A study of influence of progesterone on activity of Glycoprotein-P in vitro
- Authors: Erokhina P.D.1, Abalenikhina Y.V.1, Shchulkin A.V.1, Chernykh I.V.1, Popova N.M.1, Slepnev A.A.1, Yakusheva E.N.1
- 
							Affiliations: 
							- Ryazan State Medical University
 
- Issue: Vol 28, No 2 (2020)
- Pages: 135-142
- Section: Original study
- Submitted: 01.07.2020
- Published: 03.07.2020
- URL: https://journals.eco-vector.com/pavlovj/article/view/34901
- DOI: https://doi.org/10.23888/PAVLOVJ2020282135-142
- ID: 34901
Cite item
Abstract
Background. Glycoprotein-P (Pgp, АВСВ1) is a transporter protein participating in pharmacokinetics of medical drugs, and also in development of resistance of tumor cells to chemotherapy.
Aim. To study the influence of progesterone on the activity of Pgp in vitro on a cell model of human small intestinal epithelium.
Materials and Methods. The work was conducted on Caco-2 cells. The activity of Pgp was evaluated by transport of fexofenadine in a special transwell-system. Concentration of fexofenadine was analyzed by HPLC method. The amount of Pgp was determined by EIA method. Four series of experiments were conducted: control – cells preincubated with clean transport medium without addition of any substances; influence of rifampicin on the activity and synthesis of Pgp in the concentration 10 µmol/l in preincubation for 3 days (induction control); influence of progesterone on the activity of Pgp in concentrations 1, 10 and 100 µmol/l in preincubation for 30 min; influence of progesterone on the activity and synthesis of Pgp in concentrations 1, 10 and 100 µmol/l in preincubation for 3 days.
Results. Progesterone in the concentrations 1 and 10 µM in incubation with cells within 30 minutes did not show any reliable influence on the activity of Pgp, however, in concentration 100 µM it reduced the activity of the transporter protein.
In incubation of Caco-2 cells with progesterone in concentrations 1, 10 and 100 µM within 3 days the activity of Pgp remained unchanged. Progesterone in concentration 100 µM in incubation within 3 days significantly increased synthesis of Pgp in enterocytes by 114.3% as compared to control, and in other used concentrations (1 and 10 µM) it produced no reliable effect.
Conclusion. In in vitro experiments on Caco-2 cells progesterone in concentration 100 µM produces a direct inhibiting effect on the activity of Pgp; however, in incubation within 3 days it increases synthesis of the transporter protein, which cancels out its inhibitory activity.
Keywords
Full Text
Glycoprotein-P (Pgp, ABCB1) is a transporter protein expressed in the bilipid membrane of cells. Pgp protects organs and tissues against xenobiotics, which are its substrates, removing them from cells into the extracellular space and body fluids. For example, expressed in tumor cells, it forms their resistance to chemotherapy, in the intestinal enterocytes it prevents absorption of substances, in hepatocytes and epithelium of the renal tubules it excretes substances to the bile and urine, respectively, in the endothelial cells of the histohematic barriers prevents penetration of substances into the sequestrated organs [1].
