Climate-related changes in the vegetation cover of the taiga and tundra of Western Siberia in 1982–2015 according to satellite observations
- 作者: Zuev V.V.1, Korotkova E.M.1, Pavlinsky A.V.1
-
隶属关系:
- Institute of Monitoring of Climatic and Ecological Systems
- 期: 编号 6 (2019)
- 页面: 66-76
- 栏目: ИСПОЛЬЗОВАНИЕ КОСМИЧЕСКОЙ ИНФОРМАЦИИ О ЗЕМЛЕ
- URL: https://journals.eco-vector.com/0205-9614/article/view/18795
- DOI: https://doi.org/10.31857/S0205-96142019666-76
- ID: 18795
如何引用文章
全文:
详细
The paper considers the results of the trend and correlation analysis of air temperature and vegetative index NDVI for the warm period for the territory of taiga and tundra of Western Siberia in 1982–2015. It was revealed that with significant (α = 0.05) positive air temperature trends in some months of the spring-summer period, both for the taiga zone and for the tundra zone, a significant increase in NDVI is observed. The trends of air temperature and NDVI for the taiga and tundra zones from April to October 1982–2015 have been calculated and the unevenness of their spatial distribution over the territory under consideration is shown. It is revealed that the development of vegetation in the warm period is largely determined by its development in the first month of the warm period — May for taiga and June for tundra. It is shown that the NDVI value in May in the taiga zone is formed under the influence of April-May temperatures, and in June in the tundra zone — under the influence of June temperatures; significant NDVI correlation coefficients with the average temperature of April-May and May-June are characteristic of practically the entire territory of the region, with the exception of the coastal northern regions in the first case and the south-western regions in the second.
全文:
ВВЕДЕНИЕ
На фоне наблюдаемых климатических изменений во многих регионах мира отмечаются процессы трансформации природных экосистем, сукцессии растительности, переформирование ландшафтов и др. (Тишков, 2011; Allen et al., 2010). Влияние климатических изменений на экосистемы возрастает с широтой и в большей степени проявляется в северных районах — тайге и тундре, где растительность реагирует преимущественно на температурные изменения (Seidl et al., 2017; Seddon et al., 2016). Так, в результате потепления в тундре Евразии и Северной Америки наблюдается прогрессирующее увеличение продуктивности растительных систем, «позеленение» тундры отмечается на территории Российской Арктики (Beck, Goetz, 2011; Тишков, Кренке-мл., 2015; Белоновская и др., 2011). В разных районах зоны бореальных лесов имеет место, как увеличение продуктивности экосистем, так и ее снижение (Beck, Goetz, 2011); рост температур воздуха приводит к расширению ареалов и массовому размножению насекомых-вредителей, а так же к увеличению числа лесных пожаров, что влечет за собой потери биомассы (Gauthier et al., 2015).
Ландшафты Западной Сибири изменяются от тундровых на севере региона до степных на юге, однако, преобладающую часть территории в среднем и нижнем течении Оби занимают лесоболотные комплексы. Поглощая из атмосферы углекислый газ и депонируя его в почве, торфе и растительной биомассе лесные и болотные экосистемы Западной Сибири играют важную климаторегулирующую роль и являются одним из самых значительных пулов углерода в мире (Букварева, 2010; GLOSIS…, 2019). Однако трансформация ландшафтов и изменение продуктивности растительных систем ведет к изменениям углеродного баланса территории. Несмотря на то, что территория Западно-Сибирской равнины в последние десятилетия характеризуется положительными трендами температуры воздуха и атмосферных осадков в теплый период года (Второй оценочный доклад…, 2014), анализ изменений продуктивности растительного покрова и оценка их связи с климатическими параметрами для большей части территории отсутствует. При этом отмечается, что уровень воздействия климатических изменений на растительность тундр Западной Сибири уже считается критическим (Титкова, Виноградова, 2015). Имеющиеся оценки изменений растительного покрова северных районов Западно-Сибирской равнины указывают на рост продуктивности растительности тундр (Елсаков, Телятников, 2013; Титкова, Виноградова, 2015; Белоновская и др., 2011). Немногочисленные исследования состояния растительного покрова таежной зоны региона фрагментарны и связаны преимущественно с антропогенным воздействием на ландшафты вследствие активной разработки нефтегазовых месторождений (Шарикалов, Якутин, 2012; Алексеева, Ященко, 2013; Коркина, Талынева, 2015; Кобзарь и др., 2016). Таким образом, возникает необходимость в проведении исследований отклика растительного покрова Западно-Сибирской равнины на климатические изменения последних десятилетий.
