Influence of increased amounts of the CHD1 protein on salivary gland secretion genes expression in drosophila salivary glands
- Authors: Toroshchina A.V.1, Konev A.Y.1
-
Affiliations:
- Konstantinov Petersburg Nuclear Physics Institute of National Research Centre “Kurchatov Institute”
- Issue: Vol 23, No 2 (2025)
- Pages: 163-172
- Section: Genetic toxicology
- Submitted: 22.04.2025
- Accepted: 12.05.2025
- Published: 27.06.2025
- URL: https://journals.eco-vector.com/ecolgenet/article/view/678785
- DOI: https://doi.org/10.17816/ecogen678785
- EDN: https://elibrary.ru/PINYHT
- ID: 678785
Cite item
Abstract
BACKGROUND: The genetic material of eukaryotes exists in the nucleus in the form of a nucleoprotein complex named chromatin. Realization genetic information requires chromatin remodeling mediated by ATP-dependent chromatin remodeling proteins of the SNF2 family. Evolutionarily conserved chromatin assembly and remodeling factor CHD1 is associated with the development of prostate cancer. Development of prostate cancer is promoted both by deletions and by increase in the amount of CHD1 protein in the cell.
AIM: To analyze the effect of increased expression of the CHD1 protein in a model organism — Drosophila — on the transcription of hormone – dependent tissue-specific genes in the salivary glands.
METHODS: We used a genetic model based on the overexpression of either wild-type Drosophila CHD1 protein or its catalytically inactive form in the salivary glands under the control of the GAL4-driver P{GawB}AB1. The level of gene transcription in the salivary glands was investigated by reverse transcription followed by real-time PCR.
RESULTS: We have shown that increased production of the CHD1 protein in the salivary glands leads to a disruption in the attachment of pupae to the surface. It is shown that this phenotype is caused by specific suppression of transcription of Salivary gland secretion (Sgs) genes.
CONCLUSION: A model system has been created for studying genetic effects caused by an increase in the amount of CHD1 protein in Drosophila cells. This model can be used to investigate the mechanisms of transcriptional regulation by CHD1 and its disturbance as a result of increased production of CHD1 protein.
Keywords
Full Text
BACKGROUND
In eukaryotic cells, genetic material is arranged into a chromatin complex made up of DNA and histones. All DNA functions, including transcription, replication, repair, and recombination, rely on chromatin modifications; moreover, they serve as the foundation for epigenetic regulation. Chromatin remodeling by motor proteins (ATPases from the SNF2 family) is one of the primary mechanisms of chromatin modification [1]. Among these, the chromo-ATPase/helicase-DNA-binding protein (CHD) subfamily is distinguished by double chromodomains [2, 3]. Drosophila, a classic model organism, has all three groups of this subfamily: CHD1, CHD3-4, and kismet (CHD6-9), which are also found in the mammalian genome [4]. CHD1 is the most conserved protein in this subfamily, and its uniqueness lies in its involvement not only in chromatin remodeling, but also in its assembly from DNA and histones in vitro [5] and in vivo [6–8]. Nucleosomes are removed and assembled by ATP-dependent chromatin remodeling factors and histone chaperones acting together [7, 9]. In vivo, CHD1 is necessary for the integration of variant histone H3.3 in replication-independent chromatin assembly during post-fertilization transformation of the Drosophila male pronucleus [6]. A similar function of CHD1 has been described for mammals [10].
CHD1 plays an essential role in transcription regulation. It was initially characterized as a chromatin-remodeling protein that binds to active transcription sites (puffs and interbands) in the polytene chromosomes of Drosophila third-instar larvae [11]. Studies in yeasts and human cell culture found that CHD1 is secreted in complex with various transcription elongation factors and splicing system components. CHD1 regulates transcription initiation, elongation, and termination [3, 12–15]. During transcription elongation in Saccharomyces yeast, CHD1 interacts with the elongation factors Spt4-Spt5 and Spt16-Pob3, as well as the Rtf1 subunit of the PAF1 complex, which regulates elongation [13]. According to studies in mice, CHD1 is a component of the preinitiation complex during transcription initiation [16]. During its formation, CHD1 is recruited to active gene promoters through interaction with the Med1 component of the Mediator complex [16]. In fission yeast, Chd1 is also part of this complex [17, 18]. In yeast, Drosophila, and human cell gene promoters, CHD1 likely overcomes the transcription barrier, which is represented by the first nucleosome after the transcription start site [19–22]. In Drosophila, CHD1 acts as both an activator and a repressor of gene transcription [23, 24].
