Клиническая эффективность и безопасность парентерального питания при трансплантации гемопоэтических стволовых клеток: результаты одноцентрового рандомизированного контролируемого исследования
- Авторы: Кучер М.А.1, Салтыкова Н.Г.1, Быкова Т.А.1, Власова Ю.Ю.1, Паина О.В.1, Смирнов Б.И.2, Слесарчук О.А.1, Зубаровская Л.С.1, Кулагин А.Д.1
-
Учреждения:
- Первый Санкт-Петербургский государственный медицинский университет имени академика И.П. Павлова
- Санкт-Петербургский государственный электротехнический университет «ЛЭТИ» имени В.И. Ульянова (Ленина)
- Выпуск: Том 4, № 4 (2023)
- Страницы: 231-245
- Раздел: Оригинальные исследования
- Статья получена: 30.06.2024
- Статья одобрена: 07.08.2024
- Статья опубликована: 01.11.2023
- URL: https://journals.eco-vector.com/2658-4433/article/view/633943
- DOI: https://doi.org/10.17816/clinutr633943
- ID: 633943
Цитировать
Полный текст
Аннотация
Обоснование. При трансплантации гемопоэтических стволовых клеток часто требуется нутриционная терапия. При этом толерантность и безопасность парентерального питания недостаточно изучены (за исключением корреляции с инфекционными осложнениями).
Цель — проанализировать влияние парентерального питания на показатели нутритивного статуса и взаимосвязь с осложнениями в раннем периоде после трансплантации гемопоэтических стволовых клеток.
Материалы и методы. В 2019–2020 гг. в исследование было включено 125 реципиентов аутологичной (n=38) и аллогенной (n=87) трансплантации гемопоэтических стволовых клеток, медиана возраста — 20 лет (2–65). Среди них были пациенты c лейкозами (n=67), солидными опухолями (n=32), дисплазиями (n=15) и лимфопролиферативными заболеваниями (n=11). Контрольную группу (n=55) составили пациенты, не нуждавшиеся в нутриционной терапии. В основной группе (n=70) использовали парентеральное питание с жировыми эмульсиями II поколения (n=22) и III поколения (n=24), а при наличии противопоказаний — парентеральное питание без жировых эмульсий (n=24). В целях снижения риска побочных эффектов, стартовая доза парентерального питания составляла 50% запланированной дозы, с достижением целевых показателей к третьим суткам терапии.
Результаты. Показанием к парентеральному питанию в 95,7% случаев был мукозит. Продолжительность терапии составила от 2 до 31 сут, медиана — 11 сут. В 58,6% случаев парентеральное питание инициировали на фоне тошноты и рвоты. В 7,1% случаев отмечено усиление тошноты во время эскалации дозы парентерального питания. Побочные эффекты выявлены в 22,9% случаев: гипергликемия (n=7), рвота (n=6) и гипертриглицеридемия (n=3). Парентеральное питание было прекращено в 20% случаев (n=14), из них у 4 больных — в результате развития осложнений, связанных с парентеральным питанием. Критерий клинической эффективности — индекс массы тела — снижался в каждой группе наблюдения, но восстанавливался к 28-му дню после трансплантации гемопоэтических стволовых клеток и не отличался в группах сравнения: контрольная группа — от 22,7±6,4 до 21,7±6,1 кг/м2 (p=0,42); группа «2 в 1» — от 23,4±6,1 до 21,6±4 кг/м2 (p=0,56); группа «3 в 1» (с жировыми эмульсиями II поколения) — от 1,8±4,9 до 18,7±4,4 кг/м2 (p=0,72); группа «3 в 1» (с жировыми эмульсиями III поколения) — от 18,6±4,2 до 18,3±3,5 кг/м2 (p=0,84). Встречаемость фебрильной нейтропении составила 75,2% и не отличалась в контрольной группе и в группах сравнения (p=0,54). Частота сепсиса составила 24,8% и не зависела от факта применения парентерального питания (p=0,07). Кроме того, вероятность сепсиса была выше при использовании парентерального питания в группе «2 в 1» по сравнению со схемой с жировыми эмульсиями (p=0,002). Общая частота острой реакции «трансплантат против хозяина» составила 16,1% и не различалась в группах сравнения (p=0,65).
Заключение. На примере представленной когорты больных, получивших лечение методом трансплантации гемопоэтических стволовых клеток, схемы парентерального питания с жировыми эмульсиями II и III поколения (при ступенчатом увеличении дозы) отличались приемлемой толерантностью, инфекционной и иммунологической безопасностью, а также эффективно поддерживали показатели нутритивного статуса.
Полный текст
Введение
Трансплантация гемопоэтических стволовых клеток (ТГСК) часто сопровождается развитием недостаточности питания в результате посттрансплантационных осложнений, что требует проведения нутриционной поддержки (НП) [1]. Формирование или усугубление исходной белково-энергетической недостаточности, дефицит макро- и микронутриентов, приводят к увеличению частоты и степени тяжести осложнений при ТГСК, а также к увеличению летальности. Это происходит в результате нарушения энергетического и субстратного обеспечения базовых процессов жизнедеятельности, репаративных процессов, восстановления донорского кроветворения и иммунной системы [2].
При ТГСК неоднократно подтверждена чёткая взаимосвязь недостаточности питания со сниженной эффективностью лечения за счёт повышенного риска инфекционных и иммунных осложнений, отсроченного приживления трансплантата и, как следствие, негативного влияния на общую выживаемость [3]. В связи с этим, согласно рекомендациям Европейского общества по трансплантации костного мозга, мониторинг нутритивного статуса и НП при ТГСК должны являться неотъемлемой частью сопроводительной терапии [4].
По мере развития метода ТГСК подходы к реализации нутриционной терапии претерпевают изменения. В частности, происходит переориентирование на более физиологичные методы с приоритетным применением сипинга и энтерального питания по сравнению с парентеральным питанием (ПП) [2, 5]. При аллогенной ТГСК это стало возможным преимущественно за счёт тенденций, направленных на снижение цитотоксического эффекта препаратов режима кондиционирования, применения новых лекарств для профилактики и лечения реакции «трансплантат против хозяина» (РТПХ) с большей эффективностью и профилем клинической безопасности. При аутологичной ТГСК — в большей степени данный подход связан с совершенствованием антиэметической терапии и анальгезией мукозита. Уменьшение токсических влияний на органы и ткани организма, в том числе участвующих в процессах пищеварения, находит отражение в снижении риска развития недостаточности питания при ТГСК [6].
В совокупности с либерализацией ограничений в низкомикробной диете, повышением комплаентности употребления смесей для сипинга, создаются предпосылки для поддержания более полноценного и длительного естественного приёма пищи, тем самым снижая потребность в ПП. Приоритетность использования и клиническая значимость ПП при ТГСК меняется: от основного до резервного метода НП [7, 8]. Показаниями к применению ПП традиционно остаются мукозит, РТПХ с поражением кишечника, синдром мальдигестии и мальабсорбции различного генеза.
