Optimization of the auxiliary stopping area planning in the middle-to-high speed Maglev
- Авторы: Lai Q.1, Liu J.1, Meng L.1, Chai X.1, Wang Q.1, Xu Y.2
-
Учреждения:
- State Key Laboratory of Rail Traffic Control Safety Beijing Jiaotong University
- CRRC Tangshan Co., Ltd
- Выпуск: Том 4, № 2 (2018)
- Страницы: 141-151
- Раздел: Оригинальные статьи
- URL: https://journals.eco-vector.com/transsyst/article/view/10191
- DOI: https://doi.org/10.17816/transsyst201842141-151
- ID: 10191
Цитировать
Полный текст
Аннотация
Background: The Auxiliary Stopping Area (ASA) is the special section that possesses power supply rail and personnel evacuation facilities, whose quantities and locations in a line are of great significance to reduce construction cost and improve transportation efficiency for the middle-to-high speed maglev.
Aim: This paper focuses on optimizing the length and location of the ASA for the middle-to-high speed maglev system to improve the robustness of maglev line.
Methods of the studies: Two evaluation indexes which reflect the ASA restricts on the train operation process was proposed. A model for optimizing the setting of the ASA is constructed, and solved by the genetic algorithm.
Results: The result of numerical examples shows that the proposed method can effectively improve the performances of the ASA.
Conclusion: This paper proposed two indexes to reflect the impact of station settings on train operations, which provides a method to optimize the ASA from qualitative optimization to quantitative optimization.
Полный текст
INTRODUCTION
As from January 1, 2018, there are four commercial operations of Maglev line in the world was built, and maglev has received more and more attention in China [1]. Compared with the wheel-rail system, the maglev has some excellent characteristics, such as smaller turning radius, lower noise, stronger climbing ability and lower maintenance cost [2]. The maglev system includes three-speed grades: low-to-middle speed maglev (), middle-speed maglev () and high-speed maglev (). At present, except for the low-to-middle speed maglev uses short stator induction linear motor technology [3], the other two all take the long stator synchronous linear motor technology [4, 5]. Therefore, the middle-speed maglev and high-speed maglev are similar inline settings. In this paper, the middle-to-high speed maglev is used to represent the middle-speed maglev and high-speed maglev.
Generally, the safety operation of the middle-to-high maglev train needs to satisfy the following five-speed curve limits [5, 6]. The location and length of the ASA will affect the speed limit area in case the other line parameters were determined because only the ASA and station were installed with Power Rail (PR). The function of PR enables the maglev train to run again after it stops [7]. However, the ASA cannot cover all line because of the construction cost. Therefore, it is a dramatic significance to reasonably arrange the location and length of the ASA with the goal that guaranteed safe operation and low cost.
At present, some researchers mainly focus on optimizing the operating strategies of the maglev train which the location and length of the ASA were determined [8][9]. However, when the bottlenecks of operation were considered during the design of the ASA, the implementation of operational strategies will be more feasible. A simulation optimization method was built by Bian [10], but no specific optimization goals were given by him, just optimize the ASA through qualitative judgment. So, in this paper, the restrictions of the ASA on the train operation process was analyzed in order to give a quantitative model.
The remainder of this article is organized as follow. In Section 2, the concept of the ASA was introduced, and the two evaluation indexes which reflect the ASA restricts on the trajectory planning was proposed. A model for optimizing the setting of the ASA is constructed, and the genetic algorithm is built to solve this model in Section 3. Numerical examples are given to validate the proposed methods in Section 4. Finally, Section 5 gives the conclusion of this paper.
CONCEPTUAL ILLUSTRATION
In this section, the impact of the ASA was introduced, and two evaluation index was put forward to quantitatively describe the impact of the ASA on the train operation process.
2.1 The impact of the ASA
Fig 1. The impact of the ASA
Safe operation is a most important goal for every per transport system. Due to the operating mechanism of the MHSM (middle-to-high speed maglev), it has created a safety concept of “safe parking”. Safe parking means that the maglev can park in the designated area which calls ASA in any condition including run interference, malfunction or emergency situation.
The suspension and guiding of the MHSM are active control. The energy of the suspension device, guide device, and emergency braking system are root in the vehicle power supply system. The vehicle power supply system is composed of two part which including battery and linear generator of the vehicle. Then, the vehicle power supply system will choose one as a power supply approach according to the speed of maglev. When the speed of maglev is lower than the set speed (high-speed maglev is and middle-speed maglev is ), the vehicle power supply system is the battery of the vehicle. When the speed of maglev is super than the set speed, the vehicle power supply system is the linear generator of the vehicle. In an unusual situation when the power of traction system is interrupted, the battery should guarantee the maglev continue to stay in suspension and braking. If the battery cannot be charged before the battery is exhausted, the maglev will not be able to levitate again. Therefore, to ensure the maglev have enough energy to levitate in a special situation, a couple of the ASA has been set in the interstation. Moreover, to ensure the passenger can evacuate the scene, the personnel evacuation facilities also be set in the ASA.