Эффективным инструментом для оценки пространственных и временных изменений растительного покрова выступает космический мониторинг и в частности использование вегетационных индексов. Одним из наиболее распространенных вегетационных индексов, служащим для решения задач, связанных с количественной и качественной оценкой растительного покрова, является нормализованный разностный вегетационный индекс — NDVI. NDVI определяется по разности спектральной яркости между красным и ближним инфракрасным диапазонами (каналами) данных ДЗЗ и выступает показателем, характеризующим количество фотосинтетически активной биомассы. Работа посвящена рассмотрению трендов и зависимостей NDVI и температуры воздуха в таежной и тундровой зоне Западной Сибири в последние десятилетия.
ОБЪЕКТ И МЕТОДЫ
Область, взятая для анализа, располагается в пределах 55°–75° с. ш. и 62°–88° в. д. и охватывает лесоболотную (таежную) и тундровую зоны Западно-Сибирской равнины. Значительная часть рассматриваемой территории (более 50%) занята болотами с растительным покровом из мхов, лишайников и осоки с наличием редкого (менее 20%) древесного полога (Раковская, Давыдова, 2001; Барталев и др., 2011). Леса Васюганской и Кетско-Тымской равнин представлены преимущественно темнохвойной тайгой и смешанным лесом; на севере Среднеобской и Кондинской низменности распространены сосновые леса, вдоль русел рек лесотундровой зоны преобладает темнохвойная растительность. На юге региона обширные пространства заняты лиственными лесами и лугами. Тундра представлена кустарничковой и травянистой растительностью (Барталев и др., 2011). В качестве условной границы между таежной и тундровой зонами был принята параллель 66° с. ш.
Для оценки изменений растительного покрова в работе использовались данные NDVI GIMMS, полученные с помощью многоканального радиометра AVHRR, размещенного на борту спутников NOAA, и представляющие собой среднемесячные значения индекса NDVI за период 1982–2015 гг. с разрешением 1/12×1/12°, (Pinzon, Tucker, 2014). Набор данных NDVI GIMMS является наиболее репрезентативным долгопериодным набором из существующих на настоящий момент (Marshal et al., 2016; Tian et al., 2015). Ряды среднемесячных значений температуры воздуха были получены с использованием