Algorithm for selecting motor and trailer cars in a freight train of motor-car traction according to the energy efficiency criterion
- Authors: Troitskiy P.S.1
-
Affiliations:
- Emperor Alexander I St. Petersburg State Transport University
- Issue: Vol 6, No 1 (2020)
- Pages: 104-119
- Section: Original papers
- URL: https://journals.eco-vector.com/transsyst/article/view/20641
- DOI: https://doi.org/10.17816/transsyst202061104-119
- ID: 20641
Cite item
Full Text
Abstract
Background: improving the efficiency of freight transport is one of the main challenges facing the world's Railways. One of the most effective solutions is the introduction of distributed motor-car cargo traction. This will significantly increase the operational efficiency of the train's power plant, improve its handling, reduce the amount of destructive impact on the track, increase the capacity of railway lines and the reliability of deliveries of perishable goods.
When considering the allocation algorithm for operating the traction motors (TED) on the composition of a diesel freight trains subject to the conditions of alignment resource all TED motor coaches concluded the possibility of increasing the efficiency of multimotor traction drive modular freight trains using the proposed control algorithms for energy efficiency.
Aim: formalization of the task of selecting motor and trailer cars in a modular electric freight train.
Methods: In article the algorithm of selection of motor and trailer cars on a freight train railcar traction on the criterion of energy efficiency, the benefits of adopting a modular truck trains, are the main prerequisites for the implementation of distributed railcar truck pull. The work is based on the theory of traction calculations for train operation and is aimed at ensuring safe and energy-efficient traffic along the route sections.
Results: The developed algorithm of selection of motor and trailer cars in a unit train freight based on the condition of ensuring the traction and coupling properties of the train on the current upgrades, the development of the total volume of cargo offered for transport and energy efficiency of this type of traction.
When using the proposed algorithms for managing the energy efficiency of a motor-car electric train by selecting motor and trailer cars, adjusting the power, number of traction engines and their distribution by the composition of the traun, energy consumption on the Medvezhya Gora – Noviy Poselok section can be reduced by 20.5 % in the direction there and by 18.9 % in the direction back without changing the traffic schedule. And when compared with a locomotive-hauled train that regulates energy consumption using the same algorithm by 4.49 % and 3.61 %, respectively. Energy consumption on the Krivenkovskaya – Goitkh section can be reduced by 16 % in the direction there and by 82 % in the direction back without changing the traffic schedule. And when compared with a locomotive-hauled train that regulates energy consumption by the same algorithm by 1.61 % and 65.92 %, respectively.
Conclusions: The author proposes an algorithm for selecting motor and trailer cars in a freight train of motor-car traction according to the criterion of energy efficiency with the condition of ensuring traction and coupling properties on the calculated lifts. As well as the algorithm of distribution of working traction engines by the composition of the freight trains, taking into account the requirement of equalizing the resource of their work, preventing overheating and hypothermia of the fuel and energy system, and improving train handling.
Full Text
ВВЕДЕНИЕ
В современном мире железнодорожный транспорт должен выступать в качестве лидера и стимулятора инновационного экономического развития на основе повышения интенсификации и производительности своей деятельности.
С учетом технико-технологических особенностей конкуренции на транспорте, оптимизация скоростных параметров доставки товаров является важнейшим резервом повышения межвидовой конкурентоспособности ж/д транспорта на транспортном рынке. На транспорте измеряется огромный диапазон скоростей – от конструкционных, до фактически реализуемых от места отправления до места назначения. Скорость доставки товаров по железным дорогам на порядок ниже конструкционной скорости, на которую рассчитаны инфраструктура и подвижной состав и в 4-5 раз ниже ходовых скоростей движения поездов. Одной из задач улучшения эффективности работы транспорта является гармонизация скоростей, важнейшим инструментом которой должно быть их повышение, допускаемое конструкционными параметрами подвижного состава, а также сокращение времени на разгон и торможение, повышение равномерности скоростей между различными типами поездов (в частности пассажирскими и грузовыми). Решением этой задачи может служить внедрение моторвагонных грузовых электропоездов распределенной тяги с целью приближения ходовых скоростей к допустимой скорости по состоянию инфраструктуры.
АНАЛИЗ
В работе [1] отмечено, что повышение производительности транспортного пространства и оптимизация конструкции поезда являются ключевыми факторами роста эффективности жд отрасли. С точки зрения «пространственного потенциала поезда» под которым авторы понимают пространство движения поездов, выделяемое для одной интегрированной ресурсной единицы жд транспорта, формируемой из отдельных единиц подвижного состава, моторвагонные грузовые электропоезда показывают наибольшую эффективность, поскольку требуют минимальный, сравнимый пассажирскими интервал попутного следования, меньшее по сравнению с поездами локомотивной тяги время на разгон и торможение, а также возможность конструирования поезда в зависимости от массы груза предъявленного к перевозке, профиля участка следования, моторной обеспеченности вагонов с изменяемыми тяговыми и тормозными характеристиками. Отсюда следует колоссальный масштаб возможностей для внедрения поездов данного типа, особенно для перевозки скоропортящихся, контейнеризируемых грузов, грузов с повышенной добавленной стоимостью.
С 2003 года в Японии велись испытания нерасцепляемого грузового электропоезда