Study of the payload extraction trajectory heavy class carrier rocket
- Autores: Bordachev V.A.1, Kolga V.V.1
-
Afiliações:
- Reshetnev Siberian State University of Science and Technology
- Edição: Volume 25, Nº 1 (2024)
- Páginas: 68-84
- Seção: Section 2. Aviation and Space Technology
- ##submission.datePublished##: 29.07.2024
- URL: https://journals.eco-vector.com/2712-8970/article/view/634618
- DOI: https://doi.org/10.31772/2712-8970-2024-25-1-68-84
- ID: 634618
Citar
Resumo
Relevance. As the weight and complexity of the payload that needs to be launched into orbit increases, the relevance of rational trajectory selection to ensure maximum efficiency and minimum costs for delivering the payload to a given orbit increases.
Rational choice of the trajectory of a heavy-class launch vehicle has a number of important practical applications. Firstly, it allows you to increase the payload capacity of the launch vehicle and reduce the cost of delivering payload to the target orbit. This is especially important in the context of the development of the space industry, when more and more companies and organizations are showing interest in launching their own satellites and other spacecraft in conditions of fierce economic competition. Choosing a rational trajectory for launching a payload into orbit will significantly reduce the cost of launches and make them available to a wider range of potential customers.
Secondly, the choice of launch vehicle trajectory parameters is important for ensuring safety and minimizing risks during spacecraft launches. Thanks to the rational choice of trajectory, it is possible to reduce adverse impacts on the environment and eliminate the possibility of emergency situations associated with loss of control over the flight of the launch vehicle.
Rational selection of launch vehicle trajectory parameters is a complex task that requires comprehensive research and consideration of various factors, such as aerodynamic parameters of the atmosphere, mass and characteristics of the payload (spacecraft), engine operating parameters, characteristics of the target orbit, features of the launch of the launch vehicle and many other factors. A more thorough and systematic study of the influence of these parameters will significantly improve the efficiency and reliability of launching spacecraft into orbit.
Thus, the choice of rational parameters for the launch vehicle trajectory is a relevant and important topic for scientific research. Increasing the rocket's payload capacity, reducing the cost of delivering a spacecraft to a given orbit, and ensuring launch safety are tasks that depend on the chosen shape and parameters of the rocket's trajectory. Such research has important practical significance and can become the basis for the development of new technologies and methods in the space industry.
The purpose of the study is to study and select rational parameters for the trajectory of a heavy-class launch vehicle when launching a payload. The main task is to determine the flight path parameters that will allow achieving maximum efficiency and accuracy in delivering the payload to a given orbit.
To achieve the goal of the study, an analysis of various factors influencing the launch parameters of the spacecraft is required, such as the structural and aerodynamic characteristics of the rocket, the influence of aerodynamic factors and the Earth’s gravitational field on the flight path. Taking these factors into account, numerical calculations were carried out on the basis of a system of differential equations of motion using a computer program created in the MAPLE software package. Based on calculations, modeling of the shape and parameters of the launch vehicle flight path was carried out.
Research results. During the study, the rational parameters of the trajectory of a heavy-class launch vehicle were selected. Calculations were carried out using numerical modeling of the parameters of payload launch trajectories, and an analysis of the resulting trajectories was carried out. Minimizing the rocket's flight time was identified as the main criterion for the rational choice of trajectory, which allows increasing launch efficiency and saving energy resources. An increase in payload mass and minimization of fuel consumption were adopted as additional criteria.
Conclusion. The procedure for choosing rational parameters for the trajectory of a heavy-class launch vehicle proposed in this work will improve the delivery accuracy and reliability of spacecraft launches at the stage of ballistic analysis when designing rockets. The results of the study have practical significance for the development of future heavy-duty launch vehicle missions and improving the efficiency of space launches.
