Cardiopulmonary resuscitation of neonate at delivery room
- Authors: Aleksandrovich Y.S.1, Ivanov D.O.1, Pshenisnov K.V.1
-
Affiliations:
- St. Petersburg State Pediatric Medical University, Ministry of Healthcare of the Russian Federation
- Issue: Vol 10, No 4 (2019)
- Pages: 5-16
- Section: Editorial
- URL: https://journals.eco-vector.com/pediatr/article/view/18543
- DOI: https://doi.org/10.17816/PED1045-16
- ID: 18543
Cite item
Abstract
Improving the cardiopulmonary resuscitation quality in the delivery room is one of the most pressing issues in modern neonatology. Despite the fact that in recent years the number of surviving infants with low and extremely low birth weight has been steadily increasing, the nursing outcome is not enough favourable with unsatisfying quality of life. The cardiopulmonary resuscitation protocols have been regularly updated and upgraded (every five years in the last twenty years). This helps to improve resuscitation outcome. In 2015 the American Heart Association and the European Resuscitation Council issued the new edition of the guidelines on basic and advanced cardiopulmonary resuscitation in children, including infants. The guidelines are believed to improve the quality of resuscitation care in the delivery room and to contribute to a better neurological outcome.
Full Text
Most newborns do not require measures aimed at the condition stabilization immediately after birth; however, 10% of children require minimal respiratory support, and only 1% of newborns need closed-chest cardiac massage and medications [1–3].
However, among preterm newborns with low and extremely low body weight (ELBW), approximately 90% of children require initial stabilization after birth, and 4%–10% of them need advanced cardiovascular life support [4–7].
Prediction of the need for resuscitation procedures and indications for them
The most important condition for providing effective assistance to the newborn is the prediction of the possibility of resuscitation procedures even before birth, which is especially relevant for newborns with ELBW. This is because the majority of children with ELBW at birth require artificial pulmonary ventilation under positive pressure, and therefore, at least two trained neonatologists are required. If it is necessary to conduct a full-fledged extended cardiopulmonary resuscitation, then three specialists are required.
An assessment of the severity of only three clinical signs could predict the need for resuscitation (Table 1).
Table 1 / Таблица 1
Risk factors for resuscitation in the delivery room [10]
Факторы риска необходимости проведения сердечно-легочной реанимации в родильном зале [10]
Variable / Признак | Score assigned / Оценка, баллы |
Gestational age / Гестационный возраст | |
>27 weeks / Более 27 недель | 0 |
25–27 weeks / 25–27 недель | 2 |
<25 weeks / Менее 25 недель | 3 |
Antenatal steroid / Антенатальное введение стероидов | |
None or incomplete / Не было или не завершено | 1 |
Complete / Завершено полностью | 0 |
Amniotic fluid / Амниотическая жидкость | |
Normal / Нормальное количество | 0 |
Oligohydramnios / Олигогидроамнион | 1 |
Polyhydramnios / Полигидроамнион | 2 |
The higher the score on the scale, the more likely is the resuscitation in the delivery room.
Table 2 presents conditions of the perinatal period with a high risk of resuscitation in the delivery room.