системы реанализа данных наблюдений ERA Interim, пространственное разрешение — 0.25 × 0.25° (Dee et. al., 2011). В работе использовался трендовый и корреляционный анализ. Для проведения корреляционного анализа данные NDVI и температуры воздуха приводились к единому пространственному разрешению 0.25 × 0.25°. Все расчеты приведены для критического уровня значимости 0.05.
РЕЗУЛЬТАТЫ И ОБСУЖДЕНИЕ
Анализ трендов NDVI и температуры воздуха
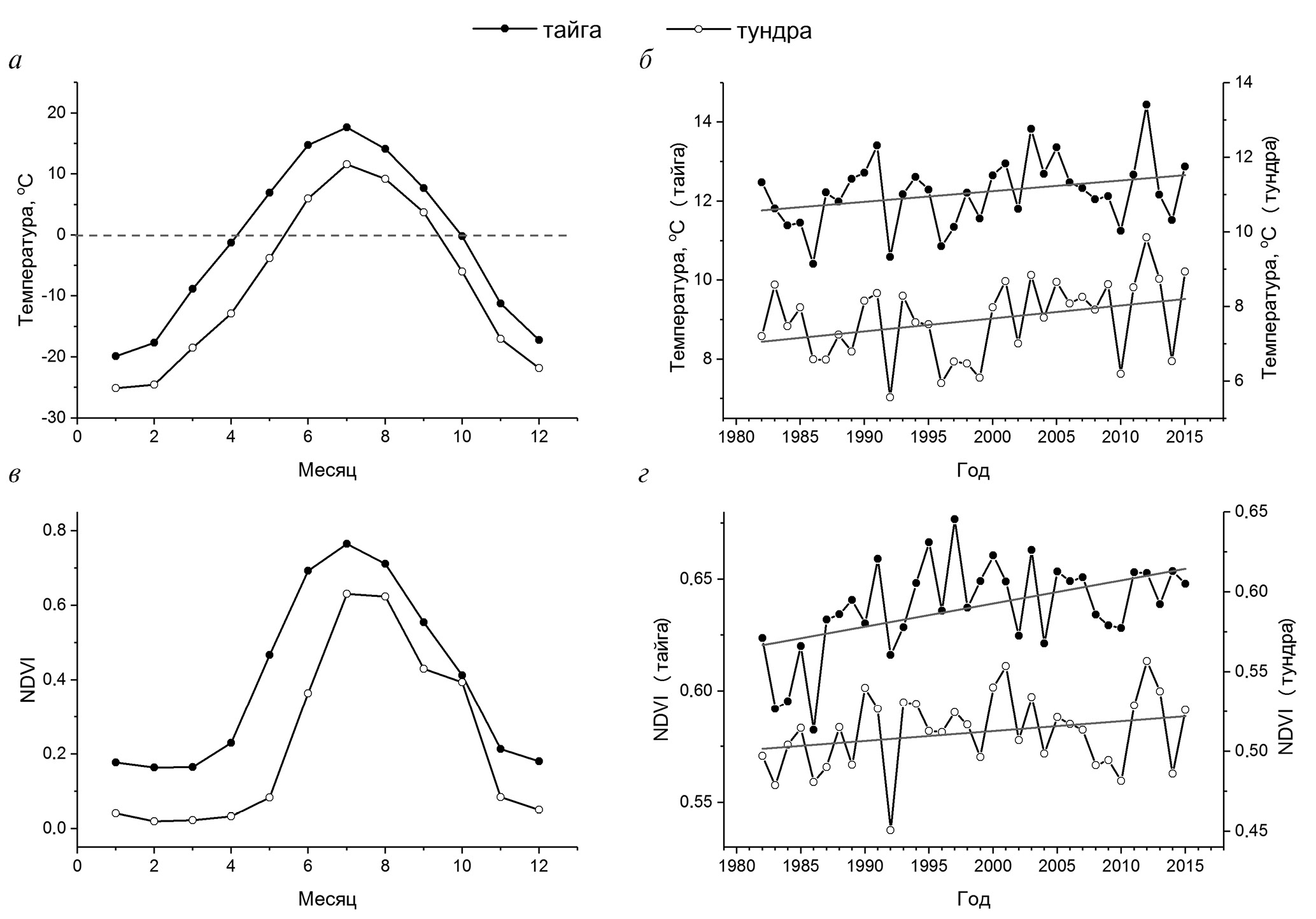
Поскольку таежная и тундровая зоны Западной Сибири относятся к регионам с достаточным и избыточным увлажнением, основным климатическим фактором, оказывающим влияние на продуктивность ландшафтов этой территории, выступает температура воздуха. Для растений Западной Сибири температура воздуха является лимитирующим фактором фотосинтеза в весенние и осенние месяцы. Период с положительными температурами воздуха (теплый период) в зоне тайги в среднем длится с мая по сентябрь, в зоне тундры — с июня по сентябрь (рис. 1a).
Для температур воздуха теплого периода в зоне тундры и тайги проявляется положительная динамика, тренды за период 1982–2015 гг. в обеих зонах близки по величине (0.92 °C — тайга и 1.18 °C — тундра), однако не значимы (рис. 1б). Максимальные значения NDVI в регионе наблюдаются в июле (рис. 1в), при этом в таежной зоне наиболее высокие значения индекса характерны для июня-августа, а в тундровой для июля–августа. Интенсивный рост значений индекса в зоне тайги начинается в апреле, в зоне тундры — в мае, спад продолжается до ноября. За период с положительными температурами воздуха динамика NDVI в таежной зоне региона характеризуется значимым положительным трендом (0.035), в зоне тундры значение тренда близко к нулю (рис. 1г). Максимальных значений в зоне тайги NDVI достигает в 1997 году, а в зоне тундры в 2001 г., после чего в обеих природных зонах наблюдается снижение абсолютных значений индекса.
Рис. 1. а — Средние многолетние значения температуры воздуха; б — динамика температуры воздуха за теплый период года; в — средние многолетние значения NDVI; г — динамика NDVI за теплый период года в 1982–2015 гг. для зон тайги и тундры Западной Сибири.
Рис. 2. Распределение трендов NDVI на территории западной Сибири в 1982–2015 гг.
