Фармакогенетические особенности метаболизма трамадола, влияющие на качество послеоперационной анальгезии в сосудистой хирургии
- Авторы: Соколов Д.А.1,2, Ганерт А.Н.1,2, Любошевский П.А.1,2
- 
							Учреждения: 
							- Ярославский государственный медицинский университет
- Областная клиническая больница
 
- Выпуск: Том 4, № 4 (2023)
- Страницы: 223-230
- Раздел: Оригинальные исследования
- Статья получена: 10.06.2024
- Статья одобрена: 18.07.2024
- Статья опубликована: 01.11.2023
- URL: https://journals.eco-vector.com/2658-4433/article/view/633384
- DOI: https://doi.org/10.17816/clinutr633384
- ID: 633384
Цитировать
Полный текст
Аннотация
Обоснование. На сегодняшний день проблема эффективности и безопасности послеоперационного обезболивания не решена. Недостаточная анальгезия — один из основных факторов риска развития послеоперационных осложнений со стороны сердечно-сосудистой системы. Одним из препаратов, который часто применяют для послеоперационного обезболивания операций малой и средней травматичности, является трамадол. В его метаболизме существенную роль играет наличие полиморфизмов гена CYP2D6 (G1846A и C100T), которые существенно замедляют биотрансформацию данного лекарства. У таких пациентов можно ожидать снижения качества послеоперационной анальгезии и, как следствие, рост кардиальных осложнений.
Цель — оценить эффективность схемы послеоперационного обезболивания на основе трамадола и количество кардиальных осложнений при сосудистых операциях в зависимости от наличия/отсутствия полиморфизмов гена CYP2D6, изофермента цитохрома P-450.
Материалы и методы. Обследовали 109 плановых сосудистых больных. Оценивали частоту встречаемости полиморфизмов G1846A и C100T гена CYP2D6. У всех пациентов фиксировали выраженность послеоперационного болевого синдрома в покое и при активизации по визуально-аналоговой шкале в течение первых суток после операции. Регистрировали осложнения со стороны сердечно-сосудистой системы, возникшие в период нахождения больных в стационаре. Для оценки вегетативной нервной системы пациентам проводили кардиоинтервалографию.
Результаты. Полиморфизм G1846A был выявлен у 28 (25,7%) пациентов, C100T — у 4 (3,7%). Пациенты без полиморфизмов составили 1-ю группу (n=77), а больных с полиморфизмами объединили во 2-ю группу (n=32). Болевой синдром в покое и при активизации был выше во 2-й группе (p <0,05). Индекс напряжения до операции в группах не отличался, а после операции также был выше во 2-й группе (p <0,001). Кардиальные осложнения выявили у 9,1% пациентов 1-й группы и у 18,8% 2-й группы (p=0,20).
Заключение. Частота встречаемости полиморфизмов G1846A и С100T гена CYP2D6 у пациентов сосудистого профиля составила 29,4%. У таких больных выявили более интенсивный болевой синдром. Частота кардиальных осложнений в группах пациентов значимо не отличалась.
Полный текст
Введение
Вопрос адекватности послеоперационной анальгезии по-прежнему привлекает пристальное внимание клиницистов [1, 2]. Возможным способом его решения является персонифицированный подход к послеоперационному обезболиванию, который позволяет рационально, безопасно и эффективно подойти к данной проблеме [3, 4]. В статьях отечественных анестезиологов описывается снижение эффективности от применения наркотических анальгетиков при наличии у больного полиморфизмов генов опиоидных (μ-/мю-) рецепторов и фермента COMT (Catechol-O-methyl transferase) [5–7]. Генетические особенности пациента влияют на биотрансформацию препаратов с участием цитохрома Р-450, CYP2D6, в частности трамадола [8]. Данный препарат широко используется на территории России, включён в большинство схем отечественных клинических рекомендаций для послеоперационного обезболивания и применяется при операциях малой и средней травматичности [2]. Препарат, традиционно относящийся к опиоидным анальгетикам, обладает ещё целым рядом действий: серотонинергическим, адренергическим, противовоспалительным, местноанестезирующим [9]. В результате биотрансформации трамадола под воздействием изофермента CYP2D6 происходит его деметилирование с образованием О-десметилтрамадола. Данный активный метаболит обладает существенно более высоким сродством к мю-опиоидным рецепторам и практически лишён всех прочих эффектов трамадола [8, 10]. По литературным данным, наличие полиморфизмов гена CYP2D6 (G1846A и C100T) существенно замедляет биотрансформацию трамадола и снижает плазменную концентрацию О-десметилтрамадола [11]. У таких пациентов следует ожидать снижения качества анальгезии в послеоперационном периоде [8, 12] и стоит задуматься об индивидуальном подходе к фармакотерапии [13].
