE, Y, ряд переходных элементов (Ni, Cr, V, Sc) [49]. Известны также ряды элементов, которые могут считаться условно мобильными (щелочные элементы, Si, Na, K, Ca, Cs, Rb, Ba, Sr). При воздействии базальтов с морской водой надо учитывать подвижность K, Rb, Sr, U и Cs, которые могут накапливаться в молодых и древних базальтах [5, 13].
Оценка степени измененности базальтов Китового хребта освещена в работах [38, 50, 51, 53]. При допущении ограниченного влияния загрязнения проб осадочным веществом и относительно изохимическом характере постмагматических изменений (при слабой степени метаморфизма) сохранность первичного состава должна хорошо фиксироваться по корреляционным связям содержания Zr с главными элементами. На рис. 2 видно, что относительно слабая корреляция значений MgO с главными оксидами (рис. 2а) и Zr c высокозарядными элементами (рис. 2б), а также значительный разброс содержаний может говорить о возможном отклонении от первичного состава для базальтов хребта, в особенности это касается проб скв. 525.
Рис. 2. Вариации содержания петрогенных и редких элементов в зависимости от MgO (a) и Zr (б) в базальтах Китового хребта: 1 — скв. 527, 2 — скв. 528, 3 — скв. 525.
Соотношение изотопов 87Rb/ 86Sr в базальтах Китового хребта, определенное лишь для небольшого количества проб [50, 51], варьирует в широких пределах — от 0.001 до 0.376 (рис. 3). Распределение данных на изохронной диаграмме также показывает, что базальты скв. 525 имеют следы постмагматических изменений, включая, возможно, влияние на содержание изотопов Sr морской воды: характерно отсутствие прямой корреляции, отмечено повышенное соотношение изотопов 87Sr/ 86Sr (рис. 3). Степень измененности базальтов скважин 527, 528 гораздо ниже, коэффициент достоверности аппроксимации близок к 1. Таким образом, можно резюмировать: базальты хребта подверглись влиянию постмагматических процессов в разной степени, что затрудняет интерпретацию условий их образования.
Рис. 3. Изохронная диаграмма для базальтов Китового хребта. Обозначены линии тренда величины достоверности аппроксимации. Условные обозначения см. рис. 2.
Для того чтобы учитывать постмагматические процессы при анализе составов вулканитов, кроме вышеописанных признаков, мы выбрали дополнительные критерии: высокое содержание относительно устойчивых элементов Ni (>100 ppm), Cr (>180 ppm), содержаниe MgO (>6%), дисперсия его значений при сравнении с другими основными оксидами, контроль по щелочным оксидам (Na2O+K2O<5%). Это позволило выделить близкие к примитивным базальты (скв. 527) и базальты дифференцированного состава (скв. 525).
КИТОВЫЙ ХРЕБЕТ И «ГОРЯЧАЯ ТОЧКА ТРИСТАН»
Исследователи часто определяют понятие «горячей точки» как производную плюмовых процессов. При этом один плюм может быть причиной формирования нескольких «горячих точек». Примером этому является мощный Африканский плюм, который поднимается с границ нижней мантии, с ним связано происхождение крупных вулканических провинций на Африканской плите. Он рассматривается в качестве источников для плюмов более мелкого масштаба. Один из них (плюм Тристан), в свою очередь, является причиной появления «горячих точек» Китового хребта — точек Тристан и Гофф. В нашей статье мы рассмотрим соответствие вулканитов Китового хребта основным параметрам этого плюма.
Существует ряд обобщенных признаков, которыми должен обладать “классический плюм”. В первую очередь, он представляет собой поток горячих мантийных масс с разных абиссальных и гипабиссальных глубин, вплоть до границы ядро–мантия, имеющий широкую головную часть и тонкую хвостовую. Его отличительными чертами также являются формирование вулканических поднятий, вытянутых и ориентированных вдоль движения литосферной плиты; последовательное изменения возраста пород фундамента, уменьшающегося к оси спрединга (в нашем случае); присутствие вулканических пород с более высокой температурой и большей, чем у рифтогенных базальтов, глубиной выплавления. Современные геофизические исследования допускают существование в Южной Атлантике плюма, который имеет схожие характеристики, включая глубину корня, состав пород, мощность потока и объем вулканогенных и интрузивных пород. В работах Сильверы [60] приводится обобщение данных по анизотропной томографии Атлантического океана и показано наличие под зонами «горячих точек» Южной Атлантики (острова Тристан-Да-Кунья, Св. Елена) областей пониженных скоростных аномалий, простирающихся вглубь мантии до 200–300 км, т. е. данные сейсмотомографии не ставят под сомнение существование плюма Тристан и отмечают схожесть его структуры с плюмом Камерунской линии [60]. Это может являться основанием для сравнения магматизма вулканитов названных районов Атлантики. К результату активности плюма Тристан в Южной Атлантике некоторые исследователи относят симметричные относительно оси САХ крупные геоморфологические структуры на африканской (Китовый хребет) и южноамериканской (возвышенность Рио-Гранде) плитах. Это крупные поднятия земной коры с вулканическим основанием, возраст которого уменьшается от континентальных окраин к оси САХ. Такое изменение возраста вулканитов характерно в первую очередь для Китового хребта и меньше всего для возвышенности Рио-Гранде (см. рис. 1).
В работах Хёрнли, Роде [28, 52] подробно рассматривается модель формирования Китового хребта как результат действия плюма Тристан, корень которого авторы привязывают к зоне низких сейсмических скоростей, расположенной на границе между верхней и нижней мантией. Есть предположение, что «голова» плюма 132 млн лет назад располагалась в районе континентальных вулканических провинций Парана (Южная Америка) и Этендека (Южная Африка), которые, по мнению авторов, являются древней проекцией плюма Тристан. В качестве доказательств этой гипотезы используются данные по изотопному составу вулканитов этих провинций (изотопы Sr, Nd, Pb, Hf), возраст которых фиксирует раскол Гондваны. По представлению авторов, плюм Тристан неглубокий, поднимающийся с границы верхней и нижней мантии, но достаточно мощный, чтобы в юрское и меловое время существенно повлиять на формирование этих симметричных приконтинентальных вулканических провинций, включая также океанические поднятия Китового хребта и Рио-Гранде.
Другая интерпретация геофизических данных этой части Атлантики в обобщающих работах Фромм и Силвайра [24, 60] основана на изучении погребенной под осадками зоны с высокими скоростями поперечных волн, зафиксированной под корневой частью Китового хребта на глубинах свыше 20 км. В работе Фромм [24] эта зона ассоциируется с зоной плавления верхней мантии, связанной с гипотетической «головой» плюма Тристан. Она протягивается под областью корня Китового хребта и заходит под континентальную африканскую кору в районе вулканического комплекса Коаоко и Этендека. При этом ее ширина незначительна (около 100 км), что, с точки зрения автора, ставит под сомнение наличие обширной плюмовой «головы», как предполагается у других исследователей [24]. Сравнив геометрию внедрений вулканитов в земную кору прилегающего к хребту района провинций Этендека, Дамар Каоко с гораздо большей по масштабу и протяженностью представленной там сетью разломов, Т. Фромм сделала вывод, что первичной причиной формирования вулканических структур явилось развитие трещинной тектоники, которое спровоцировало формирование декомпрессионных очагов плавления в континентальной коре, при этом, по ее мнению, плюм Тристан имел, скорее всего, небольшую мощность и не мог привести к расколу Гондваны.
В исследовании химического состава вулканитов Китового хребта существует три основных момента. Первый — их отличие от океанических спрединговых базальтов MORB [17, 23, 33, 40, 62]: по сравнению с последними они более обогащены несовместимыми микроэлементами [40]. При этом базальтоиды центральной и восточной частей хребта отличаются по составу и от вулканитов островов Тристан-Да-Кунья и Гофф [28]. Однако наблюдается недостаток данных, которые позволили бы «геохимически» связать эти острова с центральной и восточной частями Китового хребта. Возможно, причина этого заключается во втором моменте — в дифференцированном и измененном химическом составе вулканических пород центральной и восточной частей хребта, что затрудняет их сравнительный анализ с вулканитами «горячих точек» Южной Атлантики. Третья особенность связана с данными изотопного состава, она включает в себя проблему геохимической зональности предполагаемых следов плюмов Тристан и Гофф [28], а также проблему выбора мантийных резервуаров в качестве источников. Работы Хёрнли, Роде указывают на неоднородность самого формирующего хребет плюма, который дивергирован на горячие точки Тристан и Гофф, отличающиеся друг от друга показателями изотопных отношений 87Sr/ 86Sr, 143Nd/ 144Nd, 206Pb/204Pb, 208Pb/ 204Pb, 176Hf/ 177Hf. Химическую гетерогенность плюмового материала этих «горячих точек» K. Хёрнли объясняет смешением и периодическим доминированием в расплавах обогащенного материала зоны LLSVP и истощенной более холодной окружающей мантии [28]. На неоднородность предполагаемого мантийного источника для вулканитов Китового хребта и плюма Тристан в целом исследователи обращали внимание уже давно. Работы Томпсона, Ричардсона, Юн-Ганг Лиу, Салтерса [38, 50, 51, 53, 62] указывают как минимум на два источника вулканитов хребта: деплетированную (DM) и обогащенную (EM) мантию. Выделяют также и возможность участия в плавлении корового материала как в процессе унтерплейтинга субконтинентальной литосферы, так и в процессе деламинации континентальной коры [28, 48, 53].
