Virtual dipole moment evolution within earth geological history
- Authors: Schreider A.A.1, Sazhneva A.E.1, Varga P.2, Denis C.3
-
Affiliations:
- Shirshov Institute of Oceanology, Russian Academy of Sciences
- Seismological Observatory, Geodetic, and Geophysical Institute, Hungarian Academy of Sciences
- Institute of Astrophysics at Liege University
- Issue: Vol 59, No 5 (2019)
- Pages: 852-858
- Section: Морская геология
- URL: https://journals.eco-vector.com/0030-1574/article/view/17612
- DOI: https://doi.org/10.31857/S0030-1574595852-858
- ID: 17612
Cite item
Full Text
Abstract
The data of the International Bank of Digital Information on the time distribution of the virtual dipole moment (VDM), supplemented by the data of more recent studies (a total of 5645 values) were used as the basis of the virtual dipole moment values distribution analysis for the Earth history within the concept of the Earth's magnetic dipole field. The results revealed the positive linear trend from 4.2×1022 4.2 billion of years ago up to Am2 to 5.15×1022 Am2 at resent time. Unevenly distrib-uted VDM fluctuations varying in time from 1.7 to 3.7×1022 Am2 with a wavelength varying from 220 to 920 million years and with the average periodicity near 570 Ma were estimated on the back-ground of linear increase of the field. By the order of magnitude this corresponds to the duration of the geological Wilson cycle. For the first time it is revealed that the magnetic field magnitude oscil-lations in time have an oscillating character with decay towards the present.
Keywords
Full Text
ВВЕДЕНИЕ
В рамках концепции дипольного магнитного поля основной характеристикой поведения земного магнитного поля во времени является распределение значений виртуального дипольного момента (ВДМ) (VDM) ×10 22 Ам 2, который рассматривается как дипольный момент эквивалентного геоцентрического диполя, продуцирующего известную величину и наклонение вектора древнего дипольного поля [2 и др.] в определенный момент в прошлом. Носителями результатов работы магнитного геодинамо в истории Земли являются величины виртуального дипольного момента, эксгумированные в процессе изучения геомагнетизма пород Земли.
В работах Е. Телье и О. Телье был предложен метод определения склонения, наклонения и величины напряженности геомагнитного поля путем сравнения поведения естественной и искусственной остаточной намагниченности при нагреве и охлаждении на одном и том же образце. О. Телье и Е. Телье разработали методы восстановления ориентации при отборе образцов в поле, кроме того, в лаборатории Телье был создан прибор индукционного типа для измерения остаточной намагниченности образцов произвольной формы.
Исследованиями методом Телье [2] и развивающими его методиками [15, 27 и др.] были получены данные о распределении дипольной составляющей земного магнитного поля во времени, которые свидетельствуют о существенных ее вариациях в палеоархее — фанерозое [1, 9, 16, 17, 21, 23, 26, 29–36]. Значительный разброс индивидуальных данных ВДМ до недавнего времени позволял наметить какие-либо закономерности лишь на качественном уровне. В ряду прочих изложенных в литературе способов представления результатов исследований в работах А. А. Шрейдера с коллегами был предложен общий методический подход к обработке данных ВДМ и продемонстрированы результаты его применения для анализа ВДМ в интервале 0–160 млн лет [5], 0–400 млн лет [6], а затем и для всего фанерозоя (0–541 млн лет) [7] и далее для интервала 0–2.5 млрд лет [8] (0–3500 млн лет) [9]. Приложение сформулированного в [5] и развитого в [5–10] количественного подхода к анализу таких данных для геологической истории Земли в интервале 0–4.2 млрд лет составляет предмет настоящей работы. Все расчеты проводятся в рамках предположения, что геомагнитное поле в геологической истории Земли может быть аппроксимировано полем осесимметричного диполя. Вместе с тем отметим, что в ряде, в первую очередь отечественных, работ подвергается сомнениям представление о дипольности магнитного поля в истории Земли для того или иного момента в прошлом. Примеры ссылок на такие работы, а также на работы с экзотическими формулами ВДМ, отличными от канонической формулы из работы [10], можно найти в литературе к статьям [5–11] и в других литературных источниках.
