Клиническая значимость оценки физической работоспособности при прохождении системного противоопухолевого лечения: когортное исследование
- Авторы: Блинова К.А.1, Мишина И.Е.2, Иванова Г.Е.3, Березина Е.В.1, Парфенов А.С.1, Копышева Е.Н.2, Кострыгин А.К.1
-
Учреждения:
- Ивановский государственный медицинский университет
- Санкт-Петербургский государственный университет
- Российский национальный исследовательский медицинский университет имени Н.И. Пирогова
- Выпуск: Том 7, № 3 (2025)
- Страницы: 178-189
- Раздел: ОРИГИНАЛЬНОЕ ИССЛЕДОВАНИЕ
- Статья получена: 15.08.2025
- Статья одобрена: 16.09.2025
- Статья опубликована: 06.10.2025
- URL: https://journals.eco-vector.com/2658-6843/article/view/689314
- DOI: https://doi.org/10.36425/rehab689314
- EDN: https://elibrary.ru/ZGYIKY
- ID: 689314
Цитировать
Полный текст
Аннотация
Обоснование. Современные успехи в онкологии способствуют увеличению продолжительности жизни пациентов. Актуальной проблемой у женщин, страдающих раком молочной железы, остаётся кардиотоксичность противоопухолевой терапии. Традиционные методы оценки кардиотоксичности, основанные на показателях фракции выброса левого желудочка, обладают ограниченной прогностической ценностью и не всегда отражают снижение функционирования и жизнедеятельности после лечения.
Цель исследования ― оценить вклад различных физиологических факторов в снижение физической активности при раке молочной железы у пациенток, получающих антрациклиновую химиотерапию.
Методы. В когортное исследование включены 30 пациенток, страдающих раком молочной железы, проходивших неоадъювантную антрациклиновую химиотерапию. Комплексная оценка проводилась с использованием эхокардиографии, лабораторных исследований, психометрических опросников и теста шестиминутной ходьбы. Статистический анализ включал корреляционный и регрессионный анализ для выявления предикторов снижения физической работоспособности.
Результаты. Большинство пациенток имели избыточную массу тела или ожирение, а также сопутствующую анемию и артериальную гипертензию. Пациентки с низкой повседневной активностью чаще отмечали снижение фракции выброса левого желудочка на 10% за последние три месяца, а также худшие показатели по результатам теста шестиминутной ходьбы. Множественный регрессионный анализ выявил, что степень тяжести анемии, уровень артериальной гипертензии, низкая фракция выброса левого желудочка и количество курсов лучевой и химиотерапии являются значимыми предикторами снижения физической работоспособности. Психоэмоциональные расстройства и приверженность к лечению статистически значимого влияния не оказали.
Заключение. Снижение физической работоспособности у пациенток с раком молочной железы, получающих антрациклины, обусловлено комплексным воздействием сердечно-сосудистых, лёгочных и гематологических факторов. Ограничением исследования было небольшое количество выборки. В перспективе необходима дальнейшая разработка персонализированных программ реабилитации, направленных на минимизацию кардиотоксических эффектов и восстановление функциональных возможностей у онкологических пациентов.
Полный текст
Список сокращений
КОП-25 ― Российский универсальный опросник количественной оценки приверженности к лечению
РМЖ ― рак молочной железы
ТШХ ― тест шестиминутной ходьбы
ЭхоКГ ― эхокардиография
HADS (Hospital Anxiety and Depression Scale) ― госпитальная шкала тревоги и депрессии
VO2 max (maximal oxygen consumption) ― максимальное потребление кислорода
ОБОСНОВАНИЕ
Совершенствование методов ранней диагностики и расширение спектра терапевтических возможностей в онкологии способствует увеличению продолжительности жизни пациентов после установления диагноза [1]. Достигнутые успехи обеспечивают длительный контроль над онкологическими заболеваниями, но у пациентов нередко наблюдаются отсроченные осложнения и побочные эффекты, связанные с проведённым лечением. В настоящее время всё большее значение приобретает проблема кардиотоксичности, обусловленная использованием химиотерапевтических средств, лучевой терапии и их последовательным применением, особенно у женщин, перенёсших рак молочной железы (РМЖ) [2, 3].
По согласованному мнению российских экспертов [4], основным инструментом диагностики и стратификации риска у пациентов при подозрении на кардиотоксичность является измерение систолической функции левого желудочка в покое с использованием методов визуализации сердца (эхокардиография, ЭхоКГ), акцент при этом делается на оценку фракции выброса левого желудочка и глобальной продольной деформации (global longitudinal strain, GLS) [5]. Вместе с тем всё чаще признаётся, что оценка фракции выброса левого желудочка в покое обладает ограниченной прогностической ценностью в отношении неблагоприятных сердечно-сосудистых исходов у пациентов, получавших противоопухолевое лечение [6], и не коррелирует с объективными показателями сниженной толерантности к физической нагрузке, что является характерным признаком заболеваний сердечно-сосудистой системы. Кроме того, измерение содержания тропонина в сыворотке крови, являясь важным показателем повреждения миокарда, информативно при массивных поражениях, а при небольших повреждениях его чувствительность снижается [7].
В исследовании E.J. Howden и соавт. [7] было проведено сравнение влияния противоопухолевой терапии на максимальное потребление кислорода (VO2 max), изменения эхокардиографических и биохимических маркеров кардиотоксичности. В ходе исследования было зафиксировано значительное снижение пикового VO2 max, при этом у 43% участников наблюдалось клинически значимое уменьшение данного показателя, а у 1/4 пациентов возникли функциональные нарушения. Изменения фракции выброса левого желудочка, глобальной продольной деформации (GLS) и содержания тропонина были незначительными и продемонстрировали слабую или отсутствующую корреляцию с изменениями функциональной способности. В другой работе E.J. Howden и соавт. [8] показано, что структурированная программа физических тренировок во время химиотерапии антрациклинами может смягчить снижение VO2 max как показателя физической работоспособности. Авторы предположили, что изменение VO2 max может служить альтернативным, более чувствительным маркером кардиотоксичности, позволяя выявлять пациентов с риском развития ограничения функциональных возможностей, индуцированных противоопухолевой терапией.