ТЬЯTable 2 / Таблица 2
States of perinatal period with high risk of resuscitation in the delivery room
Состояния перинатального периода с высоким риском проведения сердечно-легочной реанимации в родильном зале
Antepartum risk factors / Дородовые факторы риска | Intrapartum risk factors / Интранатальные факторы риска |
1. Gestational age <36 0/7 weeks / Гестационный возраст <36 0/7 недель 2. Gestational age ≥41 0/7 weeks / Гестационный возраст ≥41 0/7 недель 3. Preeclampsia or eclampsia / Преэклампсия или эклампсия 4. Maternal hypertension / Артериальная гипертензия у матери 5. Multiple gestation / Многоплодная беременность 6. Fetal anemia / Анемия плода 7. Polyhydramnions / Многоводие 8. Oligohydramnions / Маловодие 9. Fetal hydrops / Водянка плода 10. Fetal macrosomia / Макросомия плода 11. Intrauterine growth restriction / Задержка внутриутробного развития 12. Significant fetal malformations or anomalies / Аномалии или врожденные пороки развития плода 13. No prenatal care / Отсутствие дородового медицинского наблюдения | 1. Emergency cesarean delivery / Кесарево сечение по экстренным показаниям 2. Forceps or vacuum-assisted delivery / Наложение щипцов или вакуум-экстракция 3. Breech or other abnormal presentation / Тазовые или иные аномальные предлежания 4. Category II or III fetal heart rate pattern / Паттерн частоты сердечных сокращений плода II или III категории 5. Maternal general anesthesia / Общая анестезия во время родов 6. Maternal magnesium therapy / Назначение магнезии матери ребенка 7. Placental abruption / Разрыв плаценты 8. Intrapartum bleeding / Значительное кровотечение в родах 9. Chorioamnionitis / Хориоамнионит 10. Narcotics administered to mother within 4 hours of delivery / Назначение матери наркотических средств за 4 ч до родов 11. Shoulder dystocia / Дистоция плечиков 12. Meconium-stained amniotic fluid / Мекониальное загрязнение околоплодных вод 13. Prolapsed umbilical cord / Выпадение пуповины |
A neonatologist must be present during delivery in the following situations:
- gestational age less than 32 weeks,
- gestational age more than 32 weeks with confirmed signs of lung immaturity,
- severe fetal hypoxia, and
- congenital malformations, such as congenital heart disorders, congenital diaphragmatic hernia, or other congenital respiratory system malformations, intestinal obstruction, anterior abdominal wall defects (gastroschisis, etc.), and spina bifida.
As for the indications for primary resuscitation of newborns, it is always indicated, except for several cases described below.
Contraindications for resuscitation
In some cases, when a child is born in critical condition, resuscitation is not recommended.
In particular, resuscitation is contraindicated in the following cases:
- a newborn weighing less than 400 g,
- gestational age less than 23 weeks,
- congenital malformations of the central nervous system (anencephaly),
- presence of trisomy 13, and
- a stillborn child.
Also, resuscitation measures should be stopped if, after 10 min from the beginning of cardiopulmonary resuscitation, the child does not have a heartbeat 1.
Assessment of the condition of the newborn
Assessment of the condition of the newborn is the primary element of emergency care, which determines all further treatment approaches.
Immediately after the birth of a child, the breathing presence, heart rate (HR), and skin color must be assessed.
If the HR is less than 60 beats/min, breathing is ineffective or absent, and the color of the skin is cyanotic or bluish, resuscitation must be started urgently.
Cardiopulmonary resuscitation in the delivery room
According to the contemporary concept of revivification, there are several stages of primary resuscitation, namely, ensuring patency of the upper respiratory tract, restoring effective breathing, and maintaining adequate circulation.
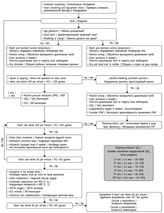
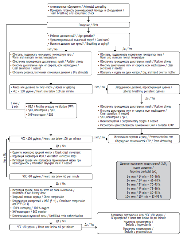
The algorithm of cardiopulmonary resuscitation of a newborn in the delivery room, according to recommendations of the American Heart Association and the European Resuscitation Council in 2015, is presented in Figures 1 and 2 [11, 14, 15].
Fig. 1. Neonatal Resuscitation Algorithm at delivery room (American heart association, 2015)
Рис. 1. Сердечно-легочная реанимация новорожденных в родильном зале (рекомендации Американской ассоциации сердца, 2015)
Fig. 2. Neonatal Resuscitation Algorithm at delivery room (European Resuscitation Council Guidelines for Resuscitation, 2015)
Рис. 2. Сердечно-легочная реанимация новорожденных в родильном зале (рекомендации Европейского совета по реанимации, 2015)
Ensuring patency of the upper respiratory tract
Ensuring patency of the upper respiratory tract is the main condition for successful resuscitation of a newborn. Immediately after birth, the baby should be placed under a source of radiant heat and wiped dry with warm diapers. The optimal position of the child during initial condition assessment and resuscitation procedures is the supine position with the head slightly thrown backward (“posture for sneezing”).