It was shown that some substances can influence functioning of Pgp. Inductors (rifampicin) increase the activity of the transporter protein, while inhibitors (verapamil, quinidine) decrease it [2].
The regulatory effect of sex hormones on the functioning of Pgp has been found [3, 4]. In studying the effect of progesterone on the activity and synthesis of Pgp, contradictory results were obtained.
On the human ovarian carcinoma cell line (NCI-ADR-RES) containing a significant amount of progesterone receptors, it was found that the expression of the MDR1 gene increased after 8 hours of incubation with progesterone in concentration of 10-7 M. The effect of progesterone on the human placental carcinoma cell line (JARs) with low level of progesterone receptors did not lead to increased expression of the MDR1 gene. With this, the use of progesterone for 24 and 72 hours (in concentrations of more than 10-8 M) increased the expression of Pgp protein in NCI-ADR-RES and JAR cells depending on the dose. An increase in transporter expression was accompanied by an increase in its activity, which was evaluated by accumulation of Pgp substrates – saquinavir and paclitaxel – by the cells [5].
On the L-MDR1 cell line formed by transfection of the pig kidney line LLC-PK1 with the human MDR1 gene, and on the doxorubicin-resistant monocytic leukemia cell line of mice with increased expression of mdr1a /1b (P388 / dx), it was found that progesterone reduced Pgp activity in concentration of 13.3±3.2 μM on the L-MDR1 cell line and in concentration of 30.2±9.8 μM on the P388/dx cell line [6].
Analysis of the literature showed that practically no studies were conducted on cell lines of the main organs responsible for the pharmacokinetics of drugs (intestinal and renal epithelium, hepatocytes, endothelium of histohematic barriers).
Earlier, it was shown by us in in vivo experiments on rabbits that progesterone increases the activity and synthesis of Pgp in intestinal enterocytes [4].
The aim of this work was to study the effect of progesterone on Pgp activity in vitro on a cell model of human small intestinal epithelium.
Materials and Methods
Experiments were conducted in vitro on human Caco-2 cells received from Federal State Budgetary Institution of Science «Research and Scientific Center of the Russian Academy of Science» (FSBIS RSC RAS), Saint-Petersburg.
The Caco-2 cells were cultured at 37ºС and 5% СО2 concentration in Dulbecco’s modified essential medium (DMEM) containing glucose (4500 mg/l) (Sigma-Aldrich, Germany), L-glutamine (4mM) (Sigma-Aldrich, Germany), 15% bovine serum (Sigma-Aldrich, Germany), 100 Un/ml penicillin (Sigma-Aldrich, Germany) and 100 µg/ml of streptomycin. Upon achievement of 70-90% confluence, the cells were removed from flask by addition of trypsin-EDTA solution (0.25% trypsin and 0.2% EDTA, Sigma-Aldrich, Germany) and were inoculated into Transwell system to evaluate the activity of Pgp, or into 6-well plates to determine the influence of progesterone on synthesis of the transporter protein. The cells were cultured for 21 days when they spontaneously differentiated into cells similar to the intestinal epithelium [7].