МАТЕРИАЛЫ И МЕТОДЫ
Для анализа изменения ВДМ во времени в последние десятилетия была собрана интернациональная база данных — IAGA PALEOINTENSITY DATABASE, которая доступна на сайте Геофизического центра в г. Боулдер (Колорадо, США) [19, 22]. База в последние годы была обновлена [12–14, 24, 25] и для интервала 0–4.2 млрд лет составляет несколько тысяч значений ВДМ по более чем 320 литературным источникам. Эта интернациональная база данных, дополненная нами результатами исследований [9, 20, 28, 29], послужила основой этой работы. Используемая в работе обновленная база на середину 2018 г. включает в себя 5645 значений ВДМ и соответствующие им определения абсолютного возраста.
Литературные источники свидетельствуют о том, что на качественном уровне величина напряженности земного магнитного диполя не оставалась постоянной во времени. В то же время количественный анализ качественных закономерностей затруднялся значительным разбросом реальных индивидуальных значений виртуального дипольного момента ВДМ (рис. 1).
Рис. 1. Распределение во времени величин виртуального дипольного момента (1022 Ам2).
Многочисленные опробования различных методик, изложенные в литературе и проанализированные в [11 и др.], не создавали возможность уверенного представления закономерностей изменения ВДМ. В то же время среди прочих интерпретационных подходов предложенный в работе [5] метод скользящего среднего позволяет в значительной степени сгладить спонтанные флуктуации используемых данных. Оценки [5–7, 11] показали, что наиболее оптимальным окном осреднения имеющихся данных для фанерозоя может служить интервал в 10 млн лет, а оптимальный шаг скольжения составляет 5 млн лет. К сожалению, этот размер окна и шаг скольжения неприемлемы для архейского–протерозойского времени. В его пределах количество расчетных точек оказывается существенно меньше и требует укрупнения размера расчетного окна. Оценки показали, что в качестве оптимального окна осреднения может быть выбран интервал в 200 млн лет, а оптимальный шаг скольжения будет при этом составлять 100 млн лет [8, 9, 11]. Этот же промежуток оказался оптимальным и для интервала 0–4.2 млрд лет и был выбран в качестве рабочего для настоящего исследования (рис. 2).
Рис. 2. Распределение средних величин виртуального дипольного момента (1022 Ам2) в интервале 0–4200 млн лет. Значения вычислены методом скользящего среднего в окне 200 млн лет с шагом в 100 млн лет. Показана линейная аппроксимация значений, отражающая рост величины дипольной составляющей магнитного поля Земли в сторону современности. Правая вертикальная ось показывает пересчет величин ВДМ в экваториальную напряженность палеомагнитного поля в эрстедах. Вертикальные и горизонтальные бары показывают стандартные ошибки среднего в каждом из окон расчета.
В целом максимальное количество точек, использованных нами в настоящем анализе, приходится на интервалы 0–0.2 млрд лет (4520 точек), 0.1–0.3 млрд лет (777 точек), 0.2–0.4 млрд лет (480 точек), 0.3–0.5 млрд лет (187 точек) 1.0–1.2 млрд лет (97 точек), 1.1–1.3 млрд лет (90 точек), 2.0–2.2 млрд лет (87 точек), 2.6–2.8 млрд лет (111 точек) (2.7–2.9 млрд лет (128 точек). В остальных интервалах количество точек не превосходит 85. При этом менее 10 точек приходится на интервалы 0.5–0.7, 1.5–1.7, 3.0–3.2, 3.1–3.3, 3.6–3.8, 3.7–3.9, 3.8–4.0, 3.9–4.1, 4.0–4.2 млрд лет, а в интервале 2.8–3.0 млрд лет данные вообще отсутствуют (рис. 3).
Рис. 3. Число расчетных значений в каждом из окон, исключая окна с количеством точек более сотни: 0–0.2 млрд лет (4520 точек), 0.1–0.3 млрд лет (777 точек), 0.2–0.4 млрд лет (480 точек), 0.3–0.5 млрд лет (187 точек), 2.6–2.8 млрд лет (111 точек), 2.7–2.9 млрд лет (128 точек).
