Possibility of identifying 1H-indolylaminium trifluoroacetates with antimicrobial activity by mass spectrometry
- Authors: Stepanenko I.S.1, Yamashkin S.A.2, Mikhailova L.V.1, Timofeeva A.S.1, Akhmedov A.N.1, Platkova T.N.3
-
Affiliations:
- Volgograd State Medical University
- Mordovian State Pedagogical University named after M. E. Evseviev
- N. P. Ogarev Mordovian State University
- Issue: Vol 21, No 3 (2024)
- Pages: 161-167
- Section: Original Researches
- URL: https://journals.eco-vector.com/1994-9480/article/view/639949
- DOI: https://doi.org/10.19163/1994-9480-2024-21-3-161-167
- ID: 639949
Cite item
Full Text
Abstract
The present study proposes a convenient approach to identify a series of novel substituted 1H-indol-5-,6-ylaminium trifluoroacetates with antimicrobial activity based on mass spectral data obtained using direct injection into an ion source at an elevated temperature when the salts decompose with the release of counterions: acids and organic bases – substituted 1H-indolylamines. By the presence of ions with m/z 69, 45, 28, 17 in the spectra, it is judged that the salts are formed by trifluoroacetic acid. Using the available literature data on the mass spectrometry of substituted indoles, aromatic amines, and carboxylic acids, substantiated schemes for the decomposition of molecular ions of organic bases, 1H-indolylamines, are compiled and discussed, in which the mechanism of formation and the structure of fragment ions arising under electron ionization conditions are given. The revealed general, as well as individual for individual representatives with a certain character and place of substitution in the indole bicycle, patterns of behavior of 1H-indolylamine radical ions under conditions of high-temperature mass spectral imaging make it possible to judge their structure and, in general, the structure of 1H-indolylamine trifluoroacetates. The approach used in this work can also be used to prove compounds of a similar group based on the analysis of their mass spectra.
Full Text
Осуществляя целенаправленный поиск новых биологически активных соединений, авторы работы [1, 2] на основе 1Н-индол-5,6-иламинов 1–9 получили растворимые в воде трифторметилсодержащие производные индола – 1Н-индол-5,6-иламиния трифторацетаты 10-18 с ярко выраженной противомикробной активностью (рис. 1).
Рис. 1. Схема получения индолиламиния трифторацетатов 10–18 из индолиламинов 1–9
Все полученные соединения, обладая противомикробным действием, превышающий активность препарата сравнения – диоксидина, способны подавлять рост исследуемых тест-штаммов микроорганизмов в различных минимальных подавляющих концентрациях. В качестве доказательства строения полученных солей 10–18, помимо проанализированных спектров ЯМР (1Н, 19F), УФ-спектров, результатов элементного анализа, были приведены не интерпретированные цифровые версии спектральных характеристик поведения их в условиях электронной ионизации. Однако даже первичная расшифровка масс-спектров позволяет сделать следующие предварительные выводы о соединении: установить истинную молекулярную массу анализируемого соединения, предположить число атомов азота в молекуле («азотное правило»), установить приблизительное число атомов углерода в составе изучаемой молекулы. На основании полученных результатов делается предварительная оценка качественного и количественного брутто-состава исследуемого соединения. В условиях электронной ионизации молекулы приобретают избыточную энергию, которая вызывает деструкцию образующегося молекулярного иона [M]+.с образованием осколочных (фрагментных) и перегруппировочных ионов, характеризующих структуру изучаемого соединения [3].
ЦЕЛЬ РАБОТЫ
Интерпретация цифровых версий масс-спектров соединений 10–18 с предложением схем распада, в которых обоснованно предлагается механизм образования и строение фрагментных ионов, возникающих в условиях высокотемпературной электронной ионизации. При этом проводится выявление общих, а также индивидуальных для отдельных представителей в зависимости от места и характера замещения в индольной структуре закономерностей поведения в условиях электронной ионизации 1Н-индолиламиния трифторацетатов, подтверждающих их строение. Составление масс-спектральных схем распада 1Н-индолиламиния трифторацетатов осуществляется аргументированно на основании имеющихся литературных данных по масс-спектральному распаду замещенных индолов, ароматических аминов, карбоновых кислот.