В когортном исследовании J.D. Groarke и соавт. [9] установлено, что скорректированный риск смертности от всех причин, сердечно-сосудистых заболеваний и рака снижается на 26%, 14% и 25% соответственно с каждым увеличением метаболического эквивалента (metabolic equivalent of task, MET) при измерении кардиореспираторной выносливости. Более того, снижение VO2 max может ограничивать способность человека выполнять повседневные действия, что делает его показателем функциональной независимости и качества жизни.
Оценка клинической значимости изменений уровня кардиореспираторной выносливости после противоопухолевого лечения требует разграничения вклада сердечных и внесердечных факторов [10]. На величину VO2 max оказывают влияние сердечно-сосудистая, лёгочная и гематологическая системы, каждая из которых может быть подвержена воздействию системной противоопухолевой терапии. Следовательно, существующие стратегии мониторинга, сфокусированные преимущественно на количественной оценке сердечной дисфункции как индикатора кардиотоксичности противоопухолевой терапии, не позволяют в полной мере оценить весь спектр токсических эффектов, оказывающих влияние на организм пациента. Возможность поддержания длительной физической нагрузки отражает взаимодействие центральных (сердечный выброс и диффузия газов в лёгких) и периферических (способность крови переносить кислород, состояние сосудистой системы) компонентов транспорта кислорода и, вероятно, является важным независимым предиктором общей смертности и смертности от сердечно-сосудистых заболеваний.
Цель исследования ― оценка вклада физиологических параметров в нарушение переносимости физической нагрузки у пациенток с РМЖ, получающих химиотерапию антрациклинами.
МЕТОДЫ
Дизайн исследования
Одномоментное когортное клиническое исследование.
Критерии соответствия
Критерии включения: диагноз РМЖ, подтверждённый гистологически; получение неоадъювантной антрациклиновой химиотерапии; возраст ≥18 лет; согласие на участие в исследовании (информированное согласие).
Критерии невключения: наличие отдалённых метастазов; сопутствующие заболевания в декомпенсированной стадии (тяжёлая сердечная недостаточность, почечная недостаточность и др.); отсутствие возможности пройти тест шестиминутной ходьбы (тяжёлые неврологические расстройства, ампутация ног и др.); психические расстройства, препятствующие участию в исследовании.
Условия проведения
Исследование проведено в отделении химиотерапии ОБУЗ «Ивановский областной онкологический диспансер» (Иваново, Россия).
Продолжительность исследования
Исследование проведено в период с сентября по декабрь 2024 года.
Исходы исследования
Основной исход исследования: дистанция, пройденная в тесте шестиминутной ходьбы.
Дополнительные показатели исследования, такие как фракция выброса левого желудочка, динамика фракции выброса левого желудочка за последние три месяца, результаты лабораторных исследований, показатели артериального давления, приверженность к лечению (Российский универсальный опросник количественной оценки приверженности к лечению, КОП-25), число курсов химио- и лучевой терапии, частота сердечных сокращений (ЧСС) во время теста шестиминутной ходьбы (ТШХ), сатурация кислорода (SpO2), данные анамнеза и оценка повседневной активности, использовали для комплексной оценки состояния пациенток, выявления факторов, влияющих на снижение физической работоспособности, и поиска взаимосвязей между различными параметрами.
Анализ чувствительности в исследовании не проводили.
Методы регистрации исходов
Для комплексной оценки физического и психического состояния пациентов использовали вопросы оригинальной анкеты, а также стандартизированные психометрические инструменты и клинические параметры: Европейский опросник оценки качества жизни, трёхуровневая версия (The 3-level version of European Quality of Life Questionnaire, EQ-5D-3L); опросник качества жизни HeartQoL; госпитальную шкалу тревоги и депрессии (Hospital Anxiety and Depression Scale, HADS); шкалу личностной и ситуативной тревожности Спилбергера–Ханина; оценку приверженности к лечению (КОП-25); оценку воспринимаемого напряжения по шкале Борга, а также клинический анализ крови (для оценки степени анемии), эхокардиографические данные (ЭхоКГ) в покое.
Для оценки кардиореспираторной выносливости использовали нагрузочную пробу ТШХ. Данный тест позволяет применить результаты исследования, изучавшего взаимосвязь показателей ТШХ и кардиопульмонального нагрузочного тестирования у пациентов с хронической сердечной недостаточностью, которые выявили статистически значимую положительную корреляцию между пройденной дистанцией при ТШХ и VO2 max (r=0,587; p <0,05) [11]. В том числе в онкологической практике проведение проб с субмаксимальной нагрузкой, таких как ТШХ, часто является предпочтительным методом оценки физической работоспособности. ТШХ, в отличие от проб с максимальной нагрузкой, характеризуется меньшей интенсивностью, что снижает риск преждевременного истощения у ослабленных пациентов и обеспечивает более точную оценку их функциональных возможностей [12]. При проведении ТШХ регистрировали среднюю и максимальную ЧСС (уд./мин).
Дополнительно до и после нагрузочной пробы проводили измерение SpO₂ (%), ЧСС (уд./мин), артериального давления (мм рт.ст.), также выполняли оценку воспринимаемого напряжения по шкале Борга (6–20 баллов).
При оценке ЭхоКГ, с целью выявления потенциального токсического воздействия на миокард, анализировали следующие признаки: фактическое значение фракции выброса левого желудочка (%); динамику изменения фракции выброса левого желудочка, т.е. снижение её на ≥10% по сравнению с данными, полученными при измерении за три месяца до включения в исследование [3, 5].
Статистический анализ
Размер выборки предварительно не рассчитывали (запланирована остановка исследования при достижении статистически значимого результата).
Для статистического анализа данных использовали программное обеспечение Statistica 12.0. Результаты представлены в виде абсолютных и относительных частот (%), а также средних арифметических значений (M) и стандартных отклонений (SD), выраженных в формате M±SD. Сравнение групп проводили с использованием таблиц сопряжённости и критерия хи-квадрат (χ²). Для выявления предикторов исследуемых показателей проводили корреляционный анализ и множественную линейную регрессию (где F ― F-статистика, используется для проверки общей значимости модели; R² ― коэффициент детерминации, показывает долю дисперсии зависимой переменной, объясняемой независимой переменной; SE (Standard Error) ― стандартная ошибка, оценивает точность, с которой определен коэффициент регрессии; t ― t-статистика, используется для проверки значимости каждого отдельного коэффициента в регрессионной модели; b* ― стандартизованный регрессионный коэффициент, позволяет сравнивать относительную важность предикторов, измеренных в разных единицах). Для оценки степени и направления линейной взаимосвязи между количественными переменными применяли коэффициент корреляции Пирсона (r). Статистически значимыми считали различия при уровне значимости p <0,05.