Большинство операций на периферических сосудах относятся к средней или низкой травматичности, но при этом сопровождаются значительным болевым синдромом [14]. Важно отметить, что неадекватное обезболивание после операции — основной фактор риска развития осложнений со стороны сердечно-сосудистой системы, таких как инфаркт миокарда, миокардиальное повреждение, инсульт, тромбоэмболия лёгочной артерии и нарушение ритма сердца [15–18]. Исследований по ассоциированности недостаточной послеоперационной анальгезии и числа кардиальных осложнений в отечественной клинической практике нет. Всё вышеописанное сформулировало цель нашей работы.
Цель
Оценить эффективность схемы послеоперационного обезболивания на основе трамадола и количество кардиальных осложнений при сосудистых операциях в зависимости от наличия/отсутствия полиморфизмов гена CYP2D6, изофермента цитохрома P-450.
Материалы и методы
В период с сентября 2022 по май 2023 года мы провели одноцентровое обсервационное исследование. Работа выполнена на базе отделения сосудистой хирургии Ярославской областной клинической больницы. Этическая экспертиза проведена на базе Федерального государственного бюджетного образовательного учреждения высшего образования «Ярославский государственный медицинский университет» Министерства здравоохранения Российской Федерации (Протокол № 48 от 15 октября 2021 года).
Критерии включения: наличие показаний для плановой реконструктивной операции на позвоночных артериях или каротидной эндартерэктомии у пациентов старше 45 лет с индексом массы тела от 18,5 до 35 кг/м2.
Критерии исключения:
- отказ от подписания информированного согласия на участие в исследовании;
- наличие острой или декомпенсированной хронической сопутствующей патологии;
- установленный алкогольный/наркотический анамнез.
Учитывая критерии включения/исключения, для исследования были отобраны 109 пациентов.
Спектр оперативных вмешательств состоял из 38 реконструктивных операций на позвоночных артериях и 71 каротидной эндартерэктомии. Возраст пациентов варьировал от 45 до 73 лет (61 [56–67]), индекс массы тела — от 19,3 до 34,1 кг/м2 (28,3 [25, 1–31, 4]), продолжительность анестезии — от 160 до 265 минут (180 [180–210]). Больные, которым были выполнены операции на сонных артериях, были старше и имели больший индекс массы тела, однако статистически достоверных различий между ними не было.
Методика интраоперационного ведения всех больных состояла в следующем:
- премедикация: диазепам (0,16 мг/кг);
- индукция и обеспечение интубации трахеи: пропофол (2 мг/кг), фентанил (1,4 мкг/кг), рокуроний (0,6 мг/кг).
После интубации трахеи проводилась искусственная вентиляция лёгких в принудительном режиме. Для поддержания анестезии использовали севофлюран, фентанил и рокуроний в стандартных, рекомендованных производителем дозировках. В течение первых послеоперационных суток все больные находились в отделении реанимации, где проводился комплекс мер интенсивной терапии и наблюдения.
Схема анальгезии после операции у обследованных больных была одинакова, опиралась на принцип мультимодальности [2]:
- парацетамол внутрь в дозе 1000 мг каждые 6 часов;
- внутривенное введение кеторолака в дозе 30 мг каждые 8 часов;
- внутривенное введение трамадола в дозе 100 мг каждые 6 часов.
В реанимации был проведён стандартный мониторинг витальных показателей (артериальное давление, частота дыхательных движений, пульсоксиметрия, термометрия). Для индивидуальной оценки выраженности болевого синдрома использовали визуально-аналоговую шкалу (ВАШ, мм). Измерения проводили каждые 3 часа в покое и при активизации больных (кашель, глубокое дыхание, попытка сесть на кровати).
