Экспериментальное моделирование поведенческих нарушений, сопровождающих тироидит хасимото, с помощью специфических иммуноглобулинов
- Авторы: Соболевская П.А.1, Гвоздецкий А.Н.2, Утехин В.И.1,3, Ефимова Е.В.1, Куварзин С.Р.1, Федоткина Т.В.1,3, Чурилов Л.П.1,4
-
Учреждения:
- Федеральное государственное бюджетное образовательное учреждение высшего образования «Санкт-Петербургский государственный университет»
- Федеральное государственное бюджетное образовательное учреждение высшего образования «Северо-Западный государственный медицинский университет имени И.И. Мечникова» Министерства здравоохранения Российской Федерации
- Федеральное государственное бюджетное образовательное учреждение высшего образования «Санкт-Петербургский государственный педиатрический медицинский университет» Министерства здравоохранения Российской Федерации
- Федеральное государственное учреждение «Санкт-Петербургский научно-исследовательский институт фтизиопульмонологии» Министерства здравоохранения Российской Федерации
- Выпуск: Том 12, № 3 (2021)
- Страницы: 31-41
- Раздел: Оригинальные статьи
- URL: https://journals.eco-vector.com/pediatr/article/view/83053
- DOI: https://doi.org/10.17816/PED12331-41
- ID: 83053
Цитировать
Аннотация
Среди проявлений аутоиммунного тироидита Хасимото встречаются и различные психо-неврологические нарушения. Более столетия известно о психо-неврологических нарушениях, ассоциированных с гипотирозом, однако наряду с этим существуют и расстройства психики у больных тиропатиями, развивающиеся на фоне эутироидного состояния. В 1966 г. была впервые описана энцефалопатия Хасимото, патогенез и четкие дифференциально-диагностические критерии которой до сих пор не определены. В данной статье описывается экспериментальное исследование на лабораторных мышах с интрацеребровентрикулярным стереотаксическим введением иммуноглобулинов G, выделенных от пациентов с аутоиммунным тироидитом и коморбидными депрессией или шизофренией. Контролем служили животные, получавшие поликлональные иммуноглобулины G здоровых доноров. В эксперименте были проведены поведенческие тесты, которые выявили особенности и изменения поведения у оперированных животных. Так, животные, получавшие иммуноглобулины oт пациентов с аутоиммунным тироидитом в сочетании с депрессией, были менее активны в отношении развития поведения риска. Тесты Порсолта на 4-й и 15-й дни после операции продемонстрировали, что вне зависимости от характера вводимых растворов наблюдалось изменение временных соотношений между паттернами поведения. При введении иммуноглобулинов G больных аутоиммунным тироидитом и шизофренией в отсроченном тесте Порсолта происходил сдвиг соотношения форм двигательной активности в сторону пассивного плавания. При введении IgG здоровых доноров такого изменения не происходило.
Ключевые слова
Полный текст
ВВЕДЕНИЕ
Аутоиммунный тироидит (АИТ) — самая частая форма патологии щитовидной железы. Среди клинических проявлений АИТ встречаются психо-неврологические нарушения, в связи с чем их распознавание и коррекция становятся все более актуальными. Публикации о психических расстройствах при аплазии щитовидной железы и при микседеме появлялись, начиная с 70-х годов XIX в., а в 1937 г. шотландский врач-писатель А.Дж. Кронин дал на опыте личной практики яркое художественное описание психоза при микседеме у валлийского шахтера [2]. В 1949 г. Ричард Эшер описал «микседематозное безумие», связав его с гипотирозом [3]. Одним из исходов АИТ является гипотироз, проявляющийся снижением концентраций тироидных гормонов (FT3, FT4) и увеличением уровня тиротропного гормона (ТТГ). Представляется интересным, что в практике врачей-психиатров часто встречаются случаи психиатрического расстройства на эутироидной стадии АИТ, когда еще нет дефицита собственно тироидных гормонов, который мог бы объяснить психоневрологические нарушения. Возможно, не все подобные нарушения вызваны одним лишь гипотирозом. В них могут быть задействованы и другие иммуноэндокринные механизмы, связанные с сывороточными биорегуляторами — антителами (АТ), гормонами, аутакоидами. Все это служит основанием для тщательного изучения у больных АИТ, пребывающих в состоянии легкого гипотироза и/или эутироза, психоневрологических