МЕТОДИКА ИССЛЕДОВАНИЯ
Масс-спектры 1Н-индолиламиния трифторацетатов 10–18 зарегистрированы на масс-спектрометре «Finnigan MAT INCOS-50» методом прямого ввода соединений в ионный источник при энергии ионизации 70 эВ и повышенной температуре, при которой соли разлагаются с выбросом противоионов: солеобразующей кислоты и органического основания, как это описано при исследовании бипиридиниевых солей в работе [4]. В этих условиях в масс-спектрах фиксируются сигналы молекулярных ионов кислоты, соответствующего основания и их фрагментные ионы.
РЕЗУЛЬТАТЫ ИССЛЕДОВАНИЯ И ИХ ОБСУЖДЕНИЕ
Масс-спектры высокотемпературной электронной ионизации для всех исследованных трифторацетатов 10–18 характеризуются пиками максимальной интенсивности ионов Ф(1–9), m/z которых соответствуют молекулярным ионам 1Н-индолиламинов 1–9, что свидетельствует об их участии в образовании солей (рис. 2).
Рис. 2. Схема первичного распада индолиламиния трифторацетатов 10–18 в условиях высокотемпературной электронной ионизации
Участие же в построении соединений 10–18 трифторуксусной кислоты подтверждается наличием в масс-спектрах характерных для ее распада сигналов фрагментных частиц с m/z 69(F3С+), 45(HООС+), 28(CO+) –молекулярный ион трифторуксусной кислоты в условиях высокотемпературной электронной ионизации не стабилен и его сигнал в масс-спектрах не обнаруживается. Сигналы частиц с m/z 45 и 28 в масс-спектрах тригалогеноуксусных кислот (например, трихлоруксусной кислоты) являются характеристическими [5].
Полученные данные по характеристическим сигналам ионов в масс-спектрах 1Н-индол-5-,6-иламиния трифторацетатов 10–18 приведены в табл.
Значения характеристических ионов в масс-спектрах соединений 10–18
1Н-индол-5-,6-иламиния трифторацетаты | ||||||
Масс-спектр: m/z (относительная интенсивность, %) | ||||||
№ соединения | **M+. (Ф) | *[М-1]+ (Ф1,Ф5) | *[М-15]+ (Ф2,Ф5,Ф8) | m/z 69*** | m/z 45*** | m/z 28*** |
10 | 160 (100) | 159 (77) | 145 (35) | (23) | (30) | (33) |
11 | 174 (100) | 173 (82) | 159 (48) | (30) | (35) | (35) |
12 | 146 (100) | 145 (87) | – | (16) | (20) | (19) |
13 | 208 (100) | 207 (15) | – | (16) | (19) | (27) |
14 | 222 (90) | 221 (38) | 207 (9) | (22) | (24) | (9) |
15 | 174 (100) | 173 (88) | 159 (30) | (54) | (74) | (55) |
16 | 188 (100) | 187 (71) | 173 (39) | (44) | (79) | (61) |
17 | 190 (100) | – | 175 (96) | (21) | (24) | (11) |
18 | 204 (100) | 203 (7) | 189 (74) | (12) | (12) | (8) |
1Н-индол-5-,6-иламиния трифторацетаты | ||||||
Масс-спектр: m/z (относительная интенсивность, %) | ||||||
№ соединения | *[М-28]+ (Ф3) | *[М-1-27]+ (Ф6) | *[М-15-27]+ (Ф6) | *[М-15-28]+ (Ф9) | *[М-42]+ (Ф4) | *[М-104]+ (Ф7) |
10 | 132 (8) | – | – | – | – | – |
11 | 146 (8) | – | – | – | – | – |
12 | 118 (10) | – | – | – | 104 (5) | – |
13 | 180 (116) | – | – | – | 104 (25) | |
14 | 194 (5) | – | 180 (9) | – | – | – |
15 | – | – | – | – | – | – |
16 | – | – | – | – | – | – |
17 | – | – | – | 147 (70) | – | – |
18 | – | – | – | 161 (47) | – | – |
* Фрагментные ионы диссоциативной электронной ионизации 1Н-индол-5-,6-иламинов 1–9.