The human genome has two homologues of Drosophila Chd1 (CHD1 and CHD2), which appeared as a result of whole-genome duplication during vertebrate evolution and are both involved in carcinogenesis. Mutations in the CHD1 gene are associated with prostate cancer [25–27]. In this case, CHD1 acts as a cancer suppressor, essential for the development of prostate cancer and metastasis. Deletions, mutations, and rearrangements in the CHD1 gene are among the most prevalent abnormalities seen in prostate cancer. CHD1 recruits the androgen receptor to the promoters of cancer suppressor genes such as NKX3-1, FOXO1, and PPARγ [28]. However, deletions have a minor role in carcinogenesis compared to an excess of the CHD1 protein. The most common mutations in prostate cancer are in the PTEN gene; these mutations disrupt the proteolysis of the CHD1 protein [29]. Excessive CHD1 levels activate genes involved in the TNF-NF-κB pathway, which promotes cancer. PTEN mutations in cancer cells exhibit fatal synthetic interactions with CHD1 mutations or inactivation of this gene by RNA interference. Therefore, in tumors with PTEN deletions that cause CHD1 protein accumulation, it may be a promising target for the development of targeted therapy. However, given the multiple roles of CHD1 in genetic regulation, its use as a target for targeted therapy necessitates comprehensive research into all of its functions and the mechanism of action. Therefore, we developed a genetic model to assess the effects of increased CHD1 production using the classic model organism Drosophila melanogaster. For this purpose, we induced the expression of this protein in salivary glands to assess the effect of increased CHD1 production on both the structure of chromosomes and chromatin, and on gene expression. We used the GAL4 driver P{GaWB}AB1, which expresses the GAL4 protein in salivary glands from the embryonic stage to the end of the larval stages, to induce transcription of transgenes encoding either the wild-type CHD1 protein (P{UAST-Сhd1(wt)}) or its catalytically inactive form (P{UAST-Сhd1(KR)559}). The substitution of lysine for arginine at position 559 of the conserved ATPase domain completely eliminates the protein’s ATPase activity and its ability to remodel or assemble chromatin [6]. During these studies, we found that pupae of species with increased CHD1 expression in both forms are very loosely attached to the walls of Drosophila culture tubes and easily fall off when touched with a dissecting needle. Pupae attach to the substrate using salivary gland secretions. That is why this study assessed the effect of increased CHD1 production on the expression of genes encoding the key proteins of this secretion (salivary gland secretion, SGS).
The work aimed to assess the effect of increased CHD1 protein expression in a model organism, Drosophila, on the transcription of hormone-dependent tissue-specific genes in salivary glands.
METHODS
The study used the following Drosophila strains: wild-type Oregon-R strain; GAL4 driver w; P{GaWB}AB1 strain; strains carrying the transgenes w; P{UAST-Сhd1(wt)}, encoding the wild-type protein, and w; P{UAST-Сhd1(KR)559}, encoding a protein with an inactive ATPase [6]; as well as two strains carrying deletions in Chd1—w; Df(2L) Df(2L)Chd11/T(2;3) SM6b-TM6B Tb and w; Df(2L) Exel7014/T(2;3) SM6b-TM6B Tb. The Df(2L)Chd11 deletion deletes three genes, including Chd1, whereas the large Df(2L)Exel7014 deletion overlaps with Df(2L)Chd1[1] in only one gene, Chd1 [6]. When crossing these two lines, null mutants for the Chd1 gene were selected [6]. All cultures were maintained on a standard medium at 25 °C.
To quantitatively assess pupae attachment to test tube walls, cultures were grown in collapsible test tubes with removable bottoms. After pupation, the medium-filled bottoms were replaced with ones filled with room-temperature water and turned over a specified number of times. Then, the number of pupae that remained attached to the walls and the number of those washed away were counted. Statistical analysis was performed using the χ2 test with Yates’s correction [30].
Total RNA was isolated using acid guanidinium thiocyanate-phenol-chloroform extraction with Trizol reagent (Invitrogen, USA) in accordance with the instructions. RNA was extracted from isolated salivary glands or whole larvae at various stages of development. The isolated RNA was treated with DNase, and reverse transcription was performed using the LunaScript kit (New England Biolabs, USA). Real-time PCR was performed using the master mix for RT-PCR SyberGreen + Rox (2.5X) (BioRad) and the BioRad CFX96 amplifier. RNA was isolated from larvae at the puff stage PS1-2, 0-hour prepupae (stage PS10), and 0-hour prepupae + 2 h (stage PS10+2). To determine the physiological age, larvae were grown on a medium containing bromophenol blue dye, which allows distinguishing between development stages based on the amount of colored medium in the larval intestines [31]. Genes of U6 spliceosomal RNA (SnRNA:U6), actin Act42A (Actin42A), and ribosomal protein RpL32 (Ribosomal protein L32) were used as reference genes. Statistical analysis was performed using REST 2009 [32]. Primers used for RT-PCR are available upon request.