симптомов, уровней тироидых гормонов, АТ к тиропероксидазе (ТПО) и к тироглобулину (ТГ) в крови с целью прояснения патогенеза психоневрологических нарушений при АИТ. В 1960-х годах лорд Уолтер Расселл Брейн с соавторами впервые целостно описали возможную новую нозологическую единицу, названную ими «энцефалопатия Хасимото» (ЭХ) [5]. ЭХ (до сих пор не признанная самостоятельной нозологической формой и не фигурирующая в МКБ) — это относительно редкий психонейроэндокринный синдром. Считается, что она представляет собой аутоиммунное воспалительное заболевание головного мозга с возможными васкулитным и лимбико-энцефалитным компонентами. В мировой литературе ЭХ известна также под названием «стероид-реактивная энцефалопатия, ассоциированная с аутоиммунным тироидитом» [steroid responsive encephalopathy associated with autoimmune thyroiditis (SREAT)]. При попытках терапии ЭХ кортикостероидами в большинстве случаев (но далеко не всегда) наблюдается значительный положительный эффект [6, 12]. В патофизиологии ЭХ сосуществует ряд гипотез, самые распространенные из них трактуют ее либо как аутоиммунный церебральный васкулит, либо как результат перекрестной аутоиммунной реакции антитироидных антител (по мнению ряда авторов — антитиропероксидазных) против клеток мозга. Есть наблюдения о патогенетической или свидетельской роли аутоантител к тироглобулину, а также нескольких видов аутоантител экстратироидной мозговой специфичности (к нейрональной α-енолазе, к иным церебральным аутоантигенам — альдоредуктазе-1, диметиларгиназе-1, ганглиозидам), а также о патогенетическом вкладе демиелинизирующего процесса. Нарушения, сходные с ЭХ, наблюдались при аутоиммунных паранеопластических энцефалитах. Возможно участие в патогенезе ЭХ общей мозговой гипоперфузии, отека мозга, прямого токсического эффекта гиперсекреции ТТГ и тиролиберина [7, 13]. Эти данные делают актуальными клинико-патофизиологические исследования у больных психозами, сочетанными с АИТ, особенно, если у них нет глубокого гипотироза, а также позволяют ставить вопрос о моделировании ЭХ у животных с помощью иммуноглобулинов таких больных. В данной статье мы приводим результаты экспериментального исследования на лабораторных мышах с использованием иммуноглобулинов G (IgG), полученных у пациентов с АИТ и коморбидными психическими расстройствами.
Цель исследования — изучить на экспериментальной мышиной модели поведенческие эффекты введения поликлональных IgG, взятых от лиц, страдающих АИТ Хасимото (при выраженном аутоиммунитете к ТПО) с коморбидными психическими нарушениями.
МАТЕРИАЛЫ И МЕТОДЫ
Для проведения экспериментального исследования предварительно из сывороток пациентов с АИТ в коморбидности с шизофренией и депрессией (с титром АТ к ТПО выше 100 МЕ/мл) был выделен общий IgG методом аффинной хроматографии на колонках с белком G.
Было изучено 4 группы самок мышей линии Balb/с возраста 8–10 нед., полученных из НПП «Питомник лабораторных животных» ФГБУН ИБХ им. акад. М.М. Шемякина и Ю.А. Овчинникова РАН (Пущино, Московская область, Россия), которые относились к свободным от специфических патогенов (Specific Pathogen Free — SPF) животным. Мыши содержались в стандартных условиях в беспатогенной зоне при 23±1 °C и 12-часовом синхронизированном световом цикле (7-00 – 19-00 вечера), на диете из специального корма «DeltaFix» (Новосибирск, Россия) со свободным доступом к пище и воде в индивидуальных клетках вивария СПбГУ, соответствующего требованиям Стандарта надлежащей лабораторной практики:
- 1-я группа (Depr) — с введением раствора IgG пациентов c АИТ и депрессией (n=15);
- 2-я группа (Schiz) — с введением раствора IgG пациентов c АИТ и шизофренией (n=15);
- 3-я группа (Com) — с введением раствора коммерческих поликлональных человеческих IgG здоровых доноров (Jackson, ImmunoResearch Laboratories, West Grove, PA, USA) (n=15);
- 4-я группа (PBS) — с введением натрий-фосфатного буфера (фосфат-забуференного физиологического раствора — PBS) (n=15).
Все эксперименты проводили в соответствии с правилами, действующими в Евросоюзе (86/609/EEC), регулирующими исследования на животных. Протокол эксперимента одобрен биоэтическим комитетом СПбГУ (протокол № 131-03-3 от 25 марта 2019 г.).