As shown in Fig. 1, the train should operate in the security area of speed to guarantee the safety.
2.2 Quantitatively describe the impact of the ASA
Fig. 2. Quantitatively describe the impact of the ASA
In this paper, the maximum limit speed is assumed to be known, which also indicated that the switching point of the maximum limit speed (SMP) was determined. From the section 2.1, the maglev train should keep them operating in the security area of speed which was formed by the maximum limit speed, coast curve, and braking curve. The intersection of the braking curve and coasting curve was denoted as IDP.
Two quantification criteria which reflect the restrictions of the ASA on maglev train operation are discussed:
- Available area of speed
As shown on the Fig. 2, the available area of speed is constructed by the maximum limit speed and coast curve. The smaller available area of speed is, the less selective speed can the train choose. Therefore, the available area of speed is taken accounted as an evaluation index for the impact of the ASA.
- The Euclidean distance between the IDP and SMP
Relying solely on the index of the available area of speed is unable to meet the robustness of the operation because the train speed will also be fewer options when the IDP is closer to SMP. Thus, the Euclidean distance between the IDP and SMP is considered as the second evaluation index for the impact of the ASA.
METHODOLOGY
A model for optimizing the setting of the ASA was formulated considering the two evaluation index, and a genetic algorithm also was built to solve the model.
3.1 The optimization model of the ASA
Table 1. Basic variables
Symbol | Description |
The length of the inner-station | |
The total length of the ASA | |
The minimum length of the ASA | |
The number of the ASA | |
The point of the location | |
The index of the ASA, and . | |
The starting point of the th ASA | |
The endpoint of the th ASA | |
| P | The number of the IDP |
| p | The index of the IDP, and |
The location of the th IDP | |
The speed of the th IDP | |
| C | The number of the SMP |
| c | The index of the SMP, and |
The location of the th SMP | |
The speed of the th SMP | |
The cost of the ASA per meter |
The minimum length of the ASA is determined, so the every ASA’s length need to satisfy the Eq. (1.1):
Due to reflect the relationship of different ASA on the line, we built the constraint as Eq. (1.2).
The total length of the ASA is limited by the length of inner-station, so:
In here, we assume the coast curve and braking curve is determined. When we know the location of the ASA, we can calculate every IDP via the coast curve and braking curve.
From the Section 2, we know that the object goal function includes three aspects.
- The available area of speed
We denote is the index of the IDP which is the closest location among all the IDP to the th ASA, and the location also is before the th ASA.
(0.4)
The function of the maximum speed is , and the means the coast curve of the m th ASA. Owing to the coast curve is a non-linear function, so we reference the principle of calculus to divide the area into a small rectangle, and every length of a rectangle is for the m th ASA’s area. can be calculated as Eq. (1.6), and is the distance span which is determined.
So the available area of speed can be calculated as Eq. (1.5).
(1.5)
The number of the rectangle indicated as , which can be calculated by Eq. (1.7).
(0.5)
(0.6)
is the symbol of down to the nearest integer.
2) The Euclidean distance between the IDP and SMP
We assume is the index of the SMP which is the closest location among all SMP to the p th IDP, so:
Because the shorter of the distance between the SMP and IDP, the larger of the speed area for the maglev train. Thus, the concept of inverse function is considered in the model, so the Euclidean distance can be acquired by Eq. (1.9).
From above, the objective function is Eq. (1.11), and is the weights of .
(0.9)
3.2 The genetic algorithm to optimize the ASA
Owing to the variables , cannot be expressed directly in the ,
, which cause the object function is non-close-form. So, in this paper, we built a genetic algorithm to solve the model.
Fig 3. Chromosome representation of the setting of the ASA
We divide the inner-station into a small segment. As an illustration, Fig.3 shows that we mark up the split point as 1 or 0, and the span between a pair of 1 which does not contain 0 indicates that there exists an ASA, and the number of the segment for the m th ASA is . Thus, by exchange, the values of the split point, a series of ASA which ranks in order will be acquired. There will exist interval area (IA) between two ASA, and the number of IA is , and is the index of IA. The number of the segment for the d th IA is denoted as .
Subject to constraints Eq. (1.1)~Eq. (1.3), the method which transfers the binary variable to locations of the ASA was proposed.
(1) Calculate the length of the m th ASA.
(0.10)
(0.11)
is the minimum value among .