РЕЗУЛЬТАТЫ
Объекты (участники) исследования
В исследование включены 30 пациенток в возрасте от 18 лет и старше с РМЖ, проходивших неоадъювантное лечение антрациклинами в отделении химиотерапии ОБУЗ «Ивановский областной онкологический диспансер». Медиана возраста пациенток составила 63 [51; 68, 75] года. Этапы формирования выборки представлены на рис. 1.
Рис. 1. Последовательность формирования выборки исследования. РМЖ ― рак молочной железы; ТШХ ― тест шестиминутной ходьбы; ФВЛЖ ― фракция выброса левого желудочка; ЧСС ― частота сердечных сокращений; SpO2 ― сатурация кислорода.
Fig. 1. Flowchart of study sample selection. РМЖ, breast cancer; ТШХ, six-minute walking test; ФВЛЖ, left ventricular ejection fraction; ЧСС, heart rate; SpO2, oxygen saturation.
До включения в исследование в соответствии с действующими клиническими рекомендациями пациенты прошли в среднем 6,4±1,2 курса химиотерапии и 3,2±1,7 курса лучевой терапии.
Основные результаты исследования
По результатам проведённого исследования, практически все пациентки имели избыточную массу тела или ожирение: избыточная масса тела ― у 12 (40%); ожирение I степени ― у 9 (30%), ожирение II степени ― у 3 (10%).
Анализ данных, полученных с помощью индивидуальных фитнес-трекеров и при сборе анамнеза, выявил гетерогенность уровня повседневной активности среди пациенток. Установлено, что 53,3% женщин (16 человек) проходили менее 3 км в день; остальные пациентки (14; 46,7%) демонстрировали более высокий уровень активности: 10 (33,3%) ― более 3 км в день, 4 (13,3%) ― более 5 км в день.
При проведении лабораторных и инструментальных исследований сопутствующая анемия I–II степени тяжести выявлена в 66% случаев (у 20 человек), артериальная гипертензия I–II степени ― в 40% (у 12).
Данные эхокардиографических изменений и результатов ТШХ представлены в табл. 1. Так, среднее значение фракции выброса левого желудочка во всей группе соответствовало нормальным значениям, однако в группе с высоким и средним уровнем физической активности было несколько выше (66,50±7,10%), чем в группе с низким уровнем физической активности (62,44±5,28%). Статистически значимые различия получены в ходе анализа динамики фракции выброса левого желудочка (р <0,05). Установлено, что снижение данного показателя на ≥10% по сравнению с результатами, полученными за три месяца до включения в исследование, значительно чаще отмечалось у пациенток с низким уровнем повседневной физической активности (у 4/16; 25%). В группе пациентов с высокой и средней физической активностью аналогичное снижение фракции выброса левого желудочка выявлено лишь у 1/14 (7%).
Таблица 1. Результаты эхокардиографического исследования и нагрузочной пробы у обследованных пациенток
Table 1. Results of echocardiographic examination and stress test in the examined patients
Исследование | Показатель | Уровень физической активности пациентов, M±SD | ||
Все n=30 | Высокий и средний n=14 | Низкий n=16 | ||
ЭхоКГ | ФВЛЖ | 64,33±6,42 | 66,50±7,10 | 62,44±5,28 |
ТШХ | Расстояние, м | 379,37±80,86 | 411,93±101,21 | 350,88±43,69* |
Число шагов | 556,33±97,94 | 589,21±101,19 | 527,56±87,98* | |
ЧСС max, уд./мин | 115,43±12,16 | 118,00±16,44 | 113,19±6,36 | |
ЧСС сред., уд./мин | 105,77±10,26 | 107,36±12,68 | 104,38±7,74 | |
Шкала Борга, балл | 12,93±1,14 | 12,79±1,19 | 13,06±1,12 | |
Примечание. * ― статистически значимые различия между показателями пациенток с высоким/средним и низким уровнем повседневной активности (p <0,05). ЭхоКГ ― эхокардиография; ТШХ ― тест шестиминутной ходьбы; ФВЛЖ ― фракции выброса левого желудочка; ЧСС ― частота сердечных сокращений.
Note: *, statistically significant differences between the indicators of patients with high/medium and low levels of daily activity (p <0.05). ЭхоКГ, echocardiography; ТШХ, six-minute walking test; ФВЛЖ, left ventricular ejection fraction; ЧСС, heart rate.
При анализе результатов, полученных при нагрузочной пробе (ТШХ), наблюдались статистически значимые различия между группами в отношении пройденной дистанции и количества шагов (см. табл. 1). Пациентки с высоким и средним уровнем физической активности прошли большее расстояние (411,93±101,21 м) и сделали большее количество шагов (589,21±101,19 шагов) по сравнению с пациентками с низким уровнем физической активности (350,88±43,69 м и 527,56±87,98 шагов соответственно). Максимальная и средняя ЧСС во время ТШХ не имели статистически значимых различий между группами, хотя у пациенток с высоким и средним уровнем физической активности наблюдалась тенденция к более высокой максимальной ЧСС по сравнению с группой с низким уровнем физической активности (118,00±16,44 против 113,19±6,36 уд./мин). Согласно полученным результатам, пациентки с высоким и средним уровнем физической активности демонстрируют более высокую работоспособность, что подтверждается большей дистанцией, пройденной в ТШХ, и бÓльшим количеством шагов, сделанных во время нагрузочной пробы.
Оценка по шкале HADS выявила высокую распространённость тревожно-депрессивных нарушений среди обследованных пациенток, при этом тревожные расстройства, такие как клинически выраженная (у 12; 40%) и субклинически выраженная (у 10; 33%) тревога, встречались чаще, чем депрессивные ― клинически выраженная (у 4; 13%) и субклинически выраженная (у 13; 43%) депрессия. Анализ уровня тревожности с использованием шкалы Спилбергера–Ханина показал, что все пациентки характеризовались повышенным уровнем ситуативной и личностной тревожности: средний уровень ― у 13 (43%) и 7 (23%); высокий уровень ― у 17 (57%) и 23 (77%) соответственно.
