Role of biometric characteristics of the uterine junctional zone in fertility outcomes in patients with adenomyosis
- Authors: Orekhova E.K.1,2, Zhandarova O.A.3, Kogan I.Y.1
-
Affiliations:
- The Research Institute of Obstetrics, Gynecology, and Reproductology named after D.O. Ott
- EMS Family Clinic Ltd.
- The Mariinskaya Hospital
- Issue: Vol 70, No 3 (2021)
- Pages: 41-50
- Section: Original study articles
- Submitted: 12.04.2021
- Accepted: 25.06.2021
- Published: 16.08.2021
- URL: https://journals.eco-vector.com/jowd/article/view/65046
- DOI: https://doi.org/10.17816/JOWD65046
- ID: 65046
Cite item
Abstract
BACKGROUND: The uterine junctional zone is the inner part of the myometrium. Dysfunction of the zone may underlie the pathogenesis of adenomyosis and its clinical manifestations, while biometric characteristics of the zone are currently considered as promising early diagnostic criteria for this disease. Adenomyosis has traditionally been associated with parity and intrauterine interventions, primarily in older patients. However, modern imaging tools often allow diagnosing the disease in young patients with infertility and an unburdened gynecological history. It is assumed that the detection of changes in the structure and function of the uterine junctional zone in adenomyosis can be the basis for predicting fertility outcomes and complications of pregnancy, as well as for the development of promising therapeutic strategies at the pregravid stage.
AIM: The aim of this study was to assess the influence of biometric characteristics of the uterine junctional zone on pregnancy outcomes, depending on the parity and intrauterine interventions in patients with adenomyosis.
MATERIALS AND METHODS: This prospective study included 102 patients aged 22–39 years old with ultrasound features of adenomyosis who were going to conceive. The patients were divided into two groups: Group 1 (n = 58) consisted of nulliparous patients with no history of previous intrauterine interventions, and Group 2 (n = 44) comprised multipara women with a history of labor and / or intrauterine interventions. Using magnetic resonance imaging, we evaluated minimal, average and maximal junctional zone thicknesses, junctional zone deferential and a ratio of junctional zone thickness to myometrium thickness. Thresholds of biometric characteristics of the uterine junctional zone for adverse pregnancy outcomes were estimated.
RESULTS: The frequencies of pregnancy and retrochorial hematoma in patients of Groups 1 and 2 in the first trimester of pregnancy did not differ significantly and amounted to 43.1% and 38.6%, 13.8% and 22.7%, respectively, p > 0.05. Adverse pregnancy outcomes were diagnosed in 63.8% of patients in Group 1 and in 68.2% of patients in Group 2, p > 0.05. In Group 1, the frequency of retrochorial hematoma depended on the initial junctional zone deferential, as well as on the initial average and maximal junctional zone thicknesses, junctional zone deferentials and ratios of junctional zone thickness to myometrium thickness, which, with an adverse pregnancy outcome, were 1.7–2.5 times higher than those in patients with a favorable outcome, p > 0.05. In Group 2, adverse pregnancy outcomes were recorded with significantly higher values of average and maximal junctional zone thicknesses and junctional zone deferential. ROC curves were constructed using data of logistic regression analysis based on biometric characteristics of the uterine junctional zone to predict spontaneous abortion and infertility in patients with adenomyosis.
CONCLUSIONS: Fertility outcomes in patients with adenomyosis depend on a complex of biometric characteristics of the uterine junctional zone as determined by magnetic resonance imaging.
Full Text
BACKGROUND
The uterine junctional zone represents the inner part of the myometrium. Junctional zone dysfunction may contribute to the pathogenesis of adenomyosis and its clinical manifestations, and its biometric characteristics are currently considered as promising early diagnostic criteria for this disease. Adenomyosis has traditionally been associated with parity and intrauterine interventions, primarily in older patients. However, at present, modern imaging tools often enable the diagnosis of diseases in young patients with infertility and without a burdened gynecological history [1–5]. The mechanisms of adenomyosis-associated infertility are not fully understood. They may be associated with an impairment of the hormone-dependent peristaltic activity of the junctional zone [6, 7], an impaired endometrial decidualization, pathological implantation and invasion of trophoblasts, as well as inadequate remodeling of the spiral arteries of the uterus during pregnancy [8].
High-quality visualization of the junctional zone is possible by magnetic resonance imaging (MRI) [4–5, 8–11]. Most of the studies have focused on the maximum thickness of the junctional zone [10, 12–15]. Studies of other indicators of the junctional zone are sporadic. Moreover, a change in the biometric characteristics of the junctional zone can be a diagnostic sign of adenomyosis and can underlie the prognosis of the onset and clinical course of pregnancy [6, 10, 11, 16].