При анализе месячных трендов температуры воздуха и NDVI помимо месяцев теплого периода в рассмотрение были включены апрель и октябрь. Среднемесячные температуры апреля и октября в 1982–2015 гг. отрицательны (рис. 1a), однако, именно в эти месяцы в зоне тайги происходит переход температур через 0 °C, соответственно, температуры апреля и октября могут оказывать влияние на развитие растительности тайги в эти месяцы. Анализ месячных трендов (табл. 1) показал, что положительные тренды температуры воздуха наблюдаются практически во все рассмотренные месяцы за исключением июля в зоне тайги. Однако, значимыми тренды являются только в отдельные месяцы весенние-летнего периода — в апреле в зоне тайги и апреле-июне — в зоне тундры. Вместе с повышением температур воздуха положительные тренды проявляются и для NDVI. Так в зоне тайги значимые положительные тренды отмечаются в апреле, июне, июле и сентябре, в зоне тундры — с апреля по июнь. Стоит отметить так же значимое снижение NDVI в октябре в зоне тундры на фоне положительного температурного тренда.
Для анализа пространственных изменений NDVI на рассматриваемой территории были построены карты распределения трендов в период с апреля по октябрь (рис. 2). Видно, что максимальные значения тренда вегетационного индекса в регионе наблюдаются в апреле и октябре в зоне средней тайги и особенно выражены в северной части Васюганской и южной части Средне-Обской равнин. Апрель и октябрь в таежной зоне являются переходными месяцами между холодным и теплым сезонами, следовательно, именно в эти месяцы вегетационный индекс особенно чувствителен к колебаниям температуры воздуха. Увеличение NDVI в апреле и октябре свидетельствует о расширении границ вегетационного периода в результате потепления. Так, средние температуры апреля и октября в таежной зоне в период 1982–2015 гг. являются отрицательными и составляют –1.27 и –0.19, соответственно, однако, в период 2005–2015 гг. они положительны и составляют 0.28 и 0.41 °C соответственно. Смещение сроков фенологических явлений, указывающих на расширение вегетационного периода, отмечается так же в Якутии, Красноярском крае и центральной части европейской территории России (Варламова, Соловьев, 2017; Овчинникова и др., 2011; Минин, Воскова, 2014). В июне положительные тренды NDVI характерны более чем для 80% территории, при этом наиболее значительные изменения (0.2–0.3 NDVI) проявляются в зоне тундры. В июле и августе максимальный прирост NDVI в тундре локализуется в районе Обской и Тазоской губы. Область Сибирских Увалов с апреля по сентябрь характеризуется близкими к нулю трендами NDVI. В октябре рост значений NDVI отмечается для средней и южной тайги, в северной части региона значения тренда отрицательны. Положительные тренды максимального значения NDVI в тундре и северной тайге Западной Сибири отмечаются также в 2000–2009 гг. по данным Terra-MODIS (Елсаков, Телятников, 2013).
Таблица 1. Тренды температуры воздуха и NDVI в апреле–октябре 1982–2015 гг. (значимые тренды выделены жирным шрифтом)
Параметр | Природная зона | Апрель | Май | Июнь | Июль | Август | Сентябрь | Октябрь |
Тренд температуры воздуха, °C | Тайга | 3.88 | 2.40 | 1.90 | −0.74 | 0.07 | 0.97 | 1.27 |
Тундра | 7.22 | 3.26 | 3.33 | 0.44 | 0.20 | 0.75 | 2.47 | |
Тренд NDVI | Тайга | 0.063 | 0.037 | 0.049 | 0.035 | 0.019 | 0.036 | 0.009 |
Тундра | 0.038 | 0.030 | 0.064 | 0.033 | 0.001 | −0.015 | −0.204 |
Корреляционный анализ NDVI и температуры воздуха
Наибольший вклад в изменения NDVI за теплый период года вносят значения индекса в мае-июне для тайги и июне-июле для тундры (табл. 2), коэффициенты корреляции выше 0.7; значимый вклад в NDVI теплого периода в зоне тайги характерен так же для апреля, июля и сентября, в зоне тундры — для мая и сентября. Таким образом, видно, что развитие растительности в течение вегетационного сезона в большей степени определяется ее развитием в первые месяцы теплого периода, когда, являясь лимитирующим фактором, температура воздуха оказывает преимущественное влияние на формирование растительного покрова.
Для оценки изменений вклада температуры воздуха весенне-летних месяцев в NDVI первых месяцев теплого периода были рассчитаны скользящие коэффициенты корреляции по 20-летиям (рис. 3).
Таблица 2. Коэффициенты корреляции NDVI за теплый период с месячными значениями NDVI (значимые коэффициенты выделены жирным шрифтом)
Параметр | Природная зона | Апрель | Май | Июнь | Июль | Август | Сентябрь |
R | Тайга | 0.58 | 0.75 | 0.72 | 0.51 | 0.26 | 0.65 |
Тундра | 0.14 | 0.36 | 0.85 | 0.8 | 0.23 | 0.34 |
Рис. 3. Скользящие коэффициенты корреляции NDVI и температуры воздуха в весенне-летние месяцы для а — зоны тайги, б — зоны тундры; пунктирной линией обозначено критическое значение коэффициента корреляции при уровне значимости 0.05 (0.44).