For this position, it is very convenient to use a roller placed under the child’s shoulder girdle. This position of the child is not only convenient for him or her but also provides maximum patency of the upper respiratory tract.
According to modern concepts, the routine sanitation of the upper respiratory tract and the tracheobronchial tree is currently not recommended. The only indication for sanitation is airway obstruction in case of meconium aspiration.
It should be remembered that if sanitation is too coarse, especially if the aspiration catheter touches the posterior pharyngeal wall, vagal reflexes can be stimulated with the development of bradycardia, which is especially dangerous in critically ill children. Thus, sanitation is not the best way to ensure the patency of the upper respiratory tract in a newborn baby.
One of the methods to ensure airway patency is tracheal intubation, which is most often used, especially in children who require prolonged lung ventilation.
Indications for tracheal intubation in the delivery room are as follows:
- the need for sanitation of the tracheobronchial tree in newborns with meconium aspiration syndrome,
- ineffective or prolonged ventilation of the lungs using a breathing bag and mask,
- the need for closed-chest cardiac massage,
- birth of a child with ELBW or congenital malformations requiring emergency surgery, and
- the need for the prophylactic administration of exogenous surfactant preparations in newborns with a gestational age of less than 27 weeks.
The characteristics of the endotracheal tube required to ensure adequate ventilation are presented in Table 3. Intubation of the trachea should be performed within 30 s.
Table 3 / Таблица 3
Characteristics of the endotracheal tube
Характеристика интубационной трубки
Endotracheal tube size for babies’ various weights and gestational ages / Диаметр интубационной трубки | ||
Weight, g / Вес, г | Gestational age, wks / Срок гестации, нед. | Endotracheal tube size, mm ID / Внутренний диаметр интубационной трубки, мм |
<1000 | <28 | 2.5 |
1000–2000 | 28–34 | 3.0 |
>2000 | >34 | 3.5 |
Initial endotracheal tube insertion depth (“tip to lip”) / Стартовая глубина введения интубационной трубки | ||
Weight, g / Вес, г | Gestational age, wks / Срок гестации, нед. | Endotracheal tube insertion depth at lips, sm / Глубина введения от края губ, см |
500–600 | 23–24 | 5.5 |
700–800 | 25–26 | 6.0 |
900–1000 | 27–29 | 6.5 |
1100–1400 | 30–32 | 7.0 |
1500–1800 | 33–34 | 7.5 |
1900–2400 | 35–37 | 8.0 |
2500–3100 | 38–40 | 8.5 |
3200–4200 | 41–43 | 9.0 |
In some cases, it is advisable to use an oropharyngeal airway, which can be reasonable with bilateral choanal atresia and Pierre Robin’s syndrome.
A study is currently conducted, and the authors of which plan to evaluate the efficacy and safety of using various air ducts during cardiopulmonary resuscitation in the delivery room, which is especially relevant for countries with a low economic level [12].
In case when after warming, tactile stimulation, and ensuring upper respiratory tract patency, the child’s effective breathing does not recover, artificial ventilation of the lungs using the AIRA system or an Ambu bag (Penlon) is indicated.
Ensuring adequate external respiration
Artificial ventilation in the delivery room is indicated in the following situations:
- lack of breathing,
- irregular breathing (gasping type convulsive breathing), and
- HR less than 100 beats/min.
Several methods of artificial lung ventilation (ALV) are used nowadays in newborns. First of all, there is ALV through a mask using a self-filling bag of the Ambu or Penlon type.
Using these devices, ALV can be performed through both a mask and an endotracheal tube.
In a full-term baby, in the absence of breathing, the first two or three breaths must be made with an inspiratory pressure of 30–40 cm H2O. In some cases, it may be necessary to increase inspiratory pressure to 45–50 cm H2O. If there are attempts to breathe spontaneously, the peak inspiratory pressure should be approximately 20–25 cm H2O. The ratio of inspiration to expiration should be 1:1. The effectiveness of ALV is assessed by chest excursion, skin color, and hemoglobin oxygen saturation (SpO2).