MATERIALS AND METHODS
We examined 102 patients who planned pregnancy. The inclusion criteria were patent fallopian tubes and the presence of two of the three signs of changes in the myometrium according to ultrasound examination (i.e., a relative increase in the thickness of one of the uterine walls; hypo-, hyper- or anechoic inclusions in the myometrium up to 5 mm in size; and lack of clear boundaries between the myo- and endometrium). The exclusion criteria were as follows: hypergonadotropic ovarian failure; submucous form of uterine fibroids, type 0–2 according to the International Federation of Gynecology and Obstetrics (FIGO, 2018), and diameter of the myomatous nodule in types 3–8 according to FIGO of ≥30 mm; and male factor of infertility, due to which intracytoplasmic sperm injection technology is required [17]. The patients were distributed into two groups: group 1 included patients without a history of intrauterine interventions and pregnancies (n = 58), and group 2 included patients with a history of childbirth and/or intrauterine interventions (n = 44). MRI of the uterus was performed on an Avanto apparatus (Siemens Healthineers AG, Germany) during phase 2 of the menstrual cycle (sequences were weighted by T2 and T2 with fat suppression). Five biometric characteristics of the junctional zone were assessed, namely, minimum thickness, maximum thickness, average thickness, symmetry coefficient (representing the difference between the maximum and minimum thickness), distribution coefficient of the maximum thickness of the junctional zone (the ratio between the maximum thickness of the junctional zone and the thickness of the entire myometrium — the sum of the thickness of the anterior and posterior walls of the uterus).
The study followed a prospective design. After 12 months of follow-up, the frequency of pregnancy, frequency of complications (retrochorial hematoma and spontaneous miscarriage) in the first trimester of pregnancy, and proportion of favorable reproductive outcomes (the onset of pregnancy that ended in term delivery) were determined.
Parametric and nonparametric statistics were used for the statistical processing of the results. The Mann–Whitney U-test was used to assess the relationship between quantitative and qualitative attributes. The probability of an unfavorable reproductive outcome was assessed using binary regression. The significance of the data obtained was accepted at p < 0.05.
RESULTS
In the analysis of the biometric parameters of the junctional zone, only the average and maximum thickness values of the junctional zone in group 2 were significantly higher than those in group 1 (Table 1).
Table 1. Biometric indicators of the junctional zone of the uterus in patients examined by groups
Indicator | Group 1 (n = 58) | Group 2 (n = 44) | U-test | p |
Minimum thickness of the junctional zone, mm | 3.0 [2.3; 3.6] | 4.3 [3.2; 5.3] | 657.5 | <0.001 |
Average thickness of the junctional zone, mm | 7.0 [4.6; 8.4] | 8.3 [6.6;10.1] | 847.5 | <0.01 |
Maximum thickness of the junctional zone, mm | 10.4 [6.3; 13.5] | 11.8 [9.4; 15.0] | 1111.5 | >0.05 |
Symmetry coefficient, mm | 6.8 [4.0; 10.0] | 7.0 [4.5; 9.6] | 1250 | >0.05 |
Distribution coefficient, % | 31.4 [22.4; 42.4] | 33.0 [26.8; 40.9] | 1159.5 | >0.05 |
The pregnancy rate in groups 1 and 2 were not significantly different at 43.1% and 38.6%, respectively (p > 0.05); the incidence of retrochorial hematoma was 13.8% and 22.7%, respectively (p > 0.05).
In group 1, the incidence of retrochorial hematoma formation was dependent on the coefficient of symmetry of the junctional zone. Thus, at the time of inclusion in the study, the initial coefficient of symmetry was 5.8 [4.0; 8.6] mm in patients whose first trimester of pregnancy was complicated by retrochorial hematoma, and it was 3.1 [2.5; 3.6] mm in patients with uncomplicated pregnancies (p < 0.05). In group 2, no significant relationship was found between the biometric parameters of the uterine junctional zone and the incidence of retrochorial hematoma formation (p > 0.05).
Spontaneous miscarriage was registered in both groups before 8 weeks of pregnancy, which occurred in 6.9% and 6.8% of the patients in groups 1 and 2, respectively (p < 0.05). In group 2, large average and maximum thickness values of the junctional zone, as well as the coefficient of symmetry, were recorded at inclusion in the study during pregnancy that resulted in spontaneous miscarriage than in pregnancy the ended childbirth (Table 2). In group 1, no significant relationship was revealed between the biometric indicators of the junctional zone and the incidence of spontaneous miscarriage (p > 0.05).