Transwell system contains the apical (a) and bilateral (b) compartments. The bottom of the apical compartment is a semipermeable membrane on which cells were inoculated with 105/cm2 density (33 000 cells/well). In the study, a 12-well plate was used with a semipermeable membrane (12 mm Transwell® with 0.4 µm Pore Polycarbonate Membrane Insert, Sterile, Corning, USA). Upon achievement of transepithelial resistance more than 500 mOhm*cm2, transport experiments were conducted. The interval between transport experiments in Transwell system was not less than 7 days.
Functioning of Pgp was evaluated by transport of its marker substrate – fexofenadine (Sigma-Aldrich, Германия) in the Transwell system. For this, nutritive medium was replaced with transport medium – Hanks’ solution (Sigma-Aldrich, Германия) buffered with 25 мМ Hepes at pH 7.4 (Sigma-Aldrich, Германия) with 1% dimethylsulfoxide (PanEco, Russia). After that fexofenadine in the final concentration 150 µМ was added to the apical compartment [7], and in 1, 2, and 3 hours samples of transport medium (50 µl) were taken from the basolateral compartment to determine the concentration of marker substrate (a-b transport by passive diffusion opposite to functioning of Pgp).
Then in other Transwell systems transport of fexofenadine was evaluated from the basolateral to apical compartment (b-a transport by passive diffusion and transporter protein). For this, fexofenadine in the concentration 150 µM was added to the basolateral compartment, and in 1, 2, and 3 hours samples of transport medium (50 µl) were taken from the apical compartment to determine concentration of the marker substrate.
Transport of fexofenadine from compartment a to compartment b and back was evaluated by the formula [8]:
where Рарр – apparent permeability coefficient, dQ/dt – change in the concentration of the substrate in the receiver compartment during incubation time, A – surface area of semipermeable membrane of a well of Transwell system on which cells were cultured, C0 – initial concentration of the substrate in the donor compartment.
After that the ratio of apparent permeability coefficients was determined: ba to ab.
This parameter being an integral one, shows the total contribution of Pgp transporter protein to transfer of the marker substrate fexofenadine across the bilipid membrane.
The content of fexofenadine in the transport medium was determined by the method of high performance liquid chromatography with UV detection on Stayer chromatograph (Russia) using the method developed by us [2]. The obtained sample of transport medium (50 µl) containing fexofenadine, was diluted in 150 µl of mobile phase, and 100 µl of the resultant solution was introduced to the chromatograph.
To evaluate the influence of progesterone on the activity of Pgp in vitro, it was added to both compartments (apical and basolateral) irrespective of the direction of transport of fexofenadine.