ХИМИЧЕСКИЙ СОСТАВ ВУЛКАНИТОВ КИТОВОГО ХРЕБТА
Хребет состоит из 6 крупных вулканогенных линейно вытянутых (преимущественно по направлению движения Африканской плиты) изометричных блоков [1]. Они представлены вулканическими и осадочными комплексами различной мощности (толща осадков доходит в отдельных местах до 4.5 км) мелового и палеогенового возраста. Фундамент представлен базальтами разной степени измененности, пикробазальтами, базитами и трахибазальтами. Возраст пород в скважинах определен в диапазоне от 40 млн в западной части (скв. 359) до 102 млн лет — в восточной (скв. 530) [27, 61].
Сейсмические данные по вулканическим породам фундамента хребта указывают на его неоднородность как геологического тела. Так, по результатам исследований в 1976 г., Р. В. Дингле и Е. С. У. Симпсон выделили три основные части хребта: 1 — восточную часть, включающую прилегающий к африканскому континенту вулканический хребет Фрио и мощное вулканическое сооружение — банку Вальдивию, 2 — центральную часть, представленную, как и восточная, единым хребтом; 3 — западную часть Китового хребта, представленную преимущественно отдельными горами и гайотами [18]. Это деление обосновано структурой магнитного поля и магнитных аномалий: в восточной части цепочки отрицательных аномалий магнитного поля имеют простирание, параллельное системе разломов, идущих вдоль хребта Фрио и банки Вальдивии (зона трансформного разлома Рио-Гранде). Есть мнение, что эта часть была местом древнего спрединга [18]. В западной части, которую венчают острова Тристан-Да-Кунья и Гофф, магнитные аномалии локализованы и разрознены. Данные сейсмопрофилирования в регионе показывают постепенное уменьшение мощности земной коры под хребтом: от 35 км в восточной части, до 12 км на западе [17].
Вскрытые в скважинах бурения вулканиты фундамента хребта (в центральной части хребта это скважины 524–529, в восточной — скв. 530) имеют корки закаливания или контактируют своей кровлей с лавокластическими отложениями, что указывает на их эффузивный генезис. Они представляют собой в основном чередующиеся с осадками слои базальтов, преимущественно афировой структуры, со стекловатой, коркой закаливания в своей верхней кровле, продуктами выветривания, которые включают в себя глинистые минералы, цеолиты, смектит, опоку. Встречаются также признаки термальных изменений, которые зафиксированы в вулканитах подножия центральной части хребта (скв. 524): здесь в базальтовых пробах обнаружен пирит. Стоит упомянуть вулканиты гребня хребта (скв. 525), где они, в отличие от пород в других скважинах, имеют везикулярную текстуру, которую многие авторы рассматривают в качестве доказательства газовых эманаций, возникших при формировании базальтового тела вследствие меньшей глубины образования, нежели у базальтов склона хребта (скважины 528, 529, 530) [40].
В западной части хребта драгированы образцы пород (АО ИО РАН) [12], представленные слабоокатанными глыбами трахита, с фосфатной коркой и зоной разложения (выветривания), переходящей в серо-желтый трахит с однородной микрозернистой структурой. В зоне выветривания образца равномерно распределены частично пелитизированные полевые шпаты и смектит. Датировка возраста этого образца не проводилась, однако в районе драгировки, по данным O’Конор [46], возраст пород фундамента составляет 27–30 млн лет. Пробуренная к юго-западу от места драгирования скв. 359 вскрыла в забое вулканический трахитовый туф, возрастом, определенным методами биостратиграфии, около 40 млн лет.
Для оценки влияния плюма Тристан на формирование Китового хребта мы привели сравнения состава вулканитов двух гипотетических плюмов, предполагаемые следы которых развиты как на континентах, так и на океанической коре. С одной стороны, это сам плюм Тристан, который, с точки зрения ряда авторов, включает в себя континентальные вулканические провинции (Парана, Этендека), а также «океаническую часть» (Китовый хребет, острова Тристан-Да-Кунья и Гофф). С другой — вулканиты Камерунского плюма (вулк. Камерун, острова Святая Елена и Пагалу).
По химическому составу базальты Китового хребта заметно дифференцированы, что отражается в большой дисперсии содержаний MgO [23, 38, 51, 53, 61], хотя в ряде случаев встречаются и базальты, близкие к примитивным (Na2O+K2O<5%, MgO>6%, Ni>100 ppm, Cr>180 ppm). Состав вулканических пород и вулканокластического материала Китового хребта представлен на рис. 4, где также нанесены поля вулканитов Этендеки и о. Тристан-да-Кунья. На диаграмме видно, что нижнемеловые породы африканской провинции Этендеки по степени щелочности соответствуют нормальному и субщелочному ряду пород и имеют признаки дифференциации химического состава вплоть до кислых разностей. Миоцен-современные вулканиты островов Тристан-Да-Кунья и Гофф, представленные базальтами, базанитами, тефритами, отражают эволюцию пород щелочного ряда с высоким содержанием Na2O+K2O (от 4 до 6%) (табл. 1).
Рис. 4. Химический состав вулканических пород и вулканокластических осадков Китового хребта.
1–3 — поля вулканитов: 1 — вулканиты провинции Этендека (нижний-верхний мел), 2 — вулканиты центральной Китового хребта (скважины 525, 527, 528 (верхний мел-палеоцен)); 3 — вулканиты о. Тристан-Да-Кунья и о. Гофф (неоген-четвертичный); 4 — вулканический туф скв. 359 (поздний эоцен); 5 — вулканиты и вулканокласты восточной части Китового хребта (скв. 530): (а) — вулканические брекчии скв. 530 (нижний-средний миоцен), (б) — базальты (ранний мел); 6 — вулканиты, полученные драгированием в 15-м рейсе НИС «Академик Курчатов», западная часть Китового хребта. ПБ — пикрито-базальт, ТБн — тефробазанит, Тф — тефрит, Ф — фонолит, Б — базальт, ТБ — трахибазальт, БА — андезибазальт, ТБА — трахиандезибазальт, А — андезит, ТА — трахиандезит, Д — дацит, Т — трахит, Р — риолит.