Table 2. Initial biometric indicators of the junctional zone in group 2 during pregnancy that ended in childbirth and spontaneous miscarriage
Indicator | Pregnancy ended in childbirth | Spontaneous miscarriage | U-test | p |
Minimum thickness of the junctional zone, mm | 3.54 [3.2; 5.05] | 3.7 [3.2; 7.5] | 12 | >0.05 |
Average thickness of the junctional zone, mm | 6.7 [4.6; 8.5] | 10.12 [8.56; 11.2] | 2 | <0.05 |
Maximum thickness of the junctional zone, mm | 9.12 [7.1; 11.0] | 15.0 [13.4; 17.0] | 1 | <0.05 |
Symmetry coefficient, mm | 5.13 [3.0; 6.0] | 9.68 [7.5; 13.7] | 2 | <0.05 |
Distribution coefficient, % | 29.6 [24.7; 40.1] | 40.9 [39.4; 50.9] | 4 | >0.05 |
The incidence of adverse reproductive outcomes (infertility/spontaneous miscarriage) was 63.8% in group 1 and 68.2% in group 2 (p > 0.05). In group 1, the initial indicators of the average and maximum thickness of the junctional zone, as well as the coefficients of symmetry and distribution with an unfavorable reproductive outcome, were 1.7–2.5 times higher than those in patients with a favorable outcome (p > 0.05). In group 2, an unfavorable reproductive outcome was recorded with significantly higher indicators of the average and maximum thickness of the junctional zone and the coefficient of symmetry (Table 3).
Table 3. Initial biometric indicators of the junctional zone in patients of the examined groups with different reproductive outcomes
Indicator | Outcome | U-test | p | |
Pregnancy ended in childbirth | infertility/spontaneous miscarriage | |||
Group 1 (n = 58) | ||||
Minimum thickness of the junctional zone, mm | 3.0 [2.17; 3.3] | 3.0 [2.4; 3.7] | 312.5 | >0.05 |
Average thickness of the junctional zone, mm | 4.6 [3.8; 5.6] | 8.0 [5.9; 8.7] | 117.5 | <0.001 |
Maximum thickness of the junctional zone, mm | 6.1 [5.4; 8.2] | 12.9 [9.4; 14.1] | 116.5 | <0.001 |
Symmetry coefficient, mm | 3.5 [2.5; 5.6] | 9.0 [6.4; 11.0] | 132 | <0.001 |
Distribution coefficient, % | 22.0 [17.3; 27.3] | 36.7 [30.0; 45.1] | 144 | <0.001 |
Group 2 (n = 44) | ||||
Minimum thickness of the junctional zone, mm | 3.6 [3.2; 5.0] | 4.6 [3.1; 6.0] | 164 | >0.05 |