In case there are no chest excursions during ALV, skin cyanosis persists, and saturation indicators are not normal, it is necessary to check the airway patency. If ALV is conducted through the mask, then the position of the child must be ensured as described above; if ALV is performed through the endotracheal tube, then the problems that arise are probably associated with its incorrect position.
The primary sign indicating the correct position of the endotracheal tube is uniform breathing in all pulmonary fields. If breathing is not performed, then most likely, the tube is in the esophagus. In this case, during ALV, bloating in the epigastric region is noted. The only way out of this situation is extubation and repeated intubation of the child. If during auscultation of the lungs, there is an unevenness in breathing (breathing on the left is weakened), then there is a high probability that the tube passed into the right main bronchus. In this case, the tube must be pulled under the control of auscultation to the mark indicated in Table 3.
The correct position of the endotracheal tube can be estimated using capnometry and capnography. Monitoring of carbon dioxide stress at the end of expiration can significantly improve perfusion and outcomes of cardiopulmonary resuscitation in the delivery room [13].
Although irregular breathing is most often associated with an incorrect position of the tube, the possibility of pneumothorax must be kept in mind. The only way to differentiate these conditions is the chest X-ray.
If airway patency is restored and signs of inadequate ventilation persist, then this may be due to insufficient ventilation parameters and the presence of diseases such as cyanotic congenital heart disease and congenital diaphragmatic hernia. In the first case, it is necessary to alter the ALV parameters, increasing the inspiratory pressure and frequency, and in case of suspected congenital heart defects or diaphragmatic hernia, an urgent chest X-ray is indicated.
When conducting ALV in the delivery room, a recruitment maneuver is extremely important to perform, as it provides the necessary functional lung capacity, which is approximately 80 mL in a newborn baby.
In full-term newborns, recruitment maneuvers are performed by maintaining a peak inspiratory pressure equal to 30 cm H2O for 5 s. In preterm newborns, maneuvering is implemented by maintaining a peak inspiratory pressure of 20 cm H2O for 5–10 s. The maneuver is performed once in the absence of spontaneous breathing before ALV.
Providing adequate circulation
In most cases, all circulation disorders in newborns are secondary and associated with respiratory disorders, so the first step in the treatment of circulatory inefficiency should be to ensure adequate ventilation and oxygenation of tissues. If bradycardia persists for 30 s when conducting ALV (HR less than 60 beats/min), closed-chest cardiac massage is indicated, which is performed by chest compression with a frequency of 120–140 beats/min. Compression is performed in the middle third of the sternum to one-third of the depth of the chest. For children of the first hour of life, a ratio of compression to ventilation of 3:1 is recommended. Closed-chest cardiac massage and ALV are performed, until adequate breathing and HR (>100 beats/min) are restored, or a decision is made to stop resuscitation.
If, when ALV and closed-chest cardiac massage, signs of circulatory failure persist, it is necessary to resort to the administration of drugs.
The most common cause of circulatory failure in newborns is hypovolemia, resulting from a fetoplacental transfusion, the capillary leak syndrome, or other pathological conditions.
Diagnostics of hypovolemia in newborns are extremely complicated, and the routine administration of additional volumes of fluid to replenish the volume of circulating blood can lead to the development of intraventricular hemorrhage, especially in preterm newborns. At that, in the case a child was born with pale skin and tachycardia, the likelihood of liquid deficiency in him or her is very high. Hematocrit is one of the differential signs indicating the presence of hypovolemia, which should be no more than 55%–60% in the absence of clinical signs of polycythemia; therefore, in this case, a laboratory examination of the child is necessary.
The absolute indication for the replenishment of the deficit in the volume of circulating blood in the delivery room is acute blood loss or symptoms of inadequate tissue perfusion (skin pallor, capillary refill time of more than 3 s, and low strength of the pulse in the peripheral and main arteries).
Drugs used in resuscitation in newborns
Currently, the question of the need to prescribe drugs during cardiopulmonary resuscitation in newborns is significantly overestimated, since it was proved that their effectiveness is extremely low or even absent.
In the absence of the need for medication, delayed clamping of the umbilical cord is acceptable, which can significantly improve the results of the nursing of preterm newborns and reduce mortality [7].