Этапы проведения эксперимента
- Внутрижелудочковая инъекция экспериментальных растворов. Инъекцию проводили с использованием стереотаксической установки (Модель 68018, RWD Life Science, США), все этапы операции проходили под непрерывной подачей изофлюрана, координаты краниотомии и области введения растворов: ML — 1, AP — 0,4, DV — 2,2 (рис. 1) [16]. Объем введения составил 2 мкл, концентрация IgG в экспериментальных растворах — 8 мг/мл.
- Восстановление после операции (48 ч).
- Проведение поведенческих тестов:
- тест открытого поля (предназначен для изучения двигательной и исследовательской активности) [14]. Мышь помещают в установку «Открытое поле», после чего видеокамера фиксирует поведение животного. Оценивали 2 параметра: пройденную дистанцию и время, проведенное в центральной зоне;
- тест с крестообразным приподнятым лабиринтом (предназначен для изучения тревожности и «поведения риска») [11]. Мышь помещают в установку «крестообразный приподнятый лабиринт», после чего видеокамера фиксирует поведение животного. Оценивали 2 параметра: время, проведенное в открытых рукавах лабиринта, и «поведение риска», которое проявляется тем, что мышь выходит в открытые рукава лабиринта и свешивается с краев;
- тест социального взаимодействия (предназначен для изучения общественного поведения животных) [10]. Мышь помещают в двухкамерный бокс с прозрачными перегородками на 10 мин, она может беспрепятственно перемещаться по обеим зонам бокса. Спустя 24 ч в одну зону бокса под колпак из проволоки помещают интактную мышь, в противоположную зону бокса — экспериментальное животное. Оценивали время, проведенное в зоне с интактным животным;
- тест открытого поля с новым предметом (предназначен для изучения памяти и исследовательской активности) [9]. Мышь помещают в установку «Открытое поле», в которой находятся 2 одинаковых по форме, цвету и размерам предмета, сроком на 10 мин. Затем один из предметов меняют на другой, отличный по форме, цвету и размерам, и спустя 45 мин экспериментальное животное вновь помещают в установку. Видеокамера фиксирует поведение животного. Причем оценивали 4 параметра: пройденную дистанцию, число обнюхиваний нового объекта, время, проведенное около нового объекта и время, проведенное около знакомого объекта;
- тест по Порсолту на 4-й и 15-й день после операции (предназначен для изучения депрессивно-подобного поведения у животных) [4]. Мышь помещают в цилиндр с водой комнатной температуры на 10 мин, камера фиксирует поведение животного, после чего оценивают такие параметры, как активное плавание, пассивное плавание, «замирание». Тест по Порсолту на 15-й день после операции был проведен для оценки развития отсроченных изменений поведения у животных ввиду того, что антитела принципиально могут оказывать не только краткосрочное действие, связанное с блокадой и/или стимуляцией функций тех или иных молекул-мишеней, но и кумулятивное действие, основанное на провокации и последующем развитии воспаления [1].
Рис. 1. Проведение внутрижелудочковой инъекции экспериментальных растворов: а — животное помещают в ингаляционную камеру, заполненную парами изофлюрана; b — обнажение кожи черепа под непрерывной подачей изофлюрана; с — фиксация животного в стереотаксической установке с непрерывной подачей изофлюрана и последующей краниотомией по координатам стереотаксического атласа мыши; d — фиксация канюли в трепанированном мозге животного с последующим введением экспериментальных растворов; е — извлечение из стереотаксической установки и реконструкция кожного покрова
Fig. 1. Intraventricular injection of the experimental solutions: a – the animal is placed in the inhalation chamber filled with isoflurane vapors; b – exposure of the scalp under continuous supply of isoflurane; c – fixation of the animal in a stereotaxic setup with continuous supply of isoflurane, followed by craniotomy along the coordinates of the mouse stereotaxic atlas; d – fixation of the cannula in the trepanned animal brain followed by the introduction of experimental solutions; e – extraction from the stereotaxic device and reconstruction of the skin
Статистический анализ полученных данных
Количественные данные представлены как среднее±стандартная ошибка среднего. Статистическую значимость оценивали с помощью непараметрического U-критерия Манна–Уитни. Статистически значимым считали р < 0,05. Мы проделали также статистическую оценку всех данных, кросс-секционное исследование всех опытных групп животных, процедуру стандартизации статистических данных логарифмической обработкой. Применяли программу Rv3.4.3. Для описания параметров использовали среднее и стандартное отклонение (М±SD), медиану, 1–3-й квартили (Mе[Q1; Q3]), минимальное и максимальное значения (min; max). Оценку динамики изменений проводили при помощи критерия Вилкоксона (V-статистика). Для комплексного описания динамики и межгруппового анализа применяли бета-регрессию со смешанными эффектами (библиотека GLMMadaptive) [15].