Тем не менее, вопросы толерантности и безопасности ПП, за исключением влияния на частоту инфекционных осложнений, недостаточно освещены в современной литературе, что в ряде случаев приводит к необоснованным спекуляциям относительно НП и снижает лечебный потенциал методов клинического питания. Как правило, факторами, ограничивающими применение ПП, являются случаи сниженной толерантности к его компонентам, метаболические побочные эффекты и инфекционные осложнения.
Таким образом, в попытке подтвердить или опровергнуть безопасность ПП, в настоящем исследовании проанализирована переносимость различных схем ПП, влияние на изменение показателей нутритивного статуса и течение раннего периода после ТГСК.
материалы и методы
В исследование вошли пациенты, госпитализированные в Научно-исследовательский институт детской онкологии, гематологии и трансплантологии имени Р.М. Горбачевой (клиника Федерального государственного бюджетного образовательного учреждения высшего образования «Первый Санкт-Петербургский государственный медицинский университет имени академика И.П. Павлова» Министерства здравоохранения Российской Федерации). Возраст пациентов — ≥2 лет; период госпитализации — с марта 2019 по апрель 2020 года; причина госпитализации — онкогематологические заболевания, требующие выполнения аутологичной или аллогенной ТГСК. Исследование одобрено локальным этическим комитетом Федерального государственного бюджетного образовательного учреждения высшего образования «Первый Санкт-Петербургский государственный медицинский университет имени академика И.П. Павлова» Министерства здравоохранения Российской Федерации № 214 от 17.12.2018, зарегистрировано в ClinicalTrials.gov, ID NCT04425642, 06.05.2020.
Контрольную группу составили пациенты (n=55), не нуждавшиеся в нутриционной терапии до ТГСК и во время раннего посттрансплантационного периода. Пациенты (или их представители), подписавшие информированное согласие, в случае необходимости в НП проходили рандомизацию методом конвертов для определения схемы ПП:
- основная группа 1 — «2 в 1» (n=24) — раствор глюкозы и аминокислот;
- основная группа 2 — «3 в 1» (n=46) — в комбинации с жировыми эмульсиями (ЖЭ) (рис. 1).
Рис. 1. Дизайн исследования. ЖЭ — жировые эмульсии; ИМТ — индекс массы тела. Из 46 участников основной группы 2, 24 пациента получали жировые эмульсии III поколения.
Fig. 1. Study design. ЖЭ — fat emulsions; ИМТ — body mass index. Of the 46 participants in the main group 2, 24 patients received third-generation fat emulsions.
Различия аминокислотного состава в растворах при проведении краткосрочного ПП считали незначительными (табл. 1).
Таблица 1. Препараты парентерального питания, используемые в исследовании
Table 1. Parenteral nutrition solutions used in the study
Препарат/группа пациентов | Объём, мл | Ограничения по возрасту |
Основные группы 1 и 2 | ||
Глюкоза 20% | 500 | с рождения |
Аминокислоты для парентерального питания (Аминовен инфант® 10%) | 100 | с рождения |
Аминокислоты для парентерального питания (Аминовен® 10%) | 500 | >2 лет |
Аминокислоты для парентерального питания (Аминовен® 15%) | 500 | >18 лет |
Аминокислоты для парентерального питания + Прочие препараты (Нутрифлекс® 48/150) | 1000 | >2 лет |
Аминокислоты для парентерального питания + Прочие препараты (Нутрифлекс® 70/240) | 1500 | >2 лет |
Основная группа 2 | ||
Аминокислоты для парентерального питания + Прочие препараты (Нутрифлекс липид® 70/180)* | 625 | >2 лет |
Аминокислоты для парентерального питания + Прочие препараты (СМОФКабивен®)** | 1477 | >2 лет |
Аминокислоты для парентерального питания + Прочие препараты (СМОФлипид® 20%)** | 100, 500 | с рождения |
* жировая эмульсия II поколения: комбинация средне- и длинноцепочечных триглицеридов (MCT/LCT); ** жировая эмульсия III поколения: комбинация средне- и длинноцепочечных триглицеридов, омега-3 жирных кислот (MCT/LCT/ω3).
* second-generation fat emulsion: a combination of medium- and long-chain triglycerides (MCT/LCT); ** third-generation fat emulsion: a combination of medium- and long-chain triglycerides, omega-3 fatty acids (MCT/LCT/ω3).
® Торговое название лекарственного средства.
Критерием начала ПП было обеспечение естественным путём менее 50% необходимых суточных потребностей в энергии в течение 3 последовательных дней согласно «методу тарелки» в составе пищевых дневников, которые заполняли пациенты, или в первый день развития тяжёлых осложнений, затрагивающих функционирование пищеварительной системы. Критерием прекращения ПП было усвоение естественным путём >50% необходимых суточных потребностей в энергии.
При наличии противопоказаний к использованию ЖЭ и/или сниженной толерантности пациент исключался из основной группы наблюдения 2 и включался в основную группу 1 — ПП без ЖЭ.
Пациентам всех групп до начала режима кондиционирования и далее еженедельно в динамике проводилось измерение показателей нутритивного статуса, включающее массу тела, рост, индекс массы тела (ИМТ). Кроме того, дополнительно у детей проводился расчёт центильного интервала c помощью программы WHO Anthro и WHO Anthro plus, а также биоимпедансометрия у пациентов старше 6 лет (весы Tanita BC-418 MA; TANITA, Япония).
Субъективную фиксацию частоты и степени тяжести тошноты и рвоты пациенты детского возраста осуществляли с использованием шкалы PeNAT (pediatric nausea assessment tool), пациенты взрослого возраста — согласно шкале интенсивности тошноты и рвоты (табл. 2). Проявления синдрома желудочно-кишечной токсичности оценивали согласно рубрикатору побочных явлений противоопухолевого лечения CTCAE ver. 5.0. (Common Terminology Criteria for Adverse Events) [9].
Таблица 2. Шкалы оценки тошноты и рвоты
Table 2. Nausea and vomiting assessment scales
Шкала оценки интенсивности тошноты и рвоты PeNAT [10] | ||||
Шкала оценки интенсивности рвоты у взрослых [11] | ||||
Симптом | 0 — Нет | I степень — Слабая | II степень — Умеренная | III степень — Сильная |
Тошнота | – | приём пищи незначительно снижен | количество пищи снижено в 2 раза | практически нет приёма пищи |
Рвота | – | 1–2 раз/сут | 2–8 раз/сут | >8 раз/сут |
Для анализа частоты инфекционных осложнений применяли микробиологическое исследование крови из центрального венозного катетера.
Потребность в суточной энергии у взрослых рассчитывали на идеальную массу тела согласно уравнению Харриса–Бенедикта и с учётом факторов, повышающих или понижающих энергетические потребности организма. В среднем потребность составила 25–30 ккал/(кг×сут), что соответствует рекомендациям Европейского общества по трансплантации костного мозга [4].
Потребность в энергии у детей 2–16 лет и с массой тела <75 кг определяли исходя из уровня энергии основного обмена согласно уравнению Seashore, умноженного на коэффициент 1,4–1,6 или 1,3–1,4 для пациентов 16–18 лет и массой тела >75 кг [12].