Для оценки исходного состояния пациентов рассчитывали пересмотренный индекс кардиального риска (Lee) и определяли функциональный класс по ASA.
В периоперационном периоде (от разреза до выписки из лечебного учреждения) регистрировали негативные исходы и осложнения со стороны сердечно-сосудистой системы: кардиальная смерть, острый инфаркт миокарда, преходящая ишемия миокарда, острое нарушение мозгового кровообращения и тромбоэмболия лёгочной артерии.
Всем больным до (в 18:00) и после (в 18:00) оперативного вмешательства проводили кардиоинтервалографию с помощью аппарата ВНС-Спектр (ООО «Нейрософт», Россия).
Забор цельной крови для проведения ДНК-исследования выполняли до операции, однако данные анализировались ретроспективно по мере накопления проб. Применяли детектирующий амплификатор DTlite 5 (ООО «ДНК-ТЕХНОЛОГИЯ», Россия). Для определения полиморфизмов гена CYP2D6 (C100T и G1846A) использовали набор реагентов «SNP-Скрин» (ООО «СИНТОЛ», Россия).
Для хранения и обработки данных использовали базу, сформированную в программе Microsoft Office Excel (Microsoft Inc., США). Статистический анализ проводили в программе MedCalc, версия 15 (MedCalc Software Ltd., Бельгия). Характер распределения данных оценивали с помощью критерия Колмогорова–Смирнова. Для описания данных использовали медиану (Ме) [25–75 перцентили], для сравнения групп использовались методы непараметрической статистики: для количественных признаков — критерий Вилкоксона и U-критерий Манна–Уитни, для качественных — точный критерий Фишера. Уровень значимости р во всех расчётах был принят равным 0,05.
Результаты и обсуждение
Среди изучаемых полиморфизмов наиболее часто встречалась замена гуанина на аденин в позиции 1846, реже была замена цитозина на тимин в 100-й позиции (табл. 1). У таких пациентов следует ожидать существенное снижение активности изофермента CYP2D6 и, как следствие, скорости образования О-десметилтрамадола.