Average thickness of the junctional zone, mm | 6.7 [6.0; 8.5] | 8.8 [6.9; 10.7] | 108 | <0.01 |
Maximum thickness of the junctional zone, mm | 9.6 [7.5; 11.0] | 12.7 [10.0; 16.6] | 102 | <0.01 |
Symmetry coefficient, mm | 5.1 [3.0; 6.5] | 7.8 [5.0; 10.4] | 119.5 | <0.05 |
Distribution coefficient, % | 29.5 [25.1; 37.0] | 35.14 [27.6; 44.3] | 141 | >0.05 |
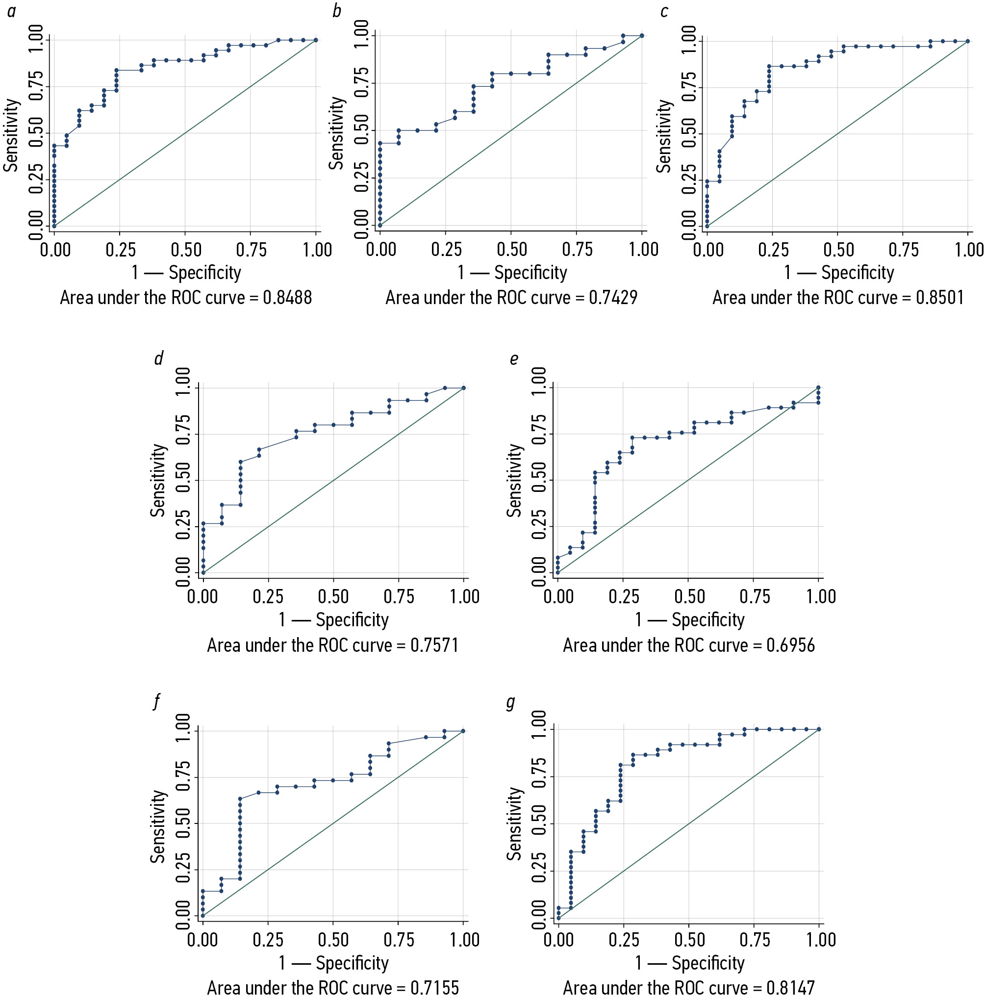
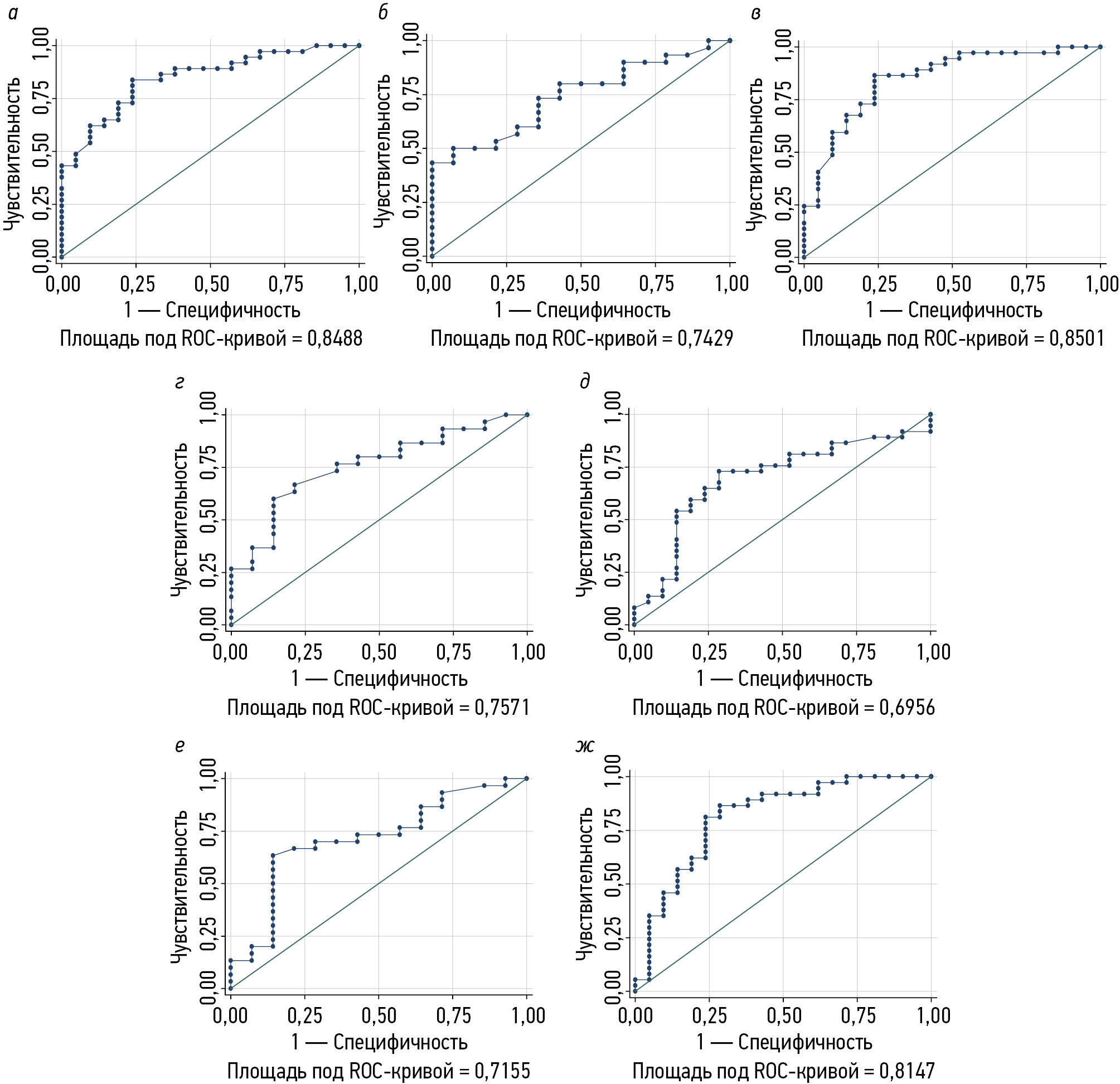
To predict the probability of an unfavorable reproductive outcome, taking into account the biometric indicators of the junctional zone, a logistic binary regression model was created. Per the data obtained, receiver operating characteristic (ROC) curves were plotted to predict an unfavorable reproductive outcome (Figure). For patients without a history of intrauterine interventions or childbirth, the biometric indicators of the junctional zone can be used to predict the probability of an adverse reproductive outcome, namely, average thickness (sensitivity 83.8%, specificity 66.7%), maximum thickness (sensitivity 84%, specificity 75%), symmetry coefficient (sensitivity 86.5%, specificity 33.3%), and distribution coefficient (sensitivity 86.5%, specificity 66.7%). For patients with a history of intrauterine interventions and/or childbirth, when predicting the probability of an unfavorable reproductive outcome, an indicator of the average thickness of the junctional zone (sensitivity 90%, specificity 35.7%), an indicator of the maximum thickness of the junctional zone (sensitivity 72%, specificity 50%), and the coefficient of symmetry (sensitivity 86.6%, specificity 28.6%) can be applied. The area under curve values indicate that the models had good quality.
Figure. Receiver operating characteristic curves for a model of prediction of an adverse reproductive outcome in patients with adenomyosis: a, group 1, taking into account the average thickness of the junctional zone; b, group 2, taking into account the indicator of the average thickness of the junctional zone; c, group 1, taking into account the