Palavras-chave
Texto integral
Introduction
Outer space is the areas of the Universe that are beyond the boundaries of the atmospheres of celestial bodies. Human exploration of outer space and celestial bodies is carried out both by manned space flights and by automatic spacecraft.
There are three main areas of applied astronautics:
1) space information complexes - modern communication systems, meteorology, navigation, systems of remote sensing of the Earth and control of using natural resources, environmental protection [1–3];
2) space science systems: scientific research and full-scale experiments in space;
3) space industrialization: production of pharmaceuticals, new materials for electronic, electrical, radio engineering and other industries in space. In the future, it is planned to develop resources of the Moon, other planets of the Solar System and asteroids, removal of harmful industrial waste into space, space tourism [4; 5].
In order to further develop these areas of space activities, it is necessary to saturate the orbital satellite constellation with spacecraft with modern equipment. Modern spacecraft being used to perform scientific and technical tasks in space and to conduct research on the surface of celestial bodies are limited in size and mass. However, the expanding range of tasks requires the creation of new spacecraft that go beyond the limitations of the tactical and technical characteristics of modern launch vehicles (LVs). In its turn, this activates the process of development of new more powerful rocket engines. For example, the most powerful liquid-propellant rocket engine RD-170 [6] has been modernised twice in the last two years with a significant improvement in its power characteristics.
Modern liquid-propellant rocket engines
To launch a large-mass spacecraft, the scientific-production association Energomash developed a new liquid rocket engine (LRE) RD-171MV (Fig. 1) [7]. RD-171MV is a Russian-manufactured engine that was developed for use on the Angara-A5 launch vehicle. It is a modification of the well-known RD-171 engine, which was developed for the Rus launch vehicle. A comparative analysis of the main engines of this series is given in Table 1 [7].
Table 1. Main parameters of RD-171 engines
Engine version | RD-171 | RD -171M | RD -171MV |
Propellant | Oxygen + kerosene | ||
Application | Zenit-2 and Zenit-3SL (cargo, manned launch) | Zenit-3SL, Zenit-3SLB, Zenit-3F (cargo, manned launch) | Soyuz-5 and RN STK (cargo, manned launch) |
Numer of combustion chambers | 4 | 4 | 4 |
Possibility of camera gimbailing | Tangential plane | Tangential plane | Tangential plane |
Number of turbopump assemblies | 1 (single-shaft configuration) | 1 (single-shaft configuration) | 1 (single-shaft configuration) |
Thrust, earth/void, tf (kN) | 740 / 806 (7257 / 7904) | 740 / 806.2 (7257 / 7906) | * / 806.2 (* / 7906)* |
Specific impulse, earth/vacuum, s | 309 / 337 | 309.5 / 337.2 | * / * |
Pressure in the combustion chamber, kp/cm2 | 250 | 250 | * |
Mass, dry/poured, kg | 9500 / 10500 | 9300 / 10300 | 9300 / 10300 |
Dimensions, height/diameter, mm | 4150 / 3565 | 4150 / 3565 | 4150 / 3565 |
Operating time, s | 140 | 150 | 180 |
Operating mode | Intermittent/continuous fuel supply | ||
Note * - These values are unknown.
Рис. 1. Двигатель РД-171МВ
Fig. 1. RE-171MB engine
Special mention should be made of the prospect of its further multiple uses. Its service life is approximately 10-15 flights.
One of the features of the RD-171MV engine is its high thrust and relatively low mass. This makes it attractive for use on heavy launch vehicles (Fig. 2). RSC Energia is developing a new heavy launch vehicle called Irtysh (Soyuz-5, Sunkar) for this engine [8].
Рис. 2. Эскизный проект новой ракеты-носителя «Союз-5»
Fig. 2. Preliminary design of the new Soyuz-5 launch vehicle
Transport rocket and space systems
The issues of designing modern launch vehicles and improving their structural and power schemes have always been on the list of promising developments in rocket technology [9–16]. New capabilities of the RD-171MV engine stimulated the development and improvement of new launch vehicles. The main purpose of the Soyuz-5 rocket is to replace the outdated Soyuz-2 carrier rocket, which is now the main carrier for launching Russian spacecraft into orbit. The new rocket is designed to be launched from Baikonur and Vostochny cosmodromes.
