Evaluation of the effect of Cassia fistula L. extracts on the muscle contraction intensity using an ex vivo model
- Authors: Ranadive K.R.1, Jagtap N.V.2, Jagtap P.N.3, Perelygin V.V.4, Zharikov M.V.4, Zmitrovich I.V.5, Sanjay G.D.6
-
Affiliations:
- Annasaheb Magar Mahavidyalaya College
- Waghira College
- SGRS P.D.E.A. College of Pharmacy
- Saint Petersburg State Chemical and Pharmaceutical University
- Komarov Botanical Institute of the Russian Academy of Sciences
- College of Arts, Commerce and Science
- Issue: Vol 4, No 2 (2022)
- Pages: 10-19
- Section: Pharmaceutical Sciences
- URL: https://journals.eco-vector.com/PharmForm/article/view/112225
- DOI: https://doi.org/10.17816/phf112225
- ID: 112225
Cite item
Abstract
Cassia fistula L. is a Fabaceae representative that has long been used in traditional medicine. The purpose of this study is to evaluate the effect of Cassia fistula L. herbal extracts in the form of solutions of a certain concentration on the smooth muscles of the intestine of the animal. The design of the experiment involved the identification of raw materials, their drying, grinding, extraction of soluble fractions, purification of aqueous, ethereal (diethyl ether) and ethanol extracts and their testing on the tissues of the ileum of the domestic chicken (Gallus gallus domesticus L.) extracted ex vivo.
The ethereal, alcoholic and aqueous extracts of Cassia fistula L. fruits showed to exhibit high relaxation activity compared to the control relaxation stimulants, whereas the leaf extracts showed a more modest relaxing activity. A similar situation was observed in testing extracts of young shoots, with aqueous extracts showing even more modest results, while alcohol and ethanol extracts of young shoots performed better than the corresponding leaf extracts, and the most modest results in terms of a dose sufficient for a physiological response was demonstrated by root extracts.
The initial assessment of the activity of Cassia fistula L. extracts makes it possible to identify as the most promising for further chemical study the pools of substances concentrated in the ethanol fruits extract exhibiting the minimum effective dose, in the ether extracts of fruits and bark demonstrating the shortest reaction time, and in the aqueous extracts of young shoots and cortex showing the highest percentage increase in the activity compared to the control.
Full Text
ABBREVIATIONS:
GABA – gamma-aminobutyric acid; ITB – isolated tissue bath; Collad. – Louis Théodore Frederic Colladon, 1792–1862; DC. – Augustin Pyramus de Candolle, 1778–1841; G. Don – George Don, 1798–1856;Kunth – Carl Sigismund Kunth, 1788–1850; L. – Carl Linnaeus, 1707–1778; Pers. – Christiaan Hendrik Persoon,1761–1836; Roxb. –William Roxburgh, 1751–1815; Willd. – Carl Ludwig von Willdenow, 1765–1812;ВАS — biologically active substances.
INTRODUCTION
Cassia fistula L. is a dicotyledonous plant belonging to the Fabaceae family that [1], has long been used in traditional medicine [2–7]. This plant has been known for a long time, as a result of which many synonyms have accumulated in the botanical literature (Bactyrilobium fistula Willd., Cassia bonplandiana DC., C. excelsa Kunth, C. fistuloides Collad.,C. rhombifolia Roxb., Cathartocarpus excelsus G. Don,C. fistula Pers., C. fistuloides (Collad.) G. Don, C. rhombifolius, G. Don).