RESULTS
This study was based on the observed loose attachment to test tube walls in pupae with the genotypes w; P{GaWB}AB1/P{UAST-Сhd1(wt) and w; P{GaWB}AB1/P{UAST-Сhd1(KR)559}. Given that pupating PS10 larvae attach to the substrate using their salivary gland secretions, which serve as “glue”, we hypothesized that this phenotype may be associated with a disruption in the synthesis of the main component of this “glue”: salivary gland secretion (SGS) proteins. The disruption of synthesis was evidenced by the almost complete absence of secretion in the lumen of salivary glands at all studied stages of development. The glands of such species are somewhat reduced and do not exceed the fat body thickness, but otherwise retain normal morphology. To quantify the degree of pupal attachment to the surface, we washed off the pupae by inverting the culture cups with water and counting the number of pupae washed off vs those that remained attached. The findings are presented in Table 1.
Table 1. Relationship between pupal attachment to the surface and expression of CHD1 protein in salivary gland cells
Baseline | Number of pupae washed off depending | Number of | Total number | ||
10 inversions | 30 inversions | 50 inversions | |||
P{GaWB}AB1 | |||||
39 | 0 | 0 | 2 | 37 | 2 |
10 | 1 | 0 | 0 | 9 | 1 |
12 | 0 | 1 | 0 | 11 | 1 |
40 | 1 | 0 | 1 | 38 | 2 |
52 | 1 | 0 | 1 | 50 | 2 |
12 | 0 | 0 | 0 | 12 | 0 |
16 | 1 | 0 | 0 | 15 | 1 |
42 | 1 | 0 | 0 | 41 | 1 |
24 | 2 | 0 | 0 | 22 | 2 |
19 | 0 | 1 | 1 | 17 | 2 |
266** | 7 | 2 | 5 | 252 (94.7%) | 14 (5.2%) |
P{GawB}AB1/P{UASTCHD1(WT)} | |||||
30 | 12 | 8 | 8 | 2 | 28 |
36 | 15 | 11 | 7 | 3 | 33 |
48 | 15 | 16 | 11 | 6 | 42 |
31 | 6 | 16 | 2 | 7 | 24 |
33 | 15 | 11 | 7 | 0 | 33 |
36 | 9 | 17 | 7 | 3 | 33 |
58 | 24 | 28 | 3 | 3 | 55 |
272# | 96 | 107 | 45 | 36 (11.3%) | 282 (88.7%), |
P{GaWB}AB1/P{UAST-Ch1(KR)559} | |||||
49 | 17 | 18 | 10 | 4 | 45 |
21 | 9 | 7 | 3 | 2 | 19 |
20 | 4 | 8 | 8 | 0 | 20 |
18 | 5 | 9 | 4 | 0 | 18 |
37 | 9 | 13 | 11 | 4 | 33 |
16 | 3 | 8 | 4 | 1 | 15 |
25 | 12 | 7 | 3 | 3 | 22 |
21 | 11 | 6 | 3 | 1 | 20 |
38 | 19 | 11 | 5 | 3 | 35 |
19 | 6 | 9 | 1 | 3 | 16 |
264## | 95 | 96 | 52 | 21 (8.0%) | 243 (92.0%), |
Note. *p, probability that the ratio of pupae washed off to pupae that remained attached does not differ from that in the control line P{GaWB}AB1; **, the ratio of pupae washed off to pupae that remained attached does not differ between tubes (p = 1.00), therefore the data were pooled; #, the ratio of pupae washed off to pupae that remained attached does not differ between tubes (p = 0.18), therefore the data were pooled; ##, the ratio of pupae washed off to pupae that remained attached does not differ between tubes (p = 0.98), therefore the data were pooled.
According to Table 1, after 50 inversions, 88.7% of pupae with the genotype w; P{GaWB}AB1/P{UAST-Сhd1(wt), 92% of pupae with the genotype P{GaWB}AB1/P{UAST-Сhd1(wt)}, and only 5% of pupae with the genotype w; P{GaWB}AB1/+ were washed off. Therefore, we obtained qualitative differences in the attachment phenotype, indicating a nearly complete disruption of salivary gland secretion with increased expression of both the CHD1 protein and its inactive form in salivary gland cells.
