The ability of photochemical decomposition products of the Roundup to induce oxidative stress in bacterial cells
- Authors: Saratovskikh E.A.1, Machigov E.A.2, Yarmolenko A.I.1, Shtamm E.V.3, Abilev S.K.2,4
-
Affiliations:
- Federal Research Center of Problems of Chemical Physics and Medicinal Chemistry, Russian Academy of Sciences
- N.I. Vavilov Institute of General Genetics, Russian Academy of Sciences
- N.N. Semenov Federal Research Center for Chemical Physics, Russian Academy of Sciences
- Lomonosov Moscow State University
- Issue: Vol 22, No 2 (2024)
- Pages: 175-189
- Section: Genetic toxicology
- Submitted: 02.08.2023
- Accepted: 20.12.2023
- Published: 17.07.2024
- URL: https://journals.eco-vector.com/ecolgenet/article/view/567956
- DOI: https://doi.org/10.17816/ecogen567956
- ID: 567956
Cite item
Abstract
BACKGROUND: A common non-selective systemic herbicide Roundup (Glyphosate, active ingredient N-phosphonomethylglycine, N-PMG) is used to control perennial weeds. It is necessary to assess the hazard of the products of photochemical decomposition of N-FMG formed under the influence of solar UV and ozone.
AIM: Using lux-biosensors based on Escherichia coli, studying the ability of N-FMG photochemical degradation products to induce oxidative stress in bacterial cells.
MATERIALS AND METHODS: The work used the active substance of the herbicide Roundup N-phosphonomethylglycine (N-PMG), biosensors E. coli (pSoxS-lux), E. coli (pKatG-lux). UV radiation, Mass spectrometry.
RESULTS: Using biosensors, it was shown that the products of photochemical decomposition of N-PMG (2-(N-hydroxymethyl-hydroxyamine) ethanoic acid) cause an increase in the concentration of superoxide anion radical and H2O2 in E. coli cells, which induces oxidative stress in the bacterial cell.
CONCLUSIONS: The photochemical decomposition product of N-PMG (2-(N-hydroxymethyl-hydroxyamine) ethanoic acid) induces the formation of superoxide anion radical and H2O2 in bacterial cells.
Full Text
BACKGROUND
A compound with the common name “glyphosate (Gl)” is included in more than 20 commercial drugs, in particular Roundup (Rp)[*]. It is the most widespread chemical in the world in terms of production volume and application in agricultural practice [1]. It is a non-selective systemic herbicide used to control weeds, especially perennial ones. The active component has the systematic name N-phosphonomethylglycine (N-PMG) and is an organophosphorus compound related to phosphonates.
Numerous studies have reported that herbicides and their decomposition products pollute the environment [2, 3]. Moreover, Gl and its main decomposition products, in particular aminomethylphosphoric acid (AMPA), are responsible for the almost ubiquitous pollution of surface and groundwater [4]. Rp showed high toxicity in cultivated plants, for example, Allium cepa L. and Zea mays L. [5, 6]. Weeds against which Rp or Gl are applied have developed resistance, and therefore the applied doses have to be increased periodically [7–10]. Numerous herbicides, inclu ding Rp, chelate with metals to form complexes [11, 12] and interact with aluminum oxide [13]. Complexes of this type have significantly higher binding constants with adenine, nucleotides, and several other biological molecules. As a result, their chemical and biological stability, as well as toxicological effects, are enhanced remarkably [14, 15]. Residual amounts of Rp (Gl) and its decomposition products are found in staple foods such as sugar, corn, soybeans, and wheat [16].
Like other herbicides, Rp negatively affects soil and aquatic organisms, exhibiting high toxicity and sharply reducing their numbers [3, 14, 15]. Upon entry into the human body with food, Rp affects the organs of the digestive and excretory systems and causes many diseases [2, 3, 17–19]. In particular, Gl markedly impacts the oxidation of fats and polypeptides. The nature of the effect changes with dosage, so that at high concentrations (10–3–10–6 mol/l), the intensity of peroxidation processes decreases, and at low concentrations, the intensity of these reactions increases [20–22]. One of the mechanisms of action of Rp is the inhibition of cholinesterase [23]. Suppression of maltase and peptidase in hydrobionts by Rp, as well as the in vitro inhibition of the redox system NADH oxidoreductase by the metal complexes of the herbicides Lontrel, Rp, Zenkor, Bazagran, Kuzagard, Sethoxydim, and Lontrel has been recorded [24, 25]. Cytochrome P450 (CYP) enzymes are of phenomenal importance in animal and plant metabolism. In particular, they participate in the detoxification of xenobiotics. Their inhibition by Gl is an underappreciated aspect of its toxicity to mammals. In this way, Gl enhances the damaging effects of chemicals and toxins that enter the body from the environment. The negative effects are insidious and manifest themselves slowly over time as inflammation damages cellular systems throughout the body. In addition to inhibiting CYP enzymes, Gl disrupts the biosynthesis of aromatic amino acids by intestinal bacteria and the transport of sulfate in serum. All these processes synergistically enhance each other and have a combined effect [16].
Herbicides cause serious disturbances in the antioxidant system by suppressing the levels of reduced glutathione and antioxidant enzymes, such as superoxide dismutase, catalase, and glutathione reductase in the liver, thereby inducing oxidative stress via lipid peroxidation which is a proposed toxic-dynamic pathway of oxidative stress [26]. Many indications of the genotoxic potential of Rp exist [26–31] as its most hazardous effect. Oxidative DNA fragmentation causes genetic damage [28–30]. Rp modifies gene expression in the liver, particularly that of TP53. The formation of apurinic/apyrimidinic lesions leads to DNA strand breaks and protein misfolding [27]. General molecular mechanisms associated with the generation of reactive oxygen species (ROS) due to Gl or AMPA, have been established [31, 32].
As a result of these biochemical and genetic disorders resulting from the action of Rp (Gl), embryotoxic, hemotoxic, cytotoxic, and genotoxic changes occur in humans and animals [17, 18, 33], their fertility decreases, and carcinogenic and teratogenic diseases are registered [19, 34, 35]. Since 2015, Rp has been categorized as a group 2A carcinogen per the classification of the International Agency for Research on Cancer of the World Health Organization [36, 37].