This species is native to India but is also cultivated in many tropical and subtropical countries. It grows under warm and dry climates, on well-drained soils, and distributed throughout subtropical deciduous forests. The tree originates from India, but is distributed in many tropical andsubtropical areas such as Andaman Islands, Angola, Antigua Barbuda, Argentina, Australia, Bangladesh, Barbados, Belize, Bhutan, Brazil, Brunei, Cambodia, Cayman Islands, China, Colombia, Costa Rica, Cuba, Dominican Republic, East Timor, El Salvador, Ethiopia, Fiji, French Guiana,Grenada, Guadeloupe, Guatemala, Guyana, Haiti, Hawaii, India,Indonesia, Iran, Iraq, Java, Kalimantan, Kenya, LaccadiveIslands, Laos, Lesser Sunda Island, Malawi, Malaysia,Malaysia, Maldives, Martinique, Mexico, Moluccas, Myanmar,Nepal, Nicaragua, Niue, Pakistan, Panama, Papua NewGuinea, Peru, Philippines, Puerto Rico, Rodriguez, Ryukyu Is,Sev. Marianas, Seychelles, Singapore, South Africa,Sri Lanka, St. Lucia, St. Vincent, Sulawesi, Sumatra,Suriname, Taiwan, Tanzania, Thailand, Tonga, Uganda, United States, Venezuela, Vietnam, Zimbabwe [8].
Cassia fistula L. is a medium-sized tree up to 15 m high, without thorns; its crown is sparse and small; leaves are alternate, paired pinnate, 15–40 cm long, with an axis of 10–30 cm, without glandules, with a bare petiole up to 10 cm long. The color of the leaves is dark-green with a shiny upper side and an opaque matte lower side. Flowering goes from spring to summer. Flowers with yellow petals, linear or caudate bracts, drooping, 3 to 5 cm in diameter with thin pedicels 6 cm long; form hanging axillary not very branched clusters from 20 to 40 cm long; each bunch bears from 15 to 60 flowers. The fruit is a cylindrical bean, hanging and hairless, 20–60 cm long and 2 cm wide, rounded at the ends, dark brown or black when ripe. Fruit ripening is slow, from December to March. Each legume may contain no less than 40 and no more than 100 seeds. Seeds are obovate or ellipsoidal, 7 to 10 mm long, 6 to 7 mm wide, smooth, reddish-brown, surrounded by sweetish mucus of dark color and dense consistency [9, 10].
Medicinal products from flowers, fruits and seeds of this plant have a pronounced antifungal, antioxidant, antimicrobial, anti-inflammatory, antitumor, hepatoprotective, and hypoglycemic effect [11, 12]. Medicinal raw materials of Cassia fistula L. are used in traditional medicine for tumors of the intestines, endocrine system, throat, liver, burns, constipation, convulsions, diarrhea, dysuria, epilepsy, leprosy, skin and venereal diseases [13–15].
The purpose of the present study is to evaluate an effect of Cassia fistula L. raw material extracts in the form of solutions of a certain concentration on chicken ileum tissue in order to identify their physiological activity.
An experiment design meant identification of the plant raw material, its drying, grinding, extraction of soluble fractions, purification of aqueous, ethereal and ethanol extracts and their testing on the tissues of the ileum of domestic chicken extracted ex vivo.
Further, the reaction of the experimental tissue to the effect of extracts and control relaxation stimulants was determined.
For the present research, the material of Gallus gallus L.(Indian chicken, banking chicken, or domestic chicken,hereinafter referred to as “Gallus gallus domesticus L.”) was selected.
Experimental studies were performed on animals pre-approved by the Institutional Animal Ethics Committee (Ref: SGRS/IAEC/05-2017-2018).
In the course of the study, we obtained qualitative and quantitative results on the contraction of smooth muscles in the tissues of the ileum of the chicken, which allowed us to evaluate the effect of exposure to aqueous extracts of Cassia fistula L. materials and determine the prognosis of the pharmacological profile of the drug.
MATERIAL AND METHODS
Plant raw material
Plant raw material of Cassia fistula L. was collected in several districts of the Pune district (Tamini, Mulshi, Cantonment Board, Pashan, Chandani, Chowk, Tamini Ghat) in different seasons of the year. Identification was carried out at the Botany Department of the Agarkar Research Institute (ARI), Pune. Various parts of the plant were collected in separate plastic bags. The collection was carried out as follows: the bark was cut with a knife and a mallet; leaves of all sizes were separated from the stem; fruits were collected fully ripe and intact.
Drying of plant raw material
Drying of plant raw material was carried out first in a natural way in the air in the shade, and then in the sun.After this primary treatment, drying was carried out using aninfrared lamp continuously for 7–8 days. The completely dried samples were then ground into powder using a mixer or a mortar and pestle.