Во всех случаях при расчетах и построениях графического материала во внимание принимались средние величины ВДМ и их стандартные ошибки в интервале осреднения. Эти величины соотносились с соответствующими значениями для возраста, определенными в тех же интервалах осреднения. Мода распределения стандартных ошибок среднего значения возраста в каждом окне составляет 6–7 млн лет. Имеются три значения, превосходящие 15 млн лет в интервале 0.4–0.6, 0.5–0.7 и 0.6–0.8 млрд лет. Мода распределения разброса стандартных ошибок среднего ВДМ в каждом окне составляет 0.5–0.6×10 22 Ам 2 млн лет. При этом имеются два значения, превосходящие 1×10 22 Ам 2 в интервале 0.5–0.7 и 0.6–0.8 млрд лет.
РЕЗУЛЬТАТЫ РАСЧЕТОВ
На рис. 2 представлено распределение средних значений ВДМ для интервала 0–4.2 млрд лет в окне 200 млн лет со сдвигом 100 млн лет, а также в график включено современное значение ВДМ 8×10 22 Ам 2 [1, 11]. По горизонтальной оси отложены возрасты, которые соответствуют средним величинам возрастов в млн лет в окне осреднения. По вертикальной оси отложены значения виртуального магнитного момента, которые соответствуют средним величинам ВДМ ×10 22 Ам 2 в окне осреднения. Вертикальными и горизонтальными барами обозначены стандартные ошибки соответствующего среднего.
График свидетельствует также, что виртуальный дипольный момент во времени не оставался постоянным за последние 4.2 млрд лет. Осредненные величины ВДМ достигают максимальных значений 8.9±1.2×10 22 Ам 2 4.02± 0.03 млрд лет назад, а минимальных значений 2.4±0.3×10 22 Ам 2 2.05±0.05 млрд лет назад. В целом распределение ВДМ характеризуется наличием положительного линейного тренда с величины 4.2×10 22 Ам 2 (4.2 млрд лет назад) до 5.15×10 22 Ам 2 в настоящее время.
На рис. 2 видно, что кривая ВДМ флуктуирует во времени. Если рассмотреть расстояние в млн лет между экстремумами, то можно зафиксировать до 8 флуктуаций. Под магнитудой анализируемых экстремумов понимается средняя разница значений ВДМ изучаемого экстремума и значениями соседних примыкающих с обеих сторон экстремумов. Под длиной волны каждой флуктуации понимается разница возрастов между этими соседними примыкающими с обеих сторон экстремумами. Все расчетные точки на графике снабжены планками соответствующих погрешностей.
При анализе распределения во времени максимумов кривой ВДМ на рис. 2 фиксируется экстремум 4025 млн лет, что совпадает с границей (4 млрд лет) между гадеем (Hadean) и эоархеем (Eoarchean) с абсолютной величиной до 8.93×10 22 Ам 2 при относительной магнитуде более 6.2×10 22 Ам 2 и длине волны, превышающей 300 млн лет. Сразу отметим, что все геохронологические датировки в настоящей работе проведены с использованием наиболее современной версии геохронологической шкалы [18].
В архее фиксируется максимум с экстремумом 3217 млн лет, что совпадает с границей (3200 млн лет) между палеоархеем и мезоархеем, с абсолютной величиной до 8.7×10 22 Ам 2 при осредненной магнитуде более 4 ×10 22 Ам 2 и длине волны, превышающей 600 млн лет.
Локальный максимум центрируется в неоархее на 2710 млн лет в области границы между метанским (Methanian) и сидерийским (Siderian) периодами (2780 млн лет) с абсолютной величиной до 6×10 22 Ам 2 при магнитуде около 2.6×10 22 Ам 2 и длине волны 920 млн лет.
В протерозое экстремальные значения максимумов приходятся на 1638 млн лет, что практически совпадает с границей (1600 млн лет) между мезопротерозоем и палеопротерозоем с абсолютной величиной до 5.4×10 22 Ам 2 при магнитуде около 2.5×10 22 Ам 2 и длине волны 500 млн лет.
Еще одно экстремальное значение максимума приходится на 1060 млн лет, что близко к границе (1 млрд лет) между мезопротерозоем и неопротерозоем с абсолютной величиной до 6.8×10 22 Ам 2 при магнитуде около 2×10 22 Ам 2 и длине волны 500 млн лет.