Таблица 1. Результаты генетического типирования больных
Table 1. Results of genetic typing of patients
| Полиморфизм гена CYP2D6 | N (%) | 
| G1846A | 28 (25,7%) | 
| С100Т | 4 (3,7%) | 
По результатам генетического тестирования выделили 2 группы больных:
- 1-я группа — 77 (70,6%) больных без полиморфизмов;
- 2-я группа — 32 (29,4%) больных с выявленными полиморфизмами.
В группах не зафиксировали различий по возрасту, гендерному составу, состоянию, виду, продолжительности оперативных вмешательств и прочим показателям (табл. 2).
Таблица 2. Характеристики пациентов в исследуемых группах
Table 2. Characteristics of patients in the study groups
| Характеристика | 1-я группа | 2-я группа | р | 
| Возраст, годы | 66 [60–69] | 65 [58–69] | 0,65 | 
| Мужчины/женщины, n | 52/25 | 20/12 | 0,63 | 
| Индекс массы тела, кг/м2 | 0,85 | ||
| Индекс кардиального риска Lee, баллы | 2 [1–2] | 2 [1–2] | 0,83 | 
| Класс по ASA | 2 [2–3] | 2 [2–3] | 0,78 | 
| Вид операции (ПА/КЭАЭ) | 28/49 | 10/22 | 0,35 | 
| Длительность анестезии, мин | 155 [145–195] | 160 [140–200] | 0,45 | 
| Объём кровопотери, мл | 100 [50–150] | 100 [50–150] | 0,88 | 
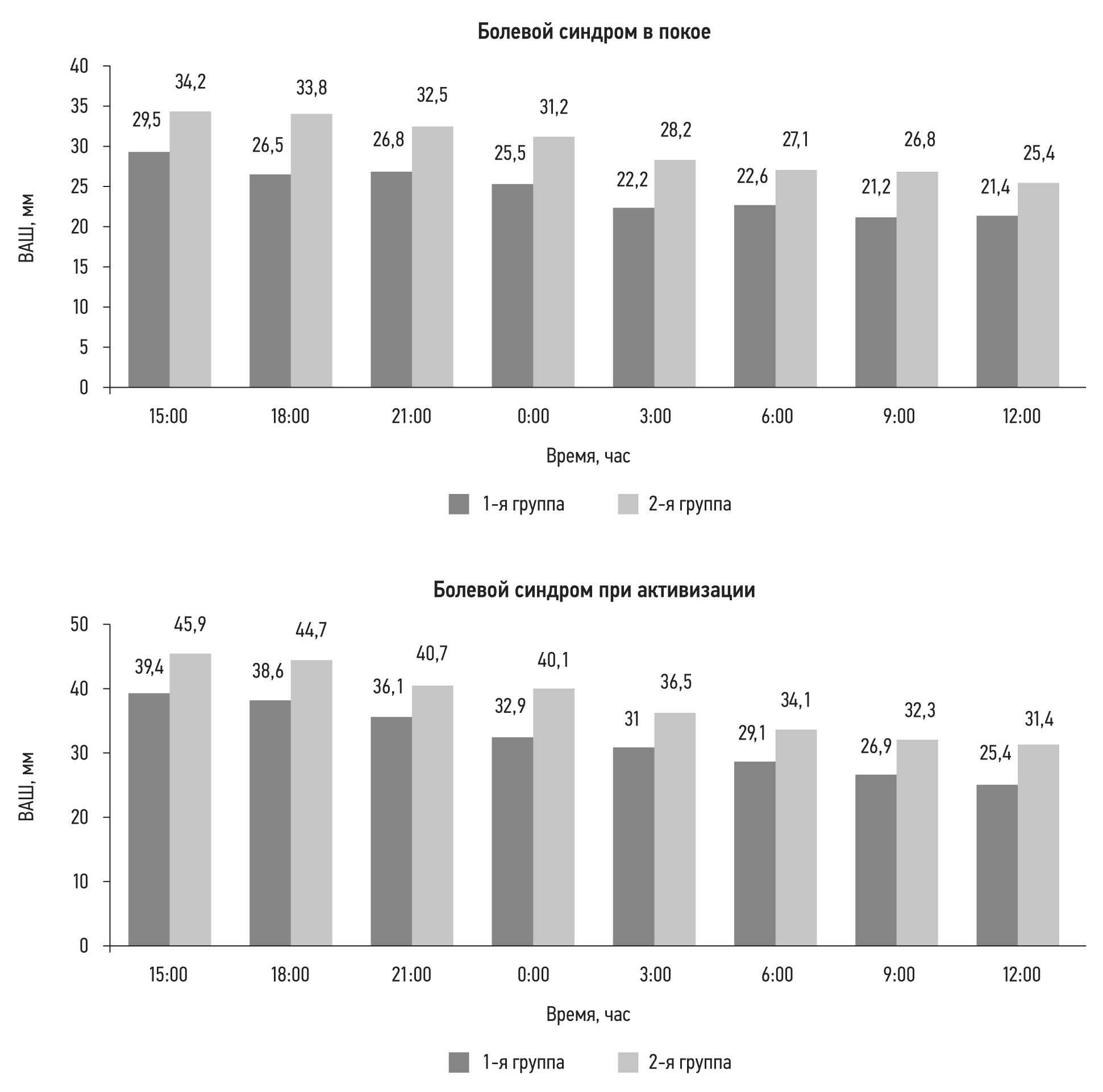
Интенсивность послеоперационной боли была умеренно выраженная у большей части пациентов. Тем не менее при оценке её выраженности в покое и при активизации больных выявили значимые отличия между группами. В 1-й группе болевой синдром был ниже, чем у пациентов во 2-й группе на протяжении всех измеряемых временных интервалов (p <0,05) (рис. 1).
Рис. 1. Выраженность послеоперационного болевого синдрома в покое и при активизации пациентов. ВАШ — визуально-аналоговая шкала.
Fig. 1. Severity of postoperative pain syndrome at rest (top) and during patient activation (bottom). ВАШ — mm visual analogue scale.