To study the influence of progesterone on the synthesis of Pgp, cells were removed from the wells of 6-well plate by adding trypsin-EDTA solution (0.25% of trypsin and 0.2% of EDTA, Sigma-Aldrich, Germany). The obtained cells were lysed by three frost-defrost cycles. In the obtained lysate, the content of Pgp was determined by IEA method using Human Permeability glycoprotein ELISA kit (Blue gene, China). The amount of protein in the samples was determined using Pierce Coomassie Plus (Bradford) Assay Kit, (ThermoFisher, USA).
In the course of study, the following series of experiments were conducted;
1) Control – cells preincubated with pure transport medium without addition of any substances;
2) Influence of rifampicin on the activity and synthesis of Pgp in the concentration 10 µmol/l with preincubation within 3 days – control of induction;
3) Influence of progesterone on the activity of Pgp in the concentrations 1, 10 and 100 µmol/l with preincubation within 30 min;
4) Influence of progesterone on the activity and synthesis of Pgp in the concentrations 1, 10 and 100 µmol/l with preincubation within 3 days.
The obtained results were processed using Stat Soft Statistica 13.0 (USA, license JPZ811I521319AR25ACD-W) and Microsoft Excel for MAC ver. 16.24 (ID02984-001-000001). Statistical significance of differences was evaluated by dispersion analysis (ANOVA), pair-wise comparisons were performed using Newman-Keuls test. Statistically significant were differences at p<0.05.
Results and Discussion
Results of the experiment are presented in Table 1 and Figure 1.
Culturing of Caco-2 line cells with 10 µM of rifampicin within 3 days led to increase in the activity of Pgp manifested by reduction of Papp ab by 31.7% (p<0.05) and increase in the ratio of Papp ba to Papp ab by 93.2% (p<0.05).
Progesterone in the concentrations 1 and 10 µМ in incubation with Caco-2 cells within 30 minutes did not show any reliable influence on the activity of Pgp. At the same time, in the concentration 100 µM it decreased the ratio of Papp ba to Papp ab by 26.2% (p<0.05), which evidences reduction of the activity of the transporter protein.
In incubation of Caco-2 line cells with progesterone for 3 days in the concentration 1, 10 and 100 µM the studied parameters Papp ba, Papp ab and their ratio did not show any reliable changes in comparison with the control values.
In the next series of experiments, influence of progesterone and rifampicin on the synthesis of transporter protein Pgp in Caco-2 line cells was studied.
Rifampicin in concentration 10 μM in incubation for 3 days caused an increase in the amount of Pgp in enterocytes by 52.7% (p<0.05), which confirms the correctness of the experiment, because rifampicin is a classic inducer of the transporter protein, increasing its activity due to increased synthesis [2].
Table 1 Influence of Progesterone on Transport of Fexofenadine across Bilipid Membrane of Caco-2 Cells (M±SD, ´10-6 cm/sec)
| 
 | Papp ba | Papp ab | Papp ba/ Papp ab | 
| Control, n=5 | 2.32±0.66 | 0.82±0.15 | 2.79±0.36 | 
| Rifampicin 10 µМ 3 days, n=3 | 2.9±0.31 | 0.56±0.09* | 5.39±1.24* | 
| Progesterone 1 µМ 30 мин, n=3 | 1.96±0.18 | 0.72±0.17 | 2.83±0.76 | 
| Progesterone 10 µМ 30 мин, n=3 | 2.4±0.24 | 0.89±0.25 | 2.93±1.23 | 