The only drug which efficiency is not in doubt during resuscitation in newborns is adrenaline. At the same time, its use is reasonable only in extremely rare cases when it is not possible to stabilize the child’s condition and hemodynamic parameters during adequate lung ventilation.
Figure 3 presents the mechanism of action of adrenaline.
Fig. 3. Mechanism of adrenaline action in newborns [8]
Рис. 3. Механизм действия адреналина у новорожденных [8]
Table 4 presents the routes of administration, doses of adrenaline, and availability of evidence of efficacy and safety of different methods of prescribing the drug [8].
Table 4 / Таблица 4
Epinephrine use during newborn resuscitation: route, dose, and summary of evidence
Пути введения Адреналина и доказательства их эффективности
Route / Путь введения | Dose, mg/kg / Доза, мг/кг | Summary of evidence / Доказательства эффективности |
Intravenous / Внутривенно | 0.01–0.03 | 1. Preferred route and appear to be more efficacious than other routes / Предпочтительный и наиболее эффективный метод введения 2. Dose extrapolated from adult experience / Доза экстраполирована из взрослой практики 3. High-dose epinephrine offers no advantage and is associated with increased postresuscitation adverse effects and increased mortality / Применение высоких доз адреналина не оправдано, поскольку это может привести к развитию побочных эффектов препарата и увеличению летальности в постреанимационном периоде |
Endotracheal / Эндотрахеально | 0.05–0.1 | 1. Less effective than IV route / Менее эффективен, чем внутривенный путь введения 2. Achieved plasma concentration is less and it peaks slower with ET epinephrine compared to IV epinephrine / Концентрация адреналина в плазме крови меньше и пик действия короче по сравнению с внутривенным введением 3. Can be used until IV access is available / Может использоваться при отсутствии венозного доступа |
Intraosseus / Внутрикостно | 0.01–0.03 | 1. Limited evidence compared to IV route / Ограниченные сведения по сравнению с внутривенным путем введения 2. Providers frequently involved in newborn resuscitation feel more comfortable with rapid UVC insertion compared to IO route / Менее удобен по сравнению с катетеризацией пупочной вены |
Intramascular / Внутримышечно | Not recommended / Не рекомендуется | 1. Very limited evidence / Крайне ограниченные сведения 2. Significant tissue damage at local site / Значительное повреждение тканей в области инъекции |
The indications for prescription of sodium bicarbonate are decompensated metabolic acidosis (pH <7.0; BE > –12 mmol/L) and the lack of effect from closed-chest cardiac massage, administration of adrenaline, and replenishment of the circulating blood volume despite adequate ALV. Only 0.5 M (1 mL = 0.5 mEq) sodium hydrocarbonate solution is used.
In case of hypovolemia, the deficiency of the circulating blood volume is indicated to be replenished with 0.9% sodium chloride solution. If the child has signs of hemorrhagic shock, then it is necessary to administer drugs of the donor erythrocyte mass at the rate of 15 mL/kg.
Doses of drugs used during the initial resuscitation of newborns are presented in Table 5.
Table 5 / Таблица 5
Dose and route drugs for resuscitation of the newborns in the delivery rooms
Доза и способ введения лекарственных средств, используемых при первичной реанимации новорожденных
Drug / Препарат | Officinal Form / Лекарственная форма | Dose / Доза | Route / Путь введения |
Adrenaline / Адреналин | · 0,1 % solution 0,1 % solution must be diluted 10 times (0,01 % solution) · 0,1 % раствор 0,1 % раствор должен быть разведен в 10 раз (0,01 % раствор) / | 0,01–0,03 mg/kg — IV 0,01–0,03 мг/кг — в/в / 0,1 mg/kg – ET / 0,1 мг/кг — эндотрахеально | Intravenous / Внутривенно Еndotracheal / Эндотрахеально |
Sodium bicarbonate / Натрия гидрокарбонат | · 4.2 % solution (0.5 mmol/ml) / · 4,2 % раствор (0,5 ммоль/мл) | 1–2 ммоль/кг / 1–2 mmol/kg | Rate infusion 2 ml/kg/min / Скорость введения 2 мл/кг в минуту Not quicker than in 2 minutes / Не быстрее чем за 2 мин |
Sodium chloride / Натрия хлорид | · 0.9 % solution / · 0,9 % раствор | 10–15 мл/кг / 10–15 ml/kg | Intravenous, over to 5–10 min / Внутривенно медленно, за 10–30 мин (Use caution with preterm newborns less than 30 weeks gestation) / (С осторожностью у недоношенных новорожденных со сроком гестации менее 30 нед.) |
The changes made to the protocol of cardiopulmonary resuscitation in 2015 are presented below and regard the fundamental aspects of stabilization of the condition of a newly born child.