Медиана показателя качества жизни по опроснику HeartQoL составила 12 [9; 17] баллов, что соответствует среднему уровню качества жизни согласно установленным критериям шкалы. Анализ результатов опросника EQ-5D-3L выявил, что подавляющее большинство пациенток испытывали нарушения в повседневной деятельности (29; 97%) и отмечали наличие болевого синдрома или дискомфорта (27; 90%).
Результаты оценки приверженности к лечению с использованием опросника КОП-25 (табл. 2) выявили в целом умеренно высокую готовность пациенток следовать клиническим рекомендациям. Анализ отдельных шкал опросника показал, что наиболее высокая приверженность отмечается в отношении медицинского сопровождения, в то время как наименьшая приверженность зафиксирована в отношении изменения образа жизни. Сравнение подгрупп пациенток с разным уровнем физической активности выявило незначительные различия в показателях приверженности к лечению. В частности, в подгруппе с низким уровнем физической активности отмечалась несколько более высокая приверженность к лекарственной терапии и медицинскому сопровождению по сравнению с пациентками с высоким и средним уровнем физической активности, однако статистический анализ не выявил значимых различий между группами, что может быть обусловлено небольшим размером выборки.
Таблица 2. Результаты приверженности к лечению по опроснику КОП-25 у обследованных пациенток
Table 2. Results of treatment adherence according to the KOP-25 questionnaire in the examined patients
Показатель | Уровень физической активности пациентов, M±SD | ||
Все n=30 | Высокий и средний n=14 | Низкий n=16 | |
Общая приверженность к лечению | 64,03±14,28 | 62,00±14,2 | 65,81±14,57 |
Приверженность к лекарственной терапии | 66,67±15,74 | 63,79±15,25 | 69,19±16,21 |
Приверженность к медицинскому сопровождению | 72,57±14,07 | 70,14±14,02 | 74,69±14,22 |
Приверженность к изменению образа жизни | 56,2±15,23 | 54,71±15,86 | 57,5±15,06 |
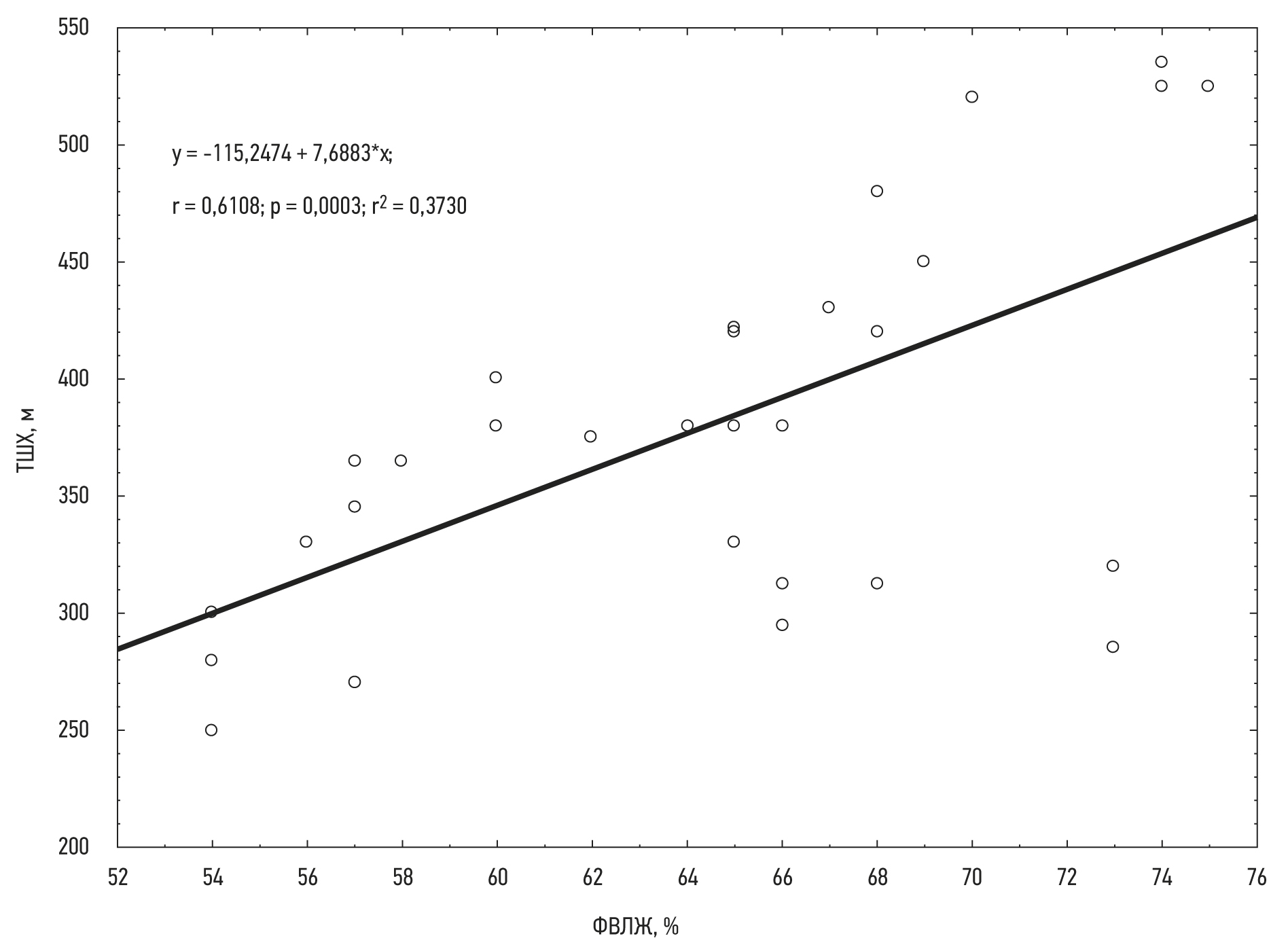
С целью определения взаимосвязи между дистанцией, пройденной при выполнении нагрузочной пробы (ТШХ), и фракцией выброса левого желудочка проведена оценка корреляционной зависимости с использованием коэффициента корреляции Пирсона (рис. 2). Анализ выявил статистически значимую положительную линейную связь (r=0,6108; p=0,0003), предполагающую, что пациенты, способные пройти большее расстояние при ТШХ, имеют, как правило, более высокую фракцию выброса левого желудочка. Тем не менее корреляция является умеренной, а коэффициент детерминации (R²=0,3730) указывает на то, что фракция выброса объясняет лишь относительно небольшую часть изменчивости дистанции ТШХ. Следовательно, на дистанцию ТШХ влияют и другие факторы, не учтённые в данной модели.