Soyuz-5 will be equipped with the RD-171MV engine developed at the scientific-production association Energomash, with the first-stage engine thrust of more than 800 tonnes, which significantly exceeds the thrust characteristics of the first-stage engines of other modern Russian launch vehicles.
Soyuz-5 is designed to launch not only cargo spacecraft, but also manned spacecraft such as Soyuz MS and Orlan, which requires research into trajectories for launching payloads into orbit over a wide range of mass and dimensional characteristics. This will allow Russia to strengthen its position in commercial spacecraft launches and manned launches to the International Space Station and, in the near future, to other space objects.
The exact parameters of the Soyuz-5 rocket, such as payload capacity and launch cost, have not been definitely determined yet. Nevertheless, it is planned that Soyuz-5 will be able to launch a payload of up to 17.5 tonnes into low-Earth orbit and up to 7.5 tonnes into sun-synchronous orbit. It is also assumed that the rocket in the future will be reusable due to a new engine and landing system of the first stage.
The development of the Soyuz-5 rocket is an important part of Russia's strategy to modernise its space launch facilities and strengthen its position in the international market of space services. The development and testing of the rocket is planned between 2021 and 2025,
and the first manned launch is planned for 2026. The efficient use of the Soyuz-5 launch vehicle is possible only if its ballistic capabilities are studied when launching payloads into orbit and the least energy-consuming trajectory is selected.
Flight trajectory calculation
Let us consider a classical trajectory of direct spacecraft injection by a launch vehicle (Fig. 3) [17].
When actively injecting a spacecraft, it is necessary to set the following parameters of the rocket trajectory according to the time: velocity, distance, altitude, pitch attitude angle.
Let us make the following assumptions:
- Rocket flight trajectory is a flat curve.
- We consider the force of gravity to be constant, i.e. g = 9.81.
- The drag coefficient varies according to the law:
(1)
where Vi is velocity of the launch vehicle at different moments of time during flight in the atmosphere.
Рис. 3. Траектория прямого вывода ракетой-носителем: 1 – поверхность Земли; 2 – вертикальный участок полета; 3 – активный участок полета 1-й ступени; 4 – активный участок полета 2-й ступени; 5 – активный участок полета 3-й ступени; 6 – орбита КА; 7 – пассивный участок полета ракетного блока 2-й ступени; 8 – пассивный участок полета ракетного блока 1-й ступени; 9 – местный горизонт; 10 – направление радиуса Земли
Fig. 3. The trajectory of the launch vehicle: 1 – Earth’s surface; 2 – vertical flight section; 3 – active flight section of the 1st stage; 4 – active flight section of the 2nd stage; 5 – active flight section of the 3rd stage; 6 – spacecraft orbit; 7 – passive flight section rocket block of the 2nd stage; 8 – passive flight of the rocket block of the 1st stage; 9 – local horizon; 10 – the direction of the Earth's radius
Let us divide the active trajectory section of the launch vehicle flight at direct injection into three sections (Fig. 4).
We use the classical system of differential equations of motion of the rocket [11]:
(2)
(3)
(4)
(5)
(6)
(7)
(8)
where is a distance range, m; is a height range, m; is a time range, s; is a mass in i time, kg; is thrust in i time, Н; is weight in i time, Н; is a drag in i time; is a launching mass, kg; is a fuel mass, kg/s; is effective velocity of gas flow at the nozzle exit section, m/s; is the area at the nozzle exit section, m; is pressure at the nozzle exit section, Pa; is air pressure, Pa; is a rocket area, m.