Потребность в белке прежде всего зависела от возраста пациента и составила:
- 2–6 лет — 2,5–3 гр/(кг×сут);
- 7–10 лет — 2,4 гр/(кг×сут);
- 11–14 лет — 2 гр/(кг×сут);
- 15–18 лет — 1,8 гр/(кг×сут);
- взрослые — 1,5 гр/(кг×сут) [12].
С целью повышения толерантности и снижения побочных явлений ПП, целевой объём достигался на третьи сутки терапии согласно следующей схеме:
- 1-е сутки — 50% объёма;
- 2-е сутки — 75%;
- 3-и сутки — 100%.
Для профилактики гипергликемии, связанной с ПП, проводилась терапия инсулином короткого действия в составе ПП из расчёта 1 ед. инсулина на 10 г глюкозы для поддержания нормогликемии [13]. Гипергликемией во время проведения ПП считали значение глюкозы сыворотки крови >7 ммоль/л.
Значение гипертриглицеридемии у взрослых на фоне ПП классифицировали как >4,2 ммоль/л, что связано с циркуляцией в кровеносном русле хиломикронов ЖЭ [14]. Паузу перед забором образцов крови для биохимического анализа не выполняли.
Лимитирующими факторами данного исследования являются неоднородность групп сравнения по ряду параметров и недостижение целевого значения по энергетическому обеспечению ПП практически у каждого второго пациента. Прежде всего эта тенденция связана с ограничением объёма ПП из-за риска волемической перегрузки на фоне полипрагмазии, риска метаболических нарушений при наличии органной токсичности.
Статистический анализ
При планировании исследования статистическая гипотеза не рассчитывалась, за основу был выбран период рекрутирования равный 12 месяцам. Статистическая программа — SPSS Statistics ver. 23.0 (IBM, США). Для сравнения однородности групп (более 2) номинальных переменных применялся критерий χ2 Пирсона, для количественных нормально распределенных переменных — классический дисперсионный анализа (ANOVA), для ненормальных количественных и порядковых переменных — тест Краскела–Уоллиса с последующим применением апостериорных вариантов для однородных и неоднородных выборок. Для 2 групп использованы соответственно тесты Фишера, Стьюдента и Манна–Уитни. Описание выборок зависит от нормальности распределений. Для нормальных переменных достаточно среднего, стандартного отклонений и размера выборки, для ненормальных переменных более предпочтительно использование медианы, квартилей и размера выборки. Для оценки общей выживаемости применяли тест Каплана–Мейера с использованием критериев log-rank и Бреслау.
Результаты
В исследование включено 125 реципиентов аутологичной (n=38) и аллогенной (n=87) ТГСК, медиана возраста — 20 лет (2–65 лет). Группы сравнения имели неоднородное распределение по возрасту, диагнозу и виду ТГСК и были сопоставимы по размеру выборки, статусу заболевания на момент начала исследования, режиму кондиционирования, источнику трансплантата, HLA-совместимости в паре «донор–реципиент» и исходному нутритивному статусу (табл. 3).
Таблица 3. Характеристики пациентов
Table 3. Patients’ characteristics
Показатель/Группа | Контрольная (n=55) | Основная 1 «2 в 1» (n=24) | Основная 2 «3 в 1» (n=46) | p |
Размер группы, n (муж/жен) | 26/29 | 14/10 | 24/22 | 0,54 |
Возраст, лет (медиана); соотношение <18/≥18 лет | 32 (3–62); 15/40 | 30 (3–65); 9/15 | 6 (2–45); 32/14 | 0,001 |
Диагноз | 0,046 | |||
Лейкозы (ОМЛ, ОЛЛ, ХМЛ, ЮММЛ), n=67 | 35 | 13 | 19 | 0,039 |
Дисплазии (МДС, АА, МФ), n=15 | 8 | 4 | 3 | 0,49 |
Лимфопролиферация (ЛХ, НХЛ, ЛБ, ММ), n=11 | 5 | 3 | 3 | 0,78 |
Солидные опухоли (МБ, НБ, ЭмЦНС, СЮ, АТРО, ГермО), n=32 | 7 | 4 | 21 | 0,001 |
Стадия | ||||
ремиссия/стабилизация | 26 | 12 | 31 | 0,094 |
рецидив/прогрессия | 29 | 12 | 14 | |
Вид ТГСК | 0,008 | |||
аутологичная | 10 | 6 | 22 | – |
аллогенная: | 45 | 18 | 24 | – |
родственная | 8 | 8 | 6 | – |
неродственная | 19 | 3 | 7 | – |
гаплоидентичная | 18 | 7 | 11 | – |
Кондиционирование | 0,335 | |||
МАК | 42 | 19 | 29 | – |
РИК | 13 | 12 | 10 | – |
Источник трансплантата | ||||
ПСКК/КМ | 41/15 | 17/7 | 31/15 | 0,08 |
HLA-совместимость | 0,09 | |||
полная | 24 | 9 | 11 | – |
частичная | 21 | 9 | 13 | – |
Исходный НС | 0,51 | |||
эутрофия | 37 | 17 | 39 | – |
гипотрофия | 8 | 3 | 5 | – |
ожирение | 10 | 4 | 2 | – |
Примечание. ОМЛ — острый миелоидный лейкоз; ОЛЛ — острый лимфобластный лейкоз; ХМЛ — хронический миелолейкоз; ЮММЛ — ювенильный миеломоноцитарный лейкоз; МДС — миелодиспластический синдром; АА — апластическая анемия; МФ — первичный миелофиброз; ЛХ — лимфома Ходжкина; НХЛ — неходжкинская лимфома; ЛБ — лимфома Беркитта; ММ — множественная миелома; МБ — медуллобластома; НБ — нейробластома; ЭмЦНС — эмбриональная опухоль центральной нервной системы; СЮ — саркома Юинга; АТРО — атипичная тератоидно-рабдоидная опухоль; ГермО — герминогенная опухоль; МАК — миелоаблативный режим кондиционирования; РИК — режим кондиционирования со сниженной интенсивностью доз; ПСКК — периферические стволовые клетки крови; КМ — костный мозг.
Note. ОМЛ — acute myeloid leukemia; ОЛЛ — acute lymphoblastic leukemia; ХМЛ — chronic myeloid leukemia; ЮММЛ — juvenile myelomonocytic leukemia; МДС — myelodysplastic syndrome; AA — aplastic anemia; МФ — primary myelofibrosis; ЛХ — Hodgkin’s lymphoma; НХЛ — non-Hodgkin’s lymphoma; ЛБ — Burkitt’s lymphoma; MM — multiple myeloma; МБ — medulloblastoma; НБ — neuroblastoma; ЭмЦНС — embryonic tumor of the central nervous system; СЮ — Ewing’s sarcoma; АТРО — atypical teratoid-rhabdoid tumor; ГермО — germinogenic tumor; МАК — myeloablative conditioning regimen; РИК — conditioning regimen with reduced dose intensity; ПСКК — peripheral blood stem cells; КМ — bone marrow.