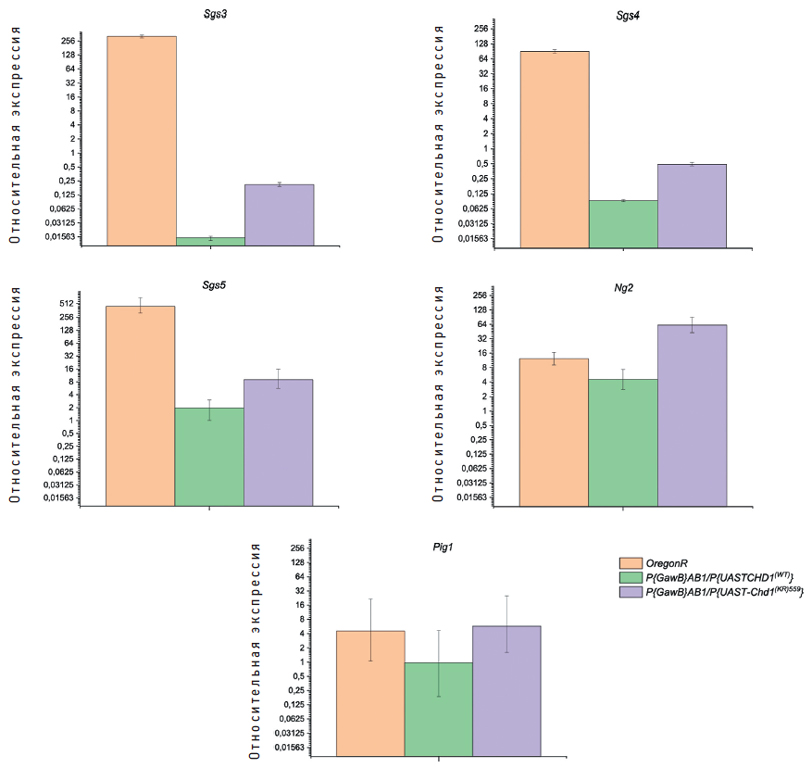
In the next stage, we assessed the expression of salivary gland secretion genes Sgs3 (Salivary gland secretion 3), Sgs4 (Salivary gland secretion 4), Sgs5 (Salivary gland secretion 5), ng2 (new glue 2), and Pig1 (Pre-intermoult gene 1), which are only expressed in salivary glands. The expression of all genes was assessed in salivary glands of larvae at the PS1-2 stage, when extremely active transcription of all three Sgs genes begins, but active transcription of ng2 and Pig1 ceases [33]. The U6 spliceosomal RNA (SnRNA: U6) gene, which is transcribed by RNA polymerase III, was used as a reference gene. Unlike genes transcribed by RNA polymerases I and II, the CHD1 factor had no effect on the expression of genes transcribed by polymerase III. The results of the analysis are shown in Fig. 1; the data are presented using a logarithmic scale.
In this stage, expression of both Chd1 transgenes results in a nearly complete absence of transcription of all studied genes encoding salivary gland secretion proteins (SGS3, SGS4, and SGS5). At the same time, the expression of a catalytically inactive form of the CHD1 protein (ng2) causes transcription of two other tissue-specific salivary gland genes to remain unchanged (Pig1) or even increase. Therefore, the suppression of transcription of the sgs genes is highly specific and does not result from a general suppression of transcription in salivary gland cells. This is further supported by the preservation of the virtually normal structure of salivary glands, except for the absence of secretion in their lumen, which is primarily composed of SGS proteins.
Fig. 1. Effect of increased production of constructs encoding normal (P{UAST-Сhd1(wt)) and catalytically inactive (P{UAST-Сhd1(KR)559}) forms of the CHD1 protein on the expression of tissue-specific genes of salivary glands in Drosophila. Relative expression and a 95% confidence interval are shown.