The phytotoxic effect of herbicides depends on the duration for which they remain on the leaves. This property relies on the herbicide formulation, which, along with the active ingredient, contains auxiliary compounds that enhance the wettability of leaves and the penetration of herbicide molecules into cells. Therefore, after treatment, drops of herbicide remain on the leaves for a long time, which decompose, when exposed to sun rays. Several studies on the photodecomposition products of Gl are available [38–41]. For example, we have previously revealed that when an N-PMG solution is irradiated with light at 250–600 nm for 14 h, a genotoxic product is formed that can induce an SOS response in the K12 biosensor MG1655 (pColD-lux); however, the non-irradiated solution did not have any such activity [41].
Despite all the available data, certain pressing questions remain for environmental scientists; first, regarding the decomposition products of N-PMG, and second, concerning the most effective ways to purify drinking water of N-PMG and its decomposition products. Various treatment processes for natural and drinking water to reduce their herbicide concentrations and minimize the potential health risks associated with exposure to these chemicals through consumption of contaminated water have been investigated [42, 43]. Over time, researchers have concluded that improved oxidation processes are a crucial technology for solving the problems of herbicide contamination, by both purifying drinking water and treating wastewater [44]. In previous reports, post-exposure to UV radiation, the parallel influence of many other factors, such as catalyst, pH, and the introduction of H2O2, was studied [45–47]. In our previous publication, ozone exposure was used in addition to UV radiation [41].
It should be emphasized that very few studies have been conducted on the primary decomposition products of Gl (Rp), and the results presented were ambiguous. A study states that AMPA is a major metabolite with excellent stability and low toxicity [45]. Gl and AMPA showed cytogenetic toxicity during in vitro micronucleus analysis in the Chinese Hamster ovary cell line CHO-K1, which was elevated by 100-fold after light irradiation; an assessment of the ROS levels suggested the involvement of oxidative stress in the genotoxic effects of Gl [46].
Equally conflicting opinions have been expressed about the possible route of photodecomposition of N-PMG. A review analyzes a significant array of data and presents two pathways for the formation of reaction products; however, the stable compounds formed were glycine, sarcosine, and formaldehyde, but not AMPA, and their synthesis process was not associated with it [47]. In our previous article, photodecomposition products were identified using chromatography-mass spectrometry (MS), among which AMPA was not identified [41]. These findings can be explained by certain difficulties in stabilizing the phosphate group in molecules and the products of their hydrolytic abstraction are strongly stabilized via conjugation [48].
In particular, the application of lux biosensors based on the Escherichia coli K12 strain MG1655 (pSoxS-lux) and MG1655 (pKatG-lux) [49–51], as well as pColD-lux [52], carrying a recombinant plasmid with the lux operon of the luminescent bacterium Photorhabdus luminescens, fused with the promoters of the superoxide dismutase, catalase, and colicin encoding genes, respectively, were effective in studying the causes and pathways of the genotoxicity of herbicides and other compounds. The pKatG promoter (OxyR activator protein) responds specifically to hydrogen peroxide (H2O2) and other peroxides, while the pSoxS promoter (SoxR activator protein) responds explictly to the superoxide anion radical (•O–2). For the SOS biosensor that responds to DNA damage, the pColD promoter of the colicin gene, which is part of the SOS regulon, was used. E. coli strains carrying the lux operon, under the influence of oxidative stress inducers or DNA-damaging agents, begin to actively produce the luciferin-luciferase complex, which enhances the bioluminescence levels [53].
Using lux biosensors based on E. coli, this work aimed to study the ability of the photochemical decomposition products of N-PMG to induce oxidative stress in bacterial cells.
MATERIALS AND METHODS
We used the active component of Rp (Gl, N-phosphonomethylglycine [N-PMG, C3H8NO5P]), purified from double-distilled water by double recrystallization (Fig. 1) [54].
Fig. 1. Chemical formula of N-phosphonomethylglycine
Рис. 1. Химическая формула N-фосфонометилглицина
The bacterial lux biosensors used in this work were E. coli K12 MG1655 (pSoxS-lux) and E. coli K12 MG1655 (pKatG-lux) [55–57]. In the text, they are designated as pSoxS-lux and pKatG-lux. They contain a recombinant plasmid that includes the promoters of the superoxide dismutase (soxS) and catalase (katG) genes fused with the P. luminescens lux operon. In cells of the pSoxS-lux strain, when the •O–2 concentration increases, the soxS is transcribed along with the lux operon, which leads to luminescence with an intensity proportional to the •O–2 levels. The pKatG-lux strain has a similar mechanism of operation, where the katG fused with the lux operon, but is responsive to H2O2. The biosensors listed were provided by G.B. Zavilgelsky and I.V. Manukhov (GosNIIgenetika, Moscow).
Bacterial strains were stored and cultured using solid (agar) and liquid (broth) LB (Luria Bertani) nutrient media, containing 100 μg/ml ampicillin. For the experiments, broth cultures of KatG-lux and pSoxS-lux in LB medium were utilized.
Overnight cultures of the biosensors were diluted in fresh LB broth, bringing the bacterial content to 107 cells/ml, and incubated at 37℃ for 120 min with aeration until the early exponential phase was reached. Next, the cultures were transferred into a 96-well plate at 180 μl/well for the lux test. A row of wells for the control sample was filled with distilled water, 20 μl/well. The next rows were added with various dilutions of irradiated N-PMG (N-PMGirr). In the last row, 20 µl/well of 0.01 M N-PMG was added as a positive control. Next, the cultures in the filled plates were incubated for 1 h at 37℃. Then, the luminescence intensity of the biosensors was determined employing a StatFax 4400 microplate reader luminometer (Awareness Technology Inc., USA), where relative light units (RLU), the unit for the luminescence response measurement was taken as conventional luminous flux units. The above experiments were performed at least thrice with eight repetitions each.