Оценивая побочные эффекты применения трамадола, получили следующие данные:
- послеоперационная тошнота — у 32 (41,6%) пациентов 1-й группы и у 6 (18,8%) пациентов 2-й группы (p=0,044);
- рвота — у 22 (28,6%) пациентов в 1-й группе и у 4 (12,5%) пациентов во 2-й группе (p=0,09).
Значение индекса напряжения до операции в 1-й группе составило 195 [165–246] ед., во 2-й группе — 194 [169–241] ед. (p=0,96). После операции были выявлены значимые изменения данного показателя у пациентов во 2-й группе: он составил 295 [207–241] ед., по сравнению с 181 [134–255] ед. в 1-й группе (p <0,001). Эти данные, вероятно, связаны с более выраженной симпатикотонией у пациентов в группе с полиморфизмами, предположительно на фоне недостаточной анестезии. У таких пациентов можно ожидать более выраженный хирургический стресс-ответ на хирургическое вмешательство [19, 20].
При оценке осложнений со стороны сердечно-сосудистой системы всего в общей выборке было выявлено 13 (11,9%) кардиальных осложнений. Эти цифры несколько ниже, чем в наших предыдущих работах [21, 22], что, вероятно, связано с тем, что выбранные нами операции относятся к низкому и среднему кардиальному риску [15]. Спектр кардиальных осложнений внутри групп пациентов представлен в табл. 3. В группах не было зафиксировано летальных исходов, наиболее часто встречающимся осложнением являлась преходящая ишемия миокарда. Несмотря на то, что в группе пациентов с выявленными полиморфизмами процент кардиальных осложнений был выше более чем в два раза, статистической значимости выявлено не было.
Таблица 3. Выявленные осложнения со стороны сердечно-сосудистой системы в группах
Table 3. Identified complications from the cardiovascular system in groups
| Осложнение | 1-я группа (N=77) n (%) | 2-я группа (N=32) n (%) | р | 
| Кардиальная смерть | – | – | – | 
| Острый инфаркт миокарда | 1 (1,3) | 1 (3,1) | 0,50 | 
| Преходящая ишемия миокарда (по данным электрокардиографии) | 4 (3,9) | 2 (6,3) | 1,00 | 
| Острое нарушение мозгового кровообращения | 2 (2,6) | 2 (6,3) | 0,58 | 
| Тромбоэмболия лёгочной артерии | – | 1 (3,1) | 0,29 | 
| Всего | 7 (9,1) | 6 (18,8) | 0,20 | 
Мы установили, что частота встречаемости полиморфизмов гена CYP2D6, снижающих активность изофермента, у сосудистых пациентов весьма значительна, и в целом полученные данные соотносятся с литературными [10]. В такой клинической ситуации можно ожидать уменьшения обезболивающего эффекта трамадола (существенно уменьшается скорость образования его активного метаболита, О-десметилтрамадола). Недостаточно эффективная анальгезия может сопровождаться более выраженной реакцией симпатической нервной системы. На примере нашей выборки у пациентов с полиморфизмами количество кардиальных осложнений было выше в процентном соотношении, но статистически значимость данного факта не подтвердилась.
Заключение
Эффективность анальгезии после операции зависит от индивидуальных особенностей генотипа пациентов. Наличие полиморфизмов G1846A и С100T гена CYP2D6 у пациентов сосудистого профиля на базе Ярославской областной клинической больницы составила 29,4%. У таких больных было хуже качество послеоперационной анальгезии, выше симпатикотония, меньше побочных эффектов (послеоперационной тошноты и рвоты). Количество кардиальных осложнений у пациентов с полиморфизмами было больше, но значимость отличий не достигла уровня 0,05.
Необходимы дальнейшие исследования на более крупных выборках больных (возможно, более высокого кардиального риска) для выявления связи некачественного обезболивания и осложнений со стороны сердечно-сосудистой системы.
Дополнительная информация
Источник финансирования. Авторы заявляют об отсутствии внешнего финансирования при проведении исследования.
Конфликт интересов. Авторы декларируют отсутствие явных и потенциальных конфликтов интересов, связанных с публикацией настоящей статьи.
Вклад авторов. Все авторы подтверждают соответствие своего авторства международным критериям ICMJE (все авторы внесли существенный вклад в разработку концепции, проведение исследования и подготовку статьи, прочли и одобрили финальную версию перед публикацией).