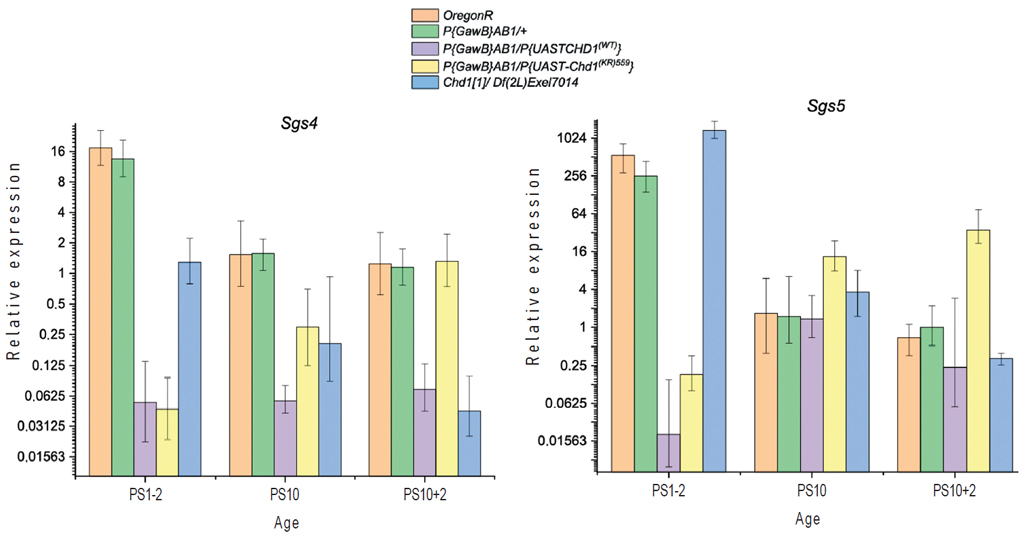
In the next stage, we analyzed changes in the amount of RNA transcribed from the Sgs4 and Sgs5 genes during development. In this experiment, RNA was isolated from whole larvae, because expression of both the studied genes and the GAL4 driver P{GaWB}AB1 occurs only in salivary glands, and separation from the fat body is difficult in larvae expressing Chd1 transgenes. The experiment used two controls: the wild-type Oregon-R line and P{GaWB}AB1/+ heterozygotes, and null mutants for the Chd1 gene (Fig. 2). The Act42A and RpL32 genes were used as reference genes. To assess changes in RNA levels during development, relative expression is shown in relation to the reference genes and the minimum relative expression during development in control species with the P{GaWB}AB1/+ genotype [34].
At the PS1-2 stage, Chd1 null mutants also had reduced transcription of Sgs4 but not Sgs5. Therefore, the effect of the catalytically inactive form of the CHD1 protein on the expression of Sgs genes cannot be explained by its lack of activity and is comparable to the effect of increased wild-type CHD1 protein production on the expression of salivary gland secretion genes. Over time, the relative expression of Sgs genes increases slightly with increased production of CHD1 (especially its inactive form), which can be attributed to a slow increase in their transcription as CHD1 protein levels in the cell rise. Therefore, CHD1 does not completely inhibit Sgs gene transcription as a result of increased recruitment to chromatin, interfering with RNA polymerase recruitment.
Fig. 2. Age-related changes in the expression of the salivary gland secretion genes Sgs4 and Sgs5 in Drosophila. Relative expression and a 95% confidence interval are shown.
DISCUSSION
The key finding of this work is that elevated CHD1 protein levels in salivary gland cells cause highly specific suppression of salivary gland secretion gene transcription, resulting in disruption of pupae attachment to the surface. This easily analyzed trait allows creating an experimental model for assessing the factors influencing the phenotype associated with an increase in CHD1 protein levels in Drosophila cells. In humans, mutations in the PTEN phosphatase cause the CHD1 protein to stabilize, resulting in an increase in CHD1 levels in the cell and malignant transformation of prostate cells. The identification of a highly specific phenotype associated with increased CHD1 production in salivary gland cells in Drosophila lays the groundwork for studying transcription regulation in a model organism, Drosophila, as a result of an increase in this protein levels. Such studies may shed light on both the mechanisms of action of the CHD1 protein and the mechanisms of hormone-dependent regulation of gene activity. Prostate cancer in humans is hormone-dependent [35]. Multiple transcriptional cofactors, including the pioneer factors FOXA1 and GATA2, strictly regulate hormone-induced gene expression via the androgen receptor (AR) [35]. The expression of salivary gland secretion genes depends on the steroid hormone ecdysone and is mediated by the ecdysone receptor EcR, the closest homologue of the androgen receptor [36]. The expression of the Sgs4 and Sgs3 genes is dependent on both the ecdysone receptor EcR and the transcription factor forkhead, a direct homologue of FOXA1 [36, 37]. Therefore, hormone-dependent regulation of gene activity in salivary glands of Drosophila is comparable to androgen-dependent transcription regulation in human prostate cells.