Максимум с экстремумом на 814 млн лет близок к границе между криогением и тониeм (850 млн лет) с абсолютной величиной 5.1×10 22 Ам 2 при магнитуде 1.1×10 22 Ам 2 и длине волны 200 млн лет. Отметим, что в рамках имеющихся погрешностей правомочность его выделения носит характер первого приближения и требует получения дополнительных данных. В протерозое максимум на 600 млн лет близок по возрасту к границе между эдиакарием и криогением (635 млн лет) турнейским и визейским веками нижнего мела (346.7 млн лет) с абсолютной величиной 6.3×10 22 Ам 2 при магнитуде 2×10 22 Ам 2 и длине волны 400 млн лет.
В палеозое максимум на 346 млн лет приходится на границу (346.7 млн лет) между турнейским и визейским веками нижнего мела (346.7 млн лет) с абсолютной величиной 6.5×10 22 Ам 2 при магнитуде 1.8×10 22 Ам 2 и длине волны 300 млн лет.
Между рассмотренными максимумами располагаются минимумы ВДМ. Наиболее ранний из них отмечен в мезоархее и приходится на 3.7 млрд лет, что близко к границе (3.6 млрд лет) между эоархеем и палеоархеем с абсолютной величиной до 2.6×10 22 Ам 2 при магнитуде около 8.6×10 22 Ам 2 и длине волны 800 млн лет.
Минимум в мезоархее с экстремумом на 3.09 млрд лет близок к границе между ваалбаранским (Vaalbaran) и понголийским (Pongolan) периодами (3.02 млн лет) с абсолютной величиной 5×10 22 Ам 2 при магнитуде 1.6×10 22 Ам 2 и длине волны 709 млн лет.
В палеопротерозое минимум с экстремумом на 2051 млн лет близок к границе между рясинским (Rhyacian) и орозирийским (Orosirian) периодами (2050 млн лет) с абсолютной величиной 2.47×10 22 Ам 2 при магнитуде 3.6×10 22 Ам 2 и длине волны 900 млн лет.
В мезопротерозое сложно построенный минимум с экстремумом на 1465 млн лет близок к границе между калумианским (Calummian) и эктазианским (Ectasian) периодами (1400 млн лет) с абсолютной величиной 3.4×10 22 Ам 2 при магнитуде 1.7×10 22 Ам 2 и длине волны 600 млн лет.
Локальные минимумы на 895 млн лет и 765 млн лет в рамках имеющихся погрешностей расчетов могут являться частями единого минимума, включающего и локальный относительный максимум на 814 млн лет между ними, отражая необходимость получения дополнительного фактического материала для изучаемого интервала времени.
В палеозое минимум на 482 млн лет близок к границе между ордовикским и силурийским периодами (485 млн лет) с абсолютной величиной 3.8×10 22 Ам 2 при магнитуде 2.8×10 22 Ам 2 и длине волны 300 млн лет.
В мезозое минимум на 186 млн лет близок к границе между тоарским веком нижней юры и ааленским веком средней юры (174.1 млн лет) с абсолютной величиной 4.7×10 22 Ам 2 при магнитуде более 2.7×10 22 Ам 2 и длине волны, превышающей 350 млн лет. Начиная с этого возраста величина ВДМ претерпевает рост в сторону современности.
ОБСУЖДЕНИЕ РЕЗУЛЬТАТОВ
Результаты расчетов значений ВДМ, полученных методом скользящего среднего, свидетельствуют о том, что их распределение во времени не хаотично, и демонстрируют линейное возрастание средних величин ВДМ за последние 4.2 млрд лет в сторону современности с градиентом 0.0007×10 22 Ам 2/млн лет. На фоне линейного возрастания фиксируются неравномерно распределенные по времени апериодические флуктуации ВДМ, варьирующие по величине магнитуды до 4×10 22 Ам 2 и более с длиной волны (расстояние между соседними одноименными экстремумами), меняющейся от 200 до 900 млн лет, и в этом смысле в значительной степени обладающие нерегулярностью. Средняя длина волны составляет 574±98 млн лет, и по порядку величины она соответствует продолжительности периодов вилсоновской геологической цикличности [3, 4 и др.], названной в честь канадского геофизика Дж. Т. Вилсона, впервые их установившего на примере повторного закрытия и раскрытия Атлантики. Вилсоновская цикличность описывает периодическое становление и распад Пангей во взаимосвязи с изменением режима конвекции в мантии. Поскольку распад Пангеи означает одновременно раскрытие вторичных океанов — Атлантического, Индийского, Арктического, Средиземноморского и их предшественников, а возрождение единого материка — закрытие этих океанов и, соответственно, расширение первичного океана с его превращением в Панталассу, эти мегациклы можно отождествить с переходами [3, 4 и др.] между двух- или многоячейковой структурой мантийной конвекции и одноячейковой. Наличие положительного линейного тренда в сторону современности свидетельствует о том, что магнитное поле еще не достигло пика своего развития. Если данный процесс последовательного возрастания ВДМ связывать с эволюцией ядра, напрашивается вывод о продолжении становления оптимальных соотношений абсолютных и относительных размеров внутреннего и внешнего ядра.