Additional info
Funding source. This study was not supported by any external sources of funding.
Competing interests. The authors declare that they have no competing interests.
Authors’ contribution. All authors made a substantial contribution to the conception of the work, acquisition, analysis, interpretation of data for the work, drafting and revising the work, final approval of the version to be published and agree to be accountable for all aspects of the work.
Об авторах
Дмитрий Александрович Соколов
Ярославский государственный медицинский университет; Областная клиническая больница
							Автор, ответственный за переписку.
							Email: d_inc@mail.ru
				                	ORCID iD: 0000-0002-8186-8236
				                	SPIN-код: 9298-7683
																		                								
канд. мед. наук, доцент
Россия, Ярославль; ЯрославльАндрей Николаевич Ганерт
Ярославский государственный медицинский университет; Областная клиническая больница
														Email: anest08@mail.ru
				                	ORCID iD: 0000-0001-5816-4620
				                	SPIN-код: 8682-9270
																		                								
канд. мед. наук, доцент
Россия, Ярославль; ЯрославльПавел Александрович Любошевский
Ярославский государственный медицинский университет; Областная клиническая больница
														Email: pal_ysma@mail.ru
				                	ORCID iD: 0000-0002-7460-9519
				                	SPIN-код: 6991-9946
																		                								
д-р. мед. наук, доцент
Россия, Ярославль; ЯрославльСписок литературы
- Овечкин А.М., Политов М.Е. Послеоперационное обезболивание с точки зрения доказательной медицины // Вестник интенсивной терапии. 2016. № 2. С. 51–60. EDN: WEZMIX
- Овечкин А.М., Баялиева А.Ж., Ежевская А.А., и др. Послеоперационное обезболивание. Клинические рекомендации // Вестник интенсивной терапии им. А.И. Салтанова. 2019. № 4. С. 9–33. doi: 10.21320/1818-474X-2019-4-9-33
- Сычев Д.А., Морозова Т.Е., Шацкий Д.А., Ших Е.В. Эффективность и безопасность фармакотерапии послеоперационной боли в кардиохирургии // Кардиоваскулярная терапия и профилактика. 2021. Т. 20, № 3. С. 2683. doi: 10.15829/1728-8800-2021-2683
- Ko T.M., Wong C.S., Wu J.Y., Chen Y.T. Pharmacogenomics for personalized pain medicine // Acta anaesthesiologica Taiwanica. 2016. Vol. 54, N 1. P. 24–30. doi: 10.1016/j.aat.2016.02.001
- Спасова А.П., Барышева О.Ю., Тихова Г.П. Полиморфизм гена катехол-О-метилтрансферазы и боль // Регионарная анестезия и лечение острой боли. 2017. Т. 11, № 1. С. 6–12. doi: 10.18821/1993-6508-2017-11-1-6-12
- Потапов А.Л., Бояркина А.В. Полиморфизм генов мю1-опиоидного рецептора и катехол-о-метилтрансферазы влияет на предоперационное психологическое состояние пациентов и эффективность послеоперационной анальгезии наркотическими анальгетиками // Анестезиология и реаниматология. 2015. Т. 60, № 3. С. 48–51. EDN: TXIOCN
- Женило В.М., Махарин О.А. Влияние полиморфизма гена OPRM1 118A/G на перцепцию боли и фармакодинамику наркотических анальгетиков // Общая реаниматология. 2014. Т. 10, № 1. С. 66–75. doi: 10.15360/1813-9779-2014-1-58-67
- Соколов Д.А., Любошеский П.А., Ганерт А.Н. Влияние полиморфизмов гена цитохрома Р450 на основной и побочные эффекты трамадола // Регионарная анестезия и лечение острой боли. 2017. Т. 11, № 4. С. 240–246. doi: 10.18821/1993-6508-2017-11-4-240-246
- de Oliveira Junior J.O., de Freitas M.F., Bullara de Andrade C., et al. Local analgesic effect of tramadol is mediated by opioid receptors in late postoperative pain after plantar incision in rats // Journal of pain research. 2016. Vol. 9. P. 797–802. doi: 10.2147/JPR.S117674
- McGraw J., Waller D. Cytochrome P450 variations in different ethnic populations // Expert Opinion on Drug Metabolism & Toxicology. 2012. Vol. 8, N 3. P. 371–382. doi: 10.1517/17425255.2012.657626
- Yiannakopoulou E. Pharmacogenomics and Opioid Analgesics: Clinical Implications // International journal of genomics. 2015. Vol. 2015. doi: 10.1155/2015/368979
- Мурадян А.А., Сычёв Д.А., Благовестнов Д.А. Эффективность и безопасность послеоперационной аналгезии кеторолаком и трамадолом в зависимости от наличия полиморфизмов CYP2D6 и CYP2C9 // Фармакогенетика и фармакогеномика. 2020. № 2. С. 14–15. doi: 10.37489/2588-0527-2020-2-14-15
- Ruano G., Kost J.A. Fundamental Considerations for Genetically-Guided Pain Management with Opioids Based on CYP2D6 and OPRM1 Polymorphisms // Pain physician. 2018. Vol. 21, N 6. P. E611–E621.