Рис. 2. Корреляционная зависимость между дистанцией нагрузочной пробы и фракцией выброса левого желудочка. ТШХ ― тест шестиминутной ходьбы; ФВЛЖ ― фракция выброса левого желудочка.
Fig. 2. Correlation between the distance covered during the six-minute walk test and left ventricular ejection fraction values. ТШХ, six-minute walking test; ФВЛЖ, left ventricular ejection fraction.
Для оценки влияния клинических факторов на дистанцию ТШХ проведён множественный линейный регрессионный анализ. Результаты показали, что общая модель была статистически значимой [F(6,23)=9,925; p <0,0001], объясняя 72,1% дисперсии ТШХ (R²=0,721). Значение константы (Intercept) составило 489,372 [SE=46,774, t(23)=10,462; p <0,0001]. После стандартизации статистически значимыми предикторами дистанции ТШХ были:
- степень артериальной гипертензии (b*=-0,336, SE=0,114; p=0,007), т.е. более высокая степень артериальной гипертензии ассоциировалась со статистически значимым снижением дистанции ТШХ;
- степень тяжести анемии (b*=-0,764, SE=0,122; p <0,0001), т.е. увеличение тяжести анемии являлось мощным предиктором снижения дистанции ТШХ;
- снижение фракции выброса левого желудочка (b*=0,470, SE=0,113; p=0,009), т.е. снижение фракции выброса левого желудочка является сильным предиктором уменьшения дистанции ТШХ;
- количество курсов противоопухолевой системной терапии (b*=-0,383, SE=0,124; p=0,005) и количество курсов лучевой терапии (b*=-0,023; p=0,04), т.е. большее количество курсов ассоциировалось со снижением дистанции ТШХ.
Другие включённые в модель предикторы, такие как наличие тревоги/депрессии по HADS (b*=0,143; p=0,247), избыточный вес (b*=-0,026; p=0,838), возраст (b*=-0,38; р=0,246), наличие ситуативной тревоги (b*=0,009; р=0,541) и личностной тревожности (b*=0,226; р=0,156), качество жизни (b*=0,08; р=0,359), общая приверженность к лечению (b*=-0,25; р=0,235), не показали статистически значимого влияния на дистанцию ТШХ.
ОБСУЖДЕНИЕ
Резюме основного результата исследования
Снижение физической работоспособности у пациенток с РМЖ, получающих антрациклины, обусловлено комплексным воздействием нескольких факторов, выходящих за рамки простой оценки фракции выброса левого желудочка. В частности, тяжесть анемии и артериальной гипертензии, а также кумулятивное воздействие лучевой и химиотерапии независимо друг от друга оказывают значимое негативное влияние на переносимость физических нагрузок. Эти результаты подчёркивают важность целостного подхода к оценке функционального состояния пациенток, включающего мониторинг гематологических, сердечно-сосудистых и онкологических параметров для разработки персонализированных программ реабилитации. Выявление предикторов снижения физической работоспособности позволяет разрабатывать стратегии для минимизации негативных эффектов лечения и улучшения качества жизни пациенток.
Обсуждение результатов исследования
Транспорт кислорода представляет собой последовательность физиологических процессов, обеспечивающих доставку кислорода в митохондрии мышечных клеток, где происходит эффективное производство энергии, а также протекают многочисленные ферментативные реакции, требующие молекулярного кислорода. При выполнении физической нагрузки возрастающая метаболическая потребность требует увеличения потребления кислорода посредством конвективных и диффузионных процессов, а также митохондриального дыхания для обеспечения работающих мышц аденозинтрифосфатом. Конвективные процессы включают поступление кислорода в лёгкие (альвеолярная вентиляция) и его транспортировку из лёгких к периферическим тканям через кровеносную систему (посредством гемоглобина и сердечного выброса) [13].
Лёгочная система выполняет функции вентиляции и газообмена. Нарушения эффективности газообмена, обусловленные несоответствием вентиляционно-перфузионного отношения (V/Q) или изменениями напряжения кислорода, могут возникать при физической нагрузке. Различные осложнения противоопухолевой терапии, такие как интерстициальные заболевания лёгких, а также гипоксия, индуцированная ингибиторами факторов транскрипции, могут нарушать диффузию кислорода в лёгких [14]. Лучевая терапия также может оказывать негативное воздействие на лёгочную ткань, вызывая лучевой пневмонит и фиброз лёгких, что дополнительно ухудшает газообмен и снижает функциональные возможности лёгких [15]. Проведённое исследование показало, что выраженность снижения переносимости физической нагрузки у пациентов связана с количеством курсов лучевой терапии.
Химиотерапевтические препараты (антрациклины, препараты на основе платины), обладая миелосупрессивным действием, индуцируют анемию, снижая уровень гемоглобина, что приводит к уменьшению содержания кислорода в артериальной крови и, как следствие, снижению оксигенации тканей, что негативно влияет на кардиореспираторную выносливость. Даже умеренное снижение концентрации гемоглобина в результате химиотерапии может значительно уменьшить VO2 max. На связывание кислорода с гемоглобином также влияют изменения в кривой диссоциации кислорода и гемоглобина, зависящие от физиологических условий, таких как гипоксия, ацидоз и гипертермия [16]. В рамках проведённого исследования установлено, что степень тяжести анемии оказывает наибольшее влияние на выраженность снижения переносимости физической нагрузки у пациентов, проходящих курс химиотерапевтического лечения.
Доставка кислорода к тканям регулируется посредством изменения сосудистого тонуса, который контролируется нервной и эндокринной системами. Кроме того, существенную роль в локальной адаптации кровотока играет местная регуляция, основанная на концентрации метаболитов и других факторов в тканях, непосредственно воздействующих на гладкую мускулатуру сосудов. Противоопухолевая терапия вызывает сосудистую токсичность обусловливая снижение эластичности артерий, что ограничивает доставку кислорода и увеличивает системное сосудистое сопротивление. Химиотерапия (например, антрациклины, препараты платины, 5-фторурацил), лучевая терапия, ингибиторы протеасомы и анти-VEGF-терапия могут вызывать структурные и функциональные изменения сосудов, приводящие к снижению эластичности артерий через окислительный стресс и воспаление. Метаанализ C. Schneider и соавт. подтверждает связь между противоопухолевой терапией и снижением эластичности артерий [17], а обратная зависимость между снижением эластичности артерий и VO2 max наблюдалась у пациентов с РМЖ, получавших антрациклины [17, 18]. Увеличение системного сосудистого сопротивления, индуцированного противоопухолевой терапией, может являться одной из причин развития артериальной гипертензии, выявленной у пациентов в данном исследовании.