Выбор бета-регрессии обусловлен тем, что нет необходимости в изначально сильном допущении о нормальном распределении остатков. Бета-регрессия предназначена для моделирования данных, распределенных в интервале (0; 1) [8]. Для трансформации исходных данных использовали унитизацию с нулевым минимумом. В качестве фиксированных эффектов выступили при повторном тесте Порсолта (см. ниже) время проведения теста и групповая принадлежность. В качестве случайного эффекта брали уникальные номера мышей. Результат тестирования представлялся в виде коэффициента регрессии и его стандартной ошибки либо в виде их разницы в случае попарного сравнения [b (se)]. Характеристика случайного эффекта и дополнительного параметра включала в себя соответствующее значение с 95 % доверительным интервалом. В случае множественного тестирования гипотез использована поправка Беньямини–Хохберга для коррекции p-значений. Результаты считались статистически значимым при p < 0,05. Все расчеты производились на языке программирования R v3.6.1.
РЕЗУЛЬТАТЫ
Рис. 2. Тест открытого поля: а — пройденная дистанция; b — время, проведенное в центральной зоне.
Здесь и на рис. 3–8 группы животных обозначены:
Fig. 2. Open field test: a – distance moved; b – time spent in the central zone.
Here and in Fig. 3–8 groups of animals are marked: PBS – injection of phosphate-buffered saline; Com – injection of polyclonal IgG from healthy donors; Depr – injection of IgG from patients with autoimmune thyroiditis and depression; Schiz – injection of IgG from autoimmune thyroiditis patients with schizophrenia
Рис. 3. Тест социального взаимодействия
Fig. 3 . Social interaction test
Рис. 4. Тест открытого поля c новым предметом: а — пройденная дистанция; b — время, потраченное на обнюхивание нового предмета; c — время, проведенное у знакомого предмета; d — время, проведенное у нового предмета
Fig. 4. Open field with novel object test: a – distance moved; b – time of sniffing novel object; c – time, spent near known object; d – time, spent near novel object
Мы не выявили статистически значимых различий в поведении между исследуемыми группами животных в тесте открытого поля (рис. 2), тесте социального взаимодействия (рис. 3), тесте открытого поля с новым предметом (рис. 4). В тесте с крестообразным приподнятым лабиринтом животные, получавшие IgG oт пациентов с АИТ и депрессией, были менее активны в отношении развития поведения риска, чем животные, получавшие донорские IgG здоровых лиц (р=0,04), и чем животные, получавшие растворы иммуноглобулинов от пациентов с АИТ и шизофренией (р=0,006), что можно интерпретировать как повышенную тревожность у группы мышей, получавших IgG oт пациентов с АИТ и депрессией, в сравнении с группой мышей, получавших донорские иммуноглобулины и иммуноглобулины от пациентов с шизофренией [11]. При этом группа животных, получавших IgG пациентов с АИТ с шизофренией по параметрам поведения при этом тесте статистически значимо не отличалась от групп контроля (рис. 5).
Рис. 5. Тест с крестообразным приподнятым лабиринтом: а — время, проведенное в открытых рукавах лабиринта; b — количество проявлений поведения риска (свешивания животного с открытых рукавов лабиринта). * р ≥ 0,04; ** р ≤ 0,006
Fig. 5. Elevated plus-maze test: a – time spent in the open arms of the maze; b – the number of manifestations of risk behavior (hanging by the animal from the open arms of the labyrinth). * р ≥ 0.04; ** р ≤ 0.006
В тесте Порсолта на 4-й и 15-й дни операции мы не выявили статистически значимых различий между группами экспериментальных животных (рис. 6, 7). Однако с целью исключения влияния послеоперационной дезадаптации на поведение животных и прослеживания динамики, связанной с возможным ходом и фазовостью течения нейровоспаления, тест Порсолта был повторен дважды и сопоставлен в сроки 4 и 15 дней после операции. Сопоставления показателей поведения животных в этом тесте были проведены не только в каждой временной точке — между группами, но и попарно в разные сроки после операции в каждой из групп.