Grinding of plant raw material
The particle size of the dried leaves was reduced first by manual grinding and then placed in a mortar and pestle to grind into a fine powder. The fruits were immediately crushed in a mortar. Before grinding into a fine powder, the seeds present in the fruits were separated (because no seed extracts were used in the experiment). The bark particle size was reduced with mortar and pestle. Dried young shoots were first crushed with a mortar and pestle, and then using a mixer.
The crushed powder of different parts of plants was packaged for storage in separate plastic containers with markings containing data on the place of collection anddrying temperature.
Weighing samples for extraction
The extraction was carried out in flasks containing 250 ml of the extracting agent. The weight of crushed leaveswas 15 g, fruits – 50 g, bark – 40 g, young shoots –27 g. Weights of the above samples were subsequently used for extraction.
Extraction
The extraction was performed using a Soxhlet extractor using various solvents (diethyl ether, ethanol and water) which were collected in a 250 ml beaker [16, 17].
Separation and purification
Ethanol, water, and diethyl ether extracts obtained from samples of various parts of Cassia fistula L. werepurified by evaporating the solvents to dryness for40–45 min on a water bath at the temperature of 100 °C to obtain purified powders. [17].
Experiments in the isolated tissue bath (ITB)
An ex vivo isolated preparation of chicken ileum has been used for a long time in India for testing biologicallyactive substances. Its advantage is the absence of damage to the life of experimental animals [18]. This method reveals the responses provided by many different receptors to the effects of various extracts.
Tissue and organs placed in the ITB were oxygenated with carbogen and stored in Ringer’s solution with lactic acid. The studied extracts and control specimens wereinjected directly into the chamber at a temperature of 37 °C.The contact time was maintained in accordance with the standard protocols. A five-minute time cycle was observed, i.e. 30 s baseline recording, 90 s contact (drug response) and subsequent 3 washes at 1 min intervals [19, 20].
ITB was equipped with its own sensor and precise positioning device for quick adjustment and measurement based on an analog-to-digital converter. Extraction of signals and recording of input data were carried out in real time. The obtained data were processed and analyzed. When analyzing the results, the dynamics of the indicators of the contractile activity of the intestinal segments was evaluated in comparison with the background values.
Based on the tissue responses to the extracts impact, the dose-response curves were built, which made it possible to primarily estimate the activity of the extracts and determine its pharmacological profile.
RESULTS AND DISCUSSION
Chicken ileum tissue was used to study neuromuscular (smooth muscle) stimulation by Cassia fistula L. extracts. Solutions of various extracts (volume 250 ml) and control relax-stimulators of neuromuscular contacts (caffeine, diazepam) were introduced into the ITB, and the increment in the length of the intestinal segment placed in the ITB was measured during induced relaxation of smooth muscles.
Neuromuscular tissue responses varied depending on the drug dose (Table 1) and exposure time (Fig. 1). At the same time, extracts of raw materials obtained from various parts of the plant also demonstrated different biological activity. Ether, ethanol and aqueous extracts of the fruits showed a generally high relaxing activity in comparison with control relaxation stimulants – their dose sufficient for a physiological response varied from 28 ml (ethanol extract) to 165 ml (aqueous extract), while the minimum for a physiological response dose of caffeine was 155 ml, and diazepam – 75 ml. Leaves extracts exhibited a more modest relaxing activity compared to control stimulants (the effective dose range was 58–232 ml), and aqueous extracts were already inferior in activity to control stimulants (the dose varied from 225 to 232 ml). A similar situation was observed during testing of extracts of young shoots, with aqueous extracts showing even more modest results (effective dose ranged from 325–330 ml), while alcohol and ethanol extracts of young shoots performed better than the corresponding leaf extracts and limits. The effective dose variations are limited here to 62–102 ml. The most modest results in terms of a dose sufficient for a physiological response were demonstrated by root extracts: the effective dose of aqueous extracts varied within 315–329 ml, ethanol – 254–277 ml, and ethereal – 76–82 ml. The ethanol extract of Cassia fistula L. fruits (25–31 ml) showed the best result in relation to the effective dose.