В контексте оценки влияния вида НП на показатели нутритивного статуса важным параметром является возраст (рис. 2), медиана которого отличалась в группах сравнения и определяла разные значения ИМТ на момент начала исследования.
Рис. 2. Распределение пациентов по возрасту в группах сравнения. ПП — парентеральное питание; ЖЭ-II — жировые эмульсии II поколения; ЖЭ-III — жировые эмульсии III поколения.
Fig. 2. Patients’ distribution by age in comparison groups. ПП — parenteral nutrition; ЖЭ-II — second-generation fat emulsion; ЖЭ-III — third-generation fat emulsion.
Так или иначе, фактор возраста не оказывал влияния на характер динамики ИМТ в раннем посттрансплантационном периоде — поверхностного, но интегрального показателя нутритивного статуса. Клиническую эффективность ПП определяли на основании ИМТ, который равномерно снижался в каждой группе наблюдения от 7-го дня до ТГСК к 21-му дню после ТГСК, но восстанавливался к 28-му дню и не отличался в группах сравнения (табл. 4).
Таблица 4. Динамика индекса массы тела за период от 7 дней до трансплантации гемопоэтических стволовых клеток до 28 дней после
Table 4. Dynamics of body mass index during the period from 7 days before hematopoietic stem cell transplantation to 28 days after
Группа/Параметр | Mean | SD | р |
Контрольная/ИМТ | |||
Д-7 | 22,6 | 6,37 | 0,416 |
Д+21 | 20,9 | 6,57 | |
Д+28 | 21,7 | 6,08 | |
ПП «3 в 1» (ЖЭ II поколения) | |||
Д-7 | 18,8 | 4,92 | 0,726 |
Д+21 | 17,7 | 4,26 | |
Д+28 | 18,7 | 4,41 | |
ПП «3 в 1» (ЖЭ III поколения) | |||
Д-7 | 18,6 | 4,21 | 0,841 |
Д+21 | 17,9 | 3,58 | |
Д+28 | 18,2 | 3,49 | |
Примечание. ИМТ — индекс массы тела; ЖЭ — жировые эмульсии; Mean — среднее; SD — выборочное стандартное отклонение среднего; ПП — парентеральное питание; Д-7 — 7 дней до трансплантации; Д+21 — 21-е сутки после трансплантации; Д+28 — 28-е сутки после трансплантации.
Note. ИМТ — body mass index; ЖЭ — fat emulsions; SD — standard deviation; ПП — parenteral nutrition; Д-7 — 7 days before transplantation; Д+21 — 21 days after transplantation; Д+28 — 28 days after transplantation.
Синдром желудочно-кишечной токсичности и другие осложнения
Среди всех пациентов в подавляющем большинстве случаев развивались нарушения аппетита, мукозит, проявления синдрома желудочно-кишечной токсичности в виде тошноты, рвоты и диареи, а также фебрильная нейтропения (табл. 5). Менее частым побочным явлением была изолированная органотоксичность. Синдром полиорганной недостаточности (n=15) в рамках последствий комплексных осложнений развивался у каждого второго пациента с сепсисом (n=31).
Таблица 5. Основные осложнения в раннем периоде трансплантации гемопоэтических стволовых клеток
Table 5. The main complications in the early period after hematopoietic stem cell transplantation
Осложнение | Частота |
Нарушение аппетита | 76,8% (n=96) |
Тошнота: | 57,6% (n=72) |
I степени | 58,3% (n=42) |
II степени | 27,8% (n=20) |
III степени | 13,9% (n=10) |
Рвота: | 36% (n=45) |
I степени | 66,7% (n=30) |
II степени | 20% (n=9) |
III степени | 13,3% (n=6) |
Диарея, развившаяся на фоне режима кондиционирования (длительность: 1–43 сут, в среднем 9,5 сут) | 20% (n=25) |
Мукозит: | 88% (n=110) |
I–II степени | 70% (n=77) |
III–IV степени | 30% (n=33) |
Энтеропатия различного генеза | 57,6% (n=72) |
Фебрильная нейтропения | 75,2% (n=94) |
Сепсис | 24,8% (n=31) |
Острая реакция «трансплантат против хозяина» | 16,1% (n=14) |
Органная токсичность: | 26,4% (n=33) |
гепатотоксичность | 51,5% (n=17) |
нефротоксичность | 15,2% (n=5) |
нейротоксичность | 12,1% (n=4) |
острая кишечная недостаточность | 9,0% (n=3) |
кардиотоксичность | 6,1% (n=2) |
пульмотоксичность | 6,1% (n=2) |
Синдром полиорганной недостаточности | 12% (n=15) |
из них, в рамках осложнения сепсиса | 48,4% |
Показания, основные характеристики и переносимость парентерального питания
Спектр посттрансплантационных осложнений был достаточно типичным для метода ТГСК и определял необходимость начала ПП в большей степени из-за невозможности адекватной алиментации на фоне мукозита (95,7% случаев, n=67) и анорексии (4,3% случаев, n=3).
В 58,6% случаев (n=41) ПП инициировали на фоне тошноты и рвоты (из них у 36,6% больных эти осложнения были в тяжёлой степени). Данный аспект важно учитывать при оценке переносимости ПП, принимая во внимание, что его инициация, как правило, происходит на пике или продолжающейся эскалации проявлений синдрома желудочно-кишечной токсичности, что затрудняет идентификацию факторов сниженной толерантности.
В основной группе наблюдения у 28 больных потребовалось полное ПП, у 42 — частичное. В среднем начало ПП приходилось на 7 день после ТГСК, (от дня 0 до дня 16), а продолжительность составила 2–31 сут (медиана — 11 сут).
В 7,1% случаев (n=5) отмечено усиление интенсивности тошноты и рвоты в дебюте и во время эскалации дозы ПП. При этом однозначно утверждать о ведущей роли факта ПП в генезе рвоты достаточно сложно, учитывая наличие других не менее значимых факторов, например, таких как усугубление степени тяжести мукозита, применение циклофосфамида в рамках профилактики РТПХ в 3 и 4 день после ТГСК, начало антибактериальной, противогрибковой и анальгетической терапии опиоидными анальгетиками, обладающими эметогенными свойствами (табл. 6).
Таблица 6. Основные характеристики и побочные эффекты парентерального питания
Table 6. The main parenteral nutrition characteristics and side effects
Показатель | Основная группа 1 «2 в 1» (n=24) | Основная группа 2 «3 в 1» (n=46) |
Продолжительность ПП, сут (среднее) | 3–28 (10) | 2–31 (11,9) |
Энергетическая ценность ПП, ккал/кг (среднее) | 5,7–17,7 (12,3) | 5,9–31,1 (16,3) |
Энергетическая ценность ПП от расчётной суточной потребности, % | 41% | 54,3% |
Усиление эметического синдрома | 3 | 4 |
Гипергликемия | 3 | 4 |
Гипертриглицеридемия | 0 | 3 |
Примечание. ПП — парентеральное питание.
Note. ПП — parenteral nutrition.
Побочные эффекты ПП выявлены в 22,9% случаев и включали гипергликемию, рвоту и гипертриглицеридемию.