Рис. 6. Тест Порсолта на 4-й день после введения экспериментальных растворов: a — время активного плавания; b — время пассивного плавания; c — время замирания
Fig. 6. Porsolt forsed swimming test, day 4: a – time of active swimming; b – time of passive swimming; c – time of freezing
Рис. 7. Тест Порсолта на 15-й день после введения экспериментальных растворов: a — время активного плавания; b — время пассивного плавания; c — время замирания
Fig. 7. Porsolt forsed swimming test, day 15: a – time of active swimming; b – time of passive swimming; c – time of freezing
При сравнении между собой поведения каждой отдельно взятой группы в тестах Порсолта на 4-й и на 15-й день после операции, получены данные о динамике поведения групп, приведенные на рис. 8.
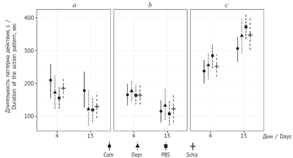
Рис. 8. Временная динамика результатов теста Порсолта по группам, с 4-го по 15-й день после инъекции: a — время активного плавания; b — время замирания; c — время пассивного плавания. Вертикальные линии — 95 % доверительный интервал
Fig. 8. Time dynamics of the results of the Porsolt test by groups, from the 4th to the 15th day after the injection: a – active swimming time; b – fading time; c – time of passive swimming. Vertical lines – 95% confidence interval
Для проверки гипотезы о наличии значимых изменений в поведении мышей при отсроченном тесте Порсолта, по сравнению с начальным тестом, был выполнен комплексный бета-регрессионный анализ с учетом групповой принадлежности (табл. 1). За константу в данной модели была принята группа Com на 4-й день после инъекции. Согласно полученной модели на 15-й день, в целом, есть статистически значимая динамика в поведении групп в тесте Порсолта. Значимо отличаются от константы группы мышей Depr и PBS (табл. 1).
Таблица 1 / Table 1
Регрессионный анализ динамики поведения мышей в тесте Порсолта — модель, принимающая за константу показатели группы Com на 4-й день
Regression analysis of the dynamics of mice behavior in the Porsolt test — a model that takes the indicators of the Com group on the 4th day as a constant
Параметр модели/ Model’s parameter | Фиксированный эффект [b (se)] /Fixed effect [b (se)] | Случайный эффект (sd [95 % ДИ]) /Random effect (sd [95% CI]) | Параметр распределения (phi [95 % ДИ]) /Distribution parameter (phi [95% CI]) |
Константа / Constant | 0,25 (0,22), p=0,264 | ||
15-й день / Day 15 | –0,50 (0,20), p=0,012* | – | – |
Depr | –0,66 (0,28), p=0,019* | – | – |
PBS | –0,73 (0,28), p=0,010** | – | – |
Schiz | –0,47 (0,28), p=0,091 | – | – |
Константа / Constant | –1,05 (0,21), p < 0,001*** | ||
15-й день /Day 15 | 0,94 (0,16), p < 0,001*** | – | – |
Depr | 0,25 (0,23), p=0,273 | – | – |
PBS | 0,58 (0,23), p=0,013* | – | – |
Schiz | 0,42 (0,23), p=0,065 | – | – |
Константа /Constant | 0,06 (0,24), p=0,801 | ||
15-й день /Day 15 | –0,73 (0,21), p < 0,001*** | – | – |
Depr | 0,28 (0,29), p=0,328 | – | – |
PBS | –0,18 (0,29), p=0,539 | – | – |
Schiz | –0,06 (0,29), p=0,832 | – | – |
* р ≥ 0,012; ** р ≤ 0,010; *** р ≤ 0,001.
Был также выполнен дополнительный анализ динамики отдельных показателей теста Порсолта в группах (табл. 2).
Таким образом, статистически значимая разница показателей теста Порсолта во времени прослеживается в ходе эксперимента, что ожидаемо, так как животные сталкиваются в отсроченном тесте со знакомой им ситуацией. Следует отметить, что при попарном сравнении групп оказалось, что как на 4-й, так и на 15-й день животные, получавшие IgG здоровых доноров (группа Com), плавали активнее, чем мыши групп Depr и PBS, но не активней группы Schiz. Остальные группы не различались между собой. Данные теста Порсолта уместно рассматривать как композитное значение. Очевидно, что сумма времени активного плавания, пассивного плавания и замирания в пределе равна длительности теста — 10 мин. Тогда у каждой мыши можно выразить время каждой активности, зная две другие.
