Dependence of spectral power of EEG rhythms on menstrual cycle phases in women suffering from epilepsy
- Authors: Karlov V.A.1, Vlasov P.N.1, Eligulashvili T.S.1
-
Affiliations:
- Moscow Medical Dental Institute (MMSI) named after N.A. Semashko
- Issue: Vol XXV, No 1-2 (1993)
- Pages: 62-66
- Section: Original study arcticles
- Submitted: 05.04.2022
- Accepted: 05.04.2022
- Published: 20.09.1993
- URL: https://journals.eco-vector.com/1027-4898/article/view/105950
- DOI: https://doi.org/10.17816/nb105950
- ID: 105950
Cite item
Full Text
Abstract
The effect of menstrual cycle on EEG parameters is investigated in norm, in epilepsy becoming acute in menstrual and perimenstrual periods (catamenial), and in epilepsy whose exacerbation is not connected with menstrual cycle. The ten — dencies to the decrease of spectral power in cycle luteal phase in healthy women and women suffering from epilepsy are mentioned. The primary role of spectrum low-frequency components and total power level in neurodynamics of catamenial epilepsy is shown.
Keywords
Full Text
фото
В литературе имеются указания о влиянии фаз менструального цикла (МЦ) на параметры ЭЭГ как в норме, так и в патологии [1, 2]. С внедрением в клиническую практику методов автоматизированной оценки частотных составляющих ритмов ЭЭГ появилась возможность их точной количественной оценки.
Целью работы являлось изучение спектральной мощности ритмов ЭЭГ у больных эпилепсией в зависимости от фаз МЦ.
Для оценки нейродинамики головного мозга применялось быстрое преобразование по Фурье. Запись осуществляли в линейном режиме с затылочных монополярных отведений на анализаторе «Берг-Фурье 2037» фирмы «О.Т.Е. Биомедика» (Италия). Оценивали значение суммарной мощности и частотных составляющих с затылочных монополярных отведений в диапазонах 0,5-3,5; 4,0-7,5; 8,0-12,0; 12,5-15,0; 15,5-19,0; 19,5- 32,0 Гц. Соответствующих дельта-, тета-, альфа-, сигма-, бета- 1- и бета-2-активности в стандартных условиях записи (эпоха анализа - 60 с при постоянной времени 0,3). Регистрировали также частоту доминирующего ритма (ЧДР). Исследование проводили трехкратно: в первый день МЦ, в середине фолликулиновой и лютеиновой фаз цикла, что при 28-дневном МЦ соответствовало 7 и 21-му дням. Исходя из большого объема первичного материала мы ограничились анализом данных, полученных на 2-й минуте фоновой записи, соответствующих расслабленному бодрствованию (Ф), на 2-й минуте гипервентиляции (Г/В) и на второй минуте постгипервентиляционного периода (пГ/В) как наиболее характерных. Обследовано 7 здоровых женщин (Н) с благоприятной наследственностью и отсутствием нейроэндокринной патологии (средний возраст — 28,4±2,3); 25 больных с катамениальными (менструальными) эпилептическими (КЭ) припадками (средний возраст 25,2±1,9) и 15 больных эпилепсией (Э), припадки у которых не были связаны с менструальным периодом (средний возраст - 26,2±2,5). По длительности заболевания, тяжести течения, медикаментозному лечению группы Э и КЭ существенно не различались. В обеих группах преобладали больные с височной эпилепсией (в группе больных КЭ незначительно доминировала правосторонняя латерализация эпилептического очага, в группе Э - левосторонняя). Больные с выраженной межполушарной асимметрией либо с умеренной неврологической симптоматикой обследованию не подлежали.
Исходные спектры групп в фоновой записи характеризовались преобладанием альфа-ритма и в меньшей степени тета- диапазона с постепенным снижением мощностей по обе стороны от доминирующего пика. Гипервентиляция приводила к нарастанию мощности в левой части спектра, соответствующих тета-и дельта-ритмам, при этом частота доминирующего пика также смещалась влево. Данные спектрального анализа фоновой активности представлены на рис. 1.