Table 1.
Administered doses of Cassia fistula L. extracts and control neuromuscular stimulators associated with physiological response
Табл. 1.
Введенные дозы экстрактов Cassia fistula L. и контрольных стимуляторов нервно-мышечных контактов, сопряженные с физиологическим ответом
Extracts origin | Substances, ml | ||||
Control | Ether extract | Ethanol extract | Aqueous extract | ||
Caffeine | Diazepam | ||||
Fruits | 167 | 88 | 141 | 28 | 160 |
160 | 78 | 145 | 30 | 155 | |
155 | 75 | 142 | 25 | 165 | |
170 | 90 | 140 | 30 | 161 | |
171 | 85 | 142 | 31 | 162 | |
155 | 85 | 142 | 28 | 160 | |
Leaves | 167 | 88 | 59 | 115 | 232 |
160 | 78 | 60 | 117 | 225 | |
155 | 75 | 61 | 115 | 230 | |
170 | 90 | 58 | 113 | 225 | |
171 | 85 | 59 | 116 | 230 | |
155 | 85 | 59 | 115 | 228 | |
Young shoots | 167 | 88 | 90 | 71 | 330 |
160 | 78 | 102 | 65 | 300 | |
155 | 75 | 100 | 62 | 332 | |
170 | 90 | 92 | 68 | 328 | |
171 | 85 | 94 | 63 | 327 | |
155 | 85 | 98 | 70 | 325 | |
Roots | 167 | 88 | 81 | 254 | 315 |
160 | 98 | 82 | 260 | 318 | |
155 | 75 | 80 | 277 | 320 | |
170 | 90 | 79 | 264 | 329 | |
171 | 85 | 77 | 270 | 324 | |
155 | 85 | 76 | 268 | 326 | |
Fig. 1. Physiological response time corresponding to the optimal value of the effective dose of extracts
Рис. 1. Время физиологического ответа, соответствующее оптимальному значению эффективной дозы экстрактов
The reaction of the experimental tissue to the action of extracts and control relaxation stimulants did not manifest itself immediately, but after a certain time (Fig. 1), usually within 1–4 hours. At the same time, the best results (i.e., the shortest reaction time) were again shown by the ether extracts of fruit and bark, under the influence of which a physiological response was obtained in less than 1 hour.
The ethanol extracts from fruit, leaves, shoots, and bark, although they had a lower effective dose (Table 1), showed rather significant exposure time, exceeding that demonstrated by the control drugs – caffeine and diazepam.
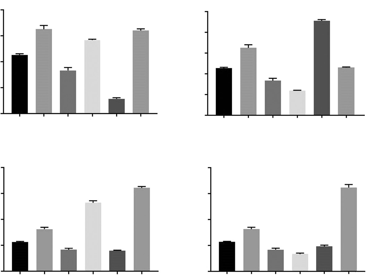
Perhaps, even more significant than effective dose and exposure time is the strength of the physiological response. The Figure 2 shows the protocol of the experiment, which makes it possible to evaluate the magnitude of elongation of the intestinal segment in response to the influence of both control relax stimulants and the tested extracts of Cassia fistula L.
Fig. 2. Dependence of amplitude of muscle relaxation (mm) on the dose of control preparations and extracts of Cassia fistula L. (mg), namely, aqueous (abbreviation A in the legend), ethanol (EN) and ether (E) ones of various parts of the plant, namely, fruits (abbreviation F in the legend), leaves (L), shoots (S), bark (B): 1 – EL; 2 – EL; 3 – AL; 4 – ENL; 5 – ENL; 6 – EF; 7 – EF; 8 – ENF; 9 – ENF; 10 – AF; 11 – AF;12 – ES; 13 – ES; 14 – ENS; 15 – ENS; 16 – AS; 17 – AS; 18 – EB; 19 – EB; 20 – AB; 21 – AB; 22 – ENB; 23 – ENB
Рис. 2. Зависимость величины мышечного расслабления (мм) от дозы контрольных препаратов и экстрактов Cassia fistula L. (mg) – водного (аббревиатура A в легенде), этанолового (EN) и эфирного (E) различных частей растения – плодов (аббревиатура F в легенде), листьев (L), побегов (S), коры (B): 1 – EL; 2 – EL; 3 – AL; 4 – ENL; 5 – ENL; 6 – EF; 7 – EF; 8 – ENF; 9 – ENF; 10 – AF; 11 – AF;12 – ES; 13 – ES; 14 – ENS; 15 – ENS; 16 – AS; 17 – AS; 18 – EB; 19 – EB; 20 – AB; 21 – AB; 22 – ENB; 23 – ENB
The most significant responses, i. e. an increase in length by 20 mm, was recorded when the tissue was exposed to an aqueous fruit extract. The ether and ethanol extracts of the leaves, the ether extract of the fruits, the ether and ethanol extracts of the shoots also had a high activity.