Патогенез токсического влияния на миокард включает несколько ключевых механизмов: прямое повреждение ДНК кардиомиоцитов, опосредованное ингибированием топоизомеразы II, что приводит к нарушению репликации и транскрипции; активация окислительного стресса посредством генерации активных форм кислорода, вызывающего повреждение клеточных структур; нарушение функций митохондрий, проявляющееся снижением синтеза аденозинтрифосфата и увеличением апоптоза кардиомиоцитов. В совокупности данные процессы приводят к снижению сократительной способности миокарда и энергетическому дефициту, что проявляется снижением переносимости физических нагрузок и ограничением функциональной активности [19]. В контексте проведённого исследования наблюдаемое снижение фракции выброса левого желудочка рассматривается как следствие вышеуказанных патофизиологических изменений, приводящее к ухудшению гемодинамических показателей и, соответственно, уменьшению дистанции, пройденной пациентами в ходе нагрузочной пробы (ТШХ).
Увеличение курсов химиотерапии приводит к прогрессирующему накоплению негативных эффектов, усугубляющих гипоксию тканей, повреждение митохондрий с последующим снижением функциональной активности. Диффузия кислорода из капилляров в клетки и митохондрии зависит от градиента давления и способности тканей к обмену кислородом. Нарушение поступления кислорода вследствие снижения плотности и числа капилляров, уменьшения площади для обмена у пациентов на противоопухолевом лечении, включая химиотерапию антрациклинами, вызывает гипоксию тканей. Это связано с гибелью эндотелиальных клеток, тромбозами и ухудшением сосудистой перфузии, а следовательно, ухудшением обмена веществ в мышцах и других тканях [20]. Клинические исследования подтверждают негативное влияние химиотерапии на структуру и функцию скелетных мышц. У пациентов, проходящих химиотерапию, наблюдается снижение мышечной массы, уменьшение метаболизма высокоэнергетического фосфата, снижение числа митохондрий и активности митохондриальных ферментов [21], снижение регуляции митохондриального биогенеза и уменьшение доли медленных, окислительных мышечных волокон I типа [22].
В настоящем исследовании мы сосредоточились на оценке влияния общесистемных факторов, таких как анемия, артериальная гипертензия и сердечная недостаточность, на снижение переносимости физической нагрузки у пациенток с РМЖ, получающих химиотерапию антрациклинами, при этом микроциркуляторные нарушения и особенности диффузии кислорода в ткани, включая влияние снижения плотности капилляров и дисфункции сосудов на доставку кислорода к скелетным мышцам, не являлись предметом непосредственного изучения в рамках данной работы, хотя и признаются важным фактором, влияющим на функцию мышц и переносимость физических нагрузок. В будущих исследованиях планируется уделить более пристальное внимание изучению микроциркуляторного русла, оценке дисфункции сосудов и её взаимосвязи с другими клиническими и биохимическими параметрами, что позволит получить более полное представление о механизмах, лежащих в основе снижения физической работоспособности у онкологических пациентов.
Ограничения исследования
Ограничения, связанные с выборкой исследования. Небольшой размер выборки (n=30) ограничивает статистическую мощность исследования. Это означает, что существует риск не обнаружить статистически значимые связи, даже если они существуют в действительности (ошибка второго рода). Малый размер выборки также увеличивает влияние случайных колебаний данных на результаты регрессионного анализа. Например, небольшое изменение значения у одного или двух пациентов может существенно повлиять на значимость отдельных предикторов.
Выборка исследования ограничена пациентками, получающими лечение в одном медицинском учреждении (ОБУЗ «Ивановский областной онкологический диспансер», Иваново). Это ограничивает генерализуемость результатов на всю популяцию пациенток с РМЖ, получающих антрациклиновую химиотерапию; выборка ограничена пациентками, прошедшими неоадъювантное лечение. Результаты могут не распространяться на пациенток, получающих адъювантную химиотерапию или другие виды противоопухолевого лечения.
С учётом вышеизложенных ограничений, генерализуемость результатов исследования представляется умеренной. Результаты могут быть применимы к пациенткам с РМЖ, получающим неоадъювантную антрациклиновую химиотерапию в медицинских учреждениях с сопоставимыми характеристиками, но с осторожностью должны быть распространены на другие группы пациенток или другие регионы.
Ограничения, связанные с сопоставимостью групп. В данном исследовании не проводилось прямого сравнения групп (например, сравнение пациенток с высокой и низкой физической активностью), однако сравнение проводилось косвенно, через анализ предикторов снижения физической работоспособности. Важно отметить, что различия в исходных характеристиках пациенток (например, по степени выраженности анемии, артериальной гипертензии, исходному уровню физической активности) могли повлиять на результаты регрессионного анализа. Несмотря на то, что регрессионный анализ учитывает влияние этих факторов, невозможно полностью исключить влияние неучтённых или недостаточно точно измеренных переменных.
Ограничения, связанные с показателями исследования. Данные о повседневной активности пациенток получены с помощью индивидуальных фитнес-трекеров и при сборе анамнеза, что может быть подвержено ошибкам измерения и субъективным искажениям. Точность и надёжность фитнес-трекеров могут варьировать в зависимости от модели и способа использования. Сбор анамнестических данных также может быть подвержен ошибкам памяти и предвзятости ответов. Оценка психоэмоционального состояния с помощью опросников также может быть подвержена субъективным искажениям.
Ограничения, связанные с методами измерения, использованными в исследовании. ТШХ является относительно простым и недорогим методом, доступным для большинства клинических учреждений, однако интерпретация результатов ТШХ требует опыта и знаний. Оценка фракции выброса левого желудочка с помощью эхокардиографии является стандартным методом оценки функции сердца, но её точность может зависеть от опыта врача, проводящего исследование, и качества оборудования. Кроме того, фракция выброса левого желудочка является лишь одним из показателей функции сердца, и её нормальные значения не всегда исключают наличие кардиотоксичности.
