Features Central Blood Circulation at Women with Normal and Pathological Current of Pregnancy
- Authors: Kosheleva N.G.1, Buzurukova P.S.1, Vosheva T.P.1, Crawl T.M.1
-
Affiliations:
- Research Institute of Obstetrics, Gynecology and Reproductology named after D.O. Ott
- Issue: Vol 51, No 2 (2002)
- Pages: 38-42
- Section: Scientific activity
- Submitted: 14.04.2002
- Accepted: 14.12.2021
- Published: 14.04.2002
- URL: https://journals.eco-vector.com/jowd/article/view/90380
- DOI: https://doi.org/10.17816/JOWD90380
- ID: 90380
Cite item
Abstract
Features central blood circulation at 386 women are investigated: 6O healthy not pregnant women, 53 healthy pregnant, 147 women with threat of interruption of pregnancy and 126 with gestosis. Distribution on types of central blood circulation at healthy pregnant differed from healthy not pregnant. The increase of frequency eucinetic blood circulation in 2 times and demotion of frequency hypocinetic blood circulation in 3 times took place.
At development gestosis the increase of frequency hypocinetic blood circulation was observed: at hypostases pregnant — in 3 times, and at nephropathy — in 6 times in comparison with healthy pregnant.
At threat of interruption of pregnancy distribution pregnant on types is similar with not pregnant.
Full Text
В настоящее время установлено наличие у здоровых людей трех типов саморегуляции кровообращения: эукинетического, гипокинетического и гиперкинетического (ЭуКТК, ГоКТК и ГрКТК). Каждый из этих типов характеризуется определенным соотношением сердечного и сосудистого компонентов [2, 11]. Все три типа центральной гемодинамики (ЦГД) обеспечивают оптимальный уровень артериального давления примерно при равных затратах энергии на передвижение одного литра крови [2, 10, 11].
Найдены отличительные признаки нервно-гуморальной регуляции энергетического метаболизма, характерные только для ГрКТК или ГоКТК и показано, что с вариантом кровообращения связаны особенности капиллярнотканевой диффузии кислорода и ионного обмена в почках [15]. Было также показано, что типологические особенности ГД, характерные для исходного состояния человека, не изменяются ни с возрастом, ни с условиями существования [10, 13, 15]. Тип ГД, определенный у здоровых людей в условиях основного обмена, сохраняется и в условиях относительного покоя [15], а также при физической нагрузке, как динамической, так и статической [5, 6, 8].
В настоящее время оценка состояния сердечно-сосудистой системы с учетом исходного типа ГД широко используется в физиологии [10, 13, 15], в спортивной медицине [5, 6, 8] ив кардиологии [2, 4, 11]. В акушерской клинике исследования кровообращения с учетом типа гемодинамики немногочисленны [1, 3, 9, 12, 14], а вопрос о том, сохраняется ли исходный тип ГД при беременности, остается открытым.
Целью настоящей работы явилось изучение особенностей ЦГД при нормальном и патологическом течении беременности у женщин, относящихся к разным гемодинамическим типам.
Материалы и методы
Гемодинамика женщин была изучена методом тетераполярной реографии по Кубичеку на реоплетизмографе ПА9-01 и непрямым методом Фика на капнографе фирмы «Годарт». Под наблюдением находилось 386 женщин: 60 здоровых небеременных женщин (НБ),53 здоровых беременных (ЗБ),147 женщин с угрозой прерывания беременности (УПБ) и 126 — с гестозом. Возраст женщин был от 18 до 40 лет. Часть здоровых женщин обследовались до начала, на протяжении всей беременности и после родов, большинство — во 2-й половине беременности. Все исследования проводились в условиях покоя. Определяли следующие показатели центральной гемодинамики: систолическое (СД) и диастолическое давление (ДД), среднее гемодинамическое давление (СГД), общее и удельное сосудистое сопротивление (ОПСС и УПС), ударный и минутный объем крови (УО и МОК), отношение фактического МОК к должному (МОКф/МОКд), ударный и сердечный индекс (УИ и СИ), объемную скорость выброса (ОСВ), мощность левого желудочка (МЛЖ) и расход энергии на перемещение 1 л крови, по которому судили об экономичности работы сердца. Для всех групп обследованных женщин был определен тип кровообращения (гемодинамики) согласно принятой методике. Тип кровообращения считали эукинетическим при исходном значении СИ от 2,5 до 3,5 л/мин м2 и величины МОКф/ МОКд от 0,9 до 1,2, гипокинетическим — при СИ менее 2,5 л/ мин м2, а также МОКф/МОКд менее 0,9 и гиперкинетическим — при СИ более 3,5 л/мин м2 и МОКф/МОКд более 1,2.