In Table 2, the results of the study of the dose-effect relationship are presented for each type of extract in order of increasing force of the reaction of the experimental tissue. This allows us to identify the most promising extracts for further study: aqueous, ethanol and ether extracts of fruits and alcoholic and ether extracts of leaves.
Table 2.
Extracts of Cassia fistula L., grouped in order of increasing strength of the physiological response
Табл. 2.
Экстракты Cassia fistula L., сгруппированные в порядке возрастания силы физиологического ответа
Extract | Drug dose | Elongation at relaxation (mm) |
Bark (ethanol) | 0.1 mg | 8 |
Bark (aqueous) | 0.1 mg | 9 |
Bark (aqueous) | 0.2 mg | 10 |
Bark (ethanol) | 0.2 mg | 10 |
Bark (ether) | 0.1 mg | 12 |
Bark (ether) | 0.2 mg | 12 |
Leaves (ether) | 0.1 mg | 15 |
Leaves (aqueous) | 0.1 mg | 15 |
Shoots (ethanol) | 0.2 mg | 15 |
Shoots (aqueous) | 0.1 mg | 15 |
Shoots (aqueous) | 0.2 mg | 16 |
Shoots (ether) | 0.2 mg | 17 |
Shoots (ethanol) | 0.1 mg | 17 |
Fruits (ethanol) | 0.1 mg | 17 |
Fruits (aqueous) | 0.1 mg | 17 |
Shoots (ether) | 0.1 mg | 17 |
Shoots (ethanol) | 0.1 mg | 17 |
Fruits (ether) | 0.1 mg | 18 |
Fruits (ether) | 0.2 mg | 18 |
Shoots (ether) | 0.2 mg | 18 |
Leaves (ether) | 0.2 mg | 19 |
Leaves (ethanol) | 0.2 mg | 19 |
Fruits (aqueous) | 0.2 mg | 20 |
One more parameter should be considered, namely the increase in the biological activity of extracts in comparison with the control (solvent without a pool of extracted substances). It allows one to evaluate the immobilizing ability of a pool of metabolites with any given solvent and should also be taken into account when selecting the most promising compositions for in-depth biochemical and biomedical research. These data are presented in Table 3 and Figure 3.
Table 3.
Comparative activity of Cassia fistula L. extracts (% increase in activity compared to control)
Табл. 3.
Сравнительная активность экстрактов Cassia fistula L. (% приращения активности в сравнении с контролем)
Extracts | % |
Fruits (aqueous) | 10 |
Leaves (aqueous) | 15 |
Shoots (ethanol) | 17 |
Bark (aqueous) | 21 |
Shoots (aqueous) | 21 |
Fig. 3. Graph of the activity of extracts of Cassia fistula L. (% increase in activity compared to the control)
Рис. 3. График активности экстрактов Cassia fistula L. (% приращения активности в сравнении с контролем)
By this parameter, it is possible to distinguish aqueous extracts of young shoots and bark, which indirectly may indicate a noticeable content of hydrophilic glucans in this raw material as well as an ethanol extract of young shoots.
The control substance diazepam (7-chloro-1,3-dihydro-1-methyl-5-phenyl-2H-1,4-benzodiazepin-2-one) was selectedby us as a muscle relaxant and GABA receptor agonist that promotes myocytes relaxation and brake signaling in autonomic nervous system. Caffeine (1,3,7-trimethyl-1H-purine-2,6(3H,7H)-dione), acting on the calcium channelsof myocytes and endotheliocytes, also promotes muscle relaxation.