indicator of the maximum thickness of the junctional zone; d, group 2, taking into account the indicator of the maximum thickness of the junctional zone; e, group 1, taking into account the coefficient of symmetry; f, group 2, taking into account the coefficient of symmetry; g, group 1, taking into account the distribution coefficient
The threshold values of the biometric parameters of the junctional zone were calculated to predict the probability of an unfavorable reproductive outcome of 60%–90%. Data are presented in Tables 4 and 5.
Table 4. Threshold values of the average and maximum thickness of the junctional zone for the probability of an unfavorable outcome in patients examined by groups
Probability, % | Threshold values of the average thickness of the junctional zone, mm | p | Threshold values of the maximum thickness of the junctional zone, mm | p | ||
group 1 | group 2 | group 1 | group 2 | |||
60 | 6.0 | 7.0 | <0.05 | 9.11 | 10.0 | <0.05 |
70 | 6.7 | 8.1 | <0.05 | 10.2 | 11.7 | <0.05 |
80 | 7.4 | 9.5 | <0.05 | 11.5 | 13.4 | <0.05 |
90 | 8.5 | 11.5 | <0.05 | 13.5 | 16.6 | <0.05 |
Table 5. Threshold values of the symmetry coefficient for female patients examined by groups and the distribution coefficient in group 1 concerning the probability of an unfavorable outcome
Probability, % | Threshold values of the symmetry coefficient, mm | p | Threshold values of the distribution coefficient (group 1), % | |
group 1 | group 2 | |||
60 | 7.6 | 5.3 | <0.05 | 29 |
70 | 9.3 | 7.2 | <0.05 | 30 |
80 | 11.5 | 9.5 | <0.05 | 38 |
90 | 15.3 | 13.2 | <0.05 | 45 |
DISCUSSION
Adenomyosis affects significantly the proper functioning of the reproductive system [18, 19]. The problem of coping with adenomyosis-associated infertility has not yet been solved, including the use of assisted reproductive technologies [20–22]. Many researchers associate structural changes in the junctional zone with the development and clinical manifestations of adenomyosis, including infertility. However, some authors distinguish junctional zone pathology as an independent disease [6, 10, 11, 16, 23].