Значения виртуального дипольного момента и модуля величины напряженности древнего магнитного поля Ндр для одного и того же возраста на фиксированной широте прямо связаны между собой, что позволяет использовать ВДМ для характеристики напряженности основной (дипольной) части древнего магнитного поля. Соответствующие величины мы будем характеризовать в долях современной величины Нсовр, экваториальное значение которой составляет 0.33 э (26.3 А/м), или 33 000 нтл (более подробно см. [9 и др.]). Выше говорилось, что линейная тенденция возрастания напряженности дипольной составляющей геомагнитного поля за последние 4.2 млрд лет может быть оценена величиной 0.0006×10 22 Ам 2 (около 3 нтл)/млн лет. Значительные вариации (от значений 6×10 22 Ам 2 — 24 700 нтл на экваторе и более до 3×10 22 Ам 2 — 12 300 нтл на экваторе и менее) усредненной величины дипольной составляющей магнитного поля Земли прямо свидетельствуют о необходимости учета таких вариаций при моделировании физических процессов развития нашей планеты в геологическом прошлом и прогнозировании ее эволюции в будущем.
Полученные результаты (рис. 2, рис. 4) способствуют существенному развитию ранее имевшихся представлений [5–7, 11–14, 16, 17, 20, 21, 23, 28–34 и др.] об эволюции ВДМ в истории Земли.
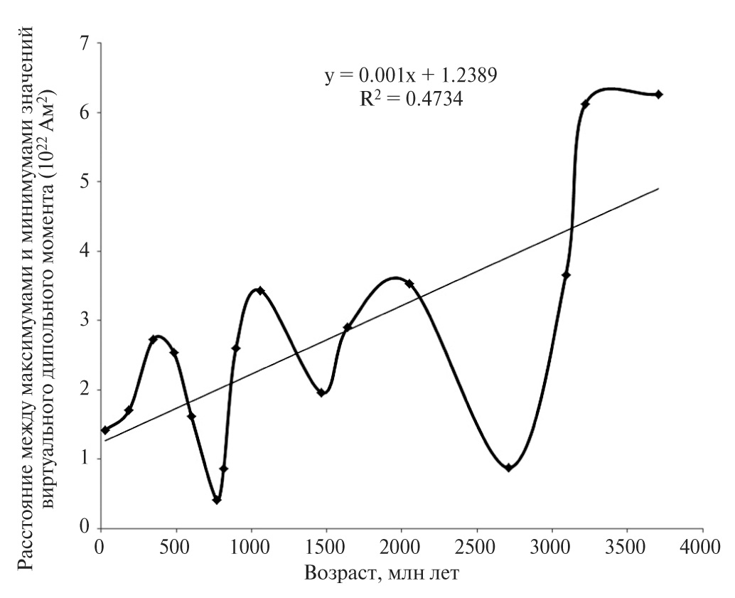
Рис. 4. Распределение величин магнитуды размаха между соседними экстремумами распределения виртуального дипольного момента по данным рис. 2. Точки на графике соответствуют времени окончания очередного размаха.
ЗАКЛЮЧЕНИЕ
Как видно из изложенного выше, в иерархии закономерностей эволюции магнитного поля Земли первое место принадлежит направленности, второе — неравномерности (нерегулярно распределенные по времени ундуляции ВДМ, варьирующие по величине длины волны и магнитуды).