In our experiments, a pronounced muscle relaxant effect, and in some cases exceeding that of diazepam and caffeine, was found in extracts of Cassia fistula L. Until the extracted substances are fractionated and identified, we can limit ourselves to the following assumption.
It is known that extracts of Cassia fistula L. have a prominent proapoptotic activity towards malignant epithelia (cancer) rather than nervous or muscular tissues, and it has been experimentally shown that apoptosis triggered by these extracts proceeds along a mitochondria-dependent pathway [21, 22]. This suggests that the main targets of bioactive substances pools extracted from Cassia fistula L. can be growth factor receptors associated with cell survival reactions rater than receptors associated with the maintenance of the membrane potential. Many ramified glucans with their plastic structure often act as growth factor receptor antagonists, making them insensitive to paracrine signaling. To verify this assumption, a proper chemical study of the extracts of Cassia fistula L. is necessary.
The primary estimation of the activity of Cassia fistula L. extracts carried out here allows us to single out as the most promising for further study 1) ethanol extract of fruits, showing the minimum effective dose, 2) ether extracts of fruits and bark, showing the shortest reaction time, and 3) aqueous extracts of young shoots and cortex showing the highest percentage increase in activity in comparison with the control.
CONCLUSIONS
- The dicotyledonous plant Cassia fistula L., widely used in traditional medicine, has recently attracted the attention of pharmacologists, and in the present work, in the course of experiments on muscle tissue, a primary assessment of aqueous, ethanol and ether extracts of this plant was carried out.
- The ether, ethanol and aqueous extracts of Cassia fistula L. fruits showed generally high relaxation activity in comparison with the control relaxation stimulants, leaves extracts showed more modest relaxation activity, a similar situation was observed during testing extracts of young shoots, and aqueous extracts showed even more modest results, while the ether and ethanol extracts of young shoots performed better than the corresponding leaves extracts, and the root extracts showed the most modest results in terms of a dose sufficient for a physiological response.
- The shortest time preceding the physiological response of the experimental tissue was shown by ether extracts of fruits and bark, under the influence of which the physiological response was obtained in less than 1 hour; ethanol extracts of fruits, leaves, shoots and bark show a rather significant exposure time, exceeding that demonstrated by the control drugs caffeine and diazepam.
- The highest percentage increase in the activity compared to the control was given by the aqueous extracts of young shoots and bark, which indirectly may indicate a noticeable content of hydrophilic glucans in this raw material, and also by the ethanol extract of young shoots.
- The primary estimation of the activity of Cassia fistula L. extracts allows us to identify as the most promising for further chemical study the pools of substances concentrated in the ethanol extract of fruits, which exhibits the minimum effective dose, in ether extracts of fruits and bark, which demonstrate the shortest reaction time, and in aqueous extracts of young shoots and bark, demonstrating the highest percentage increase in activity in comparison with the control.
- The mechanism of action of Cassia fistula L. extracts will become clear after metabolomic profiling of the corresponding raw material, but taking into account the already discovered proapoptotic and antiproliferative activity of Сassia extracts, the active BAS of this plant should be considered as nonspecific muscle relaxants aimed at the growth and survival receptors rather than at the receptors of inhibitory mediators and membrane depolarization. A sufficient fraction of biologically active substances of Cassia fistula L. is likely to be composed of hydrophilic glucans and heteroglycans.
Acknowledgements
The authors are thankful to Principal Dr. Nitin Ghorpade, A.M. Mahavidyalaya, Hadapsar, Principal Dr. Chavan., SGRS College of Pharmacy, for their kind permission to conduct the experiments for this research work. First of all, we would like to thank the Head of the Department of Chemistry for his valuable guidance. Above all, thanks to Miss. Bhagyashree Vyapari and Miss. Prachali Chavan for their real assistance in the experimental work in the laboratory.
About the authors
Kiran Ramchandra Ranadive
Annasaheb Magar Mahavidyalaya College
Author for correspondence.