The uterine junctional zone, which is the inner part of the myometrium, is characterized by certain architectonics of histological structure, vascularization, and hormone-dependent peristaltic activity. The uterine junctional zone was histologically determined by Werth and Grusdew in 1898 [24]. However, it was only in 1983 where its intravital visualization with the use of MRI became possible [9]. On MRI, the zone is represented by an area with reduced intensity and clear boundaries between the hyperintense endometrium and the external myometrium, which has an intermediate MR signal intensity [8]. The muscle fibers of the junctional zone are arranged concentrically; myocytes contain less water and have a wide nucleus and a large mass compared with the external myometrium [25]. Junctional zone thickness of ≥12 mm is regarded as a diagnostic sign of adenomyosis [10–12]. According to some reports, an increase in the ratio of the maximum thickness of the junctional zone to the thickness of the entire myometrium by more than 40% and an increase in the symmetry coefficient of ≥5 mm are more highly specific signs in the non-invasive diagnostics of adenomyosis [10, 16]. Most of these studies have been conducted in older female patients with histologically confirmed adenomyosis after hysterectomy. A few studies have focused on the relationship between changes in the junctional zone and the implementation of the reproductive function of women. Thus, Piver and Maubon reported an increase in the thickness of the junctional zone of ≥10 mm as a predictor of reproductive failures in cycles of assisted reproductive technologies [13, 14]. Maubon revealed a similar relationship with an increase in the average thickness of the junctional zone by ≥7 mm [14]. According to Lazzarini, in patients with a history of miscarriage, the maximum thickness of the junctional zone and the coefficient of symmetry are higher than those in patients with uncomplicated pregnancy [15].
Our data indicate that changes in the junctional zone are possible not only in patients with mechanical damage to the endometrium–myometrium interface during intrauterine interventions and childbirth but also in young patients without them. This confirms one of the theories of adenomyosis development, namely, the theory of “tissue damage and healing” by Leyendecker [6], which is based on the assumption that hyperperistalsis of the junctional zone can lead to autoinjury with subsequent activation of tissue regeneration processes, which in turn contributes to the penetration of the endometrium into the myometrium thickness. According to our data, the maximum thickness of the junctional zone, symmetry coefficient, and distribution coefficient do not differ significantly in patients with and without parity and intrauterine interventions. Thus, changes in the junctional zone occur regardless of the trigger factor of damage.
In patients without parity or intrauterine interventions, the relationship between the frequency of retrochorial hematoma and the value of the symmetry coefficient probably indicates functional incompetence of the junctional zone. In patients with a history of intrauterine interventions and childbirth, the absence of such a relationship, as well as higher biometric indicators of the junctional zone with spontaneous miscarriage, enable to consider organic damage to the uterine walls as a possible cause of a negative effect on the reproductive outcome. Impaired endometrial decidualization, trophoblast invasion, and embryo implantation in adenomyosis may be associated with increased activity of natural killers located along the spiral arteries of the junctional zone, as well as with initially (before pregnancy) altered angiogenesis in the endometrium and adjacent junctional zone due to the imbalance of proangiogenic factors (interleukin-6, interleukin-10, vascular endothelial growth factor, etc.) [26–28].
Our data indicate a high incidence of adverse reproductive outcomes (>63%) in patients with adenomyosis. In group 1, an unfavorable reproductive outcome was associated with an increase in the average and maximum thickness of the junctional zone and coefficients of symmetry and distribution compared with patients with a favorable reproductive outcome. In group 2, an increase in the maximum and average thickness, as well as the coefficient of symmetry with an unfavorable reproductive outcome, was revealed. The data obtained may be based on the impaired peristaltic activity of the uterine junctional zone, including those associated with impaired expression of receptors for oxytocin in it, which in turn leads to the impaired transport of gametes and embryos in the uterine cavity, and can prevent implantation [23–30].
Previous studies have enabled the use of biometric indicators of the uterine junctional zone only as a diagnostic criterion for adenomyosis. To our knowledge, we have determined for the first time the threshold values of biometric parameters of the junctional zone, which can be used in clinical practice as predictors of the reproductive function implementation with an assessment of probability of an adverse reproductive outcome in patients with adenomyosis with and without a history of intrauterine interventions and childbirth.
CONCLUSIONS
The implementation of reproductive function in female patients with adenomyosis is associated with the transformation of the junctional zone which biometric parameters can be determined by MRI and used to predict the onset and clinical course of pregnancy.
ADDITIONAL INFORMATION
Funding. The study had no external funding.
Conflict of interest. The authors declare no conflict of interest.
Author contributions. E.K. Orekhova and I.Yu. Kogan created the study concept and design and wrote the text; E.K. Orekhova and O.A. Zhandarova collected and processed the material; E.K. Orekhova performed statistical processing of the data; I.Yu. Kogan edited the text.