CONCLUSION
The proposed model system for assessing the genetic effects of increased CHD1 protein levels in Drosophila cells can be used to study the mechanisms of transcription regulation by the CHD1 protein and its disruption as a result of increased CHD1 protein production.
ADDITIONAL INFO
Author contribution: А.V. Toroshchina: sample collection and preparation, real-time PCR, data analysis, writing the text; A.Yu. Konev: research concept and design, data analysis, writing the text, literature review, final editing of the text. All authors have approved the publication version and also agreed to be responsible for all aspects of the each part of the work and ensured reliable consideration of the issues related to the accuracy and integrity.
Acknowledgments: We would like to thank Yulia A. Ilyina for teaching us the methods that we used in our work and for her significant contribution to achieving the results of this study.
Ethics approval: The research was conducted using the fruit fly Drosophila melanogaster. Ethical committee approval is not required.
Funding sources: The work was carried out within the framework of the state assignment of the Ministry of Science and Higher Education of the Russian Federation (topic № 1023031500033-1-1.6.7;1.6.4;1.6.8 Functional and structural organization of complex, multicomponent biological systems and their dynamics, No. 121060200127-6).
Disclosure of interests: The authors have no relationships, activities or interests for the last three years related with for-profit or not-for-profit third parties whose interests may be affected by the content of the article.
Statement of originality: The authors did not use previously published information (text, illustrations, data) to create this paper.
Data availability statement: data generated in this study are available in the article.
Generative AI: Generative AI technologies were not used for this article creation.
Provenance and peer-review: This work was submitted to the journal on its own initiative and reviewed according to the standard procedure. Two external reviewers, and a member of the editorial board participated in the review.
ДОПОЛНИТЕЛЬНАЯ ИНФОРМАЦИЯ
Вклад авторов. А.В. Торощина — сбор и подготовка образцов, проведение ПЦР в реальном времени, анализ полученных данных, написание текста; А.Ю. Конев — концепция и дизайн исследования, анализ полученных данных, написание текста, обзор литературы, окончательная редакция текста. Авторы одобрили версию для публикации, а также согласились нести ответственность за все аспекты работы, гарантируя надлежащее рассмотрение и решение вопросов, связанных с точностью и добросовестностью любой ее части.
Благодарности. Благодарим Юлию Александровну Ильину за обучение методам, которые мы использовали в работе, и за ее значительный вклад в достижение результатов данного исследования.
Этическая экспертиза. Исследования проведены с использованием плодовой мушки Drosophila melanogaster. Заключения этического комитета не требуется.
Источники финансирования. Работа выполнена в рамках государственного задания Министерства науки и высшего образования Российской Федерации (тема № 1023031500033-1-1.6.7;1.6.4;1.6.8 «Функциональная и структурная организация сложных, мультикомпонентных биологических систем и их динамика», регистрационный номер № 121060200127-6).
Раскрытие интересов. Авторы заявляют об отсутствии отношений, деятельности и интересов за последние три года, связанных с третьими лицами (коммерческими и некоммерческими), интересы которых могут быть затронуты содержанием статьи.
Оригинальность. При создании настоящей работы авторы не использовали ранее опубликованные сведения (текст, иллюстрации, данные).
Доступ к данным. Все данные, полученные в настоящем исследовании, доступны в статье.
Генеративный искусственный интеллект. При создании настоящей статьи технологии генеративного искусственного интеллекта не использовали.
Рассмотрение и рецензирование. Настоящая работа подана в журнал в инициативном порядке и рассмотрена по обычной процедуре. В рецензировании участвовали два внешних рецензента и член редакционной коллегии.
About the authors
Anastasia V. Toroshchina
Konstantinov Petersburg Nuclear Physics Institute of National Research Centre “Kurchatov Institute”
Author for correspondence.