Так, видно, что в зоне тайги NDVI в мае определяется преимущественно температурными условиями апреля-мая, коэффициенты корреляции со средней температурой апреля–мая изменяются в диапазоне 0.84–0.93 (рис. 3а). При этом наблюдается значимый рост вклада температуры апреля и уменьшение вклада температуры мая в майские значения NDVI (значения трендов коэффициентов корреляции составляют 0.074 для апреля и –0.161 для мая тренды значимы). В начале периода наблюдений отмечалась сильная корреляция июньских значений NDVI со средней температурой мая–июня (r > 0.7), однако в середине и конце периода коэффициенты корреляции снизились и изменялись в диапазоне 0.6–0.7, что обусловлено снижением вклада температур мая в развитие растительности в июне. В период с 1985–2004 по 1992–2011 гг. коэффициенты корреляции температуры мая и NDVI июня были не значимы, на ухудшение корреляции этих параметров, вероятно, повлияло произошедшее в июне 1991 г. извержение тропического вулкана Пинатубо, спровоцировавшее летнее похолодание в Северном полушарии в 1992 г. и снижение потока фотосинтетически-активной радиации (Robock, 2000; Goetz, Prince, 1999). На рис. 1б, г видно, что вместе со снижением температуры воздуха теплого периода года в 1992 г. наблюдается так же снижение NDVI. Можно предположить, что в результате аэрозольного загрязнения атмосферы в период после извержения связи NDVI с температурой воздуха были нарушены и температура мая в 1990-х гг. вносила меньший вклад в формирование растительности в июне.
Для зоны тундры ухудшение корреляции NDVI и температуры воздуха после извержения вулкана Пинатубо не проявилось (рис. 3б). Видно, что июньские значения NDVI на протяжении всего периода наблюдений в значительной степени определяются температурными условиями июня (r ~ 0.9). Однако, стоит отметить, что при значимом положительном тренде температуры воздуха в мае (табл. 1) вклад температур мая в формирование растительного покрова тундры в июне возрастает, коэффициенты корреляции в период с 1993–2012 по 1996–2015 гг. значимы и указывают на среднюю корреляцию (0.5 < r < 0.7). Для NDVI июля температура воздуха уже не является определяющим фактором, коэффициенты корреляции NDVI июля с температурой воздуха июля в середине в конце периода наблюдений значимы, однако близки к критическому значению. Так же как и в случае с NDVI июня для NDVI июля наблюдается рост вклада температуры предыдущего месяца — июня, так же имеющей значимый положительный тренд (табл. 1).
Пространственное распределение коэффициентов корреляции NDVI и температуры воздуха в регионе дает представление об отклике различных ландшафтов на изменения температуры воздуха (рис. 4). Наиболее сильную связь с NDVI мая показывает осредненная температура апреля-мая (рис. 4а), коэффициенты корреляции значимы практически на всей территории региона, исключая прибрежные области северной и арктической тундры. Высокие коэффициенты корреляции (r > 0.7) характерны для северной части Среднеобской низменности, Васюганской и Ишимской равнин.
Стоит отметить, что ландшафты южной части Среднеобской низменности в мае в меньшей степени реагируют на температурные изменения апреля-мая, максимальные тренды NDVI на этой территории наблюдаются в апреле и октябре (рис. 2). Рассматривая связь NDVI мая с температурой воздуха в отдельные месяцы можно заключить, что температурные условия апреля вносят значимый вклад в формирование растительного покрова тайги в мае, особенно высокие коэффициенты корреляции (r > 0.7) отмечаются на правобережье Оби в зоне средней тайги. Температуры воздуха мая оказывают наибольшее воздействие на развитие растительности в мае в зоне северной тайги, а так же в горных и предгорных районах на юго-востоке региона.
На NDVI июня (рис. 4б) в регионе значимое воздействие оказывают температурные условия мая–июня, исключение составляют юго-западные районы рассматриваемой территории, в которых произрастают лиственные леса и лесостепная растительность. Наиболее сильная связь NDVI июня с температурой воздуха июня (r > 0.7) проявляется в районах северной тайги и тундры. Температура мая оказывает меньшее влияние на развитие растительности в июне, однако, в некоторых районах (северный Урал, восток Васюганской равнины, болотные массивы, расположенные в долине р. Пур и северной части Среднеобской низменности между параметрами отмечается средняя корреляция (0.5 < < r < 0.7).