- Gerbershagen H.J., Aduckathil S., van Wijck A.J.M., et al. Pain intensity on the first day after surgery: a prospective cohort study comparing 179 surgical procedures // Anesthesiology. 2013. Vol. 118, N 4. P. 934–944. doi: 10.1097/ALN.0b013e31828866b3
- Halvorsen S., Mehilli J., Cassese S., et al. ESC Scientific Document Group. 2022 ESC Guidelines on cardiovascular assessment and management of patients undergoing non-cardiac surgery // Eur Heart J. 2022. Vol. 43, N 39. P. 3826–3924. doi: 10.1093/eurheartj/ehac270
- Ломиворотов В.В., Ломиворотов В.Н. Периоперационное повреждение и инфаркт миокарда // Вестник анестезиологии и реаниматологии. 2019. Т. 16, № 2. С. 51–56. doi: 10.21292/2078-5658-2019-16-2-51-56
- Ключевский В.В., Комаров А.С., Соколов Д.А., Ганерт А.Н. Высокочувствительный тропонин в диагностике повреждения миокарда у больных гипертонической болезнью при травме бедра // Политравма. 2021. № 1. С. 67–73. doi: 10.24411/1819-1495-2020-10008
- Комаров А.С., Соколов Д.А., Любошевский П.А., Ганерт А.Н. Миокардиальное повреждение у пациентов с гипертонической болезнью при остеосинтезе бедра и спинальной анестезии // Регионарная анестезия и лечение острой боли. 2022. Т. 16, № 1. С. 79–86. doi: 10.17816/1993-6508-2022-16-1-79-86
- So V., Klar G., Leitch J., et al. Association between postsurgical pain and heart rate variability: protocol for a scoping review // BMJ Open. 2021. Vol. 11, N 4. P. e044949. doi: 10.1136/bmjopen-2020-044949
- Любошевский П.А., Овечкин А.М. Возможности оценки и коррекции хирургического стресс-ответа при операциях высокой травматичности // Регионарная анестезия и лечение острой боли. 2014. Т. 8, № 4. С. 5–21. EDN: TBFETV
- Соколов Д.А., Козлов И.А. Информативность расчетных гематологических индексов в оценке кардиального риска при онкологических операциях // Вестник анестезиологии и реаниматологии. 2022. Т. 19, № 5. С. 6–13. doi: 10.21292/2078-5658-2022-19-5-6-13
- Соколов Д.А., Козлов И.А. Информативность различных предикторов периоперационных сердечно-сосудистых осложнений в некардиальной хирургии // Вестник анестезиологии и реаниматологии. 2023. Т. 20, № 2. С. 6–16. doi: 10.24884/2078-5658-2022-20-2-6-16
Дополнительные файлы
 
				
			 
						 
					 
						 
									
 
  
  
  Отправить статью по E-mail
			Отправить статью по E-mail 



 СМИ зарегистрировано Федеральной службой по надзору в сфере связи, информационных технологий и массовых коммуникаций (Роскомнадзор).
 СМИ зарегистрировано Федеральной службой по надзору в сфере связи, информационных технологий и массовых коммуникаций (Роскомнадзор).