Диагностическое значение метода объемной капнографии в обследовании пациентов с бронхиальной астмой
- Авторы: Субботин С.В.1
-
Учреждения:
- ФГБОУ ВО Рязанский государственный медицинский университет им. акад. И.П. Павлова Минздрава России
- Выпуск: Том 26, № 3 (2018)
- Страницы: 388-395
- Раздел: Оригинальные исследования
- Статья получена: 22.11.2017
- Статья опубликована: 09.10.2018
- URL: https://journals.eco-vector.com/pavlovj/article/view/7209
- DOI: https://doi.org/10.23888/PAVLOVJ2018263388-395
- ID: 7209
Цитировать
Аннотация
Цель. Изучить диагностическое значение объемной капнографии в обследовании пациентов с тяжелым и среднетяжелым течением бронхиальной астмы (БА).
Материалы и методы. Обследован 171 пациент с БА, из них 43 – с БА тяжелого течения и 45 – средней степени тяжести. Контрольная группа – 83 относительно здоровых добровольца. У всех обследуемых наряду с клиническим осмотром определяли показатели спирометрии и объемной капнографии с помощью ультразвукового компьютерного спирографа SpiroScout (Ganshorn, Германия), оснащенного функцией объемной капнографии.
Результаты. При проведении объемной капнографии у пациентов c БА в отличие от контрольной группой обнаружились следующие изменения: увеличение угла наклона фазы III (отражает неоднородность вентиляции и перфузии легочной периферии вследствие патологии малых дыхательных путей) и индекса эмфиземы (характеризует легочную гиперинфляцию). Различия с контрольной группой были статистически значимы и для пациентов с тяжелой БА, и для пациентов со средней тяжестью БА. По результатам обследования здоровых лиц рассчитаны нормальные значения для угла наклона фазы III (<0,31 г/моль*л) и индекса эмфиземы (<43). Изучалась диагностическая чувствительность и специфичность объемной капнографии с последующим построением ROC-кривых и расчетом AUC для угла наклона фазы III и индекса эмфиземы. Установлено, что наибольшей информативностью при БА обладают показатели специфичности диагностического теста (угол наклона фазы III – 90,32%, индекс эмфиземы – 96,77%). Последующее построение ROC-кривых выявило, что величина AUC для угла наклона фазы III и индекса эмфиземы выше при БА тяжелого течения по сравнению с БА среднетяжелого течения (0,74 и 0,86, соответственно).
Заключение. Полученные данные демонстрируют значимость метода объемной капнографии в функциональной диагностике БА.
Ключевые слова
Полный текст
В настоящее время наблюдается устойчивая тенденция к увеличению числа пациентов с бронхиальной астмой (БА) по всему миру, в том числе в Российской Федерации [1, 2], что диктует необходимость совершенствования процесса диагностики и лечения данного заболевания. Основной причиной развития клинических симптомов при БА является бронхиальная обструкция, ведущая к дыхательной дисфункции. «Золотым стандартом» диагностики вентиляторных нарушений при бронхообструктивном синдроме признана спирометрия [1]. Однако, данная методика имеет ряд ограничений, в т.ч. трудности при выполнении форсированных дыхательных маневров, особенно у пациентов с тяжелой БА, что приводит к невозможности правильной интерпретации полученных результатов исследования [3, 4]. Спирометрия не позволяет определить выраженность легочной гиперинфляции и состояние малых дыхательных путей (МДП), которые по современным представлениям занимают существенное место в патогенезе БА [5-7]. Данные обстоятельства привели к поиску новых инструментов оценки легочной функции, которые могли бы стать альтернативой спирометрии в ряде клинических ситуаций. В данном аспекте особый интерес представляет метод объемной капнографии, не требующий выполнения форсированных дыхательных маневров и отражающий изменения МДП и наличие легочной гиперинфляции у пациентов с БА.
Объемная капнография регистрирует паттерн элиминации СО2 выдыхаемого воздуха по отношению к дыхательному объему (в отличие от традиционной капнографии, оценивающей зависимость выделения СО2 от времени) [8, 9]. Графическим отображением метода является объемная капнограмма (рис. 1), построение которой необходимо для дальнейшего расчета ряда показателей: мертвое пространство, наклоны фаз I, II и III, индекс эмфиземы и др. [10].
Рис. 1 – структура объемной капнограммы: FCO2 – фракционная концентрация СО2 в выдыхаемом воздухе; VTeff – эффективный дыхательный объем; I – фаза I; II – фаза II; III – фаза III; 1 – объем мертвого пространства; 2 – переход фазы I в фазу II; 3 – наклон фазы II; 4 – угол альфа (переход фазы II в фазу III); 5 – наклон фазы III; 6 – конец выдоха; 7 – выделенный объем. Область между кривыми представляет собой объем выделенного СО2 [10]
В структуре кривой выделяют 3 фазы:
Фаза I характеризует CO2 анатомического мертвого пространства, то есть газ верхних дыхательных путей, которое содержит небольшое его количество (как правило, приравнивается к 0) и используется в реанимационной практике для расчета объема мертвого пространства дыхательного контура [11].
Фаза II (dMM/dV2) иллюстрирует быстрый рост концентрации СO2 за счет присоединения газа из альвеол, и является основной характеристикой для расчета мертвого пространства. Уменьшение dMM/dV2 и, следовательно, снижение объема мертвого пространства, наблюдается при бронхобструкции [10].
Фаза III (dMM/dV3, альвеолярная фаза, альвеолярное плато) представлена альвеолярным CO2 и косвенно отражает изменения вентиляции и перфузии легочной периферии (МДП) [12].
Особым расчетным показателем объемной капнографии является индекс эмфиземы (Vm25-50/VTin-s) – наклон линии регрессии индекса смешанного воздуха, содержащего от 25 до 50% максимальной концентрации СО2. С помощью индекса эмфиземы возможно косвенно оценить выраженность гиперинфляции легких [13].
Цель настоящего исследования – изучение диагностического значения объемной капнографии у пациентов с тяжелым и среднетяжелым течением БА.
Материалы и методы
Исследование проводилось в 2015-2017 гг. на кафедре терапии и семейной медицины ФДПО ВО РязГМУ Минздрава России. Работа одобрена Локальным этическим комитетом ФДПО ВО РязГМУ Минздрава России и соответствует требованиям Надлежащей Клинической Практики (Good Clinical Practice, GCP) и Хельсинской декларации Всемирной Медицинской Ассоциации «Этические принципы проведения медицинских исследований с участием людей в качестве субъектов исследования».
В исследование было включено 88 пациентов с тяжелым (n=43) и среднетяжелым течением (n=45) БА старше 18 лет. Диагноз БА установлен согласно требованиям Глобальной стратегии лечения и профилактики бронхиальной астмы [3]. В группу сравнения вошли 83 здоровых некурящих добровольца старше 18 лет без наличия БА в анамнезе. Группы были сопоставимы по полу и возрасту. Всеми обследуемыми было подписано добровольное информированное согласие. Исключались пациенты с заболеваниями и состояниями, способными оказать значимое влияние на функцию дыхательной системы и исследуемые показатели.
Для регистрации данных объемной капнографии и спирографии использовался ультразвуковой компьютерный спирограф SpiroScout (Ganshorn, Германия), оснащенный функцией объемной капнографии (рис. 2). Спирометрия была выполнена в соответствии со стандартами ATS/ERS [4].
Рис. 2. Спирограф Spiroscout, оснащенный функцией объемной капнографии (Ganshorn, Германия)
Статистическая обработка полученных результатов выполнялась с использованием программного обеспечения Micro-soft Excel 2013, StatSoft Statistica, версия 13 (США). Оценка распределения признаков производилась с использованием критерия Шапиро-Уилка. Учитывая отличное от нормального распределение исследуемых признаков, данные представлены в виде Me [Q25; Q75], где Me – медиана, а Q25 и Q75 – нижний и верхний квартили. Нормальные показатели объемной капнографии определялись в группе контроля процентильным методом при условии нормального распределения признака. При этом границами нормы считался интервал измерений, включающий 2 квадратических отклонения выше и ниже среднего значения, т.е. 95% всех измерений.
Изучалась зависимость количества верно классифицированных положительных примеров от количества неверно классифицированных отрицательных примеров. Диагностическая чувствительность и специфичность теста определялись путем построения ROC-кривых с последующим расчетом AUC (Area Under ROC-Curve). При AUC=0,9–1,0 качество диагностического теста считалось отличным, при AUC=0,8–0,9 – высоким, AUC=0,7–0,8 – хорошим, AUC=0,6–0,7 – средним, а при AUC=0,5–0,6 – неудовлетворительным. Доля позитивных результатов теста в группе пациентов с БА (чувствительность, Se – sensitivity) и доля негативных результатов теста в группе контроля (специфичность, Sp – specificity) выражались в %. Прогностическая ценность положительного результата (ПЦПР) и прогностическая ценность отрицательного результата (ПЦОР) оценивались для наклона фазы III и индекса эмфиземы объемной капнографии.