** Молекулярные ионы 1Н-индол-5-,6-иламинов 1–9.
*** Фрагментные ионы диссоциативной электронной ионизации CF3COOH.
Основными сигналами с высокой интенсивностью после пиков молекулярных ионов Ф (1–9) в масс-спектрах соединений 10, 11, 12, 16, 17 являются сигналы фрагментных ионов Ф1 с m/z [M-1]+ и Ф2 с m/z [M-15]+, что свидетельствует о параллельном элиминировании от молекулярных ионов атома водорода и метильного радикала (рис. 3).
Такие превращения в условиях электронной ионизации характерны для метилзамещенных в пиррольном кольце индолов [6]. При этом происходит расширение пятичленного цикла в молекуле индола до шестичленного кольца с образованием ионов хинолиния. Следовательно, соединения 10, 11, 16, 17, в масс-спектрах которых имеются интенсивные сигналы ионов Ф с m/z 160(1), 174(2), 174(6), 188(7), Ф1 с m/z 159(1), 173(2), 173(6), 187(7), Ф2 с m/z 145(1), 159(2), 159(6), 173(7), однозначно являются трифторацетатами производных 2,3-диметил-, 1,2,3-триметил-1Н-индол-5- и 2,3,5-триметил-, 1,2,3,5-тетраметил-1Н-индолов.
Рис. 3. Схема распада ионов Ф(1–3, 6, 7) в условиях электронной ионизации
Масс-спектр соединения 12 характеризуется наличием сигналов ионов Ф с m/z 146(3), Ф1 с m/z 145(3), Ф5 с m/z 104(3) и отсутствием сигнала иона Ф2 в отличие от спектров соединений 10, 11, 16, 17. Это свидетельствует о том, что соль 12 образована производным монометилзамещенного в пиррольном кольце индола (2- или 3-метил-1Н-индола). Сигнал фрагментного иона Ф5(3) в спектре соли 12 дает возможность определения места расположения метильной группы в пиррольном кольце. Образование этого иона возможно только при деструкции пиррольного фрагмента молекулярного иона Ф(3) производного 2-метилиндола путем элиминирования иминоэтанильного радикала [HN = C-CH3]..
В масс-спектрах солей 10, 11, 12 также проявляются сигналы фрагментных ионов Ф3 (предположительно структуры циклопента[b]пиррилия) с m/z 132(1), 146(2), 118(3), которые соответствуют элиминированию от молекулярных ионов Ф(1, 2, 3) частицы СН2N.с массовым числом 28, что свидетельствует об 1Н-индолиламинной структуре оснований. Подобная деструкция характерна для аминобензольного кольца ароматических аминов [7; 8]. Следовательно, ионы Ф(1, 2, 3) являются молекулярными ионами 2,3-диметил-, 1,2,3-триметил-, 2-метил-1Н-индол-5-иламинов, а соединения 10, 11, 12 их трифторацетатами.
Масс-спектры соединений 15, 16 менее информативны из-за отсутствия сигналов фрагментных ионов Ф3(6,7), которые по аналогии с соединениями 10, 11, 12 должны бы иметь место. По-видимому, фрагментация молекулярных ионов Ф(6, 7) при участии бензольного цикла в случае орто-расположенных метильной- и аминогрупп путем элиминирования метаниминильного радикала с возможным образованием соответствующих ионов метилциклопента[b]пиррилия не реализуется.