| Progesterone 100 µМ 30 min, n=3 | 2.03±0.42 | 0.99±0.19 | 2.06±0.17* | 
| Progesterone 1 µМ 3 days n=3 | 1.95±0.46 | 0.63±0.31 | 3.36±0.83 | 
| Progesterone 10 µМ 3 days, n=3 | 2.13±0.18 | 0.71±0.15 | 3.1±0.71 | 
| Progesterone 100 µМ 3 days, n=3 | 2.32±0.42 | 0.76±0.66 | 3.1±0.84 | 
Note: * p<0.05 – statistically significant differences in comparison with control parameters
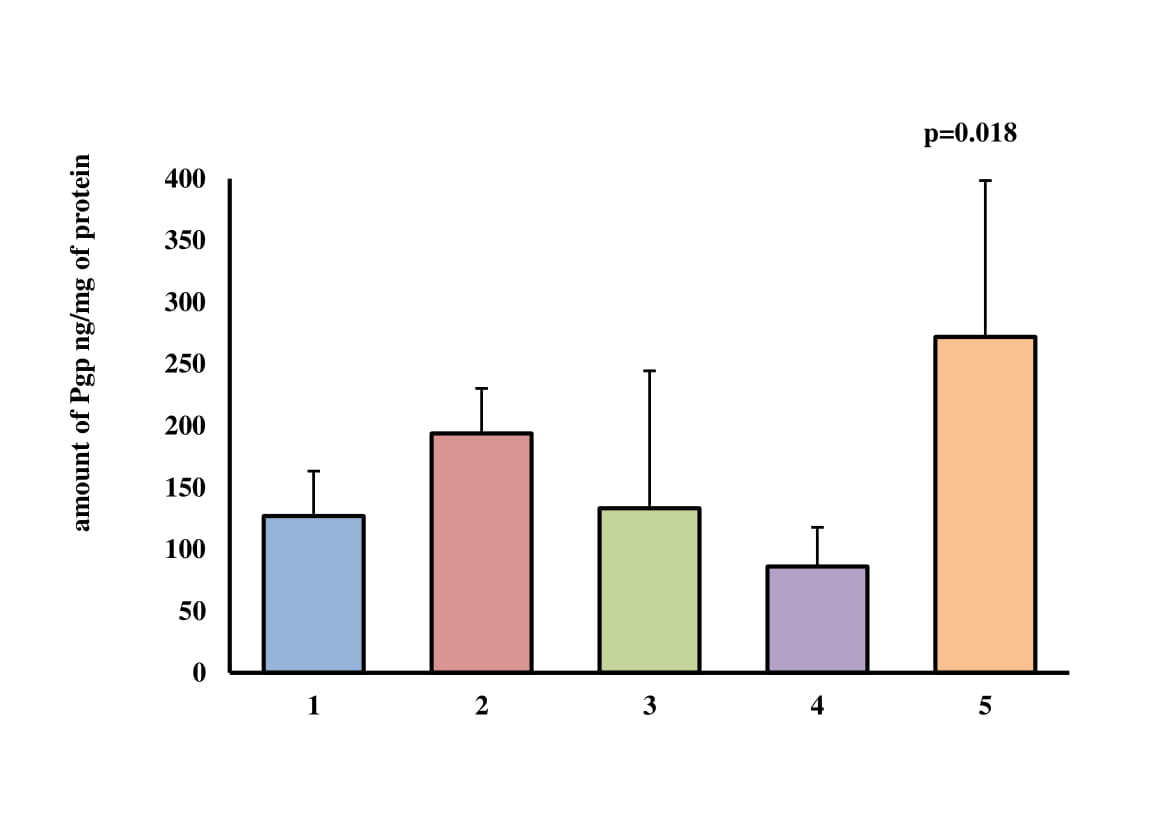
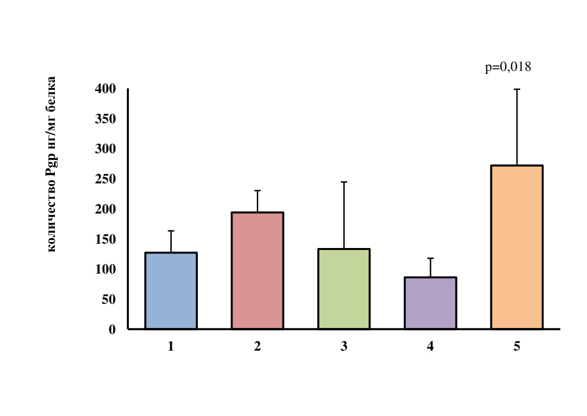
Fig. 1. The amount of Pgp in Caco-2 line cells on exposure to progesterone (M±SD, ng/mg of protein)
Note: 1 – control (n=7), 2 – rifampicin 10 µM, 3 days (n=4), 3 – progesterone 1 µM, 3 days (n=3), 4 – progesterone10 µM, 3 days (n=3), 5 – progesterone 100 µM, 3 days (n=3)
Progesterone in concentration 100 μM in incubation for 3 days increased the synthesis of Pgp in enterocytes by 114.3% (p=0.018) compared with the control parameters, but did not show a reliable effect in other concentrations (1 and 10 μM) (Figure 1).
The results show that progesterone is a direct inhibitor of Pgp, that is, it can suppress its activity by direct interaction with its molecule, which was found in experiments with incubation of the hormone in concentration of 100 μM with Caco-2 cells within 30 minutes.
At the same time, in prolonged incubation (3 days) progesterone increases synthesis of the transporter protein in cell culture. Here, the activity of Pgp does not reliably differ from the control parameters, which is probably due to direct inhibition of Pgp molecule by the hormone, with probable compensatory activation of the synthesis of the transporter.
The direct inhibitory effect of progesterone on the activity of Pgp and at the same time its ability to increase the synthesis of the transporter protein probably underlie the contradictory results described in the literature.
The mechanisms for increasing Pgp synthesis under the influence of progesterone can be associated with the influence on the expression of MDR1 gene encoding the transporter protein, in the interaction with specific progesterone receptors, or with transcription factors, for example, pregnan-X receptor (PXR) or constitutive androstane receptor (CAR) [5, 9].
Progesterone receptors in the Caco-2 cells have not been described, although their expression has been found in the human intestine [10].
Thus, the mechanism of activation of Pgp synthesis under the influence of progesterone requires further study and clarification.
Conclusion
Progesterone in in vitro experiment on Caco-2 cells in concentration of 100 μM produces a direct inhibitory effect on Pgp activity, however, when incubated for 3 days, it increases the synthesis of the transporter protein, which neutralizes its inhibitory activity. The direct inhibitory effect of progesterone on Pgp activity in enterocytes is probably accompanied by compensatory activation of its synthesis.
About the authors
Pelageya D. Erokhina
Ryazan State Medical University
														Email: p34-66@yandex.ru
				                	ORCID iD: 0000-0003-4802-5656
				                																			                								