Email: toroshchina_av@pnpi.nrcki.ru
ORCID iD: 0009-0002-5574-1108
Russian Federation, Gatchina
Aleksandr Yu. Konev
Konstantinov Petersburg Nuclear Physics Institute of National Research Centre “Kurchatov Institute”
Email: konev_ay@pnpi.nrcki.ru
ORCID iD: 0000-0003-0195-4044
SPIN-code: 8880-7387
Cand. Sci. (Biology)
Russian Federation, GatchinaReferences
- Clapier CR, Cairns BR. The biology of chromatin remodeling complexes. Annu Rev Biochem. 2009;78:273–304.doi: 10.1146/annurev.biochem.77.062706.153223
- Delmas V, Stokes DG, Perry RP. A mammalian DNA-binding protein that contains a chromodomain and an SNF2/SWI2-like helicase domain. PNAS USA. 1993;90(6):2414–2418. doi: 10.1073/pnas.90.6.2414
- Kelley DE, Stokes DG, Perry RP. Original articles CHD1 interacts with SSRP1 and depends on both its chromodomain and its ATPase/helicase-like domain for proper association with chromatin. Chromosoma. 1999;108:10–25. doi: 10.1007/s004120050347
- Trujillo JT, Long J, Aboelnour E, et al. CHD chromatin remodeling protein diversification yields novel clades and domains absent in classic model organisms. Genome Biol Evol. 2022;14(5):evac066.doi: 10.1093/gbe/evac066
- Lusser A, Urwin DL, Kadonaga JT. Distinct activities of CHD1 and ACF in ATP-dependent chromatin assembly. Nat Struct Mol Biol. 2005;12(2):160–166. doi: 10.1038/nsmb884
- Konev AY, Tribus M, Sung YP, et al. CHD1 motor protein is required for deposition of histone variant H3.3 into chromatin in vivo. Science. 2007;317(5841):1087–1090. doi: 10.1126/science.1145339
- Il’ina IuA, Konev AY. The role of aTp-dependent chromatin remodeling factors in chromatin assembly in vivo. Vavilov Journal of Genetics and Breeding. 2019;23(2):160–167. doi: 10.18699/VJ19.476 EDN: ODEJLD
- Schoberleitner I, Bauer I, Huang A, et al. CHD1 controls H3.3 incorporation in adult brain chromatin to maintain metabolic homeostasis and normal lifespan. Cell Rep. 2021;37(1):109769. doi: 10.1016/j.celrep.2021.109769
- Fyodorov DV, Blower MD, Karpen GH, et al. Acf1 confers unique activities to ACF/CHRAC and promotes the formation rather than disruption of chromatin in vivo. Genes Dev. 2004;18:170–183. doi: 10.1101/gad.1139604
- Flury V, Reverón-Gómez N, Alcaraz N, et al. Recycling of modified H2A-H2B provides short-term memory of chromatin states. Cell. 2023 Mar;186(5):1050–1065. doi: 10.1016/j.cell.2023.01.007
- Stokes DG, Tartof KD, Perry RP. CHD1 is concentrated in interbands and puffed regions of Drosophila polytene chromosomes. PNAS USA. 1996;93(14):7137–7142. doi: 10.1073/pnas.93.14.7137
- Krogan NJ, Kim M, Ahn SH, et al. RNA polymerase II elongation factors of saccharomyces cerevisiae: a targeted proteomics approach. Mol Cell Biol. 2002;22(20):6979–6992. doi: 10.1128/MCB.22.20.6979-6992.2002
- Simic R, Lindstrom DL, Tran HG. Chromatin remodeling protein Chd1 interacts with transcription elongation factors and localizes to transcribed genes. EMBO J. 2003;22(8):1846–1856. doi: 10.1093/emboj/cdg179
- Tai HH, Geisterfer M, Bell JC,, et al. CHD1 associates with NCoR and histone deacetylase as well as with RNA splicing proteins. Biochem Biophys Res Commun. 2003;308(1):170–176. doi: 10.1016/S0006-291X(03)01354-8
- Sims RJ III, Millhouse S, Chen C-F, et al. Recognition of Trimethylated Histone H3 lysine 4 facilitates the recruitment of transcription postinitiation factors and Pre-mRNA splicing. Mol Cell. 2007;28(4):665–676.doi: 10.1016/j.molcel.2007.11.010
- Lin JJ, Lehmann LW, Bonora G, et al. Mediator coordinates PIC assembly with recruitment of CHD1. Genes Dev. 2011;25(20):2198–2209. doi: 10.1101/gad.17554711
- Khorosjutina O, Wanrooij PH, Walfridsson J, et al. A chromatin-remodeling protein is a component of fission yeast mediator. J Biol Chem. 2010;285(39):29729–29737. doi: 10.1074/jbc.M110.153858