Рис. 4. Траектория полета ракеты-носителя: «0–1» – вертикальный участок траектории; «1–2» – программный участок разворота; «2–А» – наклонный (или прямой) участок траектории
Fig. 4. Launch vehicle flight trajectory: “0–1” – vertical section of the trajectory; “1–2” – program turn section; “2–А” – inclined (or straight) section of the trajectory
The above system of equations is nonlinear, closed and can be solved by any numerical method.
Let us use the method of successive approximations. To do this, we transform the equation (4) taking into account the equation (7).
(9)
is a mass ratio, where is a dry mass;
is ideal flight time.
Let us divide the left and right parts of equation (9) by the mass:
(10)
To solve it, we transform the equation (10) into an equation with separated variables:
(11)
(12)
(13)
(14)
(15)
(16)
(17)
is the effective exhaust velocity of combustion products from the engine nozzle in the void. It is always greater than the true or real one.
is the effective exhaust velocity of combustion products from the engine nozzle on the Earth.
(18)
(19)
is a launch load on the rocket midship, a constant value for a given rocket;
is impact air pressure.
After the transformations, the equation (10) will take the following form:
The obtained equation (23) is solved by the method of successive approximations. In the first approximation only the first two summands are taken into consideration; the last two summands are neglected. Let us integrate the equation (23):
is the first Korolev integral.
In the first approximation we determine only the flight altitude. For this purpose, let us write the equation (2) taking into account (22):
is flight altitude in the first approximation.
Thus, the rocket velocity in the first approximation is equal to the ideal velocity minus velocity loss to overcome gravity.
When calculating the velocity in the second approximation, it is necessary to take into account the influence of the atmosphere and the change in pressure at the nozzle exit of the engine:
. (24)
After the integration of the equation (24) we obtain:
where
The calculated velocity head q is close to the true q on the rocket flight path, since it is determined by the overestimated velocity and underestimated density. The value of the drag coefficient depending on velocity is taken according to the equation (1).
: this value is generally underestimated because it is determined by an overestimated altitude.
It is customary to denote:
is the second Korolev integral;
is the third Korolev integral.
Thus, taking into account the losses, we obtain:
But the value of the third integral itself is insignificant; therefore this inaccuracy does not significantly affect the final value of the rocket velocity.
is the rocket velocity formula in the second and final approximation.
Knowing the velocity of the rocket, you can find the altitude and range
After all the transformations, we obtain the formulae for determining the altitude and range in the second approximation:
Injection programme
The spacecraft injection programme is understood as a set of control functions that regulate the procedure for changing the thrust vector in nominal motion, set the law for changing the propellant mass flow rate and the angular orientation of the rocket in space and time. The injection programme is autonomously executed by the control system in accordance with the functions defined at the rocket design stage. These functions are the law of change in propellant consumption and the law of change in pitch angle at the injection stage.
With the development of rocket technology and the expansion of the list of tasks to be solved, the approach to the selection of the payload orbital injection programme has also changed. The simplest injection programme is a set law of pitch angle variation. As a rule, the mass fuel consumption on the marching sections is not regulated and remains practically constant. If the launch vehicle is designed to launch a spacecraft or a cargo module, one injection programme is used, if the launch vehicle is designed for a manned launch, another programme is used.
In general, programme selection is a search for a combination of trajectory parameters satisfying the flight task with minimum energy costs. This search is subject to limitations, primarily related to the design and operational features of the launch vehicle itself, for example, its power capabilities. Since the propulsion system (RD-171MV) of the designed rocket is more powerful, a number of constraints have significantly changed, expanding the ballistic capabilities of the rocket. To investigate the capabilities of the launch vehicle equipped with the RD-171MV engine, let us perform a variational analysis of the spacecraft injection trajectories using the developed computer programme created in the MAPLE software package [18].