Таблица 2 / Table 2
Динамика показателей теста Порсолта от 4-го к 15-му дню по группам
Dynamics of indicators of the Porsolt test from 4th to 15th day by groups
Поведение / Behavior | Группа / Group | 4-й день [M (SD)] /Day 4 [M (SD)] | 15-й день [M (SD)] /Day 15 [M (SD)] | Статистика сравнения [b (se)] /Comparison statistic [b (se)] |
Активное плавание/ Active swimming | Com | 210,3 (90,0) | 178,5 (97,0) | 0,50 (0,20), p=0,032* |
Depr | 173,0 (87,6) | 122,5 (90,5) | 0,50 (0,20), p=0,032* | |
PBS | 156,0 (59,0) | 119,7 (64,2) | 0,50 (0,20), p=0,032* | |
Schiz | 185,5 (50,2) | 130,0 (69,9) | 0,50 (0,20), p=0,032* | |
Пассивное плавание / Passive swimming | Com | 238,0 (60,1) | 306,4 (64,4) | –0,94 (0,16), p < 0,001*** |
Depr | 256,1 (65,9) | 345,3 (89,2) | –0,94 (0,16), p < 0,001*** | |
PBS | 285,1 (63,2) | 372,8 (61,4) | –0,94 (0,16), p < 0,001*** | |
Schiz | 251,9 (55,1) | 347,7 (85,4) | –0,94 (0,16), p < 0,001*** | |
Замирание / Freezing | Com | 165,5 (56,2) | 115,6 (60,0) | 0,73 (0,21), p=0,001** |
Depr | 177,3 (55,1) | 133,3 (83,0) | 0,73 (0,21), p=0,001** | |
PBS | 164,1 (52,1) | 108,2 (65,3) | 0,73 (0,21), p=0,001** | |
Schiz | 164,7 (52,4) | 123,2 (74,3) | 0,73 (0,21), p=0,001** |
* р ≥ 0,032; ** р ≥ 0,001; *** р < 0,001.
Сравнение по отдельности (рис. 8, табл. 1, 2) характеризует динамику неполно, так как не учитывает составной характер теста. Дополнительный анализ динамики теста Порсолта был проведен с учетом данного факта. Для учета отношений долей времени проведена логарифмическая трансформация, где в знаменателе — доля времени, потраченного на пассивное движение, а в числителе — доля времени активного плавания или доля времени замирания. Значения в отрицательной области указывают на бóльшую долю пассивного плавания, в положительных — на меньшую. Гипотетическое нулевое значение указывает на равенство временных соотношений. Если бы мышь во время теста имела полное время активного, пассивного плавания и столько же замираний, то очевидно, что отношения были бы равны нулю во всех случаях. В табл. 3 дан анализ динамики долей различных форм двигательной активности при двукратном выполнении теста Порсолта — в ранний и отсроченный период после инъекций (табл. 3).
Таблица 3 / Table 3
Динамика долей различных форм двигательной активности при двукратном выполнении теста Порсолта — в ранний и отсроченный период после инъекций
Dynamics of the proportions of various forms of motor activity with two-fold performance of the Porsolt test – in the early and delayed period after injections
Поведение / Behavior | Группа /Group | 4-й день (Mе [Q1; Q3]) /Day 4 (Me [Q1; Q3]) | 15-й день (Mе [Q1; Q3]) /Day 15 (Me [Q1; Q3]) | Статистика критерия (V) /Criterion statistics (V) |
log10 (активное/пассивное) плавание / log10 (active / passive swimming) | PBS | –0,36 [–0,44; –0,15] | –0,52 [–0,74; –0,41] | 49,0, p=0,055 |
Com | 0,03 [–0,40; 0,13] | –0,27 [–0,47; –0,12] | 39,0, p=0,275 | |
Depr | –0,19 [–0,30; –0,13] | –0,58 [–0,82; –0,19] | 45,0, p=0,112 | |
Schiz | –0,10 [–0,28; –0,05] | –0,44 [–0,70; –0,21] | 49,0, p=0,055 | |
log10 (замирание/пассивное) плавание / log10 (freezing / passive swimming) | PBS | –0,31 [–0,40; –0,07] | –0,56 [–0,83; –0,32] | 48,0, p=0,064 |
Com | –0,13 [–0,29; –0,05] | –0,46 [–0,70; –0,27] | 55,0, p=0,008* | |
Depr | –0,17 [–0,28; –0,02] | –0,48 [–0,60; –0,26] | 46,0, p=0,064 | |
Schiz | –0,20 [–0,33; –0,05] | –0,54 [–0,62; –0,22] | 47,0, p=0,064 |
* р ≥ 0,008.