Таблица 1. Состав вулканитов Китового хребта (скв. 525, 527, 528), [19, 25, 27, 35, 36, 40, 49, 55]
Скв., районы | 525 | 525 | 525 | 525 | 527 | 527 | 527 | 528 | 528 | 528 | 528 | 530 | 530 |
Обр. | 55R-3-43-49 | 55R-2, 35-40 | 63R-2-112-118 | 63R-1-26-33 | 41R-5-89-94 | 41R-4-16-23 | 40R-1-117-122 | 39R-2-6-14 | 42R-1-16-24 | 46R-1-78-86 | 45R-1-15-18 | 107-1-48-50 | 108-2-10-12 |
Тип породы | Б | Б | дифБ | дифБ | Б | Б | Б | Б | ТБ | Б | ТБ | Б | Б |
SiO2 | 47.98 | 53.91 | 50.94 | 49.77 | 49.87 | 49.66 | 49.95 | 49.83 | 51.98 | 49.30 | 51.00 | 49.98 | 49.23 |
TiO2 | 2.65 | 3.09 | 2.97 | 2.93 | 1.50 | 1.27 | 1.81 | 1.27 | 2.41 | 1.33 | 2.18 | 1.9 | 1.7 |
Al2O3 | 15.12 | 22.66 | 15.26 | 18.97 | 16.80 | 16.15 | 13.97 | 16.49 | 15.08 | 16.79 | 16.43 | 16.52 | 15.44 |
FeO | 0.49 | 4.15 | 4.51 | ||||||||||
Fe2O3 | 4.51 | 6.07 | 6.93 | ||||||||||
FeO* | 4.55 | 9.61 | 10.75 | ||||||||||
Fe2O3* | 13.09 | 12.08 | 10.97 | 9.39 | 11.18 | 13.72 | 10.51 | 11.86 | 10.12 | 11.39 | 10.68 | 11.94 | |
MnO | 0.12 | 0.01 | 0.14 | 0.1 | 0.22 | 0.18 | 0.18 | 0.15 | 0.24 | 0.18 | 0.22 | 0.31 | 0.25 |
MgO | 4.39 | 1.51 | 5.12 | 5.2 | 6.92 | 6.23 | 6.25 | 7.39 | 5.77 | 6.66 | 6.09 | 8.38 | 8.08 |
CaO | 12.12 | 8.03 | 8.36 | 6.75 | 11.90 | 12.56 | 10.30 | 11.42 | 4.93 | 12.26 | 6.43 | 10.02 | 10.68 |
Na2O | 3.33 | 3.65 | 3.41 | 3.41 | 2.91 | 2.43 | 2.87 | 2.62 | 4.56 | 2.66 | 3.79 | 2.81 | 2.42 |
K2O | 0.62 | 0.53 | 0.79 | 0.91 | 0.23 | 0.21 | 0.45 | 0.49 | 2.66 | 0.51 | 2.30 | 0.09 | 0.54 |
P2O5 | 0.35 | 0.18 | 0.52 | 0.53 | 0.12 | 0.12 | 0.20 | 0.15 | 0.62 | 0.16 | 0.34 | 0.28 | 0.26 |
LOI | 7.98 | 4.36 | 4.66 | 2.24 | 1.12 | 1.23 | 1.75 | 3.17 | 1.69 | 3.42 | |||
Ba | 470.00 | 295 | 54.00 | 94.00 | 169.00 | 180.00 | 666.00 | 164.00 | 381.00 | 119 | 122 | ||
Rb | 3.90 | 7.3 | 6.8 | 5.5 | 1.60 | 2.10 | 9.10 | 11.40 | 50.30 | 10.90 | 25.40 | 1.9 | 15.4 |
Sr | 517.00 | 578 | 392 | 385 | 188.00 | 154.00 | 161.00 | 278.00 | 335.00 | 241.00 | 315.00 | 285 | 257 |
Ta | 1.40 | 1.98 | 1.96 | 0.36 | 0.50 | 0.89 | 0.76 | 3.71 | 0.89 | 1.66 | |||
Nb | 25.00 | 19 | 35 | 33 | 5.80 | 8.90 | 15.00 | 13.00 | 58.00 | 15.00 | 29.00 | 21.2 | 20.7 |
Zr | 236.00 | 209 | 273 | 250 | 100.00 | 81.00 | 129.00 | 98.00 | 264.00 | 132.00 | 183.00 | 139 | 127 |
Y | 41.00 | 28 | 34 | 33 | 35.00 | 33.00 | 47.00 | 31.00 | 46.00 | 37.00 | 37.00 | 36 | 32 |
Th | 3.08 | 5.19 | 5.15 | 0.70 | 0.88 | 1.73 | 1.56 | 8.74 | 2.09 | 3.47 | |||
U | 0.82 | 1.23 | 1.36 | 0.37 | 0.21 | 0.37 | 0.34 | 1.25 | 0.44 | 1.27 | |||
Pb | 2.50 | 3.8 | 3.1 | 0.60 | 0.40 | 1.50 | 2.80 | 4.30 | 1.70 | 1.60 | |||
La | 28.00 | 33 | 32 | 6.30 | 7.80 | 13.00 | 12.00 | 49.00 | 14.00 | 27.00 | |||
Ce | 62.00 | 74 | 75 | 16.00 | 18.00 | 30.00 | 27.00 | 92.00 | 29.00 | 54.00 | |||
Cr | 389 | 91 | 94 | ||||||||||
Ni | 153 | 74 | 66 | ||||||||||
Nd | 35.00 | 47.8 | 47.9 | 11.80 | 10.90 | 17.60 | 14.20 | 51.50 | 15.70 | 25.00 | |||
Sm | 7.90 | 10 | 10.1 | 3.90 | 3.20 | 5.00 | 3.70 | 10.30 | 4.20 | 5.80 | |||
Eu | 2.62 | 3.11 | 3.16 | 1.47 | 1.21 | 1.76 | 1.36 | 3.17 | 1.47 | 1.93 | |||
Yb | 3.24 | 3.33 | 3.25 | 3.19 | 3.07 | 4.43 | 2.78 | 4.63 | 3.23 | 3.27 | |||
Ce/Y | 1.51 | 0.00 | 2.62 | 2.63 | 0.46 | 0.55 | 0.64 | 0.87 | 2.00 | 0.78 | 1.78 | 2.78 | 3.78 |
Ba/Nb | 18.80 | 15.53 | 9.31 | 10.56 | 11.27 | 13.85 | 11.48 | 10.93 | 13.14 | 5.61 | 5.89 | ||
Zr/Nb | 9.44 | 11.00 | 7.80 | 7.58 | 17.24 | 9.10 | 8.60 | 7.54 | 4.55 | 8.80 | 6.31 | 6.56 | 6.14 |
La/Yb | 8.64 | 9.91 | 9.85 | 1.97 | 2.54 | 2.93 | 4.32 | 10.58 | 4.33 | 8.26 | |||
Ce/Pb | 24.80 | 19.47 | 24.19 | 26.67 | 45.00 | 20.00 | 9.64 | 21.40 | 17.06 | 33.75 | |||
U/Th | 0.27 | 0.24 | 0.26 | 0.53 | 0.24 | 0.21 | 0.22 | 0.14 | 0.21 | 0.37 | |||
La/Sm | 3.54 | 3.30 | 3.17 | 1.62 | 2.44 | 2.60 | 3.24 | 4.76 | 3.33 | 4.66 | |||
Sm/Y | 0.19 | 0.29 | 0.31 | 0.11 | 0.10 | 0.11 | 0.12 | 0.22 | 0.11 | 0.16 | |||
Nb/Y | 0.61 | 0.68 | 1.03 | 1 | 0.17 | 0.27 | 0.32 | 0.42 | 1.26 | 0.41 | 0.78 | 0.59 | 0.65 |
Ка | 0.48 | ||||||||||||
Ко | 0.902 | 0.59 | 0.61 | ||||||||||
Na2O/K2O | 5.37 | 6.89 | 4.32 | 3.75 | 12.65 | 11.57 | 6.38 | 5.35 | 1.71 | 5.22 | 1.65 | 31.22 | 4.48 |
Nb/U | 30.49 | 28.46 | 24.26 | 15.68 | 42.38 | 40.54 | 38.24 | 46.40 | 34.09 | 34.09 | 34.09 | 34.09 | |
Th/U | 3.76 | 4.22 | 3.79 | 1.89 | 4.19 | 4.68 | 4.59 | 6.99 | 4.75 | 4.75 | 4.75 | 4.75 |
Примечание. Б — базальт, Бн — базанит, ТБ — трахибазальт, Тф — тефрит, ТфБн — тефробазанит, Тфн — тефрофонолит, дифБ — дифференцированный базальт, Ка — коэффициент агпаитности Al2O3/(Na2O+K2O), Ко — коэффициент окисленности по общему железу Fe2O3/(Fe2O3+FeO).
Восточная (корневая) часть хребта представлена наиболее древними (102 млн лет) толеитовыми базальтами скв. 530 (табл. 1), принадлежащими к натриевой серии (Na2O/K2O>4%). Характерно высокое содержание MgO (свыше 8%). Более молодые мел-палеогеновые вулканиты фундамента центральной части Китового хребта представлены базальтами (скважины 525, 527), базанитами, трахибазальтами (скв. 528). Базальты в основном принадлежат к натриевой серии, щелочные базальты выделяются более высоким содержанием K2O (табл. 1). Судя по разбросу содержания MgO (1.51 до 5.2%), базальты гребня хребта (скв. 525) отличаются более дифференцированным составом от базальтов склоновой части (скважины 528, 527), причем последние характеризуются сходными значениями содержания MgO (5.77–7.39%) с базальтами Этендеки (MgO 6.59–7.32%), что может указывать на близкую степень плавления этих пород (табл. 1, 2). Вулканит ст. 1695–1 в западной части хребта представлен трахитом по содержанию основных оксидов, соотношению Na2O/K2O (0.9–0.94) и коэффициенту агпаитности (0.65–0.92) близок к эоценовым трахитам скв. 359 и трахитам о. Тристан-Да-Кунья. Высокий коэффициент окисленности (Fe2O3/(Fe2O3+FeO) = 0.9) и присутствие глинистых минералов указывает на подводные процессы выветривания [12]. Повышенное содержание MnO (0.48–0.5) в сравнении с трахитами о. Тристан-Да-Кунья и тефрой скв. 359 при учете вышеприведенных данных может свидетельствовать о вторичных изменениях в результате гидротермальной деятельности и гальмиролиза.