ПП было прекращено в 20% случаев (n=14) в результате развития осложнений, не связанных с ПП (n=7), и при которых реализация нутриционной терапии противопоказана: отёк легких (n=3), септический шок (n=2), судорожный синдром (n=1), веноокклюзионная болезнь печени (n=1). А кроме того — в результате осложнений, связанных с ПП в виде клинически значимого усиления эметического синдрома (n=7).
Взаимосвязь парентерального питания с осложнениями
В ходе анализа, направленного на выявление побочных явлений ПП и риска инфекционных и иммунных осложнений, важно отметить, что пациенты группы контроля имели меньшую частоту и интенсивность проявлений токсичности препаратов режима кондиционирования. Так, у пациентов, получавших ПП, априори было большее количество случаев нарушения аппетита вплоть до анорексии по сравнению с пациентами с естественной алиментацией — 85,7% против 65,5% соответственно (p=0,008, χ2=7,095) (табл. 7).
Таблица 7. Проявления синдрома желудочно-кишечной токсичности
Table 7. Manifestations of gastrointestinal toxicity syndrome
Параметр/Группа | Контрольная | Основная 1 «2 в 1» | Основная 2 «3 в 1» | ПП все группы | р |
Гипорексия | 65,5% (n=36) | 75% (n=18) | 91,3 (n=42) | 85,7% (n=60) | 0,008 |
Тошнота | 56,4% (n=31) | 70,8% (n=17) | 52,2% (n=24) | 58,6% (n=41) | 0,8 |
Рвота | 23,6% (n=13) | 54,2% (n=13) | 41,3% (n=19) | 45,7% (n=32) | 0,011 |
Диарея до ТГСК | 14,5% (n=8) | 12,5% (n=3) | 21,8% (n=10) | 24,3 (n=13) | 0,17 |
Мукозит | 78,2% (n=43) | не применимо | не применимо | 97% (n=63) | 0,002 |
Энтеропатия любой этиологии | 41,8% (n=23) | 75% (n=18) | 67,4% (n=31) | 70% (n=49) | 0,002 |
Примечание. ПП — парентеральное питание; ТГСК — трансплантация гемопоэтических стволовых клеток.
Note. ПП — parenteral nutrition; ТГСК — hematopoietic stem cell transplantation.
Частота тошноты не отличалась в основной и контрольной группах — 58,6% и 56,4% соответственно (p=0,8, χ2=0,061). Эпизоды рвоты были одним из показаний к инициации ПП, и потому были ожидаемо чаще у пациентов, получающих ПП: 45,7% против 23,6% случаев соответственно (p=0,011, χ2=6,516).
В основной группе ожидаемо было больше случаев поражений слизистой рта в виде мукозита — 97% против 78,2% (p=0,002, χ2=5,147).
Частота диареи, развившейся до ТГСК на фоне режима кондиционирования, не отличалась в группах сравнения: 24,3% и 14,5% (p=0,17, χ2=1,826). В то время как диарея любой этиологии чаще развивалась в основной группе: 70% против 41,8% (p=0,002, χ2=10,016).
При анализе влияния ЖЭ в составе ПП по сравнению со схемой «2 в 1», не было обнаружено различий в частоте и выраженности таких проявлений, как:
- нарушения аппетита — 91,3% и 75% (p=0,06; χ2=3,424);
- тошнота — 52,2% и 70,8 (p=0,13; χ2=2,263);
- рвота — 41,3% и 54,2% (p=0,3; χ2=1,051);
- диарея до ТГСК — 21,8% и 12,5% (p=0,09; χ2=2,759);
- диарея любой этиологии в раннем посттрансплантационном периоде — 67,4% и 75% (p=0,51; χ2=0,435).
Стоит отметить, что в основной группе наблюдения значительно чаще требовалась терапия 20% раствором альбумина для коррекции гипоальбуминемии: 27,1% против 9,1% (p=0,011; χ2=6,470).
При осуществлении ПП может увеличиваться количество случаев катетер-ассоциированной инфекции кровотока (за счёт необходимости более частого взаимодействия среднего медицинского персонала с линиями центрального венозного катетера), контаминации растворов, неблагоприятного влияния гипергликемии. Соответственно, одним из критериев безопасности ПП была оценка частоты инфекционных осложнений.
Общая встречаемость фебрильной нейтропении составила 75,2% (n=94) и не отличалась в контрольной группе (72,7%; n=40) и при использовании ПП (77,1%; n=54), p=0,54, χ2=0,366 (табл. 8).
Таблица 8. Взаимосвязь парентерального питания и инфекционных осложнений
Table 8. The relationship between parenteral nutrition and infectious complications
Показатель | Контрольная группа (n=55) | Основная группа 1 «2 в 1» (n=24) | Основная группа 2 «3 в 1» (n=46) |
Фебрильная нейтропения | 40 | 19 | 35 |
Сепсис: | 14 | 11 | 6 |
Klebsiella pneumoniae | 2 | 6 | 1 |
Escherichia coli | 2 | 0 | 1 |
Streptococcus viridans | 4 | 0 | 0 |
Enterococcus faecalis | 2 | 1 | 2 |
Bacillus spp. | 1 | 0 | 0 |
Enterobacter spp. | 1 | 0 | 0 |
Proteus mirabilis | 0 | 1 | 0 |
Staphylococcus spp. | 2 | 1 | 0 |
Serratia marcescens | 0 | 0 | 1 |
Без инфекционного агента | 0 | 2 | 1 |
Кандидемия | 0 | 0 | 0 |
Виремия: | 8 | 2 | 0 |
ВПГ-1,2 | 6 | 1 | – |
ЦМВ | 4 | 1 | – |
ЭБВ | 1 | – | – |
Примечание. ВПГ-1,2 — вирус простого герпеса 1-го и 2-го типа; ЦМВ — цитомегаловирус; ЭБВ — вирус Эпштейна–Барр.
Note. ВПГ-1,2 — herpes simplex virus types 1 and 2; ЦМВ — cytomegalovirus; ЭБВ — Epstein–Barr virus.