В этом контексте анализ данных обновленного интернационального банка цифровой информации о распределении во времени виртуального дипольного момента свидетельствует о том, что это распределение характеризуется наличием положительного линейного тренда с 4.2×10 22 Ам 2 до 5.15×10 22 Ам 2 за последние 4.2 млрд лет. Наличие положительного линейного тренда в сторону современности свидетельствует о том, что магнитное поле еще не достигло пика своего развития. Если данный процесс последовательного возрастания ВДМ связывать с эволюцией ядра планеты, то напрашивается вывод о продолжении становления оптимальных соотношений абсолютных и относительных размеров внутреннего и внешнего ядра.
Источник финансирования. Работа выполнена в рамках развития Соглашения о совместных исследованиях РАН и ВАН и проекта ОТКА К60394 венгерского научного фонда. Отдельные вопросы исследования прорабатывались в рамках гранта РФФИ, проект № 17-05-00075.
About the authors
A. A. Schreider
Shirshov Institute of Oceanology, Russian Academy of Sciences
Author for correspondence.
Email: aschr@ocean.ru
Russian Federation, Moscow
A. E. Sazhneva
Shirshov Institute of Oceanology, Russian Academy of Sciences
Email: aschr@ocean.ru
Russian Federation, Moscow
P. Varga
Seismological Observatory, Geodetic, and Geophysical Institute, Hungarian Academy of Sciences
Email: aschr@ocean.ru
Hungary, Budapest
C. Denis
Institute of Astrophysics at Liege University
Email: aschr@ocean.ru
Belgium, Liege
References
- Логачев А. А., Захаров В. П. Магниторазведка. Л.: Недра, 1979. 352 с.
- Телье Е., Телье О. Об интенсивности магнитного поля Земли в историческом и геологическом прошлом // Изв. АН СССР. Сер. геофиз. 1959. № 9. С. 1296-1331.
- Хаин В. Е. Циклы Бертрана и циклы Вилсона // Докл. РАН. 1992. Т. 325. С. 557-559.
- Хаин В. Е., Халилов Э. Н. Цикличность геодинамических процессов: ее возможная природа. М.: Научный мир, 2009. 520 с.
- Шрейдер А. А., Шрейдер Ал. А., Варга П., Денис К. Изменение величины геомагнитного диполя в интервале хронов С1-М43 // Океанология. 2005. Т. 45. № 5. С. 785-789.
- Шрейдер А. А., Шрейдер Ал. А., Варга П., Денис К. Изменение величины геомагнитного диполя за последние 400 млн лет // Океанология. 2008. Т. 48. № 2. С. 271-275.
- Шрейдер А. А., Шрейдер Ал. А., Варга П., Денис К. Вариации величины виртуального дипольного момента в фанерозое // Океанология. 2011. Т. 51. № 3. С. 537-541.
- Шрейдер А. А.,. Шрейдер Ал. А, Варга П., Денис К. Вариации величины дипольного геомагнитного поля в протерозое — фанерозое // Океанология. 2012. Т. 52. № 4. С. 582-587.
- Шрейдер А. А., Шрейдер Ал. А., Варга П., Денис К. Эволюция виртуального дипольного момента в палеоархее-фанерозое // Океанология. 2015. Т. 55. № 2. С. 272-279.
- Шрейдер А. А., Игнатова А. А., Шрейдер Ал. А. и др. Эволюция вычислений виртуального дипольного момента Земли для восстановления параметров инверсионного магнитоактивного слоя океана // Океанология. 2016. Т. 56. № 3. С. 463-470.
- Шрейдер А. А., Игнатова А. А., Шрейдер Ал. А. и др. Эволюция представления виртуального дипольного момента магнитного поля земли в фанерозое // Океанология. 2017. Т. 57. № 5. С. 463-470.
- Biggin A., McCormik A., Roberts A. Paleointensity database updated and upgraded // EOS. 2010. V. 91. № 2. P. 15.
- Biggin A., Stirk G., Langeris C. The intensity of the geomagnetic field in the late Archaean: new measurements and an analysis of the updated IAGA paleointensity database // Earth Planets Space. 2009. V. 61. P. 9-22.
- Biggin A., Piispa E., Pesonen L. et al. Palaeomagnetic field intensity variations suggest Mesoproterozoic inner-core nucleation // Nature. 2015. V. 526. P. 245-248.