About the authors
Ekaterina K. Orekhova
The Research Institute of Obstetrics, Gynecology, and Reproductology named after D.O. Ott; EMS Family Clinic Ltd.
Author for correspondence.
Email: orekhovakatherine@gmail.com
Post-Graduate Student
Russian Federation, Saint-PetersburgOlga A. Zhandarova
The Mariinskaya Hospital
Email: olyazhandarova@bk.ru
Russian Federation, Saint-Petersburg
Igor Yu. Kogan
The Research Institute of Obstetrics, Gynecology, and Reproductology named after D.O. Ott
Email: ikogan@mail.ru
ORCID iD: 0000-0002-7351-6900
SPIN-code: 6572-6450
Scopus Author ID: 56895765600
MD, Dr. Sci. (Med.), Professor, Corresponding Member of the Russian Academy of Sciences
Russian Federation, Saint-PetersburgReferences
- Pechenikova VA, Akopyan RA, Kvetnoy IM. Pathogenetic mechanisms of internal genital endometriosis – adenomyosis development and progression. Journal of obstetrics and women’s diseases. 2015;64(6):51–57. (In Russ.). doi: 10.17816/JOWD64651-57
- Vercellini P, Consonni D, Dridi D, et al. Uterine adenomyosis and in vitro fertilization outcome: a systematic review and meta-analysis. Hum Reprod. 2014;29(5):964–977. doi: 10.1093/humrep/deu041
- Parazzini F, Vercellini P, Panazza S, et al. Risk factors for adenomyosis. Hum Reprod. 1997;12(6):1275–1279. doi: 10.1093/humrep/12.6.1275
- Kishi Y, Yabuta M, Taniguchi F. Who will benefit from uterus-sparing surgery in adenomyosis-associated subfertility? Fertil Steril. 2014;102(3):802–807.e1. doi: 10.1016/j.fertnstert.2014.05.028
- Chapron C, Tosti C, Marcellin L, et al. Relationship between the magnetic resonance imaging appearance of adenomyosis and endometriosis phenotypes. Hum Reprod. 2017;32(7):1393–1401. doi: 10.1093/humrep/dex088
- Leyendecker G, Bilgicyildirim A, Inacker M, et al. Adenomyosis and endometriosis. Re-visiting their association and further insights into the mechanisms of auto-traumatisation. An MRI study. Arch Gynecol Obstet. 2015;291(4):917–932. doi: 10.1007/s00404-014-3437-8
- Kunz G, Beil D, Deininger H, et al. The dynamics of rapid sperm transport through the female genital tract: evidence from vaginal sonography of uterine peristalsis and hysterosalpingoscintigraphy. Hum Reprod. 1996;11(3):627–632. doi: 10.1093/humrep/11.3.627
- Brosens I, Derwig I, Brosens J, et al. The enigmatic uterine junctional zone: the missing link between reproductive disorders and major obstetrical disorders? Hum Reprod. 2010;25(3):569–574. doi: 10.1093/humrep/dep474
- Hricak H, Alpers C, Crooks LE, Sheldon PE. Magnetic resonance imaging of the female pelvis: initial experience. Am J Roentgenol. 1983;141(6):1119–1128. doi: 10.2214/ajr.141.6.1119
- Bazot M, Cortez A, Darai E, et al. Ultrasonography compared with magnetic resonance imaging for the diagnosis of adenomyosis: correlation with histopathology. Hum Reprod. 2001;16(11):2427–2433. doi: 10.1093/humrep/16.11.2427
- Reinhold C, McCarthy S, Bret PM, et al. Diffuse adenomyosis: comparison of endovaginal US and MR imaging with histopathologic correlation. Radiology. 1996;199(1):151–158. doi: 10.1148/radiology.199.1.8633139
- Tosti C, Zupi E, Exacoustos C. Could the uterine junctional zone be used to identify early-stage endometriosis in women? Womens Health (Lond). 2014;10(3):225–227. doi: 10.2217/whe.14.20
- Piver P. Facteurs utérins limitant la prise en charge en AMP [Uterine factors limiting ART coverage]. J Gynecol Obstet Biol Reprod (Paris). 2005;34(7 Pt 2):5S30–5S33. doi: 10.1016/S0368-2315(05)82919-9
- Maubon A, Faury A, Kapella M, et al. Uterine junctional zone at magnetic resonance imaging: a predictor of in vitro fertilization implantation failure. J Obstet Gynaecol Res. 2010;36(3):611–618. doi: 10.1111/j.1447-0756.2010.01189.x
- Lazzarin N, Exacoustos C, Vaquero E, et al. Uterine junctional zone at three-dimensional transvaginal ultrasonography in patients with recurrent miscarriage: a new diagnostic tool? Eur J Obstet Gynecol Reprod Biol. 2014;174:128–132. doi: 10.1016/j.ejogrb.2013.12.014
- Dueholm M, Lundorf E, Hansen ES, et al. Magnetic resonance imaging and transvaginal ultrasonography for the diagnosis of adenomyosis. Fertil Steril. 2001;76(3):588–594. doi: 10.1016/s0015-0282(01)01962-8
- Munro MG, Critchley HOD, Fraser IS; FIGO Menstrual Disorders Committee. The two FIGO systems for normal and abnormal uterine bleeding symptoms and classification of causes of abnormal uterine bleeding in the reproductive years: 2018 revisions. Int J Gynaecol Obstet. 2018;143(3):393–408. doi: 10.1002/ijgo.12666
- Adamjan LV, Kulakov VI, Andreeva EN. Jendometriozy: rukovodstvo dlja vrachej. 2nd ed. Moscow: Medicina; 2006. (In Russ.)