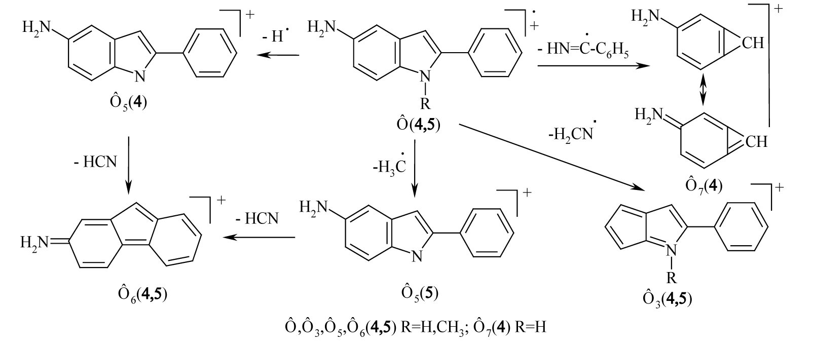
В масс-спектрах соединений 13, 14 храктеристическими являются сигналы молекулярных ионов Ф(4, 5) соединений 4, 5 с m/z 208(4), 222(5), фрагментных ионов Ф5 с m/z 207(4, 5), Ф6 с m/z 180(4, 5) и Ф7 с m/z 104(4). Наличие в спектре соли 13 сигнала фрагментного иона Ф7 с m/z 104 (аналогия с солью 12) свидетельствует о том, что в образовании ее молекулы принимает участие 2-фенил-1Н-индолиламин. Перегруппировочный ион Ф7 предположительно структуры бицикло[4.1.0]гепта-1,3,5-триенил-3-иламина, стабилизированный за счет наличия резонансной формы иона бицикло[4.1.0]гепта-1,4,6-триен-3-иминия, возникает за счет деструкции 2-фенилпиррольного кольца в молекулярном ионе Ф(4) путем элиминирования иминофенилметанильного радикала [HN = C-C6H5] (рис. 4).
Рис. 4. Схема распада ионов Ф(4, 5) в условиях электронной ионизации
Как уже отмечалось в случае соединения 3, такая фрагментация характерна для β-незамещенных индолов. Сигнал фрагментного иона Ф5 с m/z 207(4, 5) в масс-спектре как соединения 4, так и 5 следует объяснить элиминированием атома водорода от молекулярного иона Ф(4) и метильного радикала от – Ф(5). Наличие в масс-спектрах солей 13, 14 сигнала фрагментного иона Ф6(4, 5) с m/z 180 дает возможность судить о характерной для производных 2-фенил-1Н-индола перегруппировке иона Ф5 с потерей молекулы цианистого водорода [6], что подтверждают соединения 4, 5 как производные 2-фенил- и 1-метил-2-фенил-1Н-индолов. Сигналы фрагментных ионов Ф3(4, 5) с m/z 180(4), 194(5) в спектрах солей 13, 14 отвечают элиминированию от молекулярных ионов Ф(4, 5) частицы СН2N с массовым числом 28 и дают возможность свидетельствовать о том, что Ф(4, 5) являются молекулярными ионами 2-фенил- и 1-метил-2-фенил-1Н-индол-5-иламинов, а соединения 13, 14 их трифторацетатами.
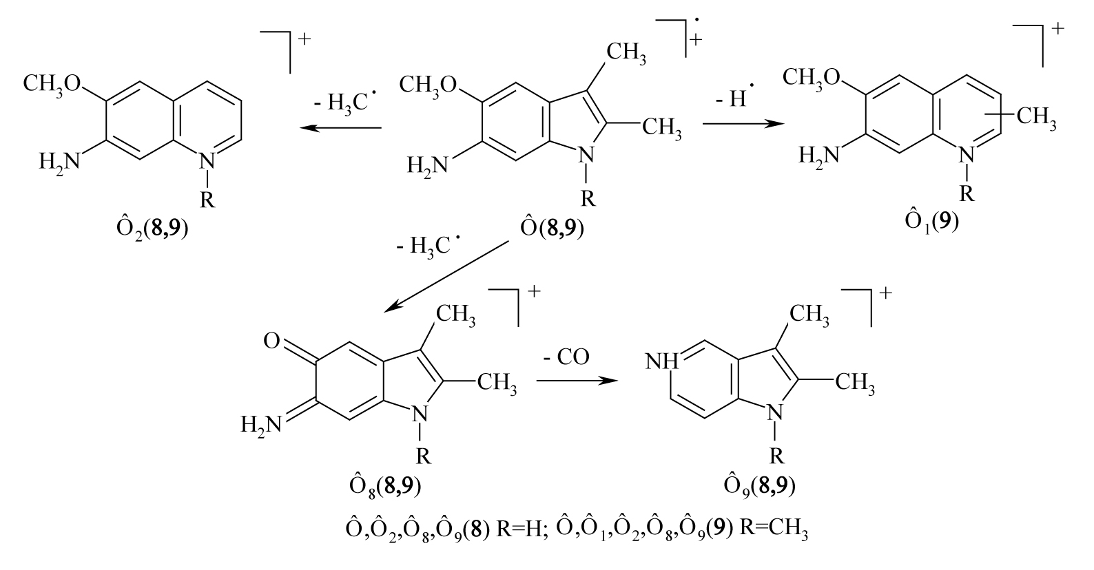
В масс-спектрах соединений 17, 18 наряду с сигналами молекулярных ионов Ф(8) с m/z 190, Ф(9) с m/z 204 с максимальной интенсивностью проявляются также высокоинтенсивные сигналы фрагментных ионов Ф2(8) с m/z 175, Ф2(9) с m/z 189, соответствующие по массовому числу элиминированию метильного радикала от молекулярных ионов. Это свидетельствует о том, что соединения 8, 9 являются 2,3-диметилированными индольными структурами (рис. 5).