Student
Russian Federation, RyazanYulia V. Abalenikhina
Ryazan State Medical University
														Email: p34-66@yandex.ru
				                	ORCID iD: 0000-0003-0427-0967
				                	SPIN-code: 4496-9027
														ResearcherId: L-8965-2018
				                								
PhD in Biological Sciences, Assistant Professor of the Department of Biological Chemistry
Russian Federation, RyazanAlexey V. Shchulkin
Ryazan State Medical University
														Email: p34-66@yandex.ru
				                	ORCID iD: 0000-0003-1688-0017
				                	SPIN-code: 2754-1702
														ResearcherId: N-9143-2016
				                								
MD, PhD, Assistant Professor of the Department of Pharmacology with a Course of Pharmacy of Continuing Professional Education Faculty
Russian Federation, RyazanIvan V. Chernykh
Ryazan State Medical University
														Email: p34-66@yandex.ru
				                	ORCID iD: 0000-0002-5618-7607
				                	SPIN-code: 5238-6165
														ResearcherId: R-1389-2017
				                								
PhD in Biological Sciences, Head of the Department of Pharmaceutical Chemistry
Russian Federation, RyazanNatalia M. Popova
Ryazan State Medical University
							Author for correspondence.
							Email: p34-66@yandex.ru
				                	ORCID iD: 0000-0002-5166-8372
				                	SPIN-code: 7553-9852
														ResearcherId: B-1130-2016
				                								
MD, PhD, Assistant Professor of the Department of Pharmacology with a Course of Pharmacy of Continuing Professional Education Faculty
Russian Federation, RyazanAlexandr A. Slepnev
Ryazan State Medical University
														Email: p34-66@yandex.ru
				                	ORCID iD: 0000-0003-0696-6554
				                																			                								
PhD in Biological Sciences, Assistant Professor of the Department of Pharmacology with a Course of Pharmacy of Continuing Professional Education Faculty
Russian Federation, RyazanElena N. Yakusheva
Ryazan State Medical University
														Email: p34-66@yandex.ru
				                	ORCID iD: 0000-0001-6887-4888
				                	SPIN-code: 2865-3080
														ResearcherId: T-6343-2017
				                								
MD, PhD, Professor, Head of the Department of Pharmacology with a Course of Pharmacy of Continuing Professional Education Faculty
Russian Federation, RyazanReferences
- Yakusheva EN, Shulkin AV, Popova NM, et al. Structure, functions, of P-glycoprotein and its role in rational pharmacotherapy. Reviews on Clinical Pharmacology and Drug Therapy. 2014;(2):3-11. (In Russ).
- Yakusheva EN, Chernykh IV, Shulkin AV, et al. Methods of identification of drugs as P-glycoprotein substrates. I.P. Pavlov Russian Medical Biological Herald. 2015;(3):49-53. (In Russ).
- Gatsanoga MV, Chernykh IV, Shchulkin AV, et al. The method of assessment of drugs belonging to the substrates of P-glycoprotein on female rabbits. Nauka Molodykh (Eruditio Juvenium). 2016;(3):5-10. (In Russ).
- Shchulkin AV, Chernykh IV, Yakusheva EN, et al. Influence of progesterone on P-glycoprotein functional activity in experiment. Khimiko-Farmatsevticheskii Zhurnal. 2018;52(7):3-8. (In Russ). doi: 10.30906/0023-1134-2018-52-7-3-8
- Coles LD, Lee IJ, Voulalas PJ, et al. Estradiol and progesterone-mediated regulation of P-gp in P-gp overexpressing cells (NCI-ADR-RES) and placental cells (JAR). Molecular Pharmaceutics. 2009;6(6): 1816-25. doi: 10.1021/mp900077q
- Fröhlich M, Albermann N, Sauer A, et al. In vitro and ex vivo evidence for modulation of P-glycoprotein activity by progestins. Biochemical Pharmacology. 2004;68(12):2409-16. doi: 10.1016/j.bcp.2004.08.026
- Petri N, Tannergren C, Rungstad D, et al. Transport characteristics of fexofenadine in the Caco-2 cell model. Pharmaceutical Research. 2004;21(8):1398-404. doi: 10.1023/b:pham.0000036913.90332.b1
- Elsby R, Surry DD., Smith VN, et al. Validation and application of Caco-2 assays for the in vitro evaluation of development candidate drugs as substrates or inhibitors of P-glycoprotein to support regulatory submissions. Xenobiotica. 2008;38(7-8):1140-64. doi: 10.1080/00498250802050880
- Kliewer SA, Moore JT, Wade L. An orphan nuclear receptor activated by pregnanes defines a novel steroid signaling pathway. Cell. 1998;92(1):73-82. doi: 10.1016/s0092-8674(00)80900-9
- Watanabe K, Jinriki T, Sato J Effects of progesterone and norethisterone on cephalexin transport and peptide transporter PEPT1 expression in human intestinal cell line Caco-2. Biological & Pharmaceutical Bulletin. 2006;29(1):90-5. doi: 10.1248/bpb.29.90
Supplementary files
 
				
			 
					 
						 
						 
									
 
  
  
  Email this article
			Email this article 