Результаты и их обсуждение
Результаты данных объемной капнографии и спирографии, полученные у пациентов с БА и респондентов в группе контроля, приведены в таблице 1. Установлено, что угол наклона фазы III (dMM/dV3, г/моль*л) был выше у пациентов с БА по сравнению с респондентами группы контроля. Индекс эмфиземы (Vm25-50/VTin-s) также имел статистически значимое различие между группами и демонстрировал более высокие значения у пациентов с БА по сравнению с представителями контрольной группы.
Сравнение показателей объемной капнографии и спирометрии у пациентов с тяжелой и среднетяжелой БА показало статистически значимые различия между сравниваемыми подгруппами: увеличение угла наклона фазы III, индекса эмфиземы и уменьшение объема форсированного выдоха за 1 секунду (ОФВ1, % от должного, мл) при тяжелом течении заболевания (табл. 2).
При анализе результатов объемной капнографии у относительно здоровых лиц были рассчитаны нормальные значения для dMM/dV3 (<0,31 г/моль*л) и Vm25-50/VTin-s (<43). Определялись диагностическая чувствительность и специфичность теста (с последующим построением ROC-кривых и расчетом AUC), а также ПЦПР и ПЦОР для угла наклона фазы III и индекса эмфиземы (табл. 3).
Таблица 1. Показатели объемной капнографии и спирометрии у пациентов с БА и в контрольной группе (М±SD, Ме (25%;75%))
Показатель | Группа БА (n=88) | Группа контроля (n=83) | p |
Объемная капнография | |||
dMM/dV3, г/моль*л | 0,25 (0,18; 0,36)* | 0,19 (0,13;0,26) | 0,001 |
Vm25-50/VTin-s | 31,64 (12,30; 75,69)* | 16,55 (8,34;26,67) | <0,001 |
Спирометрия | |||
ОФВ1, % от должного | 59,50±1,72* | 98,98±1,26 | <0,001 |
ОФВ1, мл | 1520 (1105; 1785)* | 2650 (2130;3270) | <0,001 |
Примечания: dMM/dV3 – угол наклона фазы III, Vm25-50/VTin-s – индекс эмфиземы, ОФВ1 – объем форсированного выдоха за 1-ю секунду, * – p<0,05 в сравнении с результатами контрольной группы
Таблица 2. Показатели объемной капнографии и спирометрии у пациентов с тяжелой и среднетяжелой БА (М±SD, Ме (25%;75%))
Показатель | Тяжелая БА (n=43) | Среднетяжелая БА (n=45) | p |
Объемная капнография | |||
dMM/dV3, г/моль*л | 0,25 (0,12; 0,22)* | 0,2 (0,13;0,28) | 0,002 |
Vm25-50/VTin-s | 45 (31,2; 154,3)* | 19,8 (1,2; 94,3) | 0,001 |
Спирометрия | |||
ОФВ1, % от должного | 48,5±1,2* | 78,98±1,28 | <0,001 |
ОФВ1, мл | 1120 (905; 1515)* | 1690 (1530;2080) | <0,001 |