Таким образом, при повторном выполнении теста в группе Schiz, по всей видимости, баланс меняется в сторону пассивного плавания (p=0,055). Это согласуется с погранично значимыми изменениями отношения замирания и пассивного плавания в этой группе мышей в сторону увеличения доли последнего (p < 0,064), что может быть связано с отсроченными патологическими изменениями в мозге животных, спровоцированных введением экспериментальных растворов с IgG пациентов с АИТ и шизофренией. Характерно, что у мышей, получавших IgG здоровых доноров, сдвиг соотношения форм двигательной активности имел обратное направление, как если бы нарушения, связанные с введением IgG, не прогрессировали, а, напротив, — разрешались со временем.
ВЫВОДЫ
- Животные, получавшие IgG oт пациентов с АИТ и депрессией, были менее активны в отношении развития поведения риска, чем животные, получавшие донорские IgG здоровых лиц в тесте с приподнятым крестообразным лабиринтом. Получена модель депрессивных проявлений энцефалопатии Хасимото путем пассивной иммунизации иммуноглобулинами больных. Это свидетельствует об участии аутоантител в патогенезе данных проявлений ЭХ.
- В динамике после операции от 4-го до 15-го дня поведение животных в тесте Порсолта менялось. Вне зависимости от характера вводимого реагента, наблюдалось изменение временных соотношений между паттернами поведения, что проявилось в увеличении доли времени пассивного плавания за счет других поведенческих проявлений. При этом в группе, получавшей IgG больных АИТ с шизофреноподобной симптоматикой, имели место погранично значимые изменения отношения замирания и пассивного плавания в сторону увеличения доли последнего, а в группе, получавшей IgG здоровых доноров, — наоборот, в сторону более активного плавания.
- Остальные поведенческие тесты не выявили каких-либо статистически значимых различий между группами экспериментальных животных. Возможно, это означает заинтересованность не аутоантител к ТПО, высокое содержание которых служило основанием для отбора сывороток больных АИТ, а каких-то минорных фракций Ig иной специфичности, не представленных в достаточной мере в использованном пуле IgG, альтернативное объяснение состоит в патогенетической значимости полигормональных, а не иммунных нарушений для индукции этих проявлений ЭХ.
Работа выполнена в рамках реализации постановления Правительства Российской Федерации № 220 и договора № 14.W03.31.0009 о выделении гранта Правительства РФ для государственной поддержки научных исследований, проводимых под руководством ведущих ученых, и содержит результаты научных исследований лаборатории мозаики аутоиммунитета СПбГУ, полученные при использовании Ресурсного центра молекулярных и клеточных технологий научного парка СПбГУ.
Об авторах
Полина Анатольевна Соболевская
Федеральное государственное бюджетное образовательное учреждение высшего образования «Санкт-Петербургский государственный университет»
Автор, ответственный за переписку.
Email: dr.polinasobolevskaia@bk.ru
научный сотрудник
Россия, Санкт-ПетербургАнтон Николаевич Гвоздецкий
Федеральное государственное бюджетное образовательное учреждение высшего образования «Северо-Западный государственный медицинский университет имени И.И. Мечникова» Министерства здравоохранения Российской Федерации
Email: comisora@yandex.ru
ассистент кафедры психиатрии и наркологии
Россия, Санкт-ПетербургВладимир Иосифович Утехин
Федеральное государственное бюджетное образовательное учреждение высшего образования «Санкт-Петербургский государственный университет»; Федеральное государственное бюджетное образовательное учреждение высшего образования «Санкт-Петербургский государственный педиатрический медицинский университет» Министерства здравоохранения Российской Федерации
Email: utekhin44@mail.ru
кандидат медицинских наук, доцент кафедры патологической физиологии с курсами иммунопатологии и медицинской информатики
Россия, Санкт-Петербург; Санкт-ПетербургЕвгения Викторовна Ефимова
Федеральное государственное бюджетное образовательное учреждение высшего образования «Санкт-Петербургский государственный университет»
Email: e.v.efimova@mail.ru
кандидат биологических наук, старший научный сотрудник
Россия, Санкт-ПетербургСавелий Ростиславович Куварзин
Федеральное государственное бюджетное образовательное учреждение высшего образования «Санкт-Петербургский государственный университет»
Email: saveliy51@yandex.ru
младший научный сотрудник
Россия, Санкт-ПетербургТамара Викторовна Федоткина
Федеральное государственное бюджетное образовательное учреждение высшего образования «Санкт-Петербургский государственный университет»; Федеральное государственное бюджетное образовательное учреждение высшего образования «Санкт-Петербургский государственный педиатрический медицинский университет» Министерства здравоохранения Российской Федерации
Email: t.v.fedotkina@gmail.com
кандидат биологических наук, доцент кафедры гистологии и эмбриологии
Россия, Санкт-Петербург; Санкт-ПетербургЛеонид Павлович Чурилов
Федеральное государственное бюджетное образовательное учреждение высшего образования «Санкт-Петербургский государственный университет»; Федеральное государственное учреждение «Санкт-Петербургский научно-исследовательский институт фтизиопульмонологии» Министерства здравоохранения Российской Федерации
Email: elpach@mail.ru
кандидат медицинских наук
Россия, Санкт-Петербург; Санкт-ПетербургСписок литературы
- Чурилов Л.П., Васильев А.Г. Патофизиология иммунной системы. – СПб.: Фолиант, 2014. – 664 c. [Churilov LP, Vasil’ev AG. Patophysiology of the Immune System. Saint Petersburg: Foliant, 2014. 664 p. (In Russ.)]