Experiments were performed to simultaneously determine the luminescence and survival of the pSoxS-lux and pKatG-lux biosensors containing cells directly in the incubation mixture in the wells depending on the N-PMGirr dilution to recalculate the luminescence/1000 viable cells. For this purpose, post-incubation of the experimental mixture, the bioluminescence intensity was measured. Then the contents of each well were serially diluted to 10–6, 10–5, and 10–2 in 0.9% NaCl for subsequent inoculation in Petri dishes with LB agar. After 19 h of incubation at 37℃, the number of colonies was counted and recalculated to the number of colony-forming units (CFUs) in 0.2 ml of the bacterial suspension. The luminescence value was divided by the number of CFUs for the corresponding concentration of N-PMGirr and multiplied by 1000. The resulting coefficient indicated the relative luminescence of 1000 CFUs.
All experiments were performed in triplicates. The data obtained during the experiments were processed using standard statistical methods. The average values of the indicators were calculated. The significance of the differences in mean values was determined using Student’s t-test. The probability of error p < 0.01 was considered sufficient to confirm the statistical significance of the differences in the data obtained.
RESULTS AND DISCUSSION
Kinetics and products of N-PMG decomposition under UV radiation and ozone
Herbicides are considered harmless to plants based on the fact that they are degraded by the plant metabolism, the UV component of solar radiation, and soil microorganisms. The degradation rate of N-PMG under the influence of only sunlight measured under our experimental conditions was 2.8 × 10–4 M/h [41].
Previously, we tried to simulate the natural conditions in which the herbicide is applied to plants, namely solar UV radiation, moisture (dew, rain, surface or groundwater), and ozone (formed during a lightning discharge) [41]. The decomposition of N-PMG under irradiation from a DRSh 1000 mercury lamp was recorded. The combined effect of UV radiation and ozone on the N-PMG decomposition was non-additive. Thus, the decomposition rate was many times higher than those recorded with either irradiation or ozone bubbling of the solution alone. It has been established that the decomposition of N-PMG under the combined action of UV radiation and ozone occurs at a markedly higher rate (0.406 M/h) than when using them separately [41].
The decomposition process is complex and multi-stage in nature. Several intermediate compounds appeared and were traced in the electronic spectra recorded during the decomposition of N-PMG at different periods of irradiation (Fig. 2). Thus, after 1 h from the start of irradiation, a peak with λ2 of 195 nm manifested, which was subsequently detected in all samples. After 3.8 h, a peak at λ4 of 258 nm was identified, which was noted in all samples monitored up to 8.1 h. The peak λ5 of 238 nm was identified once after 5.3 h. The peak λ3 of 286 nm appeared after 2.8 h, then disappeared after 1 h, redetected at 11.3 h, and then was no longer observed. This trend indicates a complex multi-stage process of N-PMG decomposition.
Fig. 2. Change in the absorption spectrum of the reaction mixture during the photochemical decomposition of an aqueous solution of N-phosphonomethylglycine under the combined influence of UV radiation and ozone over time: 1 — absorption intensity at λ = 212 nm; 2 — 195 nm; 3 — 286 nm; 4 — 258 nm; 5 — 238 nm. According to work [41]
Рис. 2. Изменение спектра поглощения реакционной смеси в процессе фотохимического разложения водного раствора N-фосфонометилглицина при совместном воздействии УФ-излучения и озона от времени: 1 — интенсивность поглощения при λ = 212 нм; 2 — 195 нм; 3 — 286 нм; 4 — 258 нм; 5 — 238 нм. По данным работы [41]
The synergistic influence of UV radiation and ozone can be explained by considering the ability of ozone to photolyze upon absorption of a quantum of UV radiation:
О3 + hv → O• + O2 (1)
The resulting atomic oxygen can directly interact with N-PMG, inducing oxidation, which includes a multi-stage sequence of transformations resulting in products, some of which were identified.
N-PMGirr solutions were analyzed using MS to ascertain the composition of the photochemical decomposition products [41]. The initial N-PMG was characterized by a peak of the deprotonated molecule with m/z 168, which corresponded to C3H7NO5P–1. Some impurities appeared in the sample, kept in the dark at 25℃ for 14.3 h, but they were significantly less than the main compound N-PMG. In the irradiated and ozonized sample, even traces of N-PMG could not be detected, i.e., it was completely degraded.
The use of high-resolution MS [58] enabled the determination of the exact masses of sample destruction products (UV + ozone; 14.3 h) and, as a consequence, their elemental compositions were ascertained [41]. Table 1 presents the composition and most probable structures of the fragments produced under the influence of UV radiation and ozone. Obvious peaks corresponding to deprotonated molecules of the N-PMG decomposition products were recorded.
Table 1. Composition and structure of fragments formed during the photochemical decomposition of N-phosphonomethylglycine, according to mass spectrometry data [41] Таблица 1. Состав и структура фрагментов, образующихся в процессе фотохимического разложения N-фосфонометилглицина, согласно данным масс-спектрометрии [41] | |||||
Product no. | m/z | Composition | Structure | ||
1 | 86,02510 | C3H4O2N | |||
2 | 100,00427 | C3H2O3N | |||
3 | 102,01995 | C3H4O3N | |||
4 | 104,03557 | C3H6O3N | |||
5 | 121,02968 | C3H7O4N | or | ||
The activity of the oxidative stress systems influenced by N-PMG photodecomposition products
The photodecomposition products of N-PMG (N-PMGirr) induced intense luminescence in the pKatG-lux and pSoxS-lux biosensors when co-incubated for 90 min (Fig. 3). This observation indicates that N-PMGirr directly or indirectly generates ROS such as superoxide anion and hydrogen peroxide in E. coli. These compounds are robust sources of oxidative stress in organisms. Oxidative damage can not only be cytotoxic but also damage the DNA.