Delayed Umbilical Cord Clamping
Delayed clamping of the umbilical cord for more than 30 s after birth is reasonable in full-term and preterm newborns who do not require cardiopulmonary resuscitation in the delivery room. Routine delayed clamping of the umbilical cord in children requiring resuscitation and newborns with gestational age less than 29 weeks is currently not advisable. The evidence confirming the efficiency of this maneuver is currently searched. In particular, a large multicenter study was designed to evaluate the efficiency of delayed umbilical cord clamping in preterm newborns with an intact umbilical cord, based on a specially developed table [9].
Maintaining Normal Temperature in the Delivery Room
The body temperature of a newborn should be maintained within 36.5 °C–37.5 °C. For this purpose, polyethylene film, caps, thermal mattresses, and devices for warming and moistening the oxygen-air mixture can be used. The use of various devices may be suitable to prevent hypothermia in newborns with gestational age less than 32 weeks. Using thermal mattresses, heating the respiratory mixture for resuscitation, increasing the air temperature in the delivery room, and using caps prevent hypothermia more effectively compared with insulating wrapping with polyethylene film or using only radiant heat sources. Hyperthermia (increase in temperature above 38.0 °C) should be avoided to prevent possible negative effects.
Warming of Newborns in Hypothermia
Slow warming (less than 0.5 °C/h) is safer than fast warming (more than 0.5 °C/h), as it avoids complications such as apnea and arrhythmia. To ensure normothermia, it is advisable to use also other methods of maintaining the body temperature of the child, such as “skin-to-skin” contact and kangaroo care.
Ensuring Patency of Airways in the Presence of Meconium
In the presence of amniotic fluid stained with meconium, and if a child is born with unsatisfactory muscle tone and inadequate breathing, the first step in stabilizing the condition is to place the newborn under a source of radiant heat.
ALV should be started if the baby is not breathing or if HR is less than 100 beats/min. Routine intubation of the trachea for sanitation of the tracheobronchial tree is not recommended in this situation.
HR Assessment
During cardiopulmonary resuscitation of both full-term and preterm newborns, it is advisable to use the monitoring of electrocardiography in three leads as early as possible to assess heart rhythm and HR.
Prescribing Oxygen to Preterm Newborns
In preterm newborns with gestational age less than 35 weeks, when stabilizing the condition, the minimum oxygen content (21%–30%) should be used, while the oxygen fraction in the respiratory mixture should be selected in such a way as to achieve preductal SpO2 values that correspond to the normal values of healthy full-term newborns with natural delivery. At the initial stabilization of the condition of newborns in the delivery room, the use of an oxygen-air mixture with high oxygen content (65% and more) is not recommended.
ALV
The routine use of extended inspiration in a delivery room lasting more than 5 s is currently not recommended. During ALV in preterm newborns, it is advisable to use a positive pressure at the end of exhalation equal to 5 cm H2O. Laryngeal mask airways can help ensure effective ventilation in full-term and preterm newborns at a gestational age of 34 weeks and more. The use of laryngeal mask airways in preterm newborns with a gestational age of less than 34 weeks or weighing less than 2000 g is impractical. The laryngeal mask airway can be considered as an alternative to tracheal intubation if ventilation through the mask is ineffective.
The use of a laryngeal mask during cardiopulmonary resuscitation is recommended in full-term and preterm newborns with a gestational age of 36 weeks and more, when tracheal intubation is unsuccessful or impossible.
Spontaneous breathing with continuous positive airway pressure in preterm newborns with respiratory distress in the first hours of life is more reasonable than routine tracheal intubation for invasive ALV.