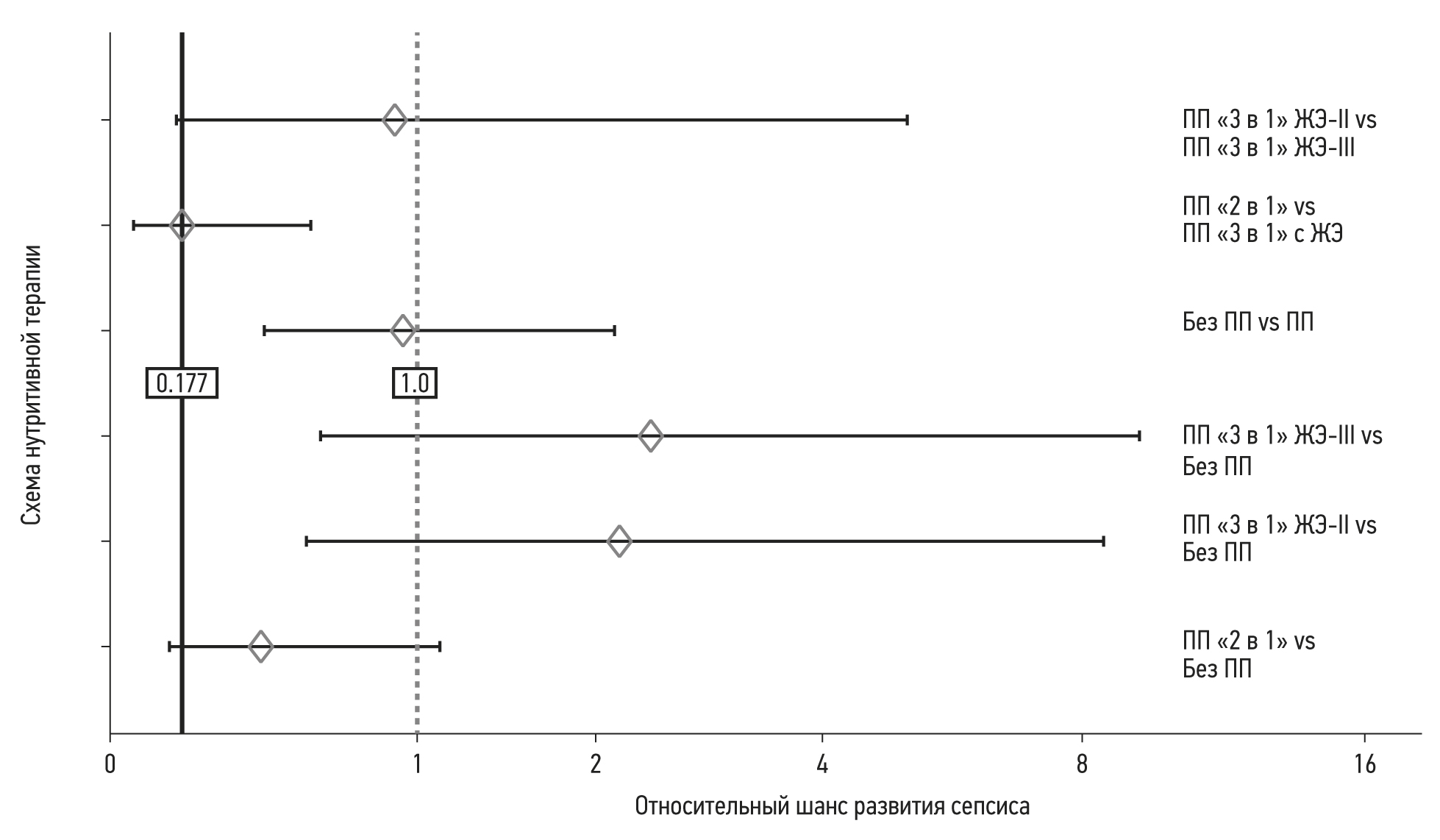
Частота сепсиса составила 24,8% (n=31) и не зависела от факта применения ПП (p=0,07). Кроме того, вероятность сепсиса была выше при использовании ПП «2 в 1» по сравнению со схемой с ЖЭ (p=0,002), и отношение шансов развития сепсиса было выше в 5,64 раза (рис. 3). Расчёт относительных шансов пар переменных производился по формуле:
(OR)=odds(BT=0)/odds(BT=1)=
13/40/(11/6)=0,325/1,833=0,177.
Для интерпретации полученной оценки взята обратная величина: 1/0,177=5,64.
Рис. 3. Шанс развития сепсиса в зависимости от схемы парентерального питания. ПП — парентеральное питание; ЖЭ II — жировые эмульсии II поколения; ЖЭ III — жировые эмульсии III поколения. Пунктирная линия отражает неразличимость шансов.
Fig. 3. Sepsis chance development depending on the parenteral nutrition regimen. ПП — parenteral nutrition; ЖЭ-II — second-generation fat emulsion; ЖЭ-III — third-generation fat emulsion.
Частота развития острой РТПХ в общей когорте больных составила 16,1% (n=14) и не различалась в контрольной группе (n=8) и в группах с ПП (n=6); p=0,65. При этом все случаи острой РТПХ, кроме одного, были I–II степени. Межгрупповой анализ также не выявил различий в частоте данного осложнения (p=0,196, χ2=0,658). Таким образом, ПП не оказывало влияния на частоту и степень тяжести РТПХ.
Взаимосвязь парентерального питания с общей выживаемостью
Общая выживаемость Д+100 составила 87,2% (n=109). По группам:
- в контрольной группе — 85,5% (n=47; p=0,2);
- в группе ПП «2 в 1» — 75% (n=18; p=0,2);
- в группе ПП с ЖЭ II поколения — 100% (p=0,01);
- в группе ПП с ЖЭ III поколения — 91,7% (n=22; p=0,1).
При объединении групп пациентов, нуждавшихся в ПП, не было выявлено различий в общей выживаемости Д+100 в зависимости от факта использования ПП по сравнению с контрольной группой: 85,5% и 88,6% соответственно; p=0,503, χ2=0,449 (рис. 4).
Рис. 4. Общая выживаемость к дню 100 после трансплантации гемопоэтических стволовых клеток в зависимости от факта применения парентерального питания. ПП — парентеральное питание; ТГСК — трансплантация гемопоэтических стволовых клеток.
Fig. 4. Day 100 overall survival after hematopoietic stem cell transplantation depending on the parenteral nutrition implementation. ПП — parenteral nutrition; ТГСК — hematopoietic stem cell transplantation.
Обсуждение
Современные методы энтерального и парентерального питания — это неотъемлемая часть сопроводительной терапии при ТГСК, однако важной проблемой у определённой группы пациентов остаётся сниженная переносимость компонентов клинического питания и недостаточная эффективность существующей НП.
В данном аспекте особое значение приобретает комплексность и общность сопроводительной и нутриционной терапии, направленной на сглаживание побочных явлений режима кондиционирования и повышение удобства и комплаентности питания. Это, в свою очередь, позволяет максимально длительно сохранять возможность естественного питания и/или сипинга, прибегая к ПП в меньшем объёме. Первичным компонентом является антиэметическая и анальгетическая терапия. Второй аспект — повышение толерантности к методам нутриционной терапии за счёт оценки противопоказаний, рационального выбора дозы препаратов, скорости введения, своевременного мониторинга и коррекции метаболических нарушений. В основе эффективности и безопасности ПП лежит определение действительного расхода энергии. На основании накопленного опыта, Европейское общество по трансплантации костного мозга рекомендует принять в качестве стандарта энергетические потребности в диапазоне 25–30 ккал/(кг×сут), что соотносится с результатами расчётных формул.
Так или иначе, место и значение внутривенного питания в составе НП при ТГСК действительно меняется в сторону альтернативного варианта, однако в целом ряде случаев ПП остаётся ведущим методом обеспечения пациента энергией и макронутриентами.