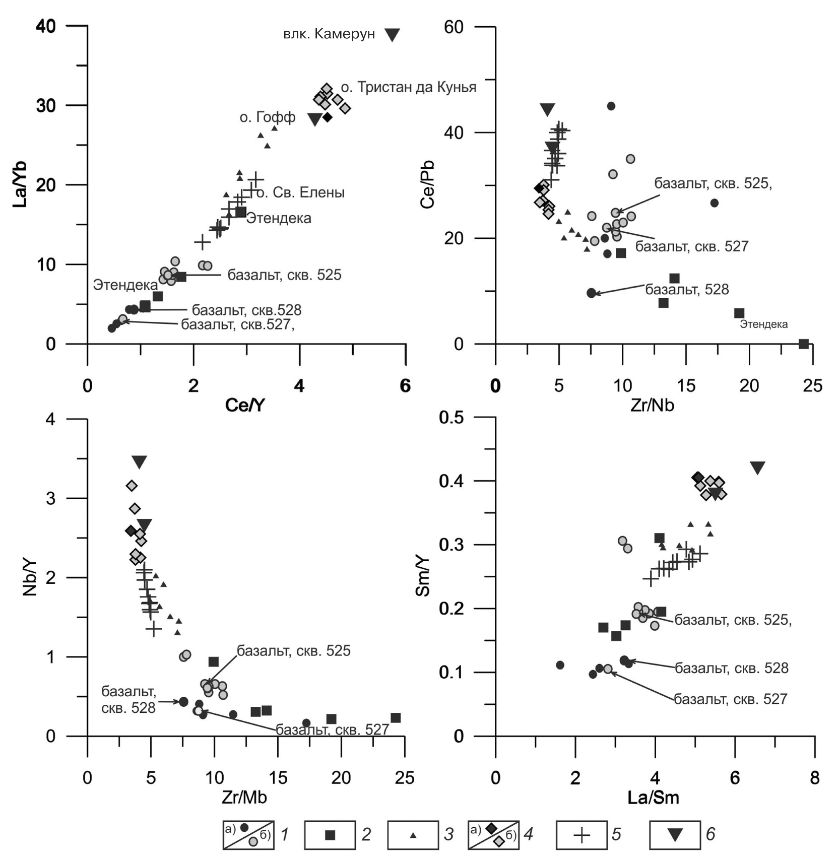
На рис. 5 для определения относительной глубины формирования магматического очага и степени обогащения несовместимыми микроэлементами приведено сравнение индикаторных отношений в базальтах Китового хребта с вулканитами ближайшей плюмовой («горячая» Камерунская линия) и континентальной (провинция Этендека) геодинамическими обстановками. Из анализа рис. 5 следует несколько выводов.
Рис. 5. Состав базальтов Китового хребта. 1 — базальты Китового хребта.
(а) — базальты скв. 527 (MgO>6%, Na2O+K2O<5%), (б) — базальты скв. 525 (MgO<6%, LOI (3.09–7.98%)); 2 — базальты провинции Этендека (MgO>6%, Na2O+K2O<5%, Cr>200 ppm); 3 — примитивные базальты о. Гофф; 4 — вулканиты о. Тристан-Да-Кунья: (а) — измененный базальт, (б) — базаниты; 5 — примитивные базальты, базаниты и пикробазальты о. Св. Елены; 6 — примитивные базальты влк. Камерун.
- Вулканиты центральной части Китового хребта по содержанию Ce/Pb занимают пограничное положение между базальтоидами Камерунской горячей линии, о. Тристан-Да-Кунья, о. Гофф, с одной стороны, и континентальными платобазальтами провинции Этендеки — с другой. Базальты скважин 527 и 528, где содержание Ce/Pb меньше 25, близки к полю аналогичных базальтов Этендеки.
- По степени обогащения несовместимыми микроэлементами, глубине плавления вулканиты центральной части Китового хребта близки к базальтам Этендеки и отличаются от океанических базальтов MORB. Судя по величине отношения Ce/Y [63, 66], глубина выплавления базальтов Китового хребта и траппов Этендеки несколько меньше (0.72–2.88), чем у базанитов о-ва Тристан-Да-Кунья (4.55–4.96). Выплавление плюмовых базальтов Камерунской линии происходило на большей глубине, с последовательным ее увеличением в сторону континентальной плиты: Ce/Y изменяется от 3.3 в базальтах о-ва Пагалу до 4.3–5.76 — в породах вулкана Камерун [22, 37, 63], что близко к аналогичным показателям базанитов о. Тристан-Да-Кунья. Такое же различие в глубинности магматизма обоих хребтов показывает сопоставление соотношений La/Sm–Sm/Y. В Камерунском хребте эти соотношения таковы: в Пагалу La/Sm около 3.5; Sm/Y 0.46; в базальтах и базанитах вулк. Камерун La/Sm от 5.52 до 6.58, а Sm/Y — от 0.38 до 0.42, что означает присутствие около 1% граната в источнике выплавления лав. Подобные повышенные соотношения наблюдаются и для базальтов Тристан-Да-Кунья. Базальты скважин 527, 528 и 525 по диапазонам отношений 1.62–3.54 для La/Sm и около 0.1–0.19 для Sm/Y близки к базальтам Этендеки. Данные величины отношений указывают на отсутствие граната в источнике выплавления, т. е. эти базальты формировались в магмах менее глубинных, нежели вулканиты о. Тристан-Да-Кунья и вулк. Камерун.
- В соответствии с глубинами выплавления варьирует и величина степени плавления субстрата, что отражено в вариациях отношения Zr/Nb. В более глубинных расплавах Камерунского хр. величина этого отношения наиболее постоянна — 4.08–4.49; в Пагалу разброс значений больше — до 7.52. Величина Zr/Nb в базальтах Китового хребта варьирует в широких пределах — от 7.54 до 17.24, в базальтах плато Этендека — от 9.66 до 19.22. При этом ряд базальтов дифференцированного состава скв. 525 по степени плавления близки к плюмовым примитивным базальтам о. Гофф, в то время как базальты скв. 527 имеют низкую степень плавления, сравнимую с базальтами Этендеки.
- По степени обогащенности несовместимыми микроэлементами базальты Китового хребта и Камерунской линии различаются особенно значительно. Отношение La/Yb, принятое в качестве показателя этого признака в расплавах, варьирует от величин 1.97–16.54 в базальтах Китового хр. и плато Этендека до 28.8–39 в базальтоидах вулкана Камерун (табл. 2). В базальтах СОХ эта величина не более 1–3, что характерно для базальтов cкв. 527.