- Pointner J, Persson J, Prasad P, et al. CHD1 remodelers regulate nucleosome spacing in vitro and align nucleosomal arrays over gene coding regions in S. pombe. EMBO J. 2012;31(23):4388–4403.doi: 10.1038/emboj.2012.289
- Petesch SJ, Lis JT. Rapid, transcription-independent loss of nucleosomes over a large chromatin domain at Hsp70 loci. Cell. 2008;134(1):74–84. doi: 10.1016/j.cell.2008.05.029
- Ehrensberger AH, Kornberg RD. Isolation of an activator-dependent, promoter-specific chromatin remodeling factor. PNAS USA. 2011;108(25):10115–10120. doi: 10.1073/pnas.1101449108
- Radman-Livaja M, Quan TK, Valenzuela L, et al. A key role for Chd1 in histone H3 dynamics at the 3’ ends of long genes in yeast. PLoS Genet. 2012;8(7):e1002811. doi: 10.1371/journal.pgen.1002811
- Skene PJ, Hernandez AE, Groudine M, Henikoff S. The nucleosomal barrier to promoter escape by RNA polymerase II is overcome by the chromatin remodeler Chd1. Elife. 2014;3(3):2042. doi: 10.7554/eLife.02042
- Sebald J, Morettini S, Podhraski V, et al. CHD1 Contributes to Intestinal Resistance against Infection by P. aeruginosa in Drosophila melanogaster. PLoS One. 2012;7(8):e43144. doi: 10.1371/journal.pone.0043144
- Mazina MYu, Kovalenko EV, Derevyanko PK, et al. One signal stimulates different transcriptional activation mechanisms. Biochim Biophys Acta — Gene Regul Mech. 2018;1861(2):178–189. doi: 10.1016/j.bbagrm.2018.01.016
- Grasso CS, Wu Y-M, Robinson DR, et al. The mutational landscape of lethal castration-resistant prostate cancer. Nature. 2012;487(7406):239–243. doi: 10.1038/nature11125
- Huang S, Gulzar ZG, Salari K, et al. Recurrent deletion of CHD1 in prostate cancer with relevance to cell invasiveness. Oncogene. 2012;31(37):4164–4170. doi: 10.1038/onc.2011.590
- Liu W, Lindberg J, Sui G, et al. Identification of novel CHD1-associated collaborative alterations of genomic structure and functional assessment of CHD1 in prostate cancer. Oncogene. 2012;31(35):3939–3948.doi: 10.1038/onc.2011.554
- Burkhardt L, Fuchs S, Krohn A, et al. CHD1 Is a 5q21 tumor suppressor required for ERG rearrangement in prostate cancer. Cancer Res. 2013;73(9):2795–2805. doi: 10.1158/0008-5472.CAN-12-1342
- Zhao D, Lu X, Wang G, et al. Synthetic essentiality of chromatin remodeling factor CHD1 in PTEN deficient cancer. Nature. 2017;542(7642):484–488. doi: 10.1038/nature21357
- Zaks L. Statistical evaluation. Moscow: Statistics; 1976. 598 p.(In Russ.)
- Maroni C, Stamey SC. Use of blue food to select synchoronous, late third instar larvae. Dros Inf Serv. 1983;59:142–143.
- Pfaffl MW, Horgan GW, Dempfle L. Relative expression software tool (REST©) for group-wise comparison and statistical analysis of relative expression results in real-time PCR. Nucleic Acids Res. 2002;30(9):e36. doi: 10.1093/nar/30.9.e36
- Graveley BR, Brooks AN, Carlson JW, et al. The developmental transcriptome of Drosophila melanogaster. Nature. 2011;471(7339):473–479. doi: 10.1038/nature09715
- Neuman SD, Ihry RJ, Gruetzmacher KM, Bashirullah A. INO80-dependent regression of ecdysone-induced transcriptional responses regulates developmental timing in Drosophila. Dev Biol. 2014;387(2):229–239.doi: 10.1016/j.ydbio.2014.01.006
- Zhao JC, Fong K-W, Jin H-J, et al. FOXA1 acts upstream of GATA2 and AR in hormonal regulation of gene expression. Oncogene. 2016;35(33):4335–4344. doi: 10.1038/onc.2015.496
- Lehmann M, Wattler F, Korge G. Two new regulatory elements controlling the Drosophila Sgs-3 gene are potential ecdysone receptor and fork head binding sites. Mech Dev. 1997;62(1):15–27.doi: 10.1016/S0925-4773(96)00644-2
- Mach V, Ohno K, Kokubo H, Suzuki Y. The Drosophila fork head factor directly controls larval salivary gland-specific expression of the glue protein gene Sgs3. Nucleic Acids Res. 1996;24(12):2387–2394.doi: 10.1093/nar/24.12.2387
Supplementary files