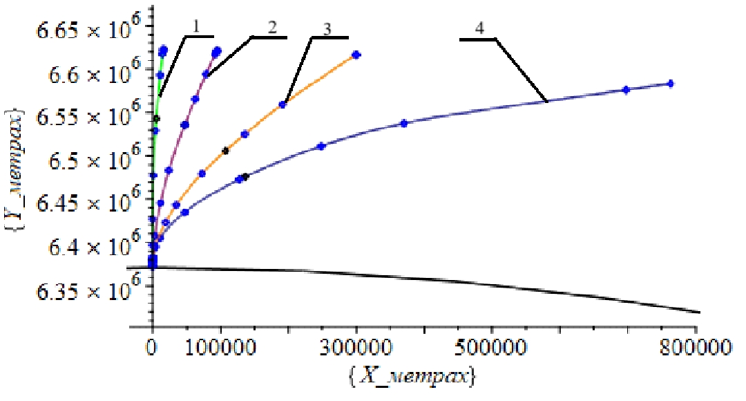
Let us consider some programmes of spacecraft injection by a launch vehicle (Fig. 5). As a variable parameter, we take the change of pitch angle during the flight (Fig. 6). Early start of the rocket turn (trajectory 4) to the required final angle of spacecraft injection (for a circular orbit it is equal to zero degrees) leads to a significant deviation in range from the launch point to a given point in the target orbit. In this case, the time of delivery of the spacecraft to the target orbit will be maximised. Late turn with prolonged vertical ascent (trajectory 1) provides minimum time of spacecraft delivery to the target orbit with minimum range deviation from the launch point. In addition, Figures 5 and 6 show intermediate trajectories. The points on the trajectory plots correspond to the impulse supply for pitch angle changes. The number and time of such activations can also be varied.
Рис. 5. Зависимость высоты орбиты (Y) от дальности полета (Х) для разных программ выведения космического аппарата
Fig. 5. Dependence of orbit altitude (Y) on flight range (X) for different spacecraft injection programmes
Рис. 6. Изменение угла тангажа в процессе полета для разных траекторий выведения космического аппарата
Fig. 6. Changing the pitch angle during flight for different launch trajectories of the spacecraft
Depending on the chosen trajectory, the final velocity of the rocket, the time of injection of the spacecraft into the target orbit and the overload will vary.
Thus, taking into account the developer's requirements, we can select the parameters of the spacecraft injection trajectory [18], varying the change in pitch angle for given values of final velocity and overload on the active section of the trajectory.
Calculations for the Soyuz-5 launch vehicle
Using the developed computer programme [18], let us determine the most rational parameters of the payload injection trajectory for the Soyuz-5 launch vehicle (Fig. 7).
The main characteristics of the Soyuz-5 launch vehicle are given in Table 2 [8].
Table 2. Technical characteristics of the Soyuz-5 launch vehicle
Name | First stage | Second stage |
Midship diameter, m | 4.1 | |
Type of fuel | LOX + RG-1 | |
Rocket length, m | 35 | 7.77 |
Launching mass of the rocket, t | 564.5 | |
Dry mass of a rocket structure, t | 30.5 | 6.5 |
Fuel mass, t | 398 | 60 |
Propulsion engine | RD-171MV | RD -0124MS |
Mass fuel consumption, kg/s | 2390 | 83 |
Thrust in the void, kN | 7904.16 | 294.3 |
Specific thrust impulse in the void, s | 337 | 359 |
Operation time, s | 180 | 300 |
Table 2 shows the maximum capabilities of the rocket. Therefore, each task requires adjustment of fuel mass by stages.