Таблица 2. Состав вулканитов горячей точки Тристан (о-ва Тристан-да-Кунья, Гофф) [55] и вулканитов Камерунской линии ( влк. Камерун, о. Пагалу) [21, 24, 39, 66] и вулканитов и пеплов западной части Китового хребта [12, 25, 64]
Скв., районы | о. Гофф | о. Св. Елена | о. Тристан-да-Кунья | влу. Камерун | пров. Этендека | о. Пагалу | зап. часть Китового хребта | 359 | |||||
Обр. | Сред. (7) | Сред. (2) | Сред. (7) | Сред. (7) | Сред. (8) | TM160 | TM1b | KLS 100 | KLS 554 | AN7 | 1695-1 (центр) | 1635-1 (корка) | |
Тип породы | Б | Б | Бн | Тф | Т | ТфБн | Б | Б | Б | Б | Тфн | Тфн | Т |
SiO2 | 46.66 | 45.10 | 44.07 | 45.56 | 60.97 | 41.85 | 45.23 | 50.43 | 51.50 | 47.38 | 58.05 | 51.26 | 62.41 |
TiO2 | 3.10 | 2.94 | 3.70 | 3.36 | 0.65 | 3.46 | 3.62 | 1.15 | 3.28 | 3.61 | 0.90 | 0.86 | 0.72 |
Al2O3 | 12.56 | 14.50 | 15.79 | 16.54 | 18.03 | 11.97 | 15.32 | 16.03 | 13.04 | 13.95 | 12.21 | 15.51 | 19.03 |
FeO | 9.40 | 9.91 | 10.08 | 8.91 | 4.84 | 12.79 | 0.48 | 0.48 | 0.87 | ||||
Fe2O3 | 1.84 | 1.94 | 1.97 | 1.75 | 6.18 | 11.46 | 2.19 | ||||||
FeO* | 11.07 | 11.88 | |||||||||||
Fe2O3* | 13.88 | 12.89 | |||||||||||
MnO | 0.15 | 0.18 | 0.17 | 0.18 | 0.15 | 0.21 | 0.19 | 0.17 | 0.17 | 0.14 | 0.50 | 0.48 | 0.06 |
MgO | 10.63 | 7.83 | 5.40 | 4.49 | 0.78 | 10.00 | 6.34 | 7.32 | 6.59 | 6.38 | 0.10 | 2.64 | 0.47 |
CaO | 8.12 | 10.41 | 10.24 | 9.59 | 1.82 | 12.07 | 11.15 | 10.71 | 8.85 | 9.46 | 3.39 | 0.85 | 0.86 |
Na2O | 2.30 | 2.60 | 3.36 | 3.79 | 5.76 | 3.78 | 2.08 | 2.19 | 2.70 | 2.49 | 5.36 | 4.90 | 5.65 |
K2O | 1.93 | 0.99 | 2.48 | 3.05 | 6.37 | 1.42 | 1.45 | 0.82 | 1.52 | 1.77 | 5.82 | 5.22 | 6.38 |
P2O5 | 0.55 | 0.51 | 0.92 | 0.91 | 0.27 | 0.79 | 0.69 | 0.11 | 0.47 | 0.75 | 0.30 | 2.12 | 0.13 |
LOI | 1.17 | 1.97 | 0.36 | 0.17 | 0.38 | 1.50 | 2.72 | 2.25 | |||||
Ba | 674.43 | 281.50 | 817.71 | 910.71 | 300.00 | 528.90 | 460.80 | 191.00 | 602.00 | 675.00 | |||
Rb | 41.97 | 19.85 | 60.39 | 10.00 | 167.00 | 45.15 | 185.17 | 19.90 | 25.30 | 33.80 | 32.20 | 41.20 | |
Sr | 710.00 | 572.50 | 1297.29 | 1345.14 | 140.25 | 1163.00 | 6.23 | 250.00 | 644.00 | 713.00 | 752.00 | 815.00 | |
Ta | 2.56 | 3.12 | 4.76 | 5.48 | 8.07 | 27.63 | 0.30 | 1.60 | |||||
Nb | 42.37 | 50.70 | 75.86 | 88.24 | 150.50 | 113.80 | 125.00 | 5.36 | 29.10 | 52.00 | 53.00 | 71.00 | |
Zr | 257.86 | 243.00 | 295.00 | 332.71 | 830.75 | 464.70 | 360.30 | 104.50 | 281.00 | 405.00 | |||
Y | 25.77 | 28.55 | 30.07 | 31.16 | 34.21 | 32.98 | 30.28 | 24.80 | 30.80 | 32.00 | |||
Th | 4.23 | 3.73 | 7.82 | 9.69 | 9.47 | 6.90 | 2.70 | 4.26 | 5.00 | ||||
U | 0.86 | 1.07 | 1.90 | 2.24 | 2.45 | 1.87 | 0.44 | 1.06 | 1.21 | ||||
Pb | 3.74 | 2.16 | 5.09 | 6.12 | 4.29 | 3.52 | 4.55 | 5.15 | 3.53 | ||||
La | 38.24 | 35.45 | 63.73 | 74.31 | 125.00 | 91.40 | 63.51 | 11.90 | 39.70 | 51.00 | |||
Ce | 78.43 | 76.65 | 136.86 | 154.57 | 185.17 | 189.80 | 130.10 | 26.80 | 88.80 | 119.00 | |||
Cr | 413.71 | 241.00 | 16.29 | 7.00 | 6.23 | 414.20 | 124.60 | 119.00 | 258.00 | 338.00 | |||
Ni | 295.43 | 113.00 | 17.29 | 6.14 | 3.55 | 183.40 | 59.51 | 49.20 | 171.00 | 180.00 | |||
Nd | 40.23 | 37.70 | 68.14 | 72.79 | 74.33 | 82.15 | 61.13 | 15.70 | 47.10 | 47.19 | |||
Sm | 8.00 | 7.67 | 11.86 | 12.27 | 13.89 | 11.51 | 3.91 | 9.61 | 14.66 | ||||
Eu | 2.57 | 2.51 | 3.59 | 3.69 | 4.20 | 3.46 | 1.26 | 3.00 | |||||
Yb | 1.72 | 2.17 | 2.06 | 2.21 | 2.35 | 2.25 | 2.56 | 2.40 | |||||
Ce/Y | 3.04 | 2.68 | 4.55 | 4.96 | 5.76 | 4.30 | 1.08 | 2.88 | 3.72 | ||||
Ba/Nb | 15.92 | 5.55 | 10.78 | 10.32 | 1.99 | 4.65 | 3.69 | 35.63 | 20.69 | 12.98 | |||
Zr/Nb | 6.09 | 4.79 | 3.89 | 3.77 | 5.52 | 4.08 | 2.88 | 19.50 | 9.66 | 7.79 | |||
La/Yb | 22.27 | 16.34 | 30.94 | 33.69 | 38.89 | 28.23 | 4.65 | 16.54 | |||||
Ce/Pb | 20.99 | 35.49 | 26.87 | 25.24 | 44.24 | 36.96 | 5.89 | 17.24 | 33.71 | ||||
U/Th | 0.20 | 0.29 | 0.24 | 0.23 | 0.26 | 0.27 | 0.16 | 0.25 | 0.24 | ||||
La/Sm | 4.78 | 4.62 | 5.37 | 6.06 | 6.58 | 5.52 | 3.04 | 4.13 | 3.48 | ||||
Sm/Y | 0.31 | 0.27 | 0.39 | 0.39 | 0.42 | 0.38 | 0.16 | 0.31 | 0.46 | ||||
Nb/Y | 1.64 | 1.78 | 2.52 | 2.83 | 4.40 | 3.45 | 4.13 | 0.22 | 0.94 | 1.63 | |||
Ка | 0.41 | 0.67 | 0.43 | 0.92 | 0.65 | 0.63 | |||||||
Ко | 0.16 | 0.16 | 0.16 | 0.16 | 0.93 | 0.96 | 0.72 | ||||||
Na2O/K2O | 1.19 | 2.64 | 1.35 | 1.25 | 0.90 | 2.66 | 1.43 | 2.67 | 1.78 | 1.41 | 0.92 | 0.94 | 0.89 |
Nb/U | 49.11 | 47.61 | 39.86 | 39.42 | 46.45 | 66.84 | 12.21 | 27.45 | 42.98 | ||||
Th/U | 4.90 | 3.50 | 4.11 | 4.33 | 3.87 | 3.69 | 6.15 | 4.02 | 4.13 | ||||
Примечание. Б — базальт, Бн — базанит, ТБ — трахибазальт, Тф — тефрит, ТфБн — тефробазанит, Тфн — тефрофонолит, дифБ — дифференцированный базальт, Ка — коэффициент агпаитности Al2O3/(Na2O+K2O), Ко — коэффициент окисленности по общему железу Fe2O3/(Fe2O3+FeO).
Такая картина распределения микроэлементов указывает на формирование мел-палеоценовых базальтов центральной части Китового хребта в малоглубинных дифференцированных по составу очагах, в сходных (частично) условиях с базальтами Этендеки. Неоген-четвертичные базальты «горячих точек» о. Тристан-Да-Кунья и о. Гофф формировались в других условиях.
Спайдерграмма на рис. 6 иллюстрирует особенности выплавления базальтов центральной части хребта в сравнении с «океанической» и «континентальной» обстановками формирования вулканитов. «Океаническая» обстановка определена достаточно широким диапазоном состава базальтов — от N-MORB до E-MORB и плюмовых базальтов OIB, связанных с проплавлением тонкой океанической коры в результате действия плюмового пера. «Континентальные» условия определены доминирующим плавлением корового материала континентальных плит, что отражается на распределении микроэлементов, и представлены соответствующими полями на спайдерграммах. Из рис. 6 видно, что по распределению микроэлементов базальты Китового хребта отличаются от базальтов «океанического» типа N-MORB (рис. 6а). При сравнении с полями «океанической» обстановки Южной Атлантики (поля OIB-E-MORB) отмечены нехарактерные минимумы Nb-Ta, заметный максимум Ba, Sr (в особенности это заметно в базальтах скважин 525 и 528). В базальтах скважин 527 и 528 отмечены максимумы U. Подобное распределение микроэлементов в совокупности в ряде случаев с максимумом Pb может также указывать на присутствие в очаге плавления примеси материала континентальной коры, но, учитывая подвижность U и Pb при постмагматических изменениях, данное утверждение нуждается в дополнительном обосновании.
Рис. 6. Распределение микроэлементов в базальтах и базанитах Китового хребта.
(а)– базальты Китового хребта, (б) — вулканиты островов и влк. Камерун, (в) — вулканиты континентальной обстановки. 1 — базальты скв. 527, 2 — базальт скв. 528, 3 — трахибазальт скв. 528, 4 — измененные базальты скв. 525, 5 — примитивные базальты влк. Камерун, 6 — базаниты о. Тристан-Да-Кунья, 7 — примитивные базальты о. Гофф, 8 — базальты о. Св. Елена, 9 — базальты провинции Этендека (Южная Африка),10 — базальты провинции Парана (Южная Америка), 11 — базальты возв. Рио-Гранде. Полями отмечены характерные геотектонические обстановки: океаническая: N-MORB-E-MORB, E-MORB-OIB; континентальная: нижняя кора — верхняя кора — МКП (Мега континентальный плюм).