Примечания: dMM/dV3 – угол наклона фазы III, Vm25-50/VTin-s – индекс эмфиземы, ОФВ1 – объем форсированного выдоха за 1-ю секунду, * – p<0,05
Таблица 3. Диагностическое значение отдельных показателей объемной капнографии
| Se | Sp | ПЦПР | ПЦОР | AUC | |
dMM/dV3 | БА | 39,74% | 90,32% | 77,39% | 64,47% | 0,66 |
Тяжелая БА | 50,00% | 89,00% | 69,00% | 78,38% | 0,74 | |
Vm25-50/VTin-s | БА | 39,74% | 96,77% | 90,95% | 65,75% | 0,72 |
Тяжелая БА | 60,46% | 98,80% | 96,15% | 83,30% | 0,86 | |
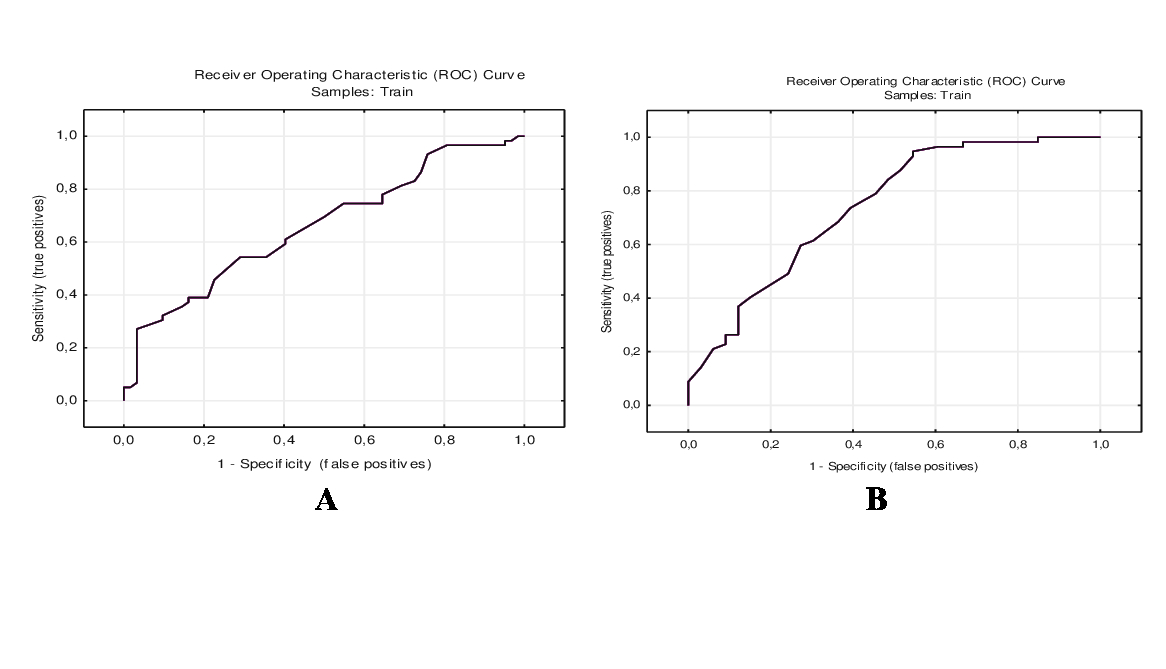
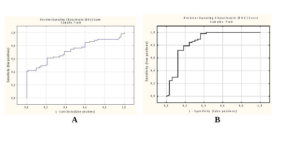
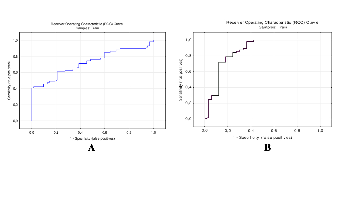
Как видно из таблицы, к наиболее информативным можно отнести показатели специфичности диагностического теста. При этом наибольшее диагностическое значение отмечалось у индекса эмфиземы. Последующее построение ROC-кривых выявило, что величина AUC для dMM/dV3 (рис. 3) и Vm25-50/VTin-s (рис. 4) была выше в популяции, включающей пациентов с БА тяжелого течения.
Таким образом, на сегодняшний день встречаются единичные публикации о диагностическом значении объемной капнографии при хронической обструктивной болезни легких (ХОБЛ). Так, Romerо P.V., et al. (2007) наблюдали увеличение AUC ROC-кривых для dMM/dV3 в зависимости от тяжести ХОБЛ [14]. В свою очередь Ponto S., et al. (2016) показали высокую диагностическую ценность dMM/dV3 у пациентов с ХОБЛ (чувствительность 90%, специфичность 86%) [15]. Однако, в литературе нет данных о проведенных исследованиях, посвященных диагностическому значению объемной капнографии при БА. Результаты настоящего исследования позволили сделать следующие выводы.
Рис. 3. ROC-кривые для наклона фазы III (А – БА, Б – тяжелая БА)
Рис. 4. ROC-кривые для индекса эмфиземы (А – БА, Б – тяжелая БА)
Выводы
- Метод объемной капнографии имеет высокую специфичность в обследовании пациентов с тяжелым и среднетяжелым течением бронхиальной астмы (угол наклона фазы III – 90,32%, индекс эмфиземы – 96,77%).
- При тяжелом течении бронхиальной астмы зарегистрированы более высокие значения чувствительности показателей объемной капнографии (угол наклона фазы III – 50,0%, индекс эмфиземы – 60,46%); специфичность индекса эмфиземы в данном случае составила – 98,8%.
Полученные данные демонстрируют значимость изучаемого метода в функциональной диагностике нарушений дыхания при бронхиальной астме.