Рис. 5. Схема распада ионов Ф(8, 9) в условиях электронной ионизации
Однако значительно более высокие значения относительных интенсивностей фрагментных ионов Ф2(8, 9) к молекулярному иону (в среднем ~85 %) по сравнению с относительными интенсивностями таких же ионов для выше рассмотренных полиметилированных индолов (в среднем ~38 %) дает возможность констатировать, что для молекулярных ионов Ф(8, 9) фрагментация с потерей метильного радикала протекает и по другому направлению. Об этом свидетельствует и наличие в их масс-спектрах сигналов фрагментных ионов Ф9(8) с m/z 147, Ф9(9) с m/z 161, предположительно представляющие структуры 2,3-диметил- и 1,2,3-триметил-1Н-пирроло[3,2-с]пиридин-6-иния, которые могут образоваться только перегруппировочным элиминированием молекулы оксида углерода от фрагментных ионов Ф8(8, 9). При этом по интенсивности сигналов ионов Ф9 (в среднем ~58%) можно судить о степени реализации этого направления распада. Такая фрагментация в условиях электронной ионизации характерна для соединений с орто-расположенными амино- и метоксильной группами в бензольном цикле [7]. Исходя из этого следует констатировать, что ионы Ф(8, 9) являются молекулярными ионами 2,3-диметил-5-метокси- и 1.2,3-триметил-5-метокси-1Н-индол-6-аминов 8, 9, а соединения 17, 18 их трифторацетатами.
ЗАКЛЮЧЕНИЕ
Таким образом, при идентификации 1Н-индол-5-,6-иламиния трифторацетатов с противомикробным действием возможно использование масс-спектрального метода, для проведения которого достаточно незначительного количества (2–3 мг) анализируемого вещества. Из картины масс-спектров солей 10–18 следует, что их высокотемпературная электронная ионизация протекает с образованием молекулярных ионов соответствующих органических оснований – 1Н-индол-5-,6-иламинов и фрагментных частиц распада трифторуксусной кислоты с m/z 69, 45, 28, что свидетельствует о солях – трифторацетатах. Также по характеристикам сигналов (m/z, Iотн.) фрагментных ионов в масс-спектрах и имеющимся литературным данным по масс-спектрометрии замещенных индолов, ароматических аминов, карбоновых кислот составлены и обсуждены обоснованные схемы распада молекулярных ионов органических оснований – 1Н-индолиламинов, в которых даны механизм образования, строение фрагментных ионов, возникающих в условиях электронной ионизации. Выявленные общие, а также индивидуальные для отдельных представителей с определенным характером и местом замещения в индольном бицикле закономерности поведения в условиях масс-спектральной съемки ионрадикалов 1Н-индолиламинов дают возможность судить об их строении, а, следовательно, в целом о строении замещенных 1Н-индол-5-, 6-иламиния трифторацетатов.
About the authors
Irina S. Stepanenko
Volgograd State Medical University
Author for correspondence.