(2) Calculate the length of the d th IA.
The length of d th IA is represented by , so:
(0.12)
The process of the genetic algorithm to optimize the setting of the ASA is as follows, and K is a maximum number of iterations:
Fig. 4. The flow chart of the genetic algorithm to optimize the ASA
SIMULATION EVALUATION
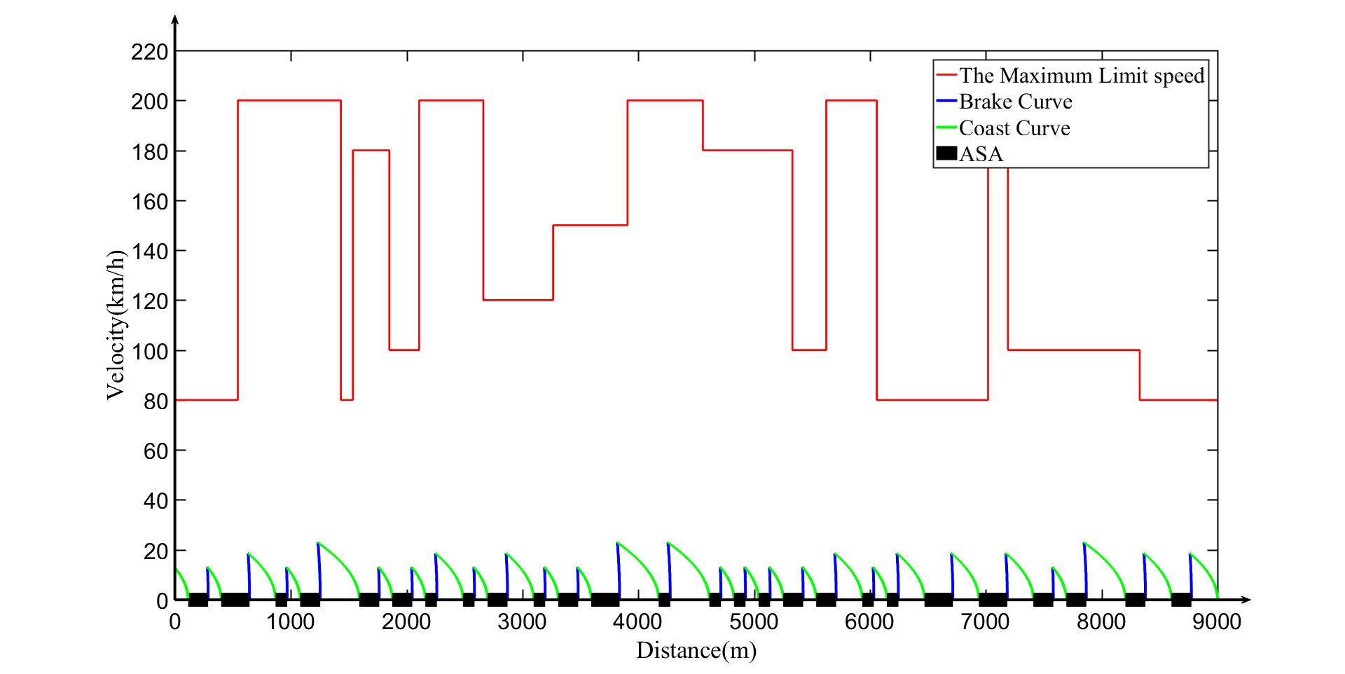
A maglev line was constructed in order to validate the proposed model. The maximum limit speed was given as Table 2, and m, m. The braking curve and coast curve were obtained through the middle-speed maglev train which was under development by CRRC.
Table 2. The maximum limit speed
Speed limit section | speed |
0~541.5 | 80 |
541.5~1431.2 | 200 |
1431.2~1534.7 | 80 |
1534.7~1849.7 | 180 |
1849.7~2107.5 | 100 |
2107.5~2660.8 | 200 |
2660.8~3263.8 | 120 |
3263.8~3906.2 | 150 |
3906.2~4556.9 | 200 |
4556.9~5329.6 | 180 |
5329.6~5621.9 | 100 |
5621.9~6058.3 | 200 |
6058.3~7018.6 | 80 |
7018.6~7190.5 | 200 |
7190.5~8328.4 | 100 |
8328.4~9000.0 | 80 |
Fig. 5. The setting situation of the ASA before optimize
Fig. 5 shows the setting situation of the ASA which was produced by random initialization process. The number of the ASA is five, and maximum length of the ASA is 1536.9 m. The maximum length of the IA is 2344.7 m, which leads to the available area of speed too smaller.