На рис. 6б представлены примитивные базальты о. Гофф, базаниты островов Тристан-Да-Кунья и примитивные базальты Камерунской вулканической линии (о. Св. Елена, вулк. Камерун). Видно, что общее распределение микроэлементов, а также характерные максимумы Nb, Ta, Sr, Zr соответствуют «океанической» обстановке и иллюстрируют близость пород плюма Тристан и Елена к базальтам типа E-MORB. Сравнение с вулканитами центральной части хребта (скважины 527, 528 и 525) подчеркивает отличие последних, как видно по рис. 6а. Это еще раз указывает на иные условия для выплавления базальтов хребта, нежели для вулканитов о. Тристан-Да-Кунья, сформированных под непосредственным воздействием плюма на тонкую океаническую кору.
Для сравнения на рис. 6в показаны вулканиты континентальной обстановки. Характерный минимум Nb-Ta, максимум Pb, U иллюстрирует процесс вовлечения в плавление корового континентального материала. Интересно, что дифференцированные базальты гребня хребта скважин 525, 528 и толеиты Рио-Гранде также обладают схожестью в распределении микроэлементов с континентальными вулканитами Параны и Этендеки. Учитывая предположительно малую глубину выплавления базальтов хребта и Этендеки (рис. 5), наличие пика Pb и U в ряде проб, а также разброс значений отношения Zr/Nb (рис. 5), который нехарактерен для плюмовых пород океанической обстановки, можно предположить, что вулканиты центральной части Китового хребта несут в себе признаки контаминации коровым материалом, и их формирование связано с проплавлением континентальной коры. Возможно, такие же процессы характерны и для базальтов возв. Рио-Гранде.
Таким образом, по данным петрохимии и содержанию микроэлементов, степень и глубина плавления неоген-современных вулканитов Тристан-Да-Кунья и палеогеновых базальтов центральной части хребта различны. Разные глубины очагов плавления под западной и восточной частями хребта, геохимические характеристики предполагаемых источников указывают на различные механизмы формирования этих вулканитов: мелкофокусный мел-палеогеновый магматизм центральной части, имеющий даже косвенные признаки участия в плавлении корового материала [15], и непосредственно прожиг плюмом сформировавшейся уже на тот момент океанической коры в неоген-четвертичное время при развившейся спрединговой зоне в Южной Атлантике. В этом случае надо говорить о непосредственном влиянии плюма Тристан только на малоизученную западную часть хребта. Это частично подтверждается анализами трахита ст. 1695-1 и вулканических туфов в скв. 359 (табл. 1, рис. 4): эти пробы приурочены к полю высокощелочных калиевых трахитов о. Тристан-Да-Кунья [23].
Подробно изотопный состав базальтов рассматривается в работах Ричардсона, Гибсона, Сальтерса, Хернли [25, 28, 51, 53]. На рис. 7 представлена диаграмма соотношений 87Sr/ 86Sr– 144Nd/ 143Nd в вулканитах разных геодинамических обстановок исследуемого региона, которые охватывают зоны континентов (провинции Парана и Этендека, влк. Камерун), их окраин (частично Китовый хребет, возв. Риу-Гранди), океанических островов (острова Тристан-да-Кунья, Гофф, о. Св. Елены) и САХ (данные взяты из электронной базы данных «EarthChem» [21]). Показано место вулканитов предполагаемого следа плюма Тристан в общей мантийной последовательности и их положение относительно следов плюма Камерунской линии (влк. Камерун, о. Св. Елены, о. Пагалу). Надо отметить, что сравнение изотопных соотношений Sr и Nd в сильно дифференцированных породах, принадлежащих разным геотектоническим обстановкам, не всегда корректно. В этом случае причины характерной корреляции изотопных отношений могут быть разнообразными: образование магм из исходных пород с различными отношениями Rb/Sr, Sm/Nd; контаминация материалом древней сиалической коры путем ассимиляции коровых пород магмой, ведущей свое начало из мантии; плавление гетерогенных фрагментов коры, а также смешение магм, возникших из разных источников и т. п. [10]. Для иллюстрации предполагаемых процессов смешения магм на диаграмме отображены как основные системообразующие конечные компоненты мантийного тетраэдра (BSE, EMI, EMII, HIMU, DM), так и результирующие компоненты, образовавшиеся в процессе переплавления и смешения исходных (FOZO, PREMA, F, C). Данная диаграмма показывает некую общность вулканитов Китового хребта, о. Тристан-Да-Кунья, возв. Риу-Гранди с континентальными вулканическими провинциями Парана и Этендека и их обособление от плюмовых базальтов Камерунской линии. Можно предположить, что вулканиты предполагаемого следа плюма Тристан имеют общий мантийный резервуар — результат переплавления компонентов EMI и FOZO, близкий по составу к BSE. Вулканиты центральной части Китового хребта приурочены к этой группе. След же Камерунской «горячей точки» (о. Св. Елены, Пагалу, влк. Камерун), возраст базальтов которой изменяется от верхнего мела до палеогена, характеризуется более высоким изотопным соотношением 144Nd/ 143Nd, низким 87Sr/ 86Sr и явно тяготеет к области более обогащенных компонентов: к HIMU [28] и ряду других мантийных компонентов, включая тот же FOZO, которые в свою очередь можно назвать результатом смешения материалов с участием деплетированной (область САХ) мантии [4]. В данной группе находятся более древние (102 млн лет) базальты скв. 530, что может косвенно подтверждать существование в среднем-позднем мелу под корневой частью Китового хребта магматического очага, сходного по изотопному составу с САХ. Вероятно, этому способствовало формирование вдоль северной границы этой части хребта трансформного разлома, генетически связанного с начавшимися с раннего мела спрединговыми процессами и формированием океанической коры под хребтом [4].
Рис. 7. Изотопный состав базальтов Китового хребта, плюма Тристан и Камерун.
1 — базальты провинций Этендека (Южная Африка); 2 — базальты о. Тристан-Да-Кунья; 3 — базальты Китового хребта: (а) — базальты центральной части (скважины 525–528), (б) — базальты восточной части (530), 4 — базальты вулканической провинции Парана (Южная Америка), 5 — базальты возв. Рио-Гранде, 6 — базальты Камерунской вулканической линии: (а) — западная часть (о. Св. Елены), (б) — восточная часть (влк. Камерун, о. Пагалу), 7 — базальты САХ (11–19° ю. ш.).
Таким образом, мы получаем обобщенную картину развития Китового хребта. Со временем процесс раскола Гондваны спровоцировал развитие систем разломов и трещин в континентальной коре, которые привели к развитию декомпрессионных очагов плавления. В течение мела и палеогена плюм Тристан, видимо, опосредованно участвовал в формировании пород Китового хребта: обогащая своим материалом очаги плавления, возникшие в деформированной коре. Этому способствовало утонение коры и возникновение литосферных напряжений, в особенности в более древних ослабленных зонах [4]. Именно этот период характеризовался интенсивным вулканизмом Китового хребта [35], формированием его главных вулканических областей (хребет Фрио, банка Вальдивия) и подводных гор в центральной его части. Это подтверждает анализ распределения вулканических пеплов в осадках хребта и их сравнение с известными датировками вулканического фундамента (рис. 8) [2]. Первоначальная близость спрединговой зоны и образование трансформных разломов этого периода объясняют формирование в корневой части хребта базальтов, близких по геохимическому и изотопному составу к САХ. Роль плюма Тристан в этот период можно рассматривать как вспомогательную; основным фактором формирования Китового хребта было литосферное растяжение. В дальнейшем развитие спрединговых процессов изменило тектоническую обстановку. Формирование более тонкой океанической коры позволило «угасающему» на тот момент плюму Тристан (рис. 8) сформировать западную часть хребта, так отличающуюся от центральной и восточной по морфологическим и геофизическим признакам (см. выше) и представленную вулканическими горами, гайотами. Таким образом, начиная с эоцена до современного времени основными факторами, повлиявшими на историю хребта, становятся спрединговые процессы и активность (хоть и слабая) плюма Тристан.
Рис. 8. Распределение прослоев вулканокластики в осадках Китового хребта по данным скважин глубоководного бурения и количество датировок пород фундамент Китового хребта по данным глубоководного бурения.
ВЫВОДЫ
В итоге проделанной работы были сделаны следующие выводы.