Рис. 1. Показатели спектральной мощности (мкВ2) фоновой активности по дням менструального цикла (значения в 4 раза меньше истинных, так как коэффициент усиления равен 0,25).
Как видно из представленной диаграммы, суммарная мощность в фоновой активности на протяжении цикла в группе здоровых имела тенденцию к снижению за счет всех исследуемых спектров.
Общая динамика фоновой активности в группе больных КЭ характеризовалась также уменьшением суммарной мощности ритмов коры от 1 к 7 и 21-му дням с преобладанием по абсолютному значению мощности левого полушария. Мощность альфа-ритма слева в 1-й день превышала аналогичный показатель на 7-й день цикла, однако в абсолютных значениях на 7-й день мощности дельта- и тета- слева и дельта-, тета-, альфа-спектров справа были выше значений этих мощностей в 1-й день МЦ (отличия, однако, не достигали достоверного уровня).
В группе больных с Э суммарная мощность имела наивысшее значение на 7-й день МЦ преимущественно за счет альфа-ритма с обоих отведений и в меньшей степени за счет низкочастотных составляющих спектра (дельта- и тета-). На 21-й день мощность дельта-, тета- и альфа-спектров была ниже, чем на 7-й день, но по сравнению с 1-м днем значения слева были меньше, а справа приблизительно совпадали.
С учетом того, что мощность альфа-спектра пропорциональна уровню активации в группе здоровых, минимальный уровень активации получен в 1-й день МЦ, в группе Э - на 7-й день и в группе КЭ — в 1-й день МЦ, что коррелирует с наивысшим индексом эпилептических пароксизмов в эти дни цикла по результатам визуального анализа.
При более детальном изучении материала на группе здоровых в 1-й день МЦ выявлено преобладание в фоновой активности суммарной мощности левого полушария головного мозга, преимущественно за счет альфа-спектра (межполушарная асимметрия составила 12,4%, соответственно по альфа-активности - 14,1%). На 7 и 21-й дни за все периоды наблюдения преобладала суммарная мощность правого полушария в среднем 11-12% с наименьшим значением межполушарной асимметрии на 21-й день МЦ (в пГ/В периоде - 1,25%). Частота доминирующего альфа-ритма в фоновой записи от 1 к 7-му дню снижалась в среднем на 0,22 Гц; к 21-му дню по сравнению с 7-м возрастала слева на 0,65, а справа на 0,28 Гц, превышая по значению доминирующую частоту в 1 и 7-й дни наблюдения. На протяжении цикла суммарная мощность в фоновой записи имела тенденцию к снижению также преимущественно за счет мощности альфа- ритма от 1 к 7-му дню на 29,4% слева и на 8,4% справа, и от 7 к 21-му дню на 34,4% и 32,6% соответственно. Сходная динамика ритмов зарегистрирована как на 2-й минуте Г/В, так и в пГ/В периоде. В абсолютных значениях мощности дельта- и тета-ритмов, а также высокочастотных составляющих спектра в 1 и 7 дни МЦ были больше по сравнению с таковыми на 21-й день, однако различия не достигали уровня статистической достоверности. Анализ нейродинамики головного мозга в ответ на Г/В в зависимости от фаз МЦ показал, что как показатель суммарной мощности, так и составляющие претерпевали минимальные изменения в лютеальной фазе цикла (на 21-й день) по сравнению с 1 и 7-м днями. Динамика фоновой активности здоровой женщины по дням МЦ отражена на рис. 2.
Рис. 2. Динамика спектральной мощности ритмов ЭЭГ здоровой женщины 32 лет в различные фазы менструального цикла (затылочные монополярные отведения).