Email: ranadive.kiran@gmail.com
ORCID iD: 0000-0001-9673-7872
Scopus Author ID: 36629222300
M.Sc., Ph.D., Associate Professor, Department of Botany
India, HadapsarNeeta Vijayrao Jagtap
Waghira College
Email: neetuvj7@gmail.com
M. Sci. and M. Phil., Assistant Professor, Department of Chemistry
India, SaswadPradnya Nilesh Jagtap
SGRS P.D.E.A. College of Pharmacy
Email: pnj1511@gmail.com
M. Pharm., Assistant Professor, Department of Pharmacology
India, SaswadVladimir V. Perelygin
Saint Petersburg State Chemical and Pharmaceutical University
Email: vladimir.pereligin@pharminnotech.com
ORCID iD: 0000-0002-0999-5644
SPIN-code: 3128-7451
ResearcherId: AAV-6556-2020
Doctor of Medicine (MD), Professor, Head of the Industrial Ecology Department
Russian Federation, St. PetersburgMikhail V. Zharikov
Saint Petersburg State Chemical and Pharmaceutical University
Email: zharikov.mihail@pharminnotech.com
ORCID iD: 0000-0003-0720-501X
SPIN-code: 7818-7228
ResearcherId: AAS-9156-2021
Master’s Degree Student of the Department of Industrial Ecology
Russian Federation, St. PetersburgIvan V. Zmitrovich
Komarov Botanical Institute of the Russian Academy of Sciences
Email: iv_zmitrovich@mail.ru
ORCID iD: 0000-0002-3927-2527
SPIN-code: 4155-3190
Scopus Author ID: 56521442400
ResearcherId: I-1523-2013
https://binran.ru/sotrudniki/4926/
D.Sc. in Biology, Leading Researcher, Laboratory of Systematics and Geography of the Fungi
Russian Federation, St. PetersburgGaikwad Dattatray Sanjay
College of Arts, Commerce and Science
Email: gsanjayin@yahoo.com
M. Pharmacology, Associate Professor, Department of Chemistry
India, Vagoli, PuneReferences
- Legume Phylogeny Working Group (LPWG), Andrella, G. C., Atahuachi Burgos, M., Bagnatori Sartori, Â. L., Balan, A., Bandyopadhyay, S., Barbosa Pinto, R., Barrett, R. L., Boatwright, J. S., Borges, L. M., Broich, S. L., Brullo, S., Bruneau, A., Cardinal-McTeague, W., Cardoso, D., Castro Silva, I. C., Cervantes, A., Choo, L. M., Clarke, R., et al. (2022). The World Checklist of Vascular Plants (WCVP): Fabaceae. In O. Bánki, Y. Roskov, M. Döring, G. Ower, L. Vandepitte, D. Hobern, D. Remsen, P. Schalk, R. E. DeWalt, M. Keping, J. Miller, T. Orrell, R. Aalbu, R. Adlard, E. M. Adriaenssens, C. Aedo, E. Aescht, N. Akkari, S. Alexander, et al., Catalogue of Life Checklist (2022.v2). The Royal Botanic Gardens, Kew. https://doi.org/10.48580/dfq8-4rh
- Introduction to phytoremediation, national risk management research laboratory office of rsearch and development, U.S. Environmental Protection Agency: Cincinnati, Ohio; 2000.
- Indian herbal pharmacopoeia revised new edition, Indian Drug Manufacturers Association Mumbai; 2002.
- Ayurvedic pharmacopoeia of India, Pt 1, V. 5. Government of India Publication: New Delhi; 2001.
- The wealth of India, first supplement series (Raw materials) National Institute of Science Communication and Information Resources; 2007.
- Mondal Phenolic constituents and traditional uses of Cassia (Fabaceae) plants: an update J. Org. Biomol. Chem., 3 (2014), pp. 93-141(Accessed 10 September 2021). [Online]. Available〈https://docplayer.net/92001323-Phenolic-constituents-and-traditional-uses-of-cassia-fabaceae-plants-an-update.html〉
- Bhalerao SA, Kelkar TS. Traditional medicinal uses, phytochemical profile and pharmacological activities of Cassia fistula Linn. International Research Journal of Biological Sciences. 2012; 1(5): 79–84.