Chest Compressions
Compression is performed in the lower third of the sternum to a depth of approximately one-third of the anteroposterior size of the chest. The technique of closed-chest cardiac massage is preferable to use by grasping the chest of the child since it contributes to a more significant increase in systemic and coronary perfusion pressure and is not accompanied by significant fatigue of the lifesaver. Closed-chest cardiac massage and ALV should be coordinated. The chest of the child should be completely straightened during the termination of compression, but the hands of the lifesaver should be on it all the time.
For cardiac arrest due to respiratory disorders, the optimal ratio of compression to ALV is 3:1. In case of cardiac causes of cardiac arrest, a higher ratio should be used, for example, 15:2.
During closed-chest cardiac massage, it is necessary to increase the oxygen concentration to 100%. To reduce the risk of hyperoxia, additional oxygen donation should be stopped as soon as the HR is restored.
Induced Therapeutic Hypothermia
The use of therapeutic hypothermia is acceptable under conditions of limited health resources, namely, the lack of necessary equipment and highly qualified medical personnel.
Withdrawal and Termination of Cardiopulmonary Resuscitation
If the prognosis for survival is unfavorable and the gestational age of the newborn is less than 25 weeks, when deciding on the resuscitation termination, it is necessary to take into account factors such as correct determination of the gestational age, the presence or absence of chorioamnionitis, and possibilities of a medical institution where the baby is staying.
The termination of resuscitation is acceptable if, at 10-min of life, the heart rhythm is not restored, and the Apgar score is zero; however, the decision to continue or stop cardiopulmonary resuscitation should be made by taking into account the individual characteristics of the patient and his or her parents.
Basic principles of oxygenation monitoring in the delivery room
- Pulse oximetry is mandatory from the first minute of life.
- Prevention of hyperoxia (SpO2 no more than 95% at all stages of cardiopulmonary resuscitation).
- Prevention of hypoxia (SpO2 not less than 80% by 5-min of life and not less than 85% by 10-min of life).
- SpO2 in the delivery room in children with low body weight and ELBW, starting from 10-min of life, should be within 86%–92%.
In conclusion, it should be noted that the widespread introduction of these recommendations into routine clinical practice with the use of simulation training of specialists providing resuscitation care in the delivery room will improve significantly the results of cardiopulmonary resuscitation and nursing of preterm newborns with ELBW.
Notes:
1 Methodological letter No. 15-4/10/2-3204 of April 21, 2010 of the Ministry of Health and Social Development of the Russian Federation “Primary and resuscitation care for newborns”.
About the authors
Yuri S. Aleksandrovich
St. Petersburg State Pediatric Medical University, Ministry of Healthcare of the Russian Federation
Author for correspondence.
Email: Jalex1963@mail.ru
MD, PhD, Dr Med Sci, Professor, Head, Department of Anesthesiology, Resuscitation and Emergency Pediatrics, Faculty of Postgraduate Education
Russian Federation, 2, Litovskay street, Saint-Peterburg, 194100Dmitry O. Ivanov
St. Petersburg State Pediatric Medical University, Ministry of Healthcare of the Russian Federation
Email: doivanov@yandex.ru
ORCID iD: 0000-0002-0060-4168
MD, PhD, Dr Med Sci, Professor, Rector
Russian Federation, 2, Litovskay street, Saint-Peterburg, 194100Konstantin V. Pshenisnov
St. Petersburg State Pediatric Medical University, Ministry of Healthcare of the Russian Federation
Email: Psh_k@mail.ru
ORCID iD: 0000-0003-1113-5296
SPIN-code: 8423-4294
MD, PhD, Associate Professor of Anesthesiology, Intensive Care and Emergency Pediatrics Postgraduate Education
Russian Federation, 2, Litovskay street, Saint-Peterburg, 194100References
- Александрович Ю.С., Пшениснов К.В. Сердечно-легочная реанимация в педиатрической практике: основы и изменения 2015 года // Педиатр. - 2016. – Т. 7. – № 1. – С. 5–15. [Alexandrovich YS, Pshenisnov KV. Modern principles of cardiopulmonary resuscitation in pediatric practice. Pediatrician (St. Peterburg). 2016;7(1):5-15. (In Russ.)]. https://doi.org/10.17816/PED715-15.