Рис. 7. Эскиз ракеты «Союз-5»: Р – полезный груз; – разгонный блок; – масса топлива второй ступени; – масса двигателя второй ступени; – масса топлива первой ступени; – масса двигателя первой ступени
Fig. 7. Sketch of the Soyuz 5 rocket: P – payload; – booster unit; – the mass of the second stage fuel; – the mass of the second stage engine; – the mass of the first stage fuel; – the mass of the first stage engine
To determine the final parameters of a rocket, it is necessary to choose the type and mass of the payload. According to the available information, the Soyuz-5 [8] can launch a satellite with a mass up to 2500 kg into geostationary orbit. Consequently, the Soyuz-5 can launch the payload with a fully fuelled booster into a low Earth orbit (altitude 200 km). The mass of the Glonass-K satellite is 935 kg. The mass of the fueled Fregat booster equals 6280 kg. Let us assume payload values equal to 7215kg. To keep the payload stable in orbit, the velocity must be at least:
For further calculations of the rocket flight trajectory we will use the developed computer programme [18]. In the programme we set the tactical and technical characteristics of the rocket and the pitch angle change programme. The engine operation time, total flight time on the active section of the trajectory, engine thrust and mass flow rate are determined by the tactical and technical characteristics of the rocket. According to the obtained data, the rocket flight trajectory is calculated by the method of successive approximations. The obtained calculated trajectory parameters (overload, altitude, velocity, acceleration, drag, etc.) are deduced in the form of graphs and numerical values.
Numerical experiment
Let us consider the programmes of spacecraft injection into a reference orbit by a two-stage rocket using the specifications of the Soyuz-5 launch vehicle (Table 2). Let us use the variants of the rocket turn programme considered earlier (Fig. 6.). The data of calculations are presented in Table 3.
Table 3. Parameters of spacecraft delivery trajectory to the reference orbit with different launch programmes
Trajectory | Time of spacecraft delivery into orbit, s | Axis overload | Velocity at the end of the active trajectory, km/s | ||
X-axis | Y-axis | Total | |||
Trajectory 4 | 353 | 6.8379 | 1.79 | 7.1568 | 3.904 |
Trajectory 3 | 245.5 | 6.4554 | 2.8933 | 7.1595 | 3.394 |
Trajectory 2 | 210.5 | 4.5563 | 5.4248 | 7.1213 | 3.078 |
Trajectory 1 | 205 | 2.2457 | 6.723751 | 7.0972 | 3.059 |
The final velocity for all trajectories is not sufficient for stable operation of the spacecraft on the selected low Earth orbit. Nevertheless, for all the trajectories, after reaching the required orbit altitude, there is still a fuel reserve that can be spent for booster's acceleration. Using the fuel reserve, let us perform calculations of the payload velocity correction on the target orbit. The results of calculations are given in Table 4.
Table 4. Spacecraft final velocity on the reference orbit after trajectory correction
Trajectory | Velocity, km/s. |
Trajectory 4 | 7.635 |
Trajectory 3 | 7.335 |
Trajectory 2 | 6.433 |
Trajectory 1 | 5.613 |
As can be seen from Table 4, the velocity is still insufficient, so we will correct the payload mass, which in turn will affect the mass of the rocket (Table 5).
Thus, the analysis of possibilities of payload injection by the Soyuz-5 launch vehicle with RD-171MV engine (Tables 2-4) allows choosing a trajectory with minimum time of spacecraft delivery to orbit (tk = 205 s), launching mass of the rocket (m0 = 551.5 tonnes) and longitudinal load factor (n = 2.25) (trajectory 1). However, the spacecraft experiences the maximum lateral load factor (n = 6.7) and has a smaller payload mass (mpg = 4.5 tonnes).
Table 5. Mass Characteristics of the Soyuz-5 launch vehicle for payload injection into a reference orbit (H = 200
Trajectory | Payload mass, t | Rocket launching mass, t |
Trajectory 4 | 17 | 564 |
Trajectory 3 | 14.5 | 561.5 |
Trajectory 2 | 10.5 | 557.5 |
Trajectory 1 | 4.5 | 551.5 |
The launch programme with maximum delivery time (tk = 353 s) (trajectory 4) provides maximum mass of the payload (mpg = 17 t) and minimum side load (n = 1.79), despite some increase in the launching mass of the rocket (m0 = 564 t) and a significant increase in longitudinal load factor (to n = 6.84) compared to the trajectory 1. Nevertheless, this trajectory variant will be considered preferable, as there are design methods to reduce the impact of axial overloads on the spacecraft design and the possibility of reducing overloads for the designed spacecraft taking into account changes in the customer's requirements by optimising the launch programme of the customer by optimising the withdrawal programme.