Для NDVI июля значимая связь (r > 0.5) проявляется преимущественно с температурой июня в зоне тундры (рис. 4в), на остальной территории региона коэффициенты корреляции незначимы, близки к нулю, либо отрицательны.
Рис. 4. Коэффициенты корреляции NDVI: а — мая, б — июня, в — июля с температурой воздуха в летне-осенние месяцы (критическое значение коэффициента корреляции 0.34).
ЗАКЛЮЧЕНИЕ
По результатам проделанной работы выявлено, что на фоне повышения температур воздуха в Западной Сибири в весенне-летние месяцы наблюдается увеличение значений вегетационного индекса NDVI. Показано, что сезонное развитие растительности таежной и тундровой зон Западной Сибири в значительной степени определяется ее развитием в первый месяц теплого периода: май — для таежной и июнь — для тундровой зон. Коэффициенты корреляции NDVI за теплый период с NDVI в мае для тайги и в июне для тундры составляют 0.75 и 0.85 соответственно.
Значение NDVI в мае в зоне тайги формируется под воздействием температур апреля–мая: 20-летние скользящие коэффициенты корреляции NDVI мая с осредненной температурой воздуха апреля–мая в 1982–2015 гг. изменяются в диапазоне 0.84–0.93. Не смотря на то, что значимый вклад в развитие растительности в мае вносят как температуры мая, так и температуры апреля, отмечается достоверное снижение вклада температуры мая и увеличение вклада температуры апреля в майское значение NDVI в зоне тайги. При анализе пространственного распределения коэффициентов корреляции выявлено, что наиболее высокие значения (r > 0.7) NDVI мая с температурой воздуха апреля отмечаются на правобережье Оби в зоне средней тайги, с температурой воздуха мая — в зоне северной тайги и горных и предгорных районах юго-востока региона; на осредненную температуру апреля–мая в большей степени реагируют ландшафты северной части Среднеобской низменности, Васюганской и Ишимской равнин. Центральные и восточные районы зоны тайги в июне так же демонстрируют значимый отклик на температурные условия мая и июня.
Растительность тундры отвечает на температурное воздействие преимущественно в июне, 20-летние скользящие коэффициенты корреляции NDVI в июне с июньскими температурами воздуха на протяжении всего периода наблюдений изменяются слабо и близки к 0.9. В связи с наблюдающимся потеплением в зоне тундры в мае и июне (значения линейного тренда температуры воздуха в 1982–2015 гг. 3.26 и 3.33°C соответственно) отмечается рост вклада майс-ких температур воздуха в NDVI июня и июньс-ких температур воздуха в NDVI июля. Высокие коэффициенты корреляции (r > 0.7) NDVI июня и температуры воздуха июня характерны для всей территории тундры за исключением северных прибрежных районов. В июле связь NDVI с температурой воздуха ослабевает, однако, в большинстве районов тундры, за исключением прибрежных, остается значимой (0.5 < r < 0.7).
ИСТОЧНИК ФИНАНСИРОВАНИЯ
Исследование выполнено в рамках госбюджетной темы № АААА-А17–117013050038–7.
作者简介
V. Zuev
Institute of Monitoring of Climatic and Ecological Systems
Email: katia_sova@mail.ru
俄罗斯联邦, Tomsk
E. Korotkova
Institute of Monitoring of Climatic and Ecological Systems
编辑信件的主要联系方式.