- Александрович Ю.С., Пшениснов К.В. Сердечно-легочная реанимация у детей. – СПб.: Издательство СПбГПМУ, 2018. - 208 с. [Aleksandrovich YS, Pshenisnov KV. Serdechno-legochnaya reanimatsiya u detey. Saint Petersburg: Izdatel’stvo SPbGPMU; 2018. 208 p. (In Russ.)]
- Arnon S, Dolfin T, Reichman B, et al. Delivery room resuscitation and adverse outcomes among very low birth weight preterm infants. J Perinatol. 2017;37(9): 1010-16. https://doi.org/10.1038/jp.2017.99.
- Ballot DE, Agaba F, Cooper PA, et al. A review of delivery room resuscitation in very low birth weight infants in a middle income country. Matern Health Neonatol Perinatol. 2017;3:9. https://doi.org/10.1186/s40748-017-0048-y.
- Borrhomée S, Merbouche S, Kern-Duciau N, Boize P. Umbilical vein catheterization through Wharton’s jelly: a possibility for a fast and safe way to deliver treatments in the delivery room? Arch Pediatr. 2019;26(6):381-384. https://doi.org/10.1016/j.arcped.2019.05.004.
- Cho SJ, Shin J, Namgung R. Initial resuscitation at delivery and short term neonatal outcomes in very-low-birth-weight infants. J Korean Med Sci. 2015;30(Suppl 1):S45-S51. https://doi.org/10.3346/jkms.2015.30.S1.S45.
- Finer NN, Horbar JD, Carpenter JH. Cardiopulmonary resuscitation in the very low birth weight infant: the Vermont Oxford Network experience. Pediatrics. 1999;104(3 Pt 1):428-434. https://doi.org/10.1542/peds.104.3.428.
- Kapadia VS, Wyckoff MH. Epinephrine use during newborn resuscitation. Front Pediatr. 2017;5:97. https://doi.org/10.3389/fped.2017.00097.
- Knol R, Brouwer E, Klumper FJCM, van den Akker T, et al. Effectiveness of stabilization of preterm infants with intact umbilical cord using a purpose-built resuscitation table-study protocol for a randomized controlled trial. Front Pediatr. 2019;7:134. https://doi.org/10.3389/fped.2019.00134.
- Lee J, Lee JH. A clinical scoring system to predict the need for extensive resuscitation at birth in very low birth weight infants. BMC Pediatr. 2019;19(1):197. https://doi.org/10.1186/s12887-019-1573-9.
- American Heart Association, American Academy of Pediatrics, et al. Textbook of neonatal resuscitation. Ed. by GM Weiner, J Zaichkin. 7th ed. American Academy of Pediatrics; 2016. 328 p.
- Pejovic NJ, Myrnerts Höök S, Byamugisha J, et al. Neonatal resuscitation using a supraglottic airway device for improved mortality and morbidity outcomes in a low-income country: study protocol for a randomized trial. Trials. 2019;20(1):444. https://doi.org/10.1186/s13063-019-3455-8.
- Stine CN, Koch J, Brown LS, et al. Quantitative end-tidal CO2 can predict increase in heart rate during infant cardiopulmonary resuscitation. Heliyon. 2019;5(6):e01871. https://doi.org/10.1016/j.heliyon.2019.e01871.
- Wyckoff MH, Aziz K, Escobedo MB, et al. Part 13: neonatal resuscitation: 2015 American Heart Association guidelines update for cardiopulmonary resuscitation and emergency cardiovascular care. Circulation. 2015;132(Suppl 2):S543-S560. https://doi.org/10.1161/CIR.0000000000000267.
- Wylliea J, Bruinenbergb J, Roehr СС, et al. European Resuscitation Council Guidelines for Resuscitation 2015 Section 7. Resuscitation and support of transition of babies at birth. Resuscitation. 2015;95:249-263. https://doi.org/ 10.1016/j.resuscitation.2015.07.029.
Supplementary files