Fig. 6. Тhe setting situation of the ASA after optimize
As illustrated in Fig.6, the iterative results of the genetic algorithm, and the minimum objective value decreases with increasing algebra until it is stationary. It is concluded that the genetic algorithm method can find better value for the model.
The result of 1000th generation was shown in Fig. 7. Compared with Fig. 5, it is can be found that the number of the ASA is greatly increased, and maximum length of IA is reduced. The changes of the ASA will guarantee the maglev train operate in safety, even the speed of the train is lower. Therefore, the result shows that the proposed model for optimizing the setting of the ASA was practical.
Fig.7. The iterative results of the genetic algorithm
CONCLUSION
A model to optimize the setting of the ASA on the middle-to-high speed maglev considering the operating robustness was built in this paper. This paper proposed two indexes to reflect the impact of station settings on train operations, which provides a method to optimize the ASA from qualitative optimization to quantitative optimization. The result of numerical examples shows that the proposed method can effectively improve the performances of the ASA.
In the future, we hope that the more line parameter is considered, which will make the model more practical. Furthermore, the impact of the ASA on multi-train also will be researched in the future.
ACKNOWLEDGMENT
The authors acknowledge the financial support of the National Key R&D Program of China (2016YFB1200600).
Об авторах
Qingying Lai
State Key Laboratory of Rail Traffic Control Safety Beijing Jiaotong University
Автор, ответственный за переписку.
Email: yingzhikuangyu@163.com
ORCID iD: 0000-0001-8757-3183
Ph.D. candidate
Китай, BeijingJun Liu
State Key Laboratory of Rail Traffic Control Safety Beijing Jiaotong University
Email: jliu@bjtu.edu.cn
ORCID iD: 0000-0003-3242-3182
Ph.D., Professor
Китай, BeijingLingyun Meng
State Key Laboratory of Rail Traffic Control Safety Beijing Jiaotong University
Email: lym@bjtu.edu.cn
ORCID iD: 0000-0003-1999-1935
Ph.D., Assistant Professor
Китай, BeijingXiaofeng Chai
State Key Laboratory of Rail Traffic Control Safety Beijing Jiaotong University
Email: 16120757@bjtu.edu.cn
ORCID iD: 0000-0002-4043-6672
Master graduate student
Китай, BeijingQunyan Wang
State Key Laboratory of Rail Traffic Control Safety Beijing Jiaotong University
Email: 16125780@bjtu.edu.cn
ORCID iD: 0000-0003-2448-4364
Master graduate student
Китай, BeijingYazhi Xu
CRRC Tangshan Co., Ltd
Email: 16120757@bjtu.edu.cn
ORCID iD: 0000-0003-2224-5925
Master, Assistant Engineer
Китай, TangshanСписок литературы
- Yan L. Development and Application of the Maglev Transportation System [J]. IEEE Transactions on Applied Superconductivity, 2008;18(2):92-99. doi: 10.1109/tasc.2008.922239
- Lee HW, Kim KC, Ju L. Review of maglev train technologies [J]. IEEE Transactions on Magnetics, 2006;42(7):1917-1925. doi: 10.1109/tmag.2006.875842
- Xiao S, Zhang K, Liu G, et al. Optimal design of a for middle-low-speed maglev trains [J]. Open Physics, 2018;16:168-173. doi: 10.1515/phys-2018-0024
- Bing L, Tan X, Li Q, et al. The analysis of excitation current changes in long stator linear synchronous motor of maglev [C]. Prognostics and System Health Management Conference. IEEE, 2014:410-413. doi: 10.1109/phm.2014.6988204
- Zhang W, Wei W, Yang Y, et al. An Operation Control Strategy for the Connected Maglev Trains Based on Vehicle-Borne Battery Condition Monitoring [J]. Wireless Communications & Mobile Computing, 2018;(4):1-10. doi: 10.1155/2018/5698910
- Liu J, Wenqi WU. Research on 2-D Speed Protection Curve and Its Algorithm of High-speed Maglev Transportation [J]. China Railway Science, 2002;23(4):106-110.
- Chen D, Yin J, Chen L, et al. Parallel Control and Management for High-Speed Maglev Systems [J]. IEEE Transactions on Intelligent Transportation Systems, 2017;18(2):431-440. doi: 10.1109/tits.2016.2577037
- Jiang Y, Wu W, Liu J. Simulation of High-speed Maglev Train 2-D Speed Protection Curve [J]. Journal of Tongji University (Natural Science), 2004;32(3):397-400.
- Liu Y. Basic Theory Research on New-type Maglev Train Operation Control System [D]. Beijing Jiaotong University, 2004.
- Bian J. Study on the Relevant Properties of the Maglev Train Operation Control System
Дополнительные файлы