Fig. 3. Luminescence of pKatG-lux and pSoxS-lux with N-PMGirr in arbitrary units of luminous flux
Рис. 3. Люминесценция pKatG-lux и pSoxS-lux с N-ФМГобл в условных единицах светового потока
Experiments were performed to determine the survival of bacteria, i.e., their ability to form CFUs, when exposed to various concentrations of N-PMGirr. For this purpose, after the incubation of the experimental mixture for a specific time, a 0.1 ml aliquot of the bacterial suspension was serially diluted to 10–6 using 0.9% NaCl. Then 0.1 ml from different dilutions were inoculated on LB agar. After 19 h of incubation at 37℃, the number of colonies grown was determined, which is an indicator of the CFUs. The N-PMGirr concentration was markedly inversely proportional to the number of CFUs in the cell culture (Table 2). In the case of the pKatG-lux, the number of viable bacteria was 5.11 × 107 in the control; when exposed to a 1:10 diluted solution of N-PMGirr, the survival rate of bacteria did not differ from the control value. However, higher concentrations of N-PMGirr, either undiluted or diluted to 1:2 reduced the survival of bacteria by >100- and 10-fold, respectively. Similar results were obtained with pSoxS-lux.
Table 2. Dependence of the survival of biosensor bacteria (number of CFUs in 0,1 mL suspensions) at concentration of N-PMGirr Таблица 2. Зависимость выживаемости бактерий биосенсоров (число КОЕ в 0,1 мл культуры) от концентрации N-ФМГобл | ||||
Lux biosensor | Water (control) | N-PMGirr dilution | ||
1 : 10 | 1 : 2 | undiluted | ||
pKatG-lux | 5.11 ± 0.39 × 107 | 4.67 ± 0.55 × 107 | 4.73 ± 0.58 × 106 | 3.14 ± 0.56 × 105* |
pSoxS-lux | 5.46 ± 0.16 × 107 | 5.75 ± 0.08 × 107 | 4.54 ± 0.35 × 106* | 2.83 ± 0.55 × 105** |
Statistically significant differences between the control and variants with N-PMGirr: *р ≤ 0.05; **р ≤ 0.001. Статистически значимые различия между контролем и вариантами с N-ФМГобл: *р ≤ 0,05; **р ≤ 0,001. | ||||
An experiment was performed to simultaneously determine the luminescence and survival rate of bacteria based on the pSoxS-lux and pKatG-lux biosensors directly in a cultured suspension in the panel of cells and to determine changes in the luminescence intensity depending on the N-PMGirr concentration for a fixed number of bacteria. For this purpose, luminescence data were read after 90 min of incubation of the suspension. Then the contents of each well (0.2 ml) were serially diluted to 10–6, 10–5, and 10–2 with 0.9% NaCl and subsequently inoculated into Petri dishes with LB agar. After 19 h of incubation at 37℃, the number of colonies grown was counted and recalculated to the number of CFUs in 0.2 ml of the bacterial suspension. The results obtained are presented in Table 3.
Table 3. Dependence of the intensity of the luminescent response and cell survival of the biosensors pKatG-lux and pSoxS-lux on the N-PMGirr concentration Таблица 3. Зависимость интенсивности люминесцентного ответа и выживаемости клеток биосенсоров pKatG-lux и pSoxS-lux от концентрации N-ФМГобл | ||||
Lux biosensor | N-PMGirr | CFU number in 0.2 ml of culture | Luminescence of 0.2 ml of culture | Luminescence per 1000 CFU |
pKatG-lux | Water (control) | 5.22 ± 0.44 × 108 | 2938 ± 109 | 0.005 |
1 : 10 | 4.71 ± 0.51 × 108 | 3328 ± 86 | 0.007 | |
undiluted | 3.34 ± 0.40 × 106 | 4092 ± 131 | 1.2* | |
pSoxS-lux | Water (control) | 4.19 ± 0.28 × 108 | 5932 ± 109 | 0.014 |
1 : 10 | 3.62 ± 0.39 × 108 | 7157 ±115 | 0.02 | |
undiluted | 2.50 ± 0.38 × 106 | 9137 ± 125 | 3.65* | |
*The most significant results. *Наиболее значимые результаты. | ||||
The following calculation was performed to estimate the intensity of the luminescent response of the pSoxS-lux and pKatG-lux biosensors per 1000 viable cells. The intensity indicator of the biosensor luminescence response at a certain concentration of N-PMGirr was divided by the number of CFUs in the well and multiplied by 1000. The resulting coefficient indicated the relative luminescence of 1000 CFUs. In the control sample untreated with N-PMGirr, the luminescence of 1000 pKatG-lux and pSoxS-lux bacteria was 0.005 and 0.014 RLUs, respectively; with the addition of undiluted N-PMGirr exceeded the control values by 240- and 261-fold, at 1.2 and 3.65 RLUs, respectively; and with 10-fold dilution, was 0.007 and 0.02 RLUs, respectively.
These data suggest that the intensity of the expression of the genes encoding the oxidative stress-relieving enzyme superoxide dismutase in viable biosensor cells was directly proportional to the concentration of N-PMGirr. Thus, with increasing N-PMGirr levels, some cells die, and in the remaining, an increase in the activity of the oxidative stress-relieving systems was noted (Table 3).
Chemical reactions leading to the formation of superoxide anion radicals from N-PMG under the influence of UV radiation and ozone
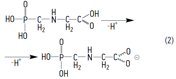
Table 1 presents the products of the photochemical decomposition of N-PMG. The following scheme for their formation can be proposed. Under the harsh oxidative conditions produced by N-PMG, namely an aqueous environment under the influence of UV and ozone (producing both O2– and O•), the entire N-PMG molecule becomes excited. Electrons move from the π-bonding to the π-antibonding levels of the molecule, which leads to its disintegration. In stage 1, a proton is lost to form a stable intermediate anion, which we can be detect using MS (m/z 168.0 [C3H7NO5P]–1) and UV spectroscopy (λ = 195 nm). Its stability can be explained by the delocalization of electrons throughout the molecule involving the conjugated double bonds C=O and P=O, as well as the lone electron pairs of nitrogen and oxygen atoms (2).