Ограничения, связанные с размером выборки, методологией формирования выборки, используемыми методами измерения и отсутствием прямого сравнения групп, могут повлиять на величину и вектор основного результата исследования. В будущих исследованиях следует использовать более крупные и репрезентативные выборки, более строгие методы измерения и учитывать все потенциальные факторы, влияющие на физическую работоспособность пациенток с РМЖ.
ЗАКЛЮЧЕНИЕ
Снижение физической работоспособности у пациенток с РМЖ, получающих антрациклины, является многофакторным состоянием, обусловленным сложным взаимодействием сердечно-сосудистых, лёгочных, гематологических факторов. Полученные данные подчёркивают ограниченную прогностическую ценность определения фракции выброса левого желудочка в покое как единственного маркера кардиотоксичности и необходимость применения интегративного системного подхода.
Степень тяжести анемии, артериальная гипертензия, снижение фракции выброса левого желудочка в динамике и количество курсов лучевой и химиотерапии были определены как значимые предикторы снижения дистанции ТШХ, что свидетельствует о важности оценки не только сердечной функции, но и состояния других систем, участвующих в обеспечении тканей кислородом. Выявленные нарушения указывают на необходимость разработки комплексных программ реабилитации, направленных на повышение общей функциональной активности пациенток. Будущие исследования должны быть сосредоточены на изучении вклада отдельных компонентов в преодоление снижения работоспособности, а также на разработке персонализированных подходов к реабилитации, направленных на уменьшение токсических эффектов, оптимизацию кардиореспираторной функции и улучшение качества жизни с учётом индивидуальных особенностей пациенток и специфики проводимого лечения.
ДОПОЛНИТЕЛЬНАЯ ИНФОРМАЦИЯ
Вклад авторов. К.А. Блинова ― обзор публикаций по теме статьи, проведение исследования, анализ и интерпретация данных, написание текста рукописи; И.Е. Мишина ― анализ и интерпретация данных, проверка и редактирование рукописи, утверждение рукописи для публикации; Г.Е. Иванова ― проверка и редактирование рукописи, утверждение рукописи для публикации; Е.В. Березина, А.С. Парфенов ― статистическая обработка данных, анализ результатов; Е.Н. Копышева, А.К. Кострыгин ― анализ данных, проверка и редактирование рукописи. Все авторы одобрили рукопись (версию для публикации), а также согласились нести ответственность за все аспекты работы, гарантируя надлежащее рассмотрение и решение вопросов, связанных с точностью и добросовестностью любой её части.
Этическая экспертиза. Протокол исследования одобрен этическим комитетом ФГБОУ ВО «Ивановский государственный медицинский университет» Минздрава России (протокол № 10 от 22.04.2024). Все участники исследования добровольно подписали форму информированного согласия до включения в исследование.
Источники финансирования. Отсутствуют.
Раскрытие интересов. Авторы заявляют об отсутствии отношений, деятельности и интересов за последние три года, связанных с третьими лицами (коммерческими и некоммерческими), интересы которых могут быть затронуты содержанием статьи.
Оригинальность. При проведении исследования и создании настоящей работы авторы не использовали ранее опубликованные сведения (текст, иллюстрации, данные).
Доступ к данным. Редакционная политика в отношении совместного использования данных к настоящей работе неприменима. Доступ к данным, полученным в настоящем исследовании, закрыт в связи с конфиденциальностью информации о пациентах.
Генеративный искусственный интеллект. При создании настоящей статьи технологии генеративного искусственного интеллекта не использовали.
Рассмотрение и рецензирование. Настоящая работа подана в журнал в инициативном порядке и рассмотрена по обычной процедуре. В рецензировании участвовали два внешних рецензента и научный редактор издания.
ADDITIONAL INFORMATION
Author contributions: K.A. Blinova, review of publications on the topic of the article, conducting research, analyzing and interpreting data, writing the text of the manuscript; I.E. Mishina, analyzing and interpreting data, checking and editing the manuscript, approving the manuscript for publication; G.E. Ivanova, checking and editing the manuscript, approving the manuscript for publication; E.V. Berezina, A.S. Parfenov, statistical data processing, analysis of results; E.N. Kopysheva, A.K. Kostrygin, data analysis, verification and editing of the manuscript. Thereby, all authors provided approval of the version to be published and agree to be accountable for all aspects of the work in ensuring that questions related to the accuracy or integrity of any part of the work are appropriately investigated and resolved.
Ethics approval: The research protocol was approved by the Ethics Committee of the Ivanovo State Medical University of the Ministry of Health of the Russian Federation (Protocol No. 10 dated 04/22/2024). All study participants voluntarily signed an informed consent form before being included in the study.
Funding sources. No funding.
Disclosure of interests. The authors have no relationships, activities or interests for the last three years related with for-profit or not-for-profit third parties whose interests may be affected by the content of the article.
Statement of originality. When conducting the research and creating this work, the authors did not use previously published information (text, illustrations, data).
Data availability statement. Editorial policy on data sharing not applicable to this work. Access to the data obtained in this study is closed due to confidential patient information.
Generative AI. Generative AI technologies were not used for this article creation.
Об авторах
Ксения Александровна Блинова
Ивановский государственный медицинский университет
Автор, ответственный за переписку.