В настоящем исследовании у нуждавшихся в ПП реципиентов гемопоэтических стволовых клеток основной показатель нутритивного статуса — ИМТ — в динамике в точках до ТГСК и к 28-му дню после ТГСК существенно не изменился. При более детальном анализе (учитывая, что группы сравнения отличались неравномерным распределением по возрасту) отмечены схожие тенденции в динамике массы тела: максимальное снижение на 21 день с частичным восстановлением к 28-му дню. Эти тенденции могут указывать на достаточность самостоятельной алиментации и сипинга в контрольной группе и ПП в основной группе.
В то же время у 40% пациентов в посттрансплантационном периоде определялась гипоальбуминемия, которая в 19,2% случаев требовала коррекции раствором 20% альбумина, что (помимо алиментарного фактора) указывает и на другие причины развившегося дефицита: гемодилюцию на фоне массивной инфузионной терапии, капиллярную утечку в результате эндотелиопатии, снижение белковосинтетической функции печени, катаболический эффект глюкокортикостероидов.
Учитывая тот факт, что ПП при ТГСК (наряду с неполной HLA-совместимостью между донором гемопоэтических стволовых клеток и реципиентом и наличием РТПХ) несёт в себе риск развития гепато-ассоциированных осложнений [15], нами были предприняты дополнительные меры, направленные на снижение вероятности побочных реакций при использовании ПП.
Прежде всего — это отказ от использования ЖЭ первого поколения на основе длинноцепочечных триглицеридов, обладающих сниженной усвояемостью и провоспалительным потенциалом. Второй подход заключался в постепенном достижении целевой дозы ПП за счёт дробного увеличения объёма ПП, тем самым профилактируя риск гипергликемии и жировой перегрузки печени.
Согласно общим терминологическим критериям оценки нежелательных явлений (CTCAE), чётко определены значения гипертриглицеридемии, однако на фоне ПП эти значения могут являться некорректными, так как необходимая пауза длительностью 12 часов перед забором образцов крови рутинно не выполняется из-за круглосуточного введения ПП. Кроме того, стоит учитывать, что некоторые лекарства, применяемые в гематологии, могут повышать (циклоспорин, такролимус, диазепам) или понижать (L-аспарагиназа) уровень триглицеридов.
Инсулинотерапия в контексте ПП важна не только с целью достижения нормогликемии, но и для предотвращения/снижения гипертриглицеридемии. Избыточная углеводная нагрузка, которая характерна для ПП, не содержащего ЖЭ, приводит к увеличению интенсивности липогенеза и повышению уровня триглицеридов в сыворотке крови [16]. На примере пациентов хирургического профиля доказана взаимосвязь гипертриглицеридемии с повышенной частотой инфекционных осложнений и летальностью [17]. В то же время, профилактическая инсулинотерапия при проведении ПП, содержащего ЖЭ, способствует снижению степени выраженности гипертриглицеридемии на 25–30% и снижает смертность от инфекционных осложнений [18].
Согласно данным исследования, не подтвердились опасения о негативном влиянии ПП на риск развития инфекционных и иммунных осложнений. При этом невозможно не учитывать и другие факторы, которые позволяют снизить возможные осложнения ПП: например, совершенствование видов и материалов центральных венозных катетеров, фиксирующих повязок, средств для ухода за кожей для профилактики адгезивно-вызванного повреждения кожи (MARSI) [19], технология ПП «3 в 1», отказ от ЖЭ первого поколения, доступный лабораторный мониторинг.
При использовании схемы ПП «2 в 1» отмечены высокая частота сепсиса и сниженная общая выживаемость, что может указывать на неполноценность состава ПП за счёт развития дефицита энергии и жирных кислот (в частности ω-3), обладающих широким функциональным спектром, включая противовоспалительный потенциал. Однако к интерпретации полученных результатов стоить относиться крайне взвешенно, учитывая многофакторность влияния на частоту развития инфекционных осложнений и неоднородность групп сравнения по отдельным параметрам.
Заключение
На примере представленной когорты больных с онкогематологическими заболеваниями, получивших лечение методом ТГСК, схемы ПП с ЖЭ второго и третьего поколения при ступенчатом увеличении дозы отличались приемлемой толерантностью и эффективно поддерживали показатели нутритивного статуса.
Использование ПП не способствует повышению риска развития инфекционных и иммунных осложнений при ТГСК. ПП не является действенным методом коррекции дефицита сывороточного альбумина.
Дополнительная информация
Источник финансирования. Авторы заявляют об отсутствии внешнего финансирования при проведении исследования.
Конфликт интересов. Авторы заявляют об отсутствии конфликта интересов.
Вклад авторов. Все авторы подтверждают соответствие своего авторства международным критериям ICMJE (все авторы внесли существенный вклад в разработку концепции, проведение исследования и подготовку статьи, прочли и одобрили финальную версию перед публикацией). Наибольший вклад распределён следующим образом: М.А. Кучер — разработка дизайна исследования, реализация исследования, написание рукописи; Н.Г. Салтыкова — анализ пищевых дневников, выполнение методов оценки нутритивного статуса; Т.А. Быкова, Ю.Ю. Власова, О.В. Паина, О.А. Слесарчук — реализация исследования и курация пациентов; Б.И. Смирнов — математический анализ; Л.С. Зубаровская, А.Д. Кулагин — общее руководство и координация исследования.
Благодарности. Авторы благодарят медицинский персонал, пациентов и их родственников за участие в исследовании.
Additional info
Funding source. The study was not supported by any external sources of funding.
Competing interests. The authors declare that they have no competing interests.
Authors’ contribution. All authors made a substantial contribution to the conception of the work, acquisition, analysis, interpretation of data for the work, drafting and revising the work, final approval of the version to be published and agree to be accountable for all aspects of the work. M.A. Kucher — study design and implementation, manuscript writing; N.G. Saltykova — food diaries analysis, nutritional status assessment; T.A. Bykova, J.J. Vlasova, O.V. Paina, O.A. Slesarchuk — research implementation and patient supervision; B.I. Smirnov — mathematical analysis; L.S. Zubarovskaya, A.D. Kulagin — general management and study coordination.
Acknowledgements. Authors thank the hospital staff, the patients, and their families for participating in this study.
Об авторах
Максим Анатольевич Кучер
Первый Санкт-Петербургский государственный медицинский университет имени академика И.П. Павлова
Автор, ответственный за переписку.