We can only hypothesize from which of the acid groups (carbonyl or phosphorus) the proton is abstracted, but the probability of both paths is obvious. Most likely, both particles are in a state of equilibrium. At the next, most probable stage, the phosphorus–carbon bond is quite easily hydrolyzed, while the phosphorus atom is oxidized under these environmental conditions from the formal valence (+4) (due to delocalization of electrons) to the most stable valence (+5) in N-PMG. As a result, phosphoric acid (H3PO4) is abstracted. The anions PO3– with m/z 78.95941 and H2PO4– with m/z 96.96990 were identified by MS.
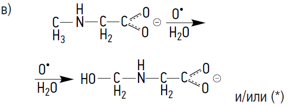
In the resulting intermediate, the anion (*) and the nitrogen (N) atom, with its lone electron pair, participate in conjugation with the carboxyl group (COOH). As a result, the cloud of π electrons is distributed throughout the molecule. This anion is sufficiently stabilized and from it, under such environmental conditions, subsequent reactions in several directions are possible, namely a) from the oxidative deprotonation of the N atom, compound No. 1 is formed, identified in MS with an m/z of 86.02510.
From the resulting compound, upon oxidation of the methyl group (b) bonded to the N atom, compound No. 2 is formed with an m/z of 100.00427, in which aldehyde grouping is conjugated with the lone electron pair of the N atom, which stabilizes this particle.
b)
Under the aggressive oxidizing environmental conditions, further oxidative reactions occur with the resulting intermediates at their easily oxidized positions, namely the N atom and the methyl grouping associated with the N atom.
As a result, compounds No. 4 with an m/z of 104.03557 (c), followed by No. 5 (d) with an m/z of 121.02968 are sequentially formed.
and/or (*)
Under these conditions, nitrogen is easily oxidized to the hydroxyamine (N–OH) group, with the formation of 2-(N-hydroxymethyl-hydroxyamine) ethanoic acid, compound No. 5:
d)
Other parallel reaction pathways for the oxidation of the intermediates are also possible. This includes the oxidation of carbon located in the α-position relative to the carbonyl group with the formation of a hydroxyl group in this position, namely compound No. 3, having an m/z of 102.01995 (diagram, Fig. 4).
Fig. 4. Scheme of potential reactions of N-PMG oxidation at α-carbon atom
Рис. 4. Схема потенциальных реакций окисления N-ФМГ по α-углеродному атому
The photochemical decomposition products No. 1–4 have one, two or even three double bonds (Table 1). Significantly excessive electron densities determine their reducing nature.
Product No. 5, having an m/z of 121.02968 and with the composition of C3H7O4N is of particular interest.
Compound No. 5 is an aliphatic hydroxylamine: 2-(N-hydroxymethyl-hydroxyamine) ethanoic acid, which is an oxidizing agent and is capable of a disproportionation reaction, inducing the formation of a short-lived and highly active nitroxide radical.
As a result of the transfer of a proton, the unpaired electron is localized in the antibonding π* orbital formed from the 2pz orbitals of nitrogen and oxygen atoms. The hybridization of the nitrogen atom bonds is close to sp2. In the absence of the possibility of delocalization of the unpaired electron, an extremely unstable molecular ion is formed [59]. Alkyl radicals react quickly with oxygen [60, 61] to form •O–2, one of the most active forms of oxygen circulating in organisms. This particle has a very high reactivity, as a result of which both its lifetime and its stationary concentration are minuscule.
RNO• + O2 → RNO– + O2• (or O2–) or
RNO• + O3 → RNO2 + O2• (or O2–).
(6)
However, evidence indicates that due to the high instantaneous radiation density, interaction between products formed under the influence of UV radiation is possible [62]. The product(s) diffuse(s) through the cell membrane. In particular, when treated with λ = 220 nm, there was a significant decrease from pH 7.4 (biologically important) to pH 2.5–3.0. The underlying mechanism is associated with the formation and subsequent breakdown of peroxynitrite. At pH 7.4, both ionic (ONOO–) and protonated (peroxynitrous acid ONOOH; pKa = 6.8) forms exist. The protonated form has a half-life of ~1.3 s, while the ionic form can persist for up to 15 days even at room temperature [62].
The immune system takes advantage of the damaging effects of oxidizing agents, making the production of oxidizing substances a key element in the mechanism for destroying pathogens. Thus, activated phagocytes produce ROS and reactive nitrogen species. These include •O–2, nitric oxide (•NO), and a particularly reactive derivative, peroxynitrite (ONOO–) [63]. Under normal conditions, the intracellular content of ROS is maintained at a low level by various enzyme systems involved in redox homeostasis. However, under various conditions, in particular in the presence of toxins (for example, pesticides), excessive free radicals accumulate, which are molecules without one electron (•O–2, hydroxyl radical, HO–, and H2O2), leading to oxidative stress.
CONCLUSIONS
The study results showed that the products of photochemical decomposition of N-PMG are toxic to E. coli cells. Using the pSoxS-lux and pKatG-lux biosensor system, N-PMGirr was found to cause oxidative stress with an elevation in the concentrations of superoxide anions and hydrogen peroxide, which can damage the genetic material. Using the MS method, it was established that among the products of the photochemical oxidation of N-PMG, a compound with the composition C3H7O4N and m/z 121.02968 was identified [41]. This work presents a sequence of chemical reactions proving that, as a result of proton transfer and delocalization of the unpaired electron, the compound 2-(N-hydroxymethyl-hydroxyamine) ethanoic acid is capable of producing •O–2, which can induce the expression of the gene encoding the oxidative stress-relieving enzyme superoxide dismutase in viable cells detected by the pSoxS-lux and pKatG-lux biosensors.
A mechanism has been proposed for the transformation of the N-PMG molecule into new chemical compounds capable of generating ROS and stable free radicals in bacterial cells. In turn, free radicals and ROS accumulation in the cell cause DNA damage. Thus, a very probable mechanism for the occurrence of the genotoxic effect of the photochemical degradation products of N-PMG has been considered. Once inside the human body, N-PMG accumulates in cell membranes due to an interaction with lipids or by binding into stable complexes with other biological molecules, such as adenosine triphosphate. Under certain conditions (nervous overload, increased solar radiation [hv or hv + O3], or other factors), a significant amount of •O–2 is generated from the N-PMG molecules accumulated. The membrane(s) rupture and radicals enter the lymph and bloodstream. Their quantity is several-fold greater than the body needs or can be uses or detoxified under normal physiological conditions. An excessive amount of radicals leads to enhanced activation of free radical processes, which entails a whole cascade of negative reactions and pathological processes that induce many diseases.