- Harada T, Taniguchi F, Amano H, et al. Adverse obstetrical outcomes for women with endometriosis and adenomyosis: A large cohort of the Japan Environment and Children’s Study. PLoS One. 2019;14(8):e0220256. doi: 10.1371/journal.pone.0220256
- Smol’nikova VJu. Jekstrakorporal’noe oplodotvorenie i perenos jembrionov v polost’ matki v lechenie besplodija, obuslovlennogo genital’nym jendometriozom (klinicheskie i jembriologicheskie aspekty). [dissertation abstract]. Moscow; 2020. (In Russ.). [cited May 23 2021]. Available from: http://medical-diss.com/medicina/ekstrakorporalnoe-oplodotvorenie-i-perenos-embrionov-v-polost-matki-v-lechenii-besplodiya-obuslovlennogo-genitalnym-endom
- Asif S, Henderson I, Fenning NR. Adenomyosis and its effect on reproductive outcomes. J Women’s Health. 2014;3(6):207. doi: 10.4172/2167-0420.1000207
- Puente JM, Fabris A, Patel J, et al. Adenomyosis in infertile women: prevalence and the role of 3D ultrasound as a marker of severity of the disease. Reprod Biol Endocrinol. 2016;14(1):60. doi: 10.1186/s12958-016-0185-6
- Tocci A, Greco E, Ubaldi FM. Adenomyosis and ‘endometrial-subendometrial myometrium unit disruption disease’ are two different entities. Reprod Biomed Online. 2008;17(2):281–291. doi: 10.1016/s1472-6483(10)60207-6
- Werth R, Grusdew W. Untersuchungen über die Entwicklung und Morphologie der menschlichen Uterusmuskulatur. Arch Gynak. 1898;55:325–413. doi: 10.1007/BF01981003. [cited May 23 2021]. Available from: https://link.springer.com/article/10.1007/BF01981003
- Mehasseb MK, Bell SC, Brown L, et al. Phenotypic characterisation of the inner and outer myometrium in normal and adenomyotic uteri. Gynecol Obstet Invest. 2011;71(4):217–224. doi: 10.1159/000318205
- Fukui A, Funamizu A, Fukuhara R, Shibahara H. Expression of natural cytotoxicity receptors and cytokine production on endometrial natural killer cells in women with recurrent pregnancy loss or implantation failure, and the expression of natural cytotoxicity receptors on peripheral blood natural killer cells in pregnant women with a history of recurrent pregnancy loss. J Obstet Gynaecol Res. 2017;43(11):1678–1686. doi: 10.1111/jog.13448
- Yang JH, Chen MJ, Chen HF, et al. Decreased expression of killer cell inhibitory receptors on natural killer cells in eutopic endometrium in women with adenomyosis. Hum Reprod. 2004;19(9):1974–1978. doi: 10.1093/humrep/deh372
- Harmsen MJ, Wong CFC, Mijatovic V, et al. Role of angiogenesis in adenomyosis-associated abnormal uterine bleeding and subfertility: a systematic review. Hum Reprod Update. 2019;25(5):647–671. doi: 10.1093/humupd/dmz024
- Zhang Y, Yu P, Sun F, et al. Expression of oxytocin receptors in the uterine junctional zone in women with adenomyosis. Acta Obstet Gynecol Scand. 2015;94(4):412–418. doi: 10.1111/aogs.12595
- Huang M, Li X, Guo P, et al. The abnormal expression of oxytocin receptors in the uterine junctional zone in women with endometriosis. Reprod Biol Endocrinol. 2017;15(1):1. doi: 10.1186/s12958-016-0220-7
Supplementary files