Email: katia_sova@mail.ru
俄罗斯联邦, Tomsk
A. Pavlinsky
Institute of Monitoring of Climatic and Ecological Systems
Email: katia_sova@mail.ru
俄罗斯联邦, Tomsk
参考
- Alekseeva M.N., Yashchenko I.G. Ekologicheskii monitoring neftedobyvayushchikh territorii na osnove kosmicheskikh snimkov [Ecological monitoring of oil-producing territories on the basis of space images] // Interekspo Geo-Sibir'. 2013. V. 4. № 2. P. 101–106. (In Russian)
- Allen C.D., et al. A global overview of drought and heat-induced tree mortality reveals emerging climate change risks for forests // Forest Ecol. Manag. 2010. V. 259. № 4. P. 660–684. doi: 10.1016/j.foreco.2009.09.001
- Bartalev S.A. et al. Sputnikovoe kartografirovanie rastitel'nogo pokrova Rossii po dannym spektroradiometra MODIS [Mapping of Russia's vegetation cover using MODIS satellite spectroradiometer data] // Sovrem. probl. dist. zondir. Zemli iz kosmosa. 2011. V. 8. № 4. P. 285–302. (In Russian)
- Beck P.S.A., Goetz S.J. Satellite observations of high northern latitude vegetation productivity changes between 1982 and 2008: ecological variability and regional differences // Environ. Res. Lett. 2011. V. 6. № 6. doi: 10.1088/1748-9326/6/4/045501
- Belonovskaya E.A. et al. «Pozelenenie» Rossiiskoi Arktiki i sovremennye trendy izmeneniya ee bioty [«Greening» of the Russian Arctic and the Modern Trends of Transformation of Its Biota] // Izvestiya RAN. Seriya geograficheskaya. 2016. № 3. P. 28–39. (In Russian)
- Bukvareva E.N. Rol' nazemnykh ekosistem v regulyatsii klimata i mesto Rossii v postkiotskom protsesse [The role of terrestrial ecosystems in climate regulation and Russia's place in the post-Kyoto process]. M: Tovarishchestvo nauchnykh izdanii KMK. 2010. 97 p. (In Russian)
- Dee D.P. et al. The ERA‐Interim reanalysis: Configuration and performance of the data assimilation system // Q. J. Roy. Meteor. Soc. 2011. V. 137. № 656. P. 553–597. doi: 10.1002/qj.828
- Elsakov V.V., Telyatnikov M.Yu. Mezhgodovye izmeneniya indeksa NDVI na territorii Evropeiskogo severo-vostoka Rossii i Zapadnoi Sibiri v usloviyakh klimaticheskikh fluktuatsii poslednikh desyatiletii [Effects of interannual climatic fluctuations of the last decade on NDVI in north-eastern European Russia and Western Siberia] // Sovrem. probl. dist. zondir. Zemli iz kosmosa. 2013. V. 10. № 3. P. 260–271. (In Russian)
- Gauthier S., Bernier P., Kuuluvainen T., Shvidenko A.Z., Schepaschenko D.G. Boreal forest health and global change // Science. 2015. V. 349. № 6250. P. 819–822. doi: 10.1126/science.aaa9092
- GLOSIS - GSOCmap (v1.5.0) [Электронный ресурс]. URL: http://54.229.242.119/GSOCmap/ (дата обращения 22.07.2019).
- Goetz S.J., Prince S.D. Modelling terrestrial carbon exchange and storage: evidence and implications of functional convergence in light-use efficiency // Adv. Ecol. Res. 1999. V. 28. P. 57–92.
- Gauthier S., Bernier P., Kuuluvainen T., Shvidenko A.Z., Schepaschenko D.G. Boreal forest health and global change // Science. 2015. V. 349. № 6250. P. 819–822. doi: 10.1126/science.aaa9092
- GLOSIS - GSOCmap (v1.5.0) [Электронный ресурс]. URL: http://54.229.242.119/GSOCmap/ (дата обращения 22.07.2019).
- Goetz S.J., Prince S.D. Modelling terrestrial carbon exchange and storage: evidence and implications of functional convergence in light-use efficiency // Adv. Ecol. Res. 1999. V. 28. P. 57–92.
- Kobzar' S.K., Peremitina T.O., Yashchenko I.G. Analiz sostoyaniya rastitel'nosti neftedobyvayushchikh territorii Tomskoi oblasti s primeneniem dannykh distantsionnogo zondirovaniya [Analysis of vegetation of oil producing areas in Tomsk region using remote sensing data] // Opt. atm. i okeana. 2016. V. 29. № 5. P. 414–418. (In Russian)
- Korkina E.A., Talyneva O.Yu. Antropogennaya transformatsiya prirodnykh landshaftov v zone tekhnogeneza neftedobyvayushchei promyshlennosti Srednego Priob'ya [Anthropogenic transformation of natural landscapes in zone of oil-extracting industry technogenesis in middle Preobye] // Izvestiya SamNTs RAN. 2015. V. 17. № 5. P. 40–44. (In Russian)
- Marshall M., Okuto E., Kang Y., Opiyo E., Ahmed M. Global assessment of vegetation index and phenology lab (VIP) and global inventory modeling and mapping studies (GIMMS) version 3 products // Biogeosciences. 2016. V. 13. № 3. P. 625–639. doi: 10.5194/bgd-12-9081-2015.