ADDITIONAL INFORMATION
Authors’ contribution. All authors made an equal contribution to the preparation of the article, read and approved the final version before publication. Contribution of each author: E.A. Saratovskikh — the idea of research, analysis of results and sources, writing the original text; E.A. Machigov — bioluminescent analysis and processing of primary experimental material; A.I. Yarmolenko — creation of a reaction scheme for photochemical decomposition; E.V. Stamm — collection of literature data and writing the literature review; S.K. Abilev — revision of the text, interpretation of the results of bioluminescent research.
Funding source. This work was carried out in accord with state assignments No. FFSG-2024-0012 (State registration No. 124020500019-2) and with subject No. 0092-2022-0003 of the State Order (No. 122022600163-7).
Competing interests. The authors declare that they have no competing interests.
[*] Since commercial preparations contain various additives, the following text presents the names that the authors have used in the specific articles cited.
About the authors
Elena A. Saratovskikh
Federal Research Center of Problems of Chemical Physics and Medicinal Chemistry, Russian Academy of Sciences
Author for correspondence.
Email: easar@icp.ac.ru
ORCID iD: 0000-0003-1841-0641
SPIN-code: 4183-7660
Dr. Sci. (Biology)
Russian Federation, Chernogolovka, Moscow RegionElbek A. Machigov
N.I. Vavilov Institute of General Genetics, Russian Academy of Sciences
Email: elbek_machigov@mail.ru
ORCID iD: 0000-0003-2811-6374
SPIN-code: 7382-5408
Russian Federation, Moscow
Andrey I. Yarmolenko
Federal Research Center of Problems of Chemical Physics and Medicinal Chemistry, Russian Academy of Sciences
Email: andr.yar@bk.ru
ORCID iD: 0009-0008-2736-4118
Russian Federation, Chernogolovka, Moscow Region
Elena V. Shtamm
N.N. Semenov Federal Research Center for Chemical Physics, Russian Academy of Sciences
Email: ekochem@yandex.ru
ORCID iD: 0000-0003-2537-2751
Dr. Sci. (Chemistry)
Russian Federation, MoscowSerikbai K. Abilev
N.I. Vavilov Institute of General Genetics, Russian Academy of Sciences; Lomonosov Moscow State University
Email: abilev@vigg.ru
ORCID iD: 0000-0001-8636-6828
SPIN-code: 4692-4311
Scopus Author ID: 8723003000
Dr. Sci. (Biology)
Russian Federation, Moscow; MoscowReferences
- Benbrook ChM. Trends in glyphosate herbicide use in the United States and globally. Environ Sci Eur. 2016;28(1):3. doi: 10.1186/s12302-016-0070-0
- Yablokov AV. Poisonous seasoning. Problems of application of poison chemicals and ways of ecologization of agriculture. Moscow: Mysl, 1990. 125 p. (In Russ.)
- Yudanova LA. Pesticides in the environment: analytical review. Novosibirsk: GPNTB SB AS USSR, 1989. 140 p. (In Russ.)
- Dubois A, Lacouture L. Bilan de présence des micropolluants dans les milieux aquatiques continentaux Période 2007–2009. Commissariat général au développement durable — Service de l’observation et des statistiques, 2011. (In French)
- Emirova DE. Evaluation of the fitotoxic and cytotoxic effects of roundup herbicide. Scientific notes of the Crimean Engineering and Pedagogical University. Series: Biological sciences. 2021;(1):27–34. EDN: EVIUCB
- Emirova DE. Phytotoxic effect of the pesticide roundup to seedlings of Zeamays. Man-Nature-Society: Theory and practice of life safety, ecology and valeology. 2018;(4):93–96. EDN: YSRCXR
- Spiridonov YuYa, Larina GE, Protasova LD, et al. Long-term application of the herbicide roundup in the central Nonchernozemic zone. Eurasian Soil Science. 2010;(2):29–36. EDN: MBYNAT
- epa.gov [Internet]. Glyphosate. U.S. Environmental Protection Agency. Available at: https://www.epa.gov
- Kuznetsova EM, Chmil VD. Roundup: environmental behavior and residue levels. Modern problems of toxicology. 2010;(1):87–95. (In Russ.)
- Ministry of natural resources and ecology of the Russian Federation, Federal Service for hydrometeorology and environmental monitoring, Federal State Budgetary Institution “NPO „Typhoon”, IPM. State of pesticide pollution of natural environment objects of the Russian Federation in 2017. Obninsk: FGBU NPO Typhoon, 2018. 89 p. (In Russ.)
- Aliev ZG, Atovmyan LO, Saratovskikh EA, et al. Synthesis, structure and spectral characteristics of copper complexes with picolinic acid derivatives. Izvestia AS USSR. Series of chemical sciences. 1988;(11):2495–2501. (In Russ.)
- Saratovskikh EA. Synthesis of bidentate complexes of 3,6-dichloro-picolinic acid. Izvestia AS USSR. Series of chemical sciences. 1989;(10):2327–2329. (In Russ.)
- Dick RE, Quinn JP. Glyphosate — degrading isolates from environmental samples: occurrence and pathways of degradation. Appl Microbiol Biotechnol. 1995;43(3):545–550. doi: 10.1007/BF00218464
- Saratovskikh EA, Bokova AI. Influence of herbicides on the population of soil-dwelling collembola. Toxicological review. 2007;(5): 17–23. EDN: ICDSGH
- Saratovskikh EA, Kozlova NB, Baikova IS, Stamm EA. Correlation between toxic properties of pollutants and their complexation constants with ATP. Russian Journal of Physical Chemistry B. 2008;27(11):87–92. (In Russ.) EDN: JSKNNB
- Samsel A, Seneff S. Glyphosate’s suppression of cytochrome p450 enzymes and amino acid biosynthesis by the gut microbiome: Pathways to modern diseases. Entropy. 2013;15(4):1416–1463. doi: 10.3390/e15041416
- Davoren MJ, Schiestl RH. Glyphosate-based herbicides and cancer risk: a post-IARC decision review of potential mechanisms, policy and avenues of research. Carcinogenesis. 2018;39(10):1207–1215. doi: 10.1093/carcin/bgy105.