Результаты и их обсуждение
Особенности ЦГД у небеременных женщин
Обследование 60-и здоровых небеременных женщин показало, что среди них встречаются представительницы всех 3-х типов гемодинамики: ЭуКТК был у 23 женщин (38%), ГоКТК -у 15 (25%), ГрКТК -у 22 (37%) (рис. 1). Такое распределение по типам гемодинамики несколько отличается от данных авторов, исследовавших ЦГД молодых мужчин [7] и обнаруживших, что ЭуКТК был у 34-56% лиц, ГоКТК -у 25-40%, ГрКТК -у 19-25%. Основное отличие наших данных от данных, полученных у мужчин, заключалось в том, что среди женщин было больше представительниц ГрКТК, чем среди мужчин, что, видимо,
связано с нейро-гормональным статусом тех и других.
Особенности ЦГД у женщин с физиологическим течением беременности
С наступлением беременности в организме женщин происходят значительные гормональные изменения, направленные на мобилизацию всех ее функциональных резервов, на адаптацию организма к беременности [6]. При этом наиболее значительные изменения наблюдаются со стороны сердечно-сосудистой системы, компенсаторные возможности которой при физиологически протекающей беременности позволяют приспосабливаться к меняющимся условиям и повышенной нагрузке.
Рис 1. Распределение по типам ЦГД у здоровых женщин и при патологическом течении беременности в III триместре
Распределение по типам ЦГД среди 53 здоровых беременных по сравнению с 60 небеременными того же возраста представлено на рис. 1. Анализ представленного материала показывает, что распределение по типам ЦГД среди здоровых беременных отличается от распределения по типам среди здоровых небеременных женщин. Видно, что среди ЗБ меньше женщин крайних типов — ГрКТК и ГоКТК, особенно резко снизилось число лиц с ГоКТК. Так, если ГоКТК у НБ встречался у каждой четвертой (25%), то среди здоровых беременных он встречался значительно реже — лишь у каждой тринадцатой (8%). О том, что женщины с ГоКТК редко встречаются среди здоровых беременных, говорят и данные В.Ф. Бандик с соавт. (1987) [3]. Авторы вообще не нашли среди здоровых беременных женщин с ГоКТК. По их данным, среди 88 женщин второй половины беременности были лишь представительницы ЭуКТК и ГрКТК. Ближе к нашим данным результаты Е.И. Анисимовой с соавт. (1986). Исследуя здоровых женщин в III триместре беременности (64 человека), они обнаружили у 78,1 % ЭуКТК, у 14,1 — ГрКТК, и лишь у 8,0% — ГоКТК [1]. Почти мало отличаются от полученных нами данных результаты А.Н. Стрижакова с соавт. (1998): ЭуКТК -у 59,2%, ГрКТК -у 25,8%, ГоКТК -у 15,1 % женщин [ 12].
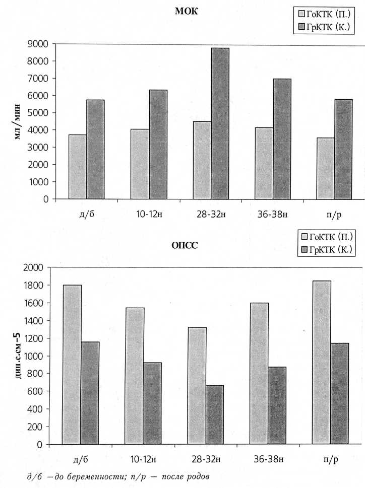
Основные типологические особенности ЦГД при беременности не изменяются. Это иллюстрируют данные здоровых женщин, относящихся к разным типам — ГрКТК и ГоКТК, представленные на рис. 2. Из рис. 2 видно, как изменяются основные показатели ЦГД — МОК и ОПСС на протяжении беременности. До наступления беременности показатели ЦГД у них значительно отличались друг от друга. Так, у исследуемой К. отношение МОКф/МОКд 1,25, а у пациентки П. — 0,88, при этом сердечный индекс у них был 3,7 и 2,2 соответственно. Следовательно, у пациентки К. исходно, до наступления беременности был ГрКТК, а у пациентки П. — ГоКТК. При этом по артериальному давлению они не отличались друг от друга: у К. — 110/70, у П. — 110/65 мм pm. ст. С наступлением беременности отношение МОКф/МОКд, а также СИ возрастают у обеих женщин, однако основные типологические различия между ними сохраняются на каждом этапе беременности и после родов: МОКф/МОКд и СИ у представительницы ГрКТК всегда больше, чем у представительницы ГоКТК, тогда как ОПСС, наоборот, было наибольшим при ГоКТК и наименьшим при ГрКТК. При этом МОКф/МОКд и СИ оставались в пределах верхней границы нормы для ГоКТК и ГрКТК соответственно.