Conclusion
The study analysed the use of the latest RD-171MV rocket engine with improved energy and mass-size characteristics on the new Soyuz-5 heavy-lift launch vehicle. On the basis of the system of differential ballistic equations, calculations were carried out using Maple software for modelling the trajectories of payload injection by a heavy launch vehicle into a reference orbit. Based on the results of the calculations, trajectories with different ballistic parameters were proposed, taking into account possible changes in the customer's requirements for the spacecraft being designed. The analysis of the family of launch vehicle trajectories allows ensuring an efficient and energetically favourable injection of payloads to the target orbit. The presented results can be used in the future to optimise the energy costs of launching the designed spacecraft into orbit.
Sobre autores
Vladimir Bordachev
Reshetnev Siberian State University of Science and Technology
Email: vladimir27032001@mail.ru
Student
Rússia, KrasnoyarskVadim Kolga
Reshetnev Siberian State University of Science and Technology
Autor responsável pela correspondência
Email: kolgavv@yandex.ru
Dr. Sc., Professor of Department of Aircraft
Rússia, KrasnoyarskBibliografia
- Belonovskaya I. D. Kolga V. V., Yarkov I. S., Yarkova E. A. [Parametric analysis of the anisogrid body of a spacecraft for cleaning the orbit from space debris]. Sibirskiy aerokosmicheskiy zhurnal. 2021, Vol. 22, No. 1, P. 94–105 (In Russ.). doi: 10.31772/2712-8970-2021-22-1-94-105.
- Kolga V. V., Marchuk M. E., Lykum A. I., Filipson G. Y. [Optimization of the location of the attachment points of the instrument panel of the spacecraft based on modal analysis]. Sibirskiy aerokosmicheskiy zhurnal. 2021, Vol. 22, No. 2, P. 328–338 (In Russ.). doi: 10.31772/2712-8970-2021-22-2-328–338.
- Daneev A. V., Rusanov M. V., Sizykh V. N. [Conceptual schemes of dynamics and computer modeling of spatial motion of large structures]. Sovremennyye tekhnologii. Sistemnyy analiz. Modelirovaniye. 2016, No. 4, P. 17–25 (In Russ.).
- Kustov A. V., Rozhkova E. A., Bordachev V. A. [Composite materials in the rocket and space industry]. Science, Technology, society - NTO-II-2022 : collection of scientific articles based on the materials of the II All-Russian Scientific Conference, Krasnoyarsk, (July 28–30, 2022), P. 101–109 (In Russ.)
- Izobreten aristid – material, kotoryy v 10 raz legche alyuminiya [Invented aristide – a material that is 10 times lighter than aluminum] (In Russ.). Available at: https://fabricators.ru/article/v-10-raz-legche-alyuminiya-novyy-chudo-material-iz-pereslavlya-zalesskogo-mozhet-izmenit (accessed: 01.02.2024).
- RD-170 – samyy moshchnyy ZHRD [RD-170 – the most powerful rocket engine] (In Russ.). Available at: https://is2006.livejournal.com/533563.html (accessed: 01.02.2024).
- Preyemnik «Energii»: na chto sposoben raketnyy dvigatel' RD-171MV [Successor to Energia: what the RD-171MV rocket engine is capable of]. (In Russ.). Available at: https://www.techinsider.ru/ technologies/483921-naslednik-energii-na-chto-sposoben-noveyshiy-raketnyy-dvigatel-rd-171mv/ (accessed: 01.02.2024).