Email: doctorkucher@yandex.ru
ORCID iD: 0000-0001-6114-3214
SPIN-код: 5741-2412
д-р мед. наук
Россия, Санкт-ПетербургНаталья Григорьевна Салтыкова
Первый Санкт-Петербургский государственный медицинский университет имени академика И.П. Павлова
Email: nata.saltykova2014@yandex.ru
Россия, Санкт-Петербург
Татьяна Александровна Быкова
Первый Санкт-Петербургский государственный медицинский университет имени академика И.П. Павлова
Email: dr.bykova@mail.ru
ORCID iD: 0000-0002-4456-2369
SPIN-код: 4985-1202
канд. мед. наук
Россия, Санкт-ПетербургЮлия Юрьевна Власова
Первый Санкт-Петербургский государственный медицинский университет имени академика И.П. Павлова
Email: jj_vlasova@mail.ru
ORCID iD: 0000-0002-7762-0107
SPIN-код: 1523-6692
канд. мед. наук
Россия, Санкт-ПетербургОлеся Владимировна Паина
Первый Санкт-Петербургский государственный медицинский университет имени академика И.П. Павлова
Email: paina@mail.ru
ORCID iD: 0000-0001-7263-4326
SPIN-код: 4430-3147
канд. мед. наук
Россия, Санкт-ПетербургБорис Иванович Смирнов
Санкт-Петербургский государственный электротехнический университет «ЛЭТИ» имени В.И. Ульянова (Ленина)
Email: mdandmcandapl@mail.ru
канд. техн. наук
Россия, Санкт-ПетербургОльга Александровна Слесарчук
Первый Санкт-Петербургский государственный медицинский университет имени академика И.П. Павлова
Email: slesarchuk_oa@mail.ru
ORCID iD: 0000-0002-6007-3899
SPIN-код: 3341-3884
канд. мед. наук
Россия, Санкт-ПетербургЛюдмила Степановна Зубаровская
Первый Санкт-Петербургский государственный медицинский университет имени академика И.П. Павлова
Email: zubarovskaya_ls@mail.ru
ORCID iD: 0000-0003-2594-7703
SPIN-код: 1853-2906
д-р мед. наук, профессор
Россия, Санкт-ПетербургАлександр Дмитриевич Кулагин
Первый Санкт-Петербургский государственный медицинский университет имени академика И.П. Павлова
Email: kulagingem@rambler.ru
ORCID iD: 0000-0002-9589-4136
SPIN-код: 2667-4966
д-р мед. наук
Россия, Санкт-ПетербургСписок литературы
- Casirati A., Salcedo I., Cereda E., et al. The European Society for Blood and Marrow Transplantation (EBMT) roadmap and perspectives to improve nutritional care in patients undergoing hematopoietic stem cell transplantation on behalf of the Cellular Therapy and Immunobiology Working Party (CTIWP) and the Nurses Group (NG) of the EBMT // Bone Marrow Transplant. 2023. Vol. 58, N 9. P. 965–972. doi: 10.1038/s41409-023-02018-z
- Arends J., Bachmann P., Baracos V., et al. ESPEN guidelines on nutrition in cancer patients // Clinical Nutrition. 2017. Vol. 36. P. 11–48. doi: 10.1016/j.clnu.2016.07.015
- Baumgartner A., Bargetzi A., Zueger N., et al. Revisiting nutritional support for allogeneic hematologic stem cell transplantation — a systematic review // Bone Marrow Transplant. 2017. Vol. 52. P. 506–513. doi: 10.1038/bmt.2016.310
- Baumgartner A., Schuetz P. Nutritional support. In: Carreras E., Dufour C., Mohty M., Kröger N., editors. The EBMT Handbook: Hematopoietic stem cell transplantation and cellular therapies. Cham (CH) : Springer, 2019. P. 171–176. doi: 10.1007/978-3-030-02278-5
- Baumgartner A., Hoskin K., Schuetz P. Optimization of nutrition during allogeneic hematologic stem cell transplantation // Current Opinion in Clinical Nutrition and Metabolic Care. 2018. Vol. 21, N 3. P. 152–158. doi: 10.1097/MCO.0000000000000461
- Skaarud K.J., Veierød M.B., Lergenmuller S., et al. Body weight, body composition and survival after 1 year: follow-up of a nutritional intervention trial in allo-HSCT recipients // Bone Marrow Transplantation. 2019. Vol. 54, N 12. P. 2102–2109. doi: 10.1038/s41409-019-0638-6
- Reese M.K., Hewlings S. Enteral versus parenteral use in adult patients undergoing hematopoietic stem cell transplantation // Clinical Journal of Oncology Nursing. 2019. Vol. 23, N 2. P. 173–179. doi: 10.1188/19.CJON.173-179
- Skaarud K.J., Hjermstad M.J., Bye A., et al. Effects of individualized nutrition after allogeneic hematopoietic stem cell transplantation following myeloablative conditioning; a randomized controlled trial // Clinical Nutrition ESPEN. 2018. Vol. 28. P. 59–66. doi: 10.1016/j.clnesp.2018.08.002
- Common Terminology Criteria for Adverse Events (CTCAE). В: Myeloma UK [Internet]. 2017. Режим доступа: https://academy.myeloma.org.uk/wp-content/uploads/2015/04/CTCAE_v5.pdf Дата обращения: 26.07.2024.
- Dupuis L.L., Taddio A., Kerr E.N., Kelly A., MacKeigan L. Development and validation of a pediatric nausea assessment tool (PeNAT) for use by children receiving antineoplastic agents // Pharmacotherapy. 2006. Vol. 26. P. 1221–1231. doi: 10.1592/phco.26.9.1221
- Снеговой А.В., Ларионова В.Б., Кононенко И.Б., и др. Профилактика тошноты и рвоты в онкологии // Клиническая онкогематология. Фундаментальные исследования и клиническая практика. 2016. Т. 9, № 1. C. 75–83. EDN: VTIPHT
- Seattle Cancer Care Alliance. Hematopoietic stem cell transplantation nutrition care criteria. 2nd ed. Seattle, Wash : Seattle Cancer Care Alliance, 2002.
- Клиническое питание больных в интенсивной медицине: практическое руководство / под ред. Луфта В.М., Багненко С.Ф., Щербука Ю.А. Санкт-Петербург : Санкт-Петербургский НИИ скорой помощи им. И.И. Джанелидзе, 2010.
- Лейдерман И.Н., Ярошецкий А.И., Кокарев Е.А., Мазурок В.А. Парентеральное питание: Вопросы и ответы: Руководство для врачей. Санкт-Петербург : Онли-Пресс, 2016.
- Thorvaldson L., Remberger M., Winiarski J., et al. HLA, GVHD, and parenteral nutrition are risk factors for hepatic complications in pediatric HSCT // Pediatr Transplant. 2016. Vol. 20. P. 96–104. doi: 10.1111/petr.12623
- Chascione C., Elwyn D.H., Davila M., et al. Effect of carbohydrate intake on de novo lipogenesis in human adipose tissue // Am J Physiol. 1987. Vol. 253 (6 Pt 1). P. 664–669. doi: 10.1152/ajpendo.1987.253.6.E664
- Visschers R.G.J., Olde Damink S.W.M., Schreurs M., et al. Development of hypertriglyceridemia in patients with enterocutaneous fistulas // Clin Nutr. 2009. Vol. 28, N 3. P. 313–317. doi: 10.1016/j.clnu.2009.03.001
- van den Berghe G., Wouters P., Weekers F., et al. Intensive insulin therapy in critically ill patients // N Engl J Med. 2001. Vol. 345, N 19. P. 1359–1367. doi: 10.1056/NEJMoa011300
- Gogoleva T.A., Kucher M.A., Bogomolnyi M.P. Silicone medical adhesive removal for central venous catheter care optimization in patients with haematology diseases // Cellular Therapy and Transplantation (CTT). 2023. Vol. 12, N 1. P. 46–50. doi: 10.18620/ctt-1866-8836-2023-12-1-46-50
Дополнительные файлы