Фоновая активность в 1-й день МЦ по суммарной мощности и спектрам была в среднем в 1,2-2,5 раза больше по Э: Н и в 2,0-3,7 - при КЭ: Н. Анализ сравнения мощностей по группам (Н, Э, КЭ), фазам цикла (1,7,21-й дни) и периодам наблюдения (Ф, Г/В, пГ/В), проведенный непараметрическим методом с использованием парного критерия Вилкенсона, выявил статистически значимое преобладание спектральной мощности у больных с КЭ в сравнении с Н практически по всем специальностям (за исключением альфа-мощности в 1-й день) и всем периодам наблюдения с максимальной достоверностью на 21-й день (Р<0,01).
Различия в группах Н и Э отмечены в 1-й день МЦ по дельта-и тета-ритмам за период Г/В и пГ/В; на 7-й день выявилась тенденция к различию по альфа- и сигма- в Ф, которая усилилась до достоверной по всем спектрам на 21-й день (Р<0,05-0,01) за счет преобладания спектральной мощности у женщин с Э и относительного резкого уменьшения мощности в группе Н. Группы КЭ и Э различались преимущественно за счет низкочастотных составляющих спектра также с максимальной достоверностью на 21-й день МЦ по дельта-ритму (Р<0,01), тета-активности (Р<0,05) и тенденцией к достоверному различию по суммарной мощности (Р<0,09).
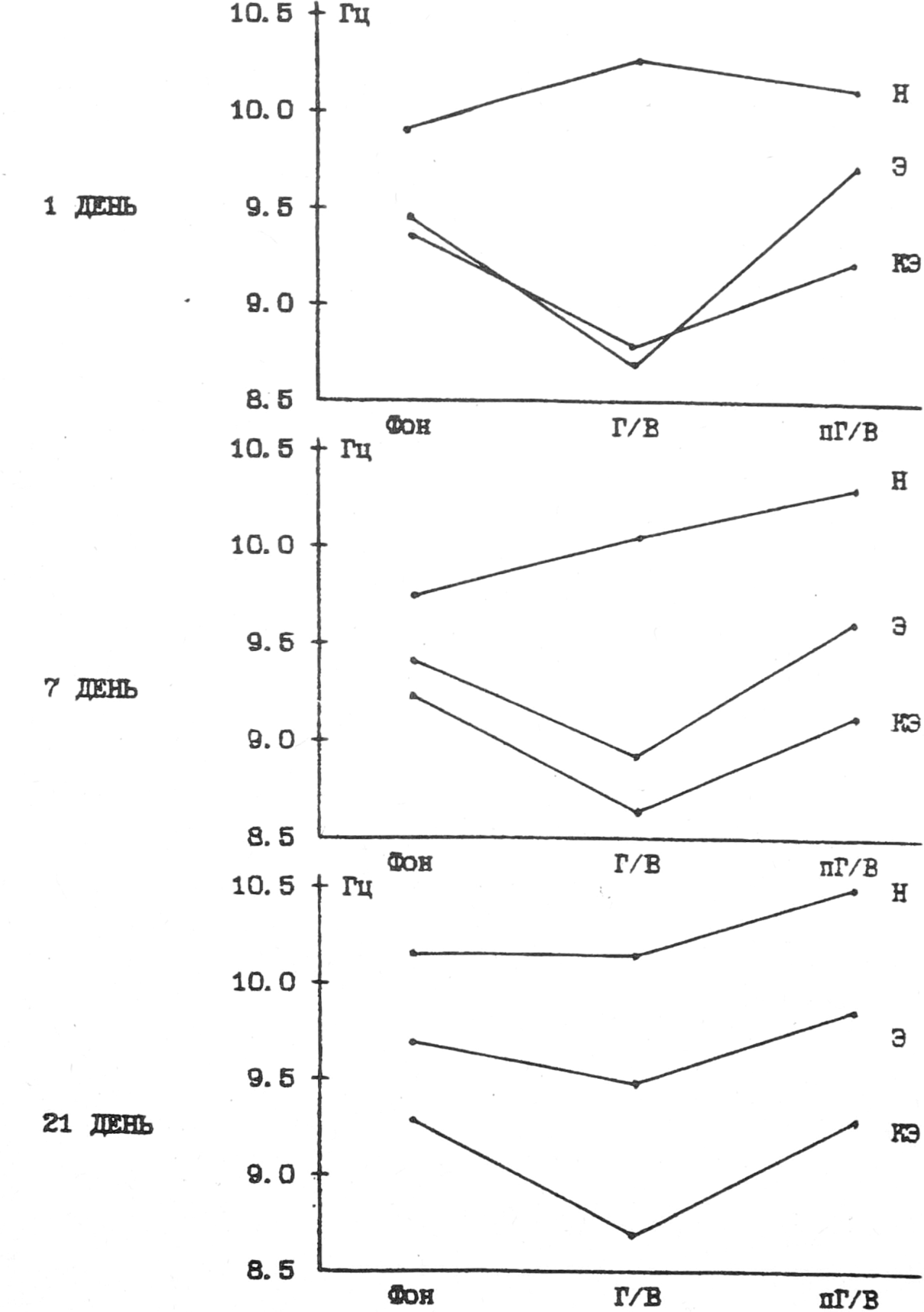
Частота доминирующего ритма (ЧДР) была самой низкой в группе КЭ и наивысшей в группе Н, а показатели женщин с Э находились в промежуточном положении с тяготением к уровню ЧДР при КЭ в 1-й день цикла и к возрастанию на 21-й день. Динамика ЧДР по дням и периодам отражена на рис. 3.
Рис. 3. Усредненная частота доминирующего ритма в различные фазы менструального цикла (усредненная частота = ЧДР слева + ЧДР справа/2).