- Séralini G-E, Clair E, Mesnage R, et al. Long term toxicity of a Roundup herbicide and a Roundup-tolerant genetically modified maize. Food Chem Toxicol. 2012;50(11):4221–4231. doi: 10.1016/j.fct.2012.08.005
- Medvedev OS. Roundup and its potential impact on human health. Combi-feeds. 2017;(4):61–63. (In Russ.) EDN: YMZNGJ
- Kuz’mina VV, Tarleva AF, Sheptitskii VA. Influence of roundup herbicide on the activities of peptidases in the intestines of various fish species. Journal of ichthyology. 2017;57(5):607–613. EDN: ZFQGYX doi: 10.7868/S0042875217050113
- Filippov AA, Golovanova IL, Smirnov MS. Effect of roundup herbicide on the temperature characteristics of maltase of the intestinal mucosa in juvenile fish. Inland Water Biology. 2019;(2–1):93–98. EDN: XUWPBS doi: 10.1134/S0320965219020050
- Zernova EE. Effect of Roundup on the processes of lipid and protein peroxidation in laboratory mice. Development of scientific, creative and innovative activity of youth. In: Proceedings of the VII All-Russian science and practice extramural conference of young scientists. Lesnikovo: T.S. Maltsev KGSA, 2015. P. 150–151. (In Russ.)
- Green D, Goldberger R. Molecular aspects of life. Transl. from Eng. Moscow: Mir, 1968. 400 p. (In Russ.)
- Saratovskikh EA, Korshunova LA, Gvozdev RI, Kulikov AV. Inhibition of the nicotinamide adenine dinucleotide-oxidoreductase reaction by herbicides and fungicides of various structures. Russian Chemical Bulletin. 2005;(5):1284–1289. EDN: HSPAWR
- Saratovskikh EA, Korshunova LA, Roschupkina OS, Skurlatov YuI. Inhibition of NADH-oxidoreductase by metal compounds. Russian Journal of Physical Chemistry B. 2007;26(8):46–53. (In Russ.) EDN: IAZOMP
- Zaahkook SAM, Abd El-Rasheid HG, Ghanem MH, et al. Physiological and oxidative stress biomarkers in the freshwater catfish (Clarias gariepinus) exposed to pendimethalin-based herbicide and recovery with EDTA. Int J Adv Res. 2016;4(10):243–264. doi: 10.21474/IJAR01/1784.
- Mesnage R, Ibragim M, Mandrioli D, et al. Comparative toxicogenomics of glyphosate and roundup herbicides by mammalian stem cell-based genotoxicity assays and molecular profiling in sprague-dawley rats. Toxicol Sci. 2022;186(1):83–101. doi: 10.1093/toxsci/kfab143
- Saratovskikh EA, Lichina MV, Psyha BL, et al. On the nature of interaction of di- and polynucleotides with some pesticides. Izvestia AS USSR. Series of chemical sciences. 1989;(9):1984–1989. (In Russ.)
- Saratovskikh EA, Glaser VM, Kostromina NYu, Kotelevtsev SV. Genotoxicity of the pestiside in Ames test and the possibility to formate the complexeses with DNA. Ecological genetics. 2007;5(3):46–55. EDN: KXHLYT
- Marques A, Guilherme S, Gaivão I, et al. Progression of DNA damage induced by a glyphosate-based herbicide in fish (Anguilla anguilla) upon exposure and post-exposure periods — Insights into the mechanisms of genotoxicity and DNA repair. Comp Biochem Physiol C. 2014;166:126–133. doi: 10.1016/j.cbpc.2014.07.009.
- Marino M, Mele E, Viggiano A, et al. Pleiotropic outcomes of glyphosate exposure: from organ damage to effects on inflammation, cancer, reproduction and development. Int J Mol Sci. 2021;22(22):12606. doi: 10.3390/ijms222212606
- Strilbyska OM, Tsiumpala SA, Kozachyshyn II, et al. The effects of low-toxic herbicide roundup and glyphosate on mitochondria. EXCLI J. 2022;21:183–196. doi: 10.17179/excli2021-4478
- Benachour N, Seralini G-E. Glyphosate formulations induce apoptosis and necrosis in human umbilical, embryonic, and placental cells. Chem Res Toxicol. 2009;22(1):97–105. doi: 10.1021/tx800218n
- Swanson NL, Leu AF, Abrahamson J, Wallet BC. Genetically engineered crops, glyphosate and the deterioration on health in the United States of America. J Org Syst. 2014;9:6–37.