Рис. 2. Особенности ЦГД при разных типах в динамике физиологически протекающей беременности
д/б —до беременности; п/р — после родов
Динамика изменений показателей ЦГД на протяжении всей беременности у представительниц разных типов была одинаковой: МОК с наступлением беременности возрастал до периода гемодинамического пика (28-32 недели), а затем несколько снижался к периоду родов, но и после родов оставался выше исходных цифр; ОПСС, наоборот, с наступлением беременности начинает снижаться. Это снижение достигает максимума на 28-32 неделях беременности. К 36-38 неделе ОПСС несколько возрастает и после родов приближается к исходным величинам.
Возможно, что уменьшение среди здоровых беременных числа лиц с ГрКТК и особенно с ГоКТК происходит за счет того, что такие осложнения беременности как гестоз, чаще развиваются именно у них. С целью подтверждения данного предположения изучено распределение по типам ЦГД среди женщин с осложненным течением беременности.
Особенности ЦГД женщин с патологическим течением беременности
Распределение по типам ЦГД среди женщин с осложненным течением беременности было иным, чем у беременных с физиологическим течением беременности, причем изменялась не только картина распределения по типам, но и усиливалась выраженность каждого типа. Так, ГрКТК характеризовался более высоким МОК и СИ, ЭуКТК и ГоКТК — более высоким ОПСС, по сравнению с этими показателями у здоровых беременных.
Особенности ЦГД у беременных с гестозом
На рис. 1 представлено распределение по типам ЦГД среди 114 больных гестозом. В зависимости от тяжести гестоза все больные были разделены на две группы: 1 — женщины с отеками беременных (84 человека) и 2 — беременные с нефропатией (30 человек).
Таблица. Распределение женщин по типам ЦГД при угрозе прерывания
Типы ЦГД | I триместр n=18 | II триместр n=81 | III триместр n=48 | Всего n=147 | ||||
n | % | n | % | n | % | n | % | |
Гр Т | 8 | 44,4±11,7 | 32 | 39,5±5,3 | 12 | 25±6,2 | 52 | 35,4±3,8 |
Эу Т | 6 | 33,4±11,0 | 29 | 35,8±5,2 | 24 | 50±7,0 | 59 | 40,1±4,0 |
Го Т | 4 | 22,2±10,9 | 20 | 24,7±4,8 | 12 | 25±6,2 | 36 | 24,5±3,5 |
Анализ представленного материала показывает, что распределение по типам зависит от тяжести гестоза. Так, если среди беременных с отеками встречались представительницы всех трех типов гемодинамики, то среди пациентов с нефропатией ГрКТК не встречался вовсе. По мере нарастания тяжести гестоза увеличивается удельный вес беременных с ГоКТК: если среди здоровых беременных он встречался в 8% случаев, при отеках — в 23%, то при нефропатии — почти у половины больных (43%).
Полученные нами данные делают вероятным высказанное выше предположение о том, что уменьшение среди здоровых в III триместре беременности более чем в три раза числа лиц с ГоКТК объясняется тем, что представительницы ГоКТК более склонны к развитию у них гестоза.
Увеличение частоты ГоКТК по сравнению с другими типами по мере нарастания тяжести гестоза отмечали и другие авторы [1, 9, 12, 14]. Так же как и мы, они выявляли ГрКТК только при гестозе легкой степени. У беременных с более тяжелыми формами гестоза ГрКТК отсутствовал. Авторы предположили, что при возрастании тяжести болезни ГрКТК переходит в ЭуКТК и ГоКТК. Мы же в своей работе не видели, чтобы по мере утяжеления состояния беременной один тип переходил в другой. Мы наблюдали лишь увеличение выраженности — при гестозе у представительниц ЭуКТК и ГоКТК исходно относительно высокое сосудистое сопротивление становилось еще больше, а МОК либо несколько уменьшался, либо оставался неизменным, либо возрастал, способствуя более быстрому или медленному росту АД.
У представительниц ГрКТК при отеках, наоборот, исходно высокий МОК становился еще больше, а ОПСС при этом либо несколько снижалось, либо оставалось неизменным (рис. 1). При этом АД у женщин с ГрКТК существенно не изменялось. Серьезное утяжеление состояния беременных, сопровождающееся подъемом АД, мы отмечали лишь у представительниц ГоКТК и ЭуКТК. У беременных с ГрКТК тяжелых форм гестоза не наблюдалось.