- Roskov, Y., Zarucchi, J., Novoselova, M. & Bisby, F. (†) (eds). (2019). ILDIS World Database of Legumes (version 12, May 2014). In: Roskov Y, Ower G, Orrell T, Nicolson D, Bailly N, Kirk PM, Bourgoin T, DeWalt RE, Decock W, Nieukerken E van, Zarucchi J, Penev L, eds . . . . (2019). Species 2000 & ITIS Catalog of Life, 2019 Annual Checklist. Digital resource at www.catalogueoflife.org/annual-checklist/2019. Species 2000: Naturalis, Leiden, The Netherlands. ISSN 2405-884X.
- Tropicos.org. Missouri Botanical Garden. [Internet]. 2022 [cited September 11, 2022]. Available from: https://tropicos.org
- Life catalog: 2019 Annual Checklist. Species details: Cassia fistula L. 2022 [cited September 11, 2022]. Available from: catalogueoflife.org
- Mwangi RW, Macharia JM, Wagara IN, Bence RL. The medicinal properties of Cassia fistula L: A review. Biomed Pharmacother. 2021 Dec;144:112240. doi: 10.1016/j.biopha.2021.112240. Epub 2021 Oct 1. PMID: 34601194.
- Nagpal, M.A., Nagpal, N., Rahar, S., Shah, G., Swami, G., Kapoor, R., and others. Phytochemical investigation of methanolic extract of Cassia fistula leaves, J. Pharmacogn. 2011; 3 (26), 61–69. https://doi.org/10.5530/pj.2011.26.11.
- Ajay KK, Satish S, Ibrahhim S., Hedge K. Therapeutic uses of Cassia fistula: Review. International Journal of Pharmacology and Chemical Research. 2017; 3(1): 38–43.
- Guzman L, Taron A, Núñez A. Seed powder Cassia fistula as a natural coagulant in the treatment of raw water. Biotechnology in the Agricultural and Agroindustrial Sector. 2015. 13 (2): 123–29.
- H.A. Jung, M.Y. Ali, J.S. Choi, Promising inhibitory effects of anthraquinones, naphthopyrone, and naphthalene glycosides, from Cassia obtusifolia on α-glucosidase and human protein tyrosine phosphatases 1B, Molecules 22 (1) (2017) 28–43, https://doi.org/10.3390/molecules22010028
- Soxhlet F. Die gewichtsanalytische Bestimmung des Milchfettes. Dinglers Polytechnisches Journal. 1879; 232: 461–65.
- Jensen WB. The Origin of the Soxhlet extractor. Journal of Chemical Education. 2007. https://doi.org/10.1021/ED084P1913.
- Jain G, Bodakse SH, Namdev K, Rajput MS, Mishra S. Development of an ex vivo model for pharmacological experimentation on isolated tissue preparation. Journal of Advanced Pharmaceutical Technology and Research. 2012; 3 (3): 176 – 81. https://doi.org/10.4103/2231-4040.101013.
- Kulkarni SK. Handbook of Experimental Pharmacology.Delhi: Vallabh Prakashan; 2012.
- Ranadive K.R., Jagtap N.V., Jagtap P.N., Zmitrovich I.V., Perelygin V.V. Investigating the effects of Inonotus rickii extracts on the muscle contraction intensity // Pharmacy Formulas. - 2021. - Vol. 3. - N. 1. - P. 92-96. doi: 10.17816/phf63224
- Kaur S, Kumar A, Thakur S et al. Antioxidant, antiproliferative and apoptosis-inducing efficacy of fractions from Cassia fistula L. leaves. Antioxidants (Basel). 2020; 9 (3): 173. https://doi.org/10.3390/antiox9020173
- Kaur S, Pandit K,Chandel M et al. Antiproliferative and apoptogenic effects of Cassia fistula L. n-hexane fraction against human cervical cancer (HeLa) cells. Environmental Science and Pollution Research. 2020; 27: 32017–033. https://doi.org/10.1007/s11356-020-08916-9
Supplementary files