- Под Китовым хребтом в мелу-палеогене и в неоген-четвертичное время формировались отличающиеся друг от друга очаги плавления. При этом в мелу и в палеогене магматический очаг был ближе к поверхности и включал в себя материал как деплетированной, так и обогащенной мантии. Процессы же контаминации коровым материалом можно рассматривать довольно условно, т. к. сами базальты хребта содержат признаки постмагматических изменений. Вулканиты восточной и центральной частей Китового хребта формировалась в условиях, близких к трещинным декомпрессионным проявлениям в результате сдвигово-раздвиговых дислокаций, что отличает их от более глубинных вулканитов гипотетического плюма Тристан, представленного островами Тристан-да-Кунья и Гофф в западной части хребта.
- Сравнение опубликованных данных сейсмопрофилирования, динамики вулканизма хребта с вышеприведенным анализом химического состава его вулканитов позволяет предположить, что мощность плюма Тристан не могла быть настолько высокой, чтобы сыграть основополагающую роль в формировании Китового хребта. С течением времени активность плюма Тристан уменьшалась, и в полной мере он проявил себя в последние 40 млн лет, когда мощность образованной более тонкой океанической коры позволила плюму сформировать западную часть Китового хребта, состоящую из гайотов и имеющую отличающийся от центральной и восточной частей характер магнитных аномалий.
Благодарности. Авторы благодарят сотрудника лаборатории геологии Атлантики к. г.-м. н. Е. А. Чернышеву за помощь в интерпретации геохимических данных.
Источник финансирования. Анализ и обобщение литературных данных по химическому составу вулканитов выполнены в рамках госзадания ИОРАН (тема № 0149-2014-0018, № 0149-2019-0013). Анализ тектонической обстановки и палеореконструкция условий формирования Китового хребта выполнены при поддержке гранта РНФ № 14-50-00095.
About the authors
D. V. Eroshenko
Shirshov Institute of Oceanology, RAS
Author for correspondence.
Email: eroshenko@atlas.baltnet.ru
Russian Federation, Moscow
G. S. Kharin
Shirshov Institute of Oceanology, RAS
Email: eroshenko@atlas.baltnet.ru
Russian Federation, Moscow
References
- Артамонов А. В., Золотарев Б. П. Тектоника и магматизм внутриплитных океанических поднятий и гипотеза «горячих точек» // Геотектоника. 2008. № 1. С. 77-96.
- Ерошенко Д. В., Харин Г. С. Вулканокаластика Китового хребта // Океанология. 2018. Т. 58. № 2. С. 316-330.
- Ерошенко Д. В., Харин Г. С. Динамика вулканизма Китового хребта // Геология морей и океанов. Материалы XXI Международной научной конференции (Школы) по морской геологии «Геология морей и океанов». Т. 1. М.: ГЕОС, 2015. С. 125-129.
- Захаров М. В., Береснев А. Ф., Саидов А. Ю., Ефимов В. Н. Осадочный чехол и акустический фундамент // Геолого-геофизические исследования асейсмичных поднятий дна океана. М.: Наука, 1986. С. 13-31.
- Интерпретация геохимических данных: Учеб. пособие / Под ред. Склярова Е. В. М.: Интернет Инжиниринг, 2001. 288 с.
- Пейве А. А. Подводные горы востока южной Атлантики: происхождение и соотношение с мезозойско-кайнозойскими магматическими структурами Западной Африки // Геотектоника. 2011. № 3. С. 31-47.
- Пейве А. А. Щелочной вулканизм поднятия Риу-Гранде (Южная Атлантика) // Докл. РАН. 2005. Т. 401. № 6. С. 794-798.
- Пейве А. А., Сколотнев С. Г., Лиджи М. и др. Исследования зоны трансформного разлома Эндрю Бейн (Африкано-Антарктический регион) // Докл. РАН. 2007. Т. 416. № 1. С. 77-80.
- Удинцев Г. Б. Строение дна Южной Атлантики и место в ней Китового хребта // Геолого-геофизические исследования асейсмичных поднятий дна океана. М.: Наука, 1986. С. 54-61.
- Фор Г. Основы изотопной геологии. М.: Мир, 1989. 590 с.
- Хаин В. Е. Тектоника континентов и океанов. М.: Научный мир, 2001. 606 с.
- Харин Г. С. О роли гальмиролиза и гидротермального выщелачивания в поступлении рудного вещества в океан // Геохимия. 1978. № 7. С. 1040-1055.
- Школьник С. И., Резницкий Л. З., Беличенко В. Г., Бараш И. Г. Геохимия, вопросы петрогенезиса и геодинамическая типизация метавулканитов Тункинского террейна (Байкало-Хубсугульский регион) // Геология и геофизика. 2009. Т. 50. № 9. C. 1013-1024.
- Baker P. E., Gass I. G., Harris P. G., Le Maitre R. W. The Volcanological report of the royal society expedition to Tristan Da Cunha // Phil. Trans. Roy. Soc. Mathematical and Physical Sciences. 1962. V. 256. Is. 1075. P. 439-575.
- Class C., le Roex A. Continental material in the shallow oceanic mantle — How does it get there? // Geology. 2006. V. 34. № 3. P. 129-132; doi: 10.1130/G21943.1.
- Cliff R. A., Baker P. E., Mateer N. J. Geochemistry of inaccessible island volcanics // Chemical Geology. V. 92. P. 251-260.
- Dietrich V. J., Carman M. F., Wyttenbach A., McKee E. H. Geochemistry of basalts from holes 519a, 520, 522b, and 524, Deep-Sea Drilling Project Leg 73 (South Atlantic) // Initial Reports of the Deep Sea Drilling Project. 1984. V. 73. P. 579-601.
- Dingle R. V., Simpson E. S. W. The Walvis Ridge: a review // Geodynamics: Progress and Prospects. 1976. V. 5. P. 160-176.
- EarthChem. Database. http: // www.earthchem.org.
- Ewart A., Milner S. C., Armstrong R. A., Duncan R. A. Etendeka volcanism of the Goboboseb Mountains and Messum igneous complex, Namibia, part 1. Geochemical evidence of early creataceous Tristan plume melts and the role of crustal contamination in the Paraná-Etendeka CFB // J. Petrol. 1998. V. 39 (2). P. 227-253.
- Ewart A., Marsh J. S., Milner S. C. et al. Petrology and Geochemistry of Early Cretaceous Bimodal Continental Flood Volcanism of the NW Etendeka, Namibia. Part 1: Introduction, Mafic Lavas and Reevaluation of Mantle Source Components // J. of Petrology. 2004. V. 45. № 1. P. 59-105. doi: 10.1093/petrology/egg083.
- Fitton J. G., Dunlop H. M. The Cameroon line, West Africa, and its bearing on the origin of oceanic and continental alkaline basalt // Earth Planet. Sci. Lett. 1985. V. 72. P. 23-38.
- Fodor R. V., Keil K., Husler J. W., McKee E. H. Petrology and K-Ar age of volcanic tuff and ash from the Walvis Seamount Province, DSDP Site 359, Leg 39 // Initial Reports of the Deep Sea Drilling Project. 1977. V. 39. P. 525-536.
- Fromm T. The crustal structure of the eastern Walvis Ridge. A classical hotspot example? Dissertation zur Erlangung des Doktorgrades der Naturwissenschaften. Alfred-Wegener-Institut für Polar- und Meeresforschung, Bremerhaven, 2015. 182 p.
- Gibson S. A., Thompson R. N., Day J. A. Timescales and mechanisms of plume-lithosphere interactions: 40Ar/39Ar geochronology and geochemistry of alkaline igneous rocks from the Paraná-Etendeka large igneous province // Earth and Planetary Science Letters. 2006. V. 251. P. 1-17.
- Gibson S. A., Thompson R. N., Day J. A. et al. Melt-generation processes associated with the Tristan mantle plume: constraints on the origin of EM-1 // Earth and Planetary Science Letters. 2005. V. 237 (3-4). P. 744-767. doi: 10.1016/j.epsl.2005.06.015.
- Hay W. W., Sibuet J.-C. et al. Site 530 // Initial Reports of the Deep Sea Drilling Project. 1984. V. 75. P. 29-286.
- Hoernle K., Rohde J., Hauff1 F. et al. How and when plume zonation appeared during the 132 Myr evolution of the Tristan Hotspot // Nature communications. 27 Jul 2015. doi: 10.1038/ncomms8799.
- Hsü K. J., LaBrecque J. L. et al. Site 519 // Initial Reports of the Deep-Sea Drilling Project. 1984. V. 73. P. 27-94.
- Hsü K. J., LaBrecque J. L. et al. Site 520 // Initial Reports of the Deep -Sea Drilling Project. 1984. V. 73. P. 95-136.