- Ericsson A. A case-control stady of non-Hodgkin limfoma and exposure tо pesticides. Cancer. 1999;85(6):1353–1360. doi: 10.1002/(SICI)1097–0142(19990315)85:6<1353::AID-CNCR19>3.0.CO;2-1
- EFSA. Conclusion on the peer review of the pesticide risk assessment of the active substance glyphosate. EFSA J. 2015;13(11):4302. doi: 10.2903/j.efsa.2015.4302
- Guyton KZ, Loomis D, Grosse Y, et al. Carcinogenicity of tetrachlorvinphos, parathion, malathion, diazinon, and glyphosate. Lancet. 2015;16(5):490–491. doi: 10.1016/S1470-2045(15)70134-8
- Ilyushina NA, Averianova NS, Masaltsev GV, Revazova YuA. Comparative investigation of genotoxic activity of glyphosate technical products in the micronucleus test in vivo. Toxicological review. 2018;(4): 24–28. EDN: XYGVRB doi: 10.36946/0869-7922-2018-4-24-28
- Egorova OV, Ilyushina NA, Averianova NS, et al. Genotoxic properties of some organophosphate pesticides. Medical Genetics. 2020; 19(9):72–73. EDN: LNQHPW doi: 10.25557/2073-7998.2020.09.72-73
- Hishov AS, Makarov DA, Kish LK. Toxic properties and maximum residue levels of glyphosate in food and feed products. J Agric Environ. 2023;3(31):1–9. doi: 10.23649/jae.2023.31.3.002
- Vakhterova YaV, Avdeeva LV, Zimens ME, et al. Roundup (glyphosate): Products of photochemical decomposition and their toxicity and genotoxicity. Sustain Chem Pharm. 2023;32:100957. doi: 10.1016/j.scp.2022.100957
- Bamba D, Atheba P, Robert D, et al. Photocatalytic degradation of the diuron pesticide. Environ Chem Lett. 2008;6:163–167. doi: 10.1007/s10311-007-0118-x
- Feng J, Zheng Z, Luan J, et al. Degradation of diuron in aqueous solution by ozonation. J Environ Sci Health B. 2008;43(7):576–587. doi: 10.1080/03601230802234450
- Mahalakshmi M, Arabindoo B, Palanichamy M, et al. Photocatalytic degradation of carbofuran using semiconductor oxides. J Hazard Mater. 2007;143(1–2):204–245. doi: 10.1016/j.jhazmat.2006.09.008
- Assalin MR, De Moraes SG, Queiroz SCN, et al. Studies on degradation of glyphosate by several oxidative chemical processes: Ozonation, photolysis and heterogeneous photocatalysis. J Environ Sci Health B. 2010;45(1):89–94. doi: 10.1080/03601230903404598
- Roustan A, Aye M, De Meo M, Di Giorgio C. Genotoxicity of mixtures of glyphosate and atrazine and their environmental transformation products before and after photoactivation. Chemosphere. 2014;108:93–100. doi: 10.1016/j.chemosphere.2014.02.079
- Manassero A, Passalia C, Negro AC, et al. Glyphosate degradation in water employing the H2O2/UVC process. Water Res. 2010;44(13):3875–3882. doi: 10.1016/j.watres.2010.05.004
- Lehninger AL. Biochemistry. Ed. by Baev AA, Varshavsky YaM. Moscow: Mir, 1974. 957 p. (In Russ.)
- Sviridova DA, Machigov EA, Igonina EV, et al. Study of the mechanism of dioxidine genotoxicity using lux-biosensorsof Escherichia coli. Radiation biology. Radioecology. 2020;60(6):595–603. EDN: OBOOSR doi: 10.31857/S0869803120060223
- Machigov EA, Igonina EV, Sviridova DV, et al. Genotoxic effect of paraquat radiomimetic on Escherichia coli bacteria. Radiation biology. Radioecology. 2022;62(3):240–249. EDN: BCRAAY doi: 10.31857/S0869803122030055
- Smirnova SV, Abilev SK, Igonina EV, et al. The effect of deuterium on induction of the ada-regulon with alkylating compounds in the cells of Escherichia coli. Russian Journal of Genetics. 2018;54(8): 915–921. EDN: XVWOWD doi: 10.1134/S001667581808012X
- Abilev SK, Igonina EV, Sviridova DA, Smirnova SV. Bacterial lux biosensors in genotoxicological studies. Biosensors. 2023;13(5):511. doi: 10.3390/bios13050511
- Igonina EV, Marsova MV, Abilev SK. Lux biosensors: screening biologically active compounds for genotoxicity. Ecological genetics. 2016;14(4):52–62. EDN: XWJLMR doi: 10.17816/ecogen14452-62
- Melnikov NN. Pesticides. Chemistry, technology and application. Moscow: Khimiya, 1987. 712 p. (In Russ.)
- Snyder CA, Garte SJ, Sellakumar AR, Albert RE. Relationships between the levels of binding to DNA and the carcinogenic potencies in rat nasal mucosa for three alkylating agents. Cancer Lett. 1986;33(2):175–181. doi: 10.1016/0304-3835(86)90022-4
- Kotova VY, Manukhov IV, Zavilgelskii GB. Lux-biosensors for detection of SOS-response, heat shock, and oxidative stress. Applied Biochemistry and Microbiology. 2009;(6):16–25. EDN: OFVFXL doi: 10.1134/S0003683810080089
- Zavilgelsky GB, Kotova VY, Manukhov IV. Sensor bioluminescent systems based on lux operons for detection of toxic substances. Russian Journal of Physical Chemistry B. 2012;31(10): 15–20. EDN: PDTYIF (In Russ.)
- Lebedev AT, Mazur DM, Artaev VB, Tikhonov GY. Better screening of non-target pollutants in complex samples using advanced chromatographic and mass spectrometric techniques. Environ Chem Lett. 2020;18:1753–1760. doi: 10.1007/s10311-020-01037-2
- Scholle VD, Rozantsev EG, Prokofiev AI, et al. Study of 2,2,6,6-tetramethyl-4-oxo-1-piperidyl radical by electron paramagnetic resonance method. Izvestia AS USSR. Series of chemical sciences. 1967;(12):2628–2631. (In Russ.)
- Girard JE. Fundamentals of environmental chemistry. Moscow: Fizmatlit, 2008. 640 p. (In Russ.)
- Fomin VM. Radical-chain oxidation of organic compounds and its inhibition by phenol type inhibitors. Electronic textbook. Nizhny Novgorod: NNGU, 2010. 37 p. (In Russ.)
- Piskarev IM, Ivanova IP, Trofimova SV, et al. Formation of peroxynitrite induced by spark plasma radiation. High Energy Chemistry. 2014;48(3):253–256. doi: 10.7868/S0023119714030132
- Nathan C, Shiloh MU. Reactive oxygen and nitrogen intermediates in the relationship between mammalian hosts and microbial pathogens. PNAS USA. 2000;97(16):8841–8848. doi: 10.1073/pnas.97.16.8841
Supplementary files