Изменение гемодинамического статуса при легких формах гестоза обеспечивалось участием в поддержании нормального АД и сердечного, и сосудистого компонентов ЦГД, однако ведущую роль у лиц с ГоКТК играло сосудистое сопротивление, а у лиц с ГрКТК — мощность сердца и величина сердечного выброса.
При отеках у беременных, относящихся к любому типу гемодинамики, АД практически не изменяется, т. к. при легких формах гестоза еще нормально функционирует аппарат, регулирующий сердечную деятельность и тонус сосудов. Поэтому изолированное повышение МОК (у беременных с ГрКТК) или ОПСС (у беременных с ГоКТК) не может вызвать повышения АД, ибо срабатывают механизмы компенсации, и повышение МОК приводит к компенсаторному снижению ОПСС, и наоборот, повышение ОПСС ведет к снижению МОК. При этом АД поддерживается на уровне АД здоровых беременных.
При нефропатии нарушается нервно-гуморальная регуляция аппарата кровообращения. При этом резерв компенсаторных возможностей поддержания артериального давления в пределах нормы снижен (или исчерпан) и повышение тонуса сосудов уже не может вызвать адекватного изменения МОК, что и приводит к повышению АД. Большая частота среди больных гестозом женщин с ГоКТК (по сравнению со здоровыми беременными) объясняется, видимо, тем, что у здоровых людей с этим типом гемодинамики в регуляции циркуляции активно участвуют почки [15].
Обенности гемодинамики у женщин с угрозой невынашивания беременности (УНБ)
Под нашим наблюдением находилось 147 беременных с угрозой невынашивания беременности (18 -в I,81 -во II и 48 -в III триместре беременности). Мы обратили внимание на тот факт, что распределение по типам гемодинамики зависело от срока беременности и причины невынашивания.
В таблице представлены данные о распределении беременных по типам гемодинамики в I, II и III триместрах. Как видно из таблицы, у женщин с угрозой прерывания беременности ГрКТК встречается чаще в I и II триместрах, чем в III триместре (р>0,05). ГоКТК встречается примерно с одинаковой частотой во всех 3-х триместрах.
На рис. 1 показано распределение беременных в III триместре по типам гемодинамики. Основное отличие — среди беременных с УПБ примерно в 3 раза больше представителей ГоКТК, чем среди здоровых беременных: ЭуКТК -60%, ГрКТК -32%, ГоКТК -8%.
- Картина распределения по типам гемодинамики беременных с УНБ близка к картине, наблюдающейся у здоровых небеременных женщин.
- Распределение по типам гемодинамики среди беременных с УНБ, видимо, зависело от причины невынашивания.
Таким образом, при наступлении беременности и на протяжении всего периода гестации у здоровых женщин имели место изменения гемодинамики, направленные на адаптацию организма матери к беременности. Динамика этих изменений была сходна у представительниц разных типов, однако основные типологические различия, обнаруженные до наступления беременности, сохранялись на каждом этапе беременности и после родов: УО и МОК у женщин с ГрКТК всегда были выше, а ОПСС ниже, чем у беременных с ГоКТК. Женщины с ЭуКТК занимали промежуточную позицию.
Среди женщин с патологическим течением беременности распределение по типам было иным, чем среди здоровых беременных. Среди беременных с отеками женщины с ГоКТК встречаются примерно в 3 раза чаще, а при нефропатии в 6 раз чаще, чем среди здоровых беременных. Женщин с ГрКТК среди больных нефропатией не было вовсе. Женщины с ГоКТК наиболее склонны к развитию у них гестоза, так как именно при этом типе кровообращения в регуляции циркуляции активно участвуют почки [15]. При нефропатии нарушается система ауторегуляции циркуляции, что и приводит к некомпенсированному повышению сосудистого сопротивления и артериального давления. При угрозе прерывания беременности распределение больных по типам гемодинамики сходно с показателями, полученными у небеременных женщин.
About the authors
N. G. Kosheleva
Research Institute of Obstetrics, Gynecology and Reproductology named after D.O. Ott
Author for correspondence.
Email: info@eco-vector.com
Russian Federation, Saint Petersburg
P. S. Buzurukova
Research Institute of Obstetrics, Gynecology and Reproductology named after D.O. Ott
Email: info@eco-vector.com
Russian Federation, Saint Petersburg
T. P. Vosheva
Research Institute of Obstetrics, Gynecology and Reproductology named after D.O. Ott
Email: info@eco-vector.com
Russian Federation, Saint Petersburg
T. M. Crawl
Research Institute of Obstetrics, Gynecology and Reproductology named after D.O. Ott
Email: info@eco-vector.com
Russian Federation, Saint Petersburg
References
Supplementary files