Email: ymahkina@mail.ru
ORCID iD: 0000-0001-5793-438X
MD, Associate Professor, Head of the Department of Microbiology, Virology, Immunology with a course in Clinical Microbiology, Chief Freelance Specialist in Medical Microbiology of the Volgograd Region Health Committee
Russian Federation, VolgogradSemyon A. Yamashkin
Mordovian State Pedagogical University named after M. E. Evseviev
Email: yamashk@yandex.ru
ORCID iD: 0000-0001-8601-2640
Professor, Doctor of Chemical Sciences, Professor of the Department of Chemistry, Technology and Teaching Methods
Russian Federation, SaranskLyudmila V. Mikhailova
Volgograd State Medical University
Email: L.V.Vasilenko@mail.ru
ORCID iD: 0009-0009-1432-048X
Candidate of Medical Sciences, Associate Professor of the Department of Microbiology, Virology, Immunology with a course in Clinical Microbiology
Russian Federation, VolgogradAnna S. Timofeeva
Volgograd State Medical University
Email: annapitersen@mail.ru
ORCID iD: 0009-0009-7483-7245
Candidate of Medical Sciences, Associate Professor of the Department of Microbiology, Virology, Immunology with a course in Clinical Microbiology
Russian Federation, VolgogradAlbert N. Akhmedov
Volgograd State Medical University
Email: ahmedovalbert@mail.ru
ORCID iD: 0009-0002-9768-8333
Candidate of Medical Sciences, Associate Professor of the Department of Microbiology, Virology, Immunology with a course in Clinical Microbiology
Russian Federation, VolgogradTatyana N. Platkova
N. P. Ogarev Mordovian State University
Email: platkovatatjana@gmail.com
ORCID iD: 0000-0002-7925-127X
Candidate of the Department of Immunology, Microbiology and Virology of the Medical Institute
Russian Federation, SaranskReferences
- Stepanenko I.S., Yamashkin S.A., Batarsheva A.A., Slastnikov E.D. Method of preparation of trifluoroacetates of substituted 6-aminoindoles having antimicrobial effect. Patent. RF № 2019125299. Patentee FGBOU VO "National Research Mordovian State University named after N. P. Ogarev". 2020, Bulletin No. 15. (In Russ.).
- Yamashkin S.A., Stepanenko I.S. Synthesis and antimicrobial activity of N-(indol-5-yl)trifl uoroacetamides and indol-5ylaminium trifluoroacetates substituted in the pyrrole ring. Izvestiya Akademii nauk. Seriya khimicheskaya = Russian Chemical Bulletin (Engl. Transl.). 2022;71(5):1043–1048. (In Russ.).
- Lebedev A.T., Zaikin, V.G. Mass-spectrometry of organic compounds in the beginning of XXI century (in Russian). Zhurnal analiticheskoi khimii = Journal of Analytical Chemistry. 2008;63(12):1236–1264. (In Russ.).
- Borisov R.S., Zakirov M.I., Ovcharov M.V., Zaikin V.G. Study of 1,1’-disubstituted salts of 4,4’-bipyridinium by different variants of mass spectrometry. Mass-spektrometriya = Mass Spectrometry. 2013;10(1):19–24. (In Russ.).
- Vasiliev E.S., Volkov N.D., Karpov G.V., Morozov I.I., Syromyatnikov A.G. Features of mass spectrometric analysis of toxic chloroacetic acids and pyridine. Khimicheskaya bezopasnost’ = Chemical Safety. 2019;3(S):78–88. (In Russ.).
- Khmelnitsky R.A. Mass spectrometry of indole compounds. Khimiya Geterotsiklicheskikh Soedinenii = Chemistry of Heterocyclic Compounds. 1974;3:291–309. (In Russ.).
- Lebedev A.T. Mass spectrometry in organic chemistry. Edition of the second, revised and supplemented. Moscow, TECHNOSPHERE Publ., 2015. 704 p. (In Russ.).
- Ilyinykh E.S., Kim D.G. Mass spectrometry in organic chemistry : textbook. Chelyabinsk, SUSU Publishing Center. 2016. 63 p. (In Russ.).
Supplementary files