Об авторах
Сергей Викторович Субботин
ФГБОУ ВО Рязанский государственный медицинский университет им. акад. И.П. Павлова Минздрава России
Автор, ответственный за переписку.
Email: subbotinsv.89@mail.ru
ORCID iD: 0000-0002-7459-5380
SPIN-код: 3467-6209
ResearcherId: U-7388-2017
аспирант кафедры терапии и семейной медицины факультета дополнительного профессионального образования
Россия, 390026, г. Рязань, ул. Высоковольтная, д. 9Список литературы
- Чучалин А.Г., Айсанов З.Р., Белевский А.С., и др. Российское респираторное общество. Федеральные клини-ческие рекомендации по диагностике и лечению бронхиальной астмы (2016). Доступно по: http://spulmo.ru/obshchestvo/news/ news-812/. Ссылка активна на 12 апреля 2017.
- Global Initiative for Asthma. Global Strategy for Asthma Management and Prevention (GINA) (Updated 2017). До-ступно по: http://ginasthma.org/. Ссылка активна на 22 октября 2017.
- Чучалин А.Г., Айсанов З.Р., Чикина С.Ю., и др. Федеральные клинические рекомендации Российского респира-торного общества по использованию метода спирометрии // Пульмонология. 2014. №6. С. 11-24. doi: 10.18093/0869-0189-2014-0-6-11-24
- Черняк А.В., Неклюдова Г.В. Спирометрия: как избежать ошибок и повысить качество исследования // Прак-тическая пульмонология. 2016. №2. С. 47-55.
- Ракита Д.Р., Куспаналиева Д.С. Влияние гипервентиляционного синдрома на качество жизни больных брон-хиальной астмой // Российский медико-биологический вестник имени академика И. П. Павлова. 2012. №1. С. 86-90.
- Авдеев С.Н., Айсанов З.Р., Архипов В.В., и др. Согласованные рекомендации по обоснованию выбора тера-пии бронхиальной астмы и хронической обструктивной болезни легких с учетом фенотипа заболевания и роли малых дыхательных путей // Практическая пульмонология. 2013. №2. С. 15-26.
- Contoli M., Santus P., Papi A. Small airway disease in asthma: pathophysiological and diagnostic considerations // Current Opinion in Pulmonary Medicine. 2015. Vol. 21, №1. P. 68-73. doi:10.1097/ MCP.0000000000000122
- Пономарева И.Б., Субботин С.В. Возможности метода объемной капнографии в изучении легочных функций у больных ХОБЛ // Наука молодых (Eruditio Juvenium). 2016, Т. 4, №1. С. 68-73.
- Verscheure S., Massion P.B., Verschuren F., et al. Volumetric capnography: lessons from the past and current clinical applications // Critical Care. 2016. Vol. 20. Р. 184. doi: 10.1186/s13054-016-1377-3
- Gravenstein J.S., Jaffe M.B., Healthcare P., et al., editors. Capnography. 2nd ed. Cambridge: Cambridge University Press; 2011.
- Bhalla A.K., Rubin S., Newth C.J., et al. Monitoring dead space in mechanically ventilated children: volumetric cap-nography versus time-based capnography // Respiratory Care. 2015. Vol. 60, №11. P. 1548-1555. doi: 10.4187/respcare.03892
- Almeida C.C., Almeida-Júnior A.A., Ribeiro M.A., et al. Volumetric capnography to detect ventilation in homogenei-ty in children and adolescents with controlled persistent asthma // Journal de Pediatria. 2011. Vol. 87, №2. P. 163-168. doi: 10.2223/JPED.2077
- Бяловский Ю.Ю., Мирошкина Т.А. Диагностическое значение объемной капнографии. В кн.: Кирюшин В.А., ред. Материалы Межрегиональной научной конференции Рязанского государственного медицинского уни-верситета имени академика И.П. Павлова с международным участием. Рязань: РязГМУ им. акад. И.П. Павло-ва; 2014. С. 50-53.
- Romero P.V., Rodriguez B., de Oliveira D., et al. Volumetric capnography and chronic obstructive pulmonary disease staging // International Journal of COPD. 2007. Vol. 2, №3. P. 381-391.
- Ponto S., Aufderhaar M., Bauer J.U. Capnovolumetry as a cooperation free method in the diagnosis and monitoring of COPD // European Respiratory Journal. 2016. Vol. 48. P. PA4415. doi:10.1183/ 13993003.congress-2016.PA4415
Дополнительные файлы