- Coe S. The determination of paleointensities of the Erath magnetic field with emphasis on mechanisms which could cause non ideal behavior in Thellier method // J. Geomag. Geoelectr. 1967. V. 19. P. 157-179.
- Denis C., Schreider A. A., Varga P., Zavoti J. Despinning of the Earth rotation in the geological past and geomagnetic paleointensities // J. of Geodynamics. 2002. V. 34. P. 667-685.
- Denis C., Rybicki K., Schreider A. A. et al. Length of the day and evolution of the Earth’s core in the geological past // Astron. Nachr. 2011. V. 332. P. 24-35.
- Gradstein F., Ogg J., Schmitz M., Ogg G. The Geologic Timescale 2012. Amsterdam: Elsevier, 2012. 1139 p.
- IAGA paleointensity database. http: // www.isteem.univmontp2.fr/PERSO/perrin/2007.
- Kulakov E., Smirnov A., Diehel J. Absolute geomagnetic paleointensity as recorded by 1.09 Ga lake Shore Traps (Keweenaw peninsula, Michigan) // Stud. Geoph. Geod. 2013. V. 57. P. 565-584.
- O’Neill1 C., Marchi S., Zhang S., Bottke W. Impact-driven subduction on the Hadean Earth // Nature. 2017. V 10. P793-797.
- Perrin M., Schnepp E. IAGA paleointensity database: distribution and quality of the data set // Phys. Earth and Planet. Inter. 2004. V. 147. P. 255-267.
- Piper J. Dominant Lid Tectonics behaviour of continental lithosphere in Precambrian times: Palaeomagnetism confirms prolonged quasi-integrity and absence of supercontinent cycles // Geoscience Frontiers 2018. V. 9. P. 61-89.
- Precambrian database PALEOMAGIA 2018 http://h175.it.helsinki.fi/database/
- PINT Database — University of Liverpool 2018 http://earth.liv.ac.uk/pint/
- Selkin P., Gee J., Meurer W., Hemming S. Paleointensity record from the 2.7 Ga Stillwater Complex, Montana // Geochem. Geophys. Geosyst. 2008. V. 9. Q120. 23 p.
- Shaw J. A new method of determining the magnitude of paleomagnetic field. Application to five historic lavas and five archeological samples // Geoph. J. R. Astr. Soc. 1974. V. 39. P. 133-141.
- Smirnov A., Evansb D. Geomagnetic paleointensity at 2.41 Ga as recorded by the Widgiemooltha Dike Swarm, Western Australia // Earth Planet. Sci. Lett. 2015. V. 416. P. 35-45.
- Tarduno J., Cottrell R., Davis W. et al. A Hadean to Paleoarchean geodynamo recorded by single zircon crystals // Science. 2015. V. 349. P. 521-524.
- Varga P., Bus Z., Süle B., Schreider A. Variation in the rotation rate of the Earth and the geomagnetic field // Acta Geodaetica et Geophysica Hungarica. 2007. V. 42. № 4. P. 433-448.
- Varga P., Bus Z., Süle B. et al. Correspondence of EOP and geomagnetic field // Systémes de Reference Tems-Espace UMR8630/CNRS. 2008. P. 226-227.
- Varga P., Krumm F., Doglioni C. et al. Did a change in tectonic regime occur between the Phanerozoic and earlier Epochs? // Rend. Fis. Acc. Lincei. 2012. V. 23. N. 2. P. 139-148.
- Varga P., Sule B., Schreider A. A. Short-term (dedicadal) and long-term (over geological history) correspondence of length of day and geomagnetic field // Geophysical Research Abstracts. 2006. V. 8. 02230. Sref: 1607-7962/gra/ EGU06-A-02230.
- Varga P., Zavoti J., Denis C., Schreider A. A. Complex interpretation of the Earth despinning history // Vistas for geodesy in the new Millennium. Berlin: Springer-Verlag, 2002. P. 417-422.
- Yoshihara A., Hamano Y. Intensity of the Earth’s magnetic field in late Archean obtained from diabase dikes of the Slave Province, Canada // Phys. Earth Planet. Int. 2000. V. 117. P. 295-307.
- YuY., Dunlop D. Paleointensity determination on late precambrian Tudor Gabbro, Ontario // J. Geoph. Res. 2001. V. 106. P. 26331-26343.
Supplementary files