- Чурилов Л.П., Строев Ю.И., Ахманов М.С., Утехин В.И. Очерки истории медицины. – СПб.: Умный доктор, 2018. – C. 71–168. [Churilov LP, Stroev YuI, Axmanov MS, Utechin VJ. Essays on the History of Medicine. Saint Petersburg: Umnyj Doktor; 2018. P. 71-168. (In Russ.)]
- Asher R. Myxoedematous Madness. British Medical Journal. [Online] 1949;2(4627):555-562. Available from: https://DOI: 10.1136/bmj.2.4627.555 Accessed: 02.09.2021.
- Bogdanova OV, Kanekar S, D’Anci KE, Renshaw PF. Factors influencing behavior in the forced swim test. Physiol Behav. 2013;118:227-239. doi: 10.1016/j.physbeh.2013.05.012
- Brain WR, Jellinek EH, Ball K. Hashimoto’s disease and encephalopathy. Lancet. 1966;2(7462):512-514. doi: 10.1016/S0140-6736(66)92876-5
- Cantón A, de Fàbregas O, Tintoré M, et al. Encephalopathy associated to autoimmune thyroid disease: A more appropriate term for an underestimated condition? J Neurol Sci. 2000;176(1): 65-69. doi: 10.1016/s0022-510x(00)00302-6
- Castillo P, Woodruff B, Caselli R, et al. Steroid-responsive encephalopathy associated with autoimmune thyroiditis. Arch Neurol. 2006;63(2):197-202. doi: 10.1001/archneur.63.2.197
- Cribari-Neto F, Zeileis A. Beta Regression in R. Journal of Statistical Software. 2010;34:1-24. doi: 10.18637/jss.v034.i02
- Denninger JK, Smith BM, Kirby ED. Novel Object Recognition and Object Location Behavioral Testing in Mice on a Budget. Vis Exp. 2018;(141):10.3791/58593. doi: 10.3791/58593
- Kaidanovich-Beilin O, Lipina T, Vukobradovic I, et al. Assessment of Social Interaction Behaviors. J Vis Exp. 2011;(48):2473. doi: 10.3791/2473
- Kraeuter AK, Guest PC, Sarnyai Z. The Elevated Plus Maze Test for Measuring Anxiety-Like Behavior in Rodents. Methods Mol Biol. 2019;1916:69-74. doi: 10.1007/978-1-4939-8994-2_4
- Marshall GA, Doyle JJ. Long-term treatment of Hashimoto’s encephalopathy. J Neuropsychiatry Clin Neurosci. 2006;18(1):14-20. doi: 10.1176/jnp.18.1.14
- Matsunaga A, Yoneda M. Anti-NAE autoantibodies and clinical spectrum in Hashimoto’s encephalopathy. Rinsho Byori. 2009;57(3):271-278.
- Prut L, Belzung C. The open field as a paradigm to measure the effects of drugs on anxiety-like behaviors: A review. Eur J Pharmacol. 2003;463(1-3):3-33. doi: 10.1016/s0014-2999(03)01272-x
- Rizopoulos D. GLMMadaptive: Generalized Linear Mixed Models using Adaptive Gaussian Quadrature. GLMMadaptive. 2019. Available from: https://drizopoulos.github.io/GLMMadaptive/reference/GLMMadaptive.html
- Mouse Brain Atlas. [Online] Available from: http://labs.gaidi.ca/mouse-brain-atlas/?ml=-1&ap=-0.4&dv =-2.2. Accessed: 02.09.2021.
Дополнительные файлы