- Raketa-nositel «Sojuz-5»: uspeem li v posledniy vagon [Soyuz-5 launch vehicle: will we make it to the last carriage?]. (In Russ.). Available at: https://topwar.ru/233555-raketa-nositel-sojuz-5-uspeem-li-v-poslednij-vagon.html (accessed: 01.02.2024).
- Bordachev V. A., Kolga V. V., Rozhkova E. A. [Investigation of static stability of a model rocket] Sibirskiy aerokosmicheskiy zhurnal. 2023, Vol. 24, No. 1, P. 64–75 (In Russ.). doi: 10.31772/2712-8970-2023-24-1-64-75.
- Rozhkova E. A., Kolga V. V., Bordachev V. A. [Analysis of ultralight class rockets]. Achievements of Science and Technology-DNiT-11-2023 : Collection of scientific articles based on the materials of the II All-Russian Scientific Conference (February 27–28, 2023). Vol. 7. Krasnoyarsk, 2023. P. 40–46 (In Russ.).
- Bordachev V. A. [Development of a scheme for attaching an orbital ship to a launch vehicle]. Мaterialy VII Mezhdunar. nauch. konf. “Aktual'nyye problemy aviatsii i kosmonavtiki” [Materials of the VII International scientific and practical conference “Actual problems of aviation and cosmonautics”]. Krasnoyarsk, 2021. Part 1, P. 75–77 (In Russ.).
- Bordachev V. A., Kolga V. V. [Development of rocket plane structures]. Мaterialy XXV Mezhdunar. nauch. konf. “Reshetnevskie chteniya [Materials XXV Intern. Scientific. Conf “Reshetnev reading”]. Krasnoyarsk, 2021. Part 1, P. 13–14 (In Russ.).
- Bordachev V. A. [Design of fastening structures of a rocket plane to a launch vehicle]. Мaterialy XXV Mezhdunar. nauch. konf. “Reshetnevskie chteniya [Materials XXV Intern. Scientific. Conf “Reshetnev reading”]. Krasnoyarsk, 2021. Part 1, P. 15–16 (In Russ.).
- Davydik V. A., Kolga V. V., Ryazanova A. S. [Development of a method for separating the head part of a rocket model]. Мaterialy XXV Mezhdunar. nauch. konf. “Reshetnevskie chteniya [Materials XXV Intern. Scientific. Conf “Reshetnev reading”]. Krasnoyarsk, 2021, Part 1, P. 20–22 (In Russ.).
- Bordachev V. A., Kolga V. V. [Comparative analysis of the designs of adapters of space apparatuses]. Мaterialy VIII Mezhdunar. nauch. konf. “Aktual'nyye problemy aviatsii i kosmonavtiki” [Materials of the VIII International scientific and practical conference “Actual problems of aviation and cosmonautics”]. Krasnoyarsk, 2022, P. 88–90 (In Russ.).
- Kargopolov D. D., Kolga V. V. [Development of an air launch system for rockets] // Мaterialy VII Mezhdunar. nauch. konf. “Aktual'nyye problemy aviatsii i kosmonavtiki” [Materials of the VII International scientific and practical conference «Actual problems of aviation and cosmonautics”]. Part 1, Krasnoyarsk, 2021, P. 90–93 (In Russ.).
- Mukhamedov L. P., Kirievsky D. A. [Approximate methodology for design ballistic calculation of two-stage launch vehicles]. Izvestiya vysshikh uchebnykh zavedeniy. Mashinostroyeniye. 2022, No. 2 (743), P. 94–104 (In Russ.). doi: 10.18698/0536-1044-2022-2-94-104.
- Kolga V. V., Bordachev V. A. Raschet trayektorii vyvoda kosmicheskogo apparata na opornuyu orbitu dvukhstupenchatoy raketoy [Calculation of the trajectory of launching a spacecraft into a reference orbit by a two-stage rocket]. Patent RU2023663818, 2023.
Arquivos suplementares