- Minin A.A., Voskova A.V. Gomeostaticheskie reaktsii rastenii na sovremennye izmeneniya klimata: prostranstvenno-fenologicheskie aspekty [Homeostatic Responses of Plants to Modern Climate Change: Spatial and Phenological Aspects] // Ontogenez. 2014. V. 45. № 3. P. 162–169. (In Russian)
- Ovchinnikova T.M., Fomina V.A., Andreeva E.B., Dolzhkovaya N.P., Sukhovol'skii V.G. Analiz izmenenii srokov sezonnykh yavlenii u drevesnykh rastenii zapovednika «Stolby» v svyazi s klimaticheskimi faktorami [Season dynamic changes for trees in the reserve «Stolby» depended on climate factors] // Khvoinye boreal'noi zony. 2011. V. 28. № 1–2. P. 54–59. (In Russian)
- Pinzon J.E., Tucker C.J. A Non-Stationary 1981-2012 AVHRR NDVI3g Time Series // Remote Sens. 2014. V. 6. № 8. P. 6929-6960. doi: 10.3390/rs6086929.
- Rakovskaya E.M., Davydova M.I. Fizicheskaya geografiya Rossii. Chast' 2 [Physical geography of Russia. Part 2]. M.: Vlados, 2001. 304 p. (In Russian)
- Robock A. Volcanic eruptions and climate // Rev. geophys. 2000. V. 38. № 2. P. 191-219. doi: 10.1029/1998RG000054.
- Seddon A.W.R., Macias-Fauria M., Long P.R., Benz D., Willis K.J. Sensitivity of global terrestrial ecosystems to climate variability // Nature. 2016. V. 531. № 7593. P. 229-232. doi: 10.1038/nature16986
- Seidl R. et al. Forest disturbances under climate change // Nat. Clim. Change. 2017. V. 7. № 6. P. 395–402. https://doi.org/10.1038/nclimate3303
- Sharikalov A.G., Yakutin M.V. Dinamika lesnykh ekosistem na territoriyakh mestorozhdenii uglevodorodnogo syr'ya v podzone severnoi taigi Zapadnoi Sibiri [The dynamics of wood ecosystems on territories with hydrocarbonic raw materials deposits in a northern taiga subzone in western Siberia] // Interekspo Geo-Sibir'. 2012. V. 2. № 3. P. 61–66. (In Russian)
- Tian F., Fensholt R., Verbesselt J., Grogan K., Horion S., Wang Y. Evaluating temporal consistency of long-term global NDVI datasets for trend analysis // Remote Sens. Environ. 2015. V. 163. 326–340. doi: 10.1016/j.rse.2015.03.031
- Titkova T.B., Vinogradova V.V. Otklik rastitel'nosti na izmenenie klimaticheskikh uslovii v boreal'nykh i subarkticheskikh landshaftakh v nachale XXI veka [The response of vegetation to climate change in boreal and subarctic landscapes at the beginning of XXI century] // Sovrem. probl. dist. zondir. Zemli iz kosmosa. 2015. V. 12. № 3. P. 75–86. (In Russian)
- Tishkov A.A. Biogeograficheskie posledstviya prirodnykh i antropogennykh izmenenii klimata [Biogeographical Сonsequences of Natural and Anthropogenic Climate Changes] // Uspekhi sovremennoi biologii. 2011. V. 131. № 4. P. 356–366. (In Russian)
- Tishkov A.A., Krenke-ml. A.N. «Pozelenenie» Arktiki v XXI v. kak effekt sinergizma deistviya global'nogo potepleniya i khozyaistvennogo osvoeniya [«Greening» of the Arctic in the twenty-first century as a synergy effect of global warming and economic development] // Arktika: ekologiya i ekonomika. 2015. V. 20. № 4. P. 28–37. (In Russian)
- Varlamova E.V., Solov'ev V.S. Issledovanie trendov NDVI i fenologicheskikh parametrov rastitel'nosti merzlotnogo regiona Sibiri po sputnikovym nablyudeniyam [Study of NDVI trends and vegetation phenological parameters in permafrost region of Siberia by satellite observations] // Sovrem. probl. dist. zondir. Zemli iz kosmosa. 2017. V. 14. № 3. P. 206–214. (In Russian)
- Vtoroi otsenochnyi doklad Rosgidrometa ob izmeneniyakh klimata i ikh posledstviyakh na territorii Rossiiskoi Federatsii [Second Roshydromet assessment report on climate change and its consequences in Russian Federation]. M.: Rosgidromet, 2014. 1009 p. (In Russian)
补充文件