Email: xenny7@yandex.ru
ORCID iD: 0000-0002-2896-8764
SPIN-код: 4959-7018
канд. мед. наук
Россия, ИвановоИрина Евгеньевна Мишина
Санкт-Петербургский государственный университет
Email: mishina-irina@mail.ru
ORCID iD: 0000-0002-7659-8008
SPIN-код: 2549-1182
д-р мед. наук, профессор
Россия, Санкт-ПетербургГалина Евгеньевна Иванова
Российский национальный исследовательский медицинский университет имени Н.И. Пирогова
Email: reabilivanova@mail.ru
ORCID iD: 0000-0003-3180-5525
SPIN-код: 4049-4581
д-р мед. наук, профессор
Россия, МоскваЕлена Владимировна Березина
Ивановский государственный медицинский университет
Email: elena_berezina@mail.ru
ORCID iD: 0000-0002-6958-0619
SPIN-код: 3074-5001
д-р техн. наук, доцент
Россия, ИвановоАлександр Сергеевич Парфенов
Ивановский государственный медицинский университет
Email: alsparf@gmail.com
ORCID iD: 0000-0002-5729-4121
SPIN-код: 1774-1948
канд. техн. наук
Россия, ИвановоЕлена Николаевна Копышева
Санкт-Петербургский государственный университет
Email: enk9@yandex.ru
ORCID iD: 0009-0003-9067-1317
SPIN-код: 7245-1066
канд. мед. наук, доцент
Россия, Санкт-ПетербургАлександр Константинович Кострыгин
Ивановский государственный медицинский университет
Email: onko@ivreg.ru
ORCID iD: 0000-0003-1840-8111
SPIN-код: 3112-0170
канд. мед. наук
Россия, ИвановоСписок литературы
- Miller KD, Siegel RL, Nogueira L, et al. Cancer treatment and survivorship statistics, 2022. CA Cancer J Clin. 2022;72(5):409–436. doi: 10.3322/caac.21731 EDN: WFLXED
- Chandrasekaran SH, Inban P, Maharjan R, et al. Investigation of chemotherapy-induced cardiac dysfunction in breast cancer. J Chemother. 2025;1–11. doi: 10.1080/1120009X.2025.2466278
- Vasyuk YuA, Gendlin GE, Emelina EI, et al. Guidance letter for cardiologists of oncology institutions on the prevention of cardiovascular complications of anticancer therapy. Cardiovasc Ther Prevention. 2023;22(7):109–118. doi: 10.15829/1728-8800-2023-3685 EDN: UOQBUG
- Vasyuk YuA, Gendlin GE, Emelina EI, et al. Consensus opinion of Russian experts on the prevention, diagnosis and treatment of cardiovascular toxicity of antitumor therapy. Russ J Cardiol. 2021;26(9):152–233. doi: 10.15829/1560-4071-2021-4703 EDN: GZXWWW
- Vasyuk YuA, Muslov SA, Vyzhigin DA, et al. Determining the risk of cardio- and vasotoxicity of antitumor therapy: to whom, when, why? Kardiologiia. 2025;65(1):3–10. doi: 10.18087/cardio.2025.1.n2717 EDN: FHAXUX
- Serrano JM, Mata R, González I, et al. Early and late onset cardiotoxicity following anthracycline-based chemotherapy in breast cancer patients: incidence and predictors. Int J Cardiol. 2023;382:52–59. doi: 10.1016/j.ijcard.2023.04.026 EDN: HGLTNT
- Howden EJ, Foulkes S, Dillon HT, et al. Traditional markers of cardiac toxicity fail to detect marked reductions in cardiorespiratory fitness among cancer patients undergoing anti-cancer treatment. Eur Heart J Cardiovasc Imaging. 2021;22(4):451–458. doi: 10.1093/ehjci/jeaa421 EDN: XCELWP
- Howden EJ, Bigaran A, Beaudry R, et al. Exercise as a diagnostic and therapeutic tool for the prevention of cardiovascular dysfunction in breast cancer patients. Eur J Prev Cardiol. 2019;26(3):305–315. doi: 10.1177/2047487318811181
- Groarke JD, Payne DL, Claggett B, et al. Association of post-diagnosis cardiorespiratory fitness with cause-specific mortality in cancer. Eur Heart J Qual Care Clin Outcomes. 2020;6(4):315–322. doi: 10.1093/ehjqcco/qcaa015 EDN: WVCAAH
- Johansen SH, Wisløff T, Edvardsen E, et al. Effects of systemic anticancer treatment on cardiorespiratory fitness: a systematic review and meta-analysis. JACC CardioOncol. 2025;7(2):96–106. doi: 10.1016/j.jaccao.2024.11.004 EDN: AGZIKY
- Mapelli M, Salvioni E, Paneroni M, et al. Brisk walking can be a maximal effort in heart failure patients: a comparison of cardiopulmonary exercise and 6 min walking test cardiorespiratory data. ESC Heart Fail. 2022;9(2):812–821. doi: 10.1002/ehf2.13781
- Evertz R, Diehl C, Gödde K, et al. Predictors of lower exercise capacity in patients with cancer. Sci Rep. 2023;13(1):14861. doi: 10.1038/s41598-023-41390-0
- Dillon HT, Foulkes SJ, Baik AH, et al. Cancer therapy and exercise intolerance: the heart is but a part: JACC: CardioOncology state-of-the-art review. JACC CardioOncol. 2024;6(4):496–513. doi: 10.1016/j.jaccao.2024.04.006
- Zhou C, Deng H, Yang Y, et al. Cancer therapy-related interstitial lung disease. Chin Med J (Engl). 2025;138(3):264–277. doi: 10.1097/CM9.0000000000003149
- Mo H, Jazieh KA, Brinzevich D, Abraham J. A review of treatment-induced pulmonary toxicity in breast cancer. Clin Breast Cancer. 2022;22(1):1–9. doi: 10.1016/j.clbc.2021.05.014
- Baik AH. Hypoxia signaling and oxygen metabolism in cardio-oncology. J Mol Cell Cardiol. 2022;165:64–75. doi: 10.1016/j.yjmcc.2021.12.013
- Schneider C, González-Jaramillo N, Marcin T, et al. Time-dependent effect of anthracycline-based chemotherapy on central arterial stiffness: a systematic review and meta-analysis. Front Cardiovasc Med. 2022;9:873898. doi: 10.3389/fcvm.2022.873898
- Terwoord JD, Beyer AM, Gutterman DD. Endothelial dysfunction as a complication of anti-cancer therapy. Pharmacol Ther. 2022;237:108116. doi: 10.1016/j.pharmthera.2022.108116
- Kirkham AA, Paterson DI, Haykowsky MJ, et al. Aerobic fitness is related to myocardial fibrosis post-anthracycline therapy. Med Sci Sports Exerc. 2021;53(2):267–274. doi: 10.1249/MSS.0000000000002469
- Hahn VS, Zhang KW, Sun L, et al. Heart failure with targeted cancer therapies: mechanisms and cardioprotection. Circ Res. 2021;128(10):1576–1593. doi: 10.1161/CIRCRESAHA.121.318223
- Hsu PY, Mammadova A, Benkirane-Jessel N, et al. Updates on anticancer therapy-mediated vascular toxicity and new horizons in therapeutic strategies. Front Cardiovasc Med. 2021;8:694711. doi: 10.3389/fcvm.2021.694711
- Terwoord JD, Beyer AM, Gutterman DD. Endothelial dysfunction as a complication of anti-cancer therapy. Pharmacol Ther. 2022;237:108116. doi: 10.1016/j.pharmthera.2022.108116
Дополнительные файлы