- Hsü K. J., LaBrecque J. L. et al. Site 522 // Initial Reports of the Deep -Sea Drilling Project. 1984. V. 73. P. 186-270.
- Hsü K. J., LaBrecque J. L. et al. Site 524 // Initial Reports of the Deep -Sea Drilling Project. 1984. V. 73. P. 323-386.
- Humphris S. E., Thompson G. Geochemistry of rare earth elements in basalts from the Walvis Ridge: implications for its origin and evolution // Earth Planet. Sci. Lett. 1983. № 66. P. 223-242.
- Humphris S. E., Thompson G. Petrology and geochemistry of rocks from the Angola basin adjacent to the Walvis Ridge: Deep-Sea Drilling Project Leg 75, Site 530 // Initial Reports of the Deep-Sea Drilling Project, 1984. V. 74. P. 1099-1105.
- Kukkulus M. A quantitative approach to the evolution of the central Walvis Basin offshore NW-Namibia: structure, mass balancing, and hydrocarbon potential. Dissertation zur Erlangung des naturwissenschaftlichen Doktorgrades der Bayerischen Julius-Maximilians-Universität Würzburg. Würzburg, 2004. 186 p.
- Le Roex A. P., Cliff R. A., Adair B. J. I. Tristan Da Cunha, South Atlantic: geochmistry and petrogenesis of a basanite-phonolite lava series // J. Petrol. 1990. V. 31. Iss. 4. P. 779-812. doi: 10.1093/petrology/31.4.779.
- Lee D.-C., Halliday A. N., Fitton J. G., Poli G. Isotopic variations with distance and time in the volcanic islands of the Cameroon line: evidence for a mantle plume origin // Earth and Planetary Science Letters. 1994. № 123. P. 119-138.
- Liu Y.-G., Schmitt R. A. Chemical profiles in sediment and basalt samples from Deep Sea Drilling Project Leg 74, Hole 525a, Walvis Ridge // Initial Reports of the Deep — Sea Drilling Project. 1984. V. 74. P. 713-730.
- Marsh J. S., Eward A., Milner S. C. et al. The Etendeka Igneous Province magma types their stratigraphic distribution with implications for the evolution pf the Parana-Etendeka flood basalt province // Bull. Volcanolol. 2001. № 62. P. 464-486. doi: 10.1007/s004450000115.
- Moore T. C. Jr., Rabinowitz P. D. et al. History of the Walvis Ridge // Initial Reports of the Deep-Sea Drilling Project. 1980. V. 74. P. 873-894.
- Moore T. C. Jr., Rabinowitz P. D. et al. Site 525 // Initial Reports of the Deep — Sea Drilling Project. 1984. V. 74. P. 41-160.
- Moore T. C. Jr., Rabinowitz P. D. et al. Site 527 // Initial Reports of the Deep — Sea Drilling Project. 1984. V. 74. P. 237-306.
- Moore T. C. Jr., Rabinowitz P. D. et al. Site 528 // Initial Reports of the Deep — Sea Drilling Project. 1984. V. 74. P. 307-406.
- Moore T. C. Jr., Rabinowitz P. D. et al. Site 529 // Initial Reports of the Deep — Sea Drilling Project. 1984. V. 74. P. 407-468.
- Morgan W. J. Hotspot tracks and the early rifting of the Atlantic // Tectonophysics. 1983. V. 94. P. 123-139.
- O’Connor J. M., Duncan R. A. Evolution of the Walvis Ridge-Ridge-Rio Grande Rise Hot Spot System: Implications for African and South American Plate -Motions Over Plumes // J. of Geophys. Res. 1990. V. 95 № B11 P. 17475-17502.
- Peate D. W., Hawkesworth C. J. et al. Petrogenesis and Stratigraphy of the High-Ti/Y Urubici Magma Type in the Parana´ Flood Basalt Province and Implications for the Nature of ‘Dupal’-Type Mantle in the South Atlantic Region // J. of Petrology. 1999. V. 40. № 3. P. 451-473.
- Planert L., Behrmann J., Jegen M. et al. Crustal architecture and deep structure of the Namibian continental shelf and adjacent oceanic basins around the landfall of Walvis Ridge from wide-angle seismic and marine magnetotelluric data // AGU Fall Meeting 2012, 03.-07.12.2012, San Francisco, USA [Poster].
- Polat A., Kerrich R., Wyman D. Geochemical diversity in oceanic komatiites and basalts from the late Archean Wawa greenstone belt, Superior Province, Canada: trace element and Nd isotope evidence for a heterogeneous mantle // Precam. Res. 1999. V. 94. P. 139-173.
- Richardson S. H., Erlank A. J., Duncan A. R., Reid D. L. Correlated Nd, Sr and Pb isotope variation in Walvis Ridge basalts and implications for evolution of their mantle source // Earth Planet. Sci. Lett. 1982. V. 59. Iss. 2. P. 327-342.
- Richardson S. H., Erlank A. J., Reid D. L., Duncan A. R. Major and trace elements and Nd and Sr isotope geochemistry of basalts from the Deep-Sea Drilling Project Leg 74 Walvis Ridge transect // Initial Reports of the Deep -Sea Drilling Project. 1984. V. 74. P. 739-754.
- Rohde J. K., van den Bogaard P., Hoernle K. et al. Evidence for an age progression along the Tristan-Gough volcanic track from new 40Ar/39Ar ages on phenocryst phases // Tectonophysics. 2013. V. 24. P. 60-71. doi:10.1016/ j.tecto.2012.08.026.
- Salters J. M. Vincent., Sachi-Kocher A. An ancient metasomatic source for the Walvis Ridge basalts // Chemical Geology. 2010. № 273. P. 151-167
- Shipboard Scientific Party Site 1262 // Proc. ODP, Init. Repts. College Station, TX (Ocean Drilling Program) / Eds. Zachos et al. 2004. V. 208. P. 1-92. doi:10.2973/ odp.proc.ir.208.103.2004.
- Shipboard Scientific Party Site 1263 // Proc. ODP, Init. Repts. College Station, TX (Ocean Drilling Program) / Eds. Zachos J. C. et al. 2004. V. 208. P. 1-87. doi: 10.2973/odp.proc.ir.208.104.2004
- Shipboard Scientific Party Site 1264 // Proc. ODP, Init. Repts. College Station, TX (Ocean Drilling Program) / Eds. Zachos J. C., Kroon D. et al. 2004. V. 208. P. 1-73. doi: 10.2973/odp.proc.ir.208.105.2004
- Shipboard Scientific Party Site 1265 // Proc. ODP, Init. Repts. College Station, TX (Ocean Drilling Program) / Eds. Zachos J. C. et al. 2004. V. 208. P. 1-107. doi:10.2973/ odp.proc.ir.208.106.2004
- Shipboard Scientific Party Site 1266 // Proc. ODP, Init. Repts. College Station, TX (Ocean Drilling Program) / Eds. Zachos J. C. et al. 2004. V. 208. P. 1-79. doi:10.2973/ odp.proc.ir.208.107.2004
- Shipboard Scientific Party Site 1267 // Proc. ODP, Init. Repts. College Station, TX (Ocean Drilling Program) / Eds. Zachos J. C. et al. 2004. V. 208. P. 1-77. doi:10.2973/ odp.proc.ir.208.108.2004.
- Silveira G., Stutzmann E. Anisotropic tomography of the Atlantic Ocean // Physics of the Earth and Planetary Interiors. 2002. № 132. Р. 237-248.
- Supko P. R., Perch-Nielsen K. et al. Site 359 // Initial Reports of the Deep Sea Drilling Project. 1977. V. 39. P. 373-391.
- Thompson G., Humphris Susan E. Petrology and geochemistry of rocks from the Walvis Ridge: Deep Sea Drilling Project Leg 74, Sites 525, 527, and 528 // Initial Reports of the Deep-Sea Drilling Project. 1984. V. 75. P. 755-764.
- Tsafack J.-P. F., Wandji P. et al. The Mount Cameroon stratovolcano (Cameroon Volcanic Line, Central Africa): Petrology, geochemistry, isotope and age data // Geochemistry, mineralogy and Petrology. 2009. № 47. P. 65-78.
- Weaver B. L. The origin of ocean island basalt end-member compositions: trace element and isotopic constraints // Earth and Planetary Science Letters. 1991. V. 104. P. 381-397.
- Wessel, P., Sandwell, D. T., Kim, S. S. The global seamount census // Oceanography. 2010. V. 23. P. 24-33.
- Willbold M., Stracke A. Trace element composition of mantle end-members: implications for recycling of oceanic and upper and lower continental crust // Geochemistry Geophysics Geosystems. 2006. V. 7. № 4 (4) (Q04004). P. 1-30. 10.1029/2005GC001005
Supplementary files