Итак, у здоровых женщин спектральные характеристики на 21-й день МЦ выявляют повышение уровня активации за счет меньшей представленности альфа-мощности, уменьшения межполушарной асимметрии, повышения ЧДР, снижения в абсолютных значениях уровня мощности низкочастотных составляющих спектра и минимального прироста мощности во время Г/В по всем частотным диапазонам, что свидетельствует об относительно более стабильной нейродинамике. Больные с КЭ характеризуются определенным нейрофизиологическим типом с высокой суммарной мощностью ритмов, преимущественно за счет дельта-, тета- активности с относительным «дефицитом резерва десинхронизации» и низким ЧДР главным образом в 1-й день цикла. У больных с Э наблюдалась менее выраженная зависимость соотношения ритмических „составляющих и суммарной мощности. При КЭ уровень активации'оказался самым низким преимущественно в 1- й день, а при Э - на 7-й день МЦ, что коррелирует с повышением индекса пароксизмальной активности в эти дни цикла.
About the authors
V. A. Karlov
Moscow Medical Dental Institute (MMSI) named after N.A. Semashko
Author for correspondence.
Email: info@eco-vector.com
Professor, Head of the Department of Nervous Diseases of the Faculty of Medicine
Russian Federation, MoscowP. N. Vlasov
Moscow Medical Dental Institute (MMSI) named after N.A. Semashko
Email: info@eco-vector.com
Department of Nervous Diseases, Faculty of Medicine, Department of Pathology of the Autonomic Nervous System, I.M. Sechenov Moscow Medical Academy
Russian Federation, MoscowT. S. Eligulashvili
Moscow Medical Dental Institute (MMSI) named after N.A. Semashko
Email: info@eco-vector.com
Department of Nervous Diseases, Faculty of Medicine, Department of Pathology of the Autonomic Nervous System, I.M. Sechenov Moscow Medical Academy
Russian Federation, MoscowReferences
- Holmes G.L., Donaldson J.O.// J. Clin. Neurophysiol. - 1987.- Vol.4. - P. 1-22.
- Matsuura M., Yamamoto K., Fukuzawa H. et al.// Electroenc. Clin. Neurofis. - 1985. - Vol. 60. - P. 394-406
Supplementary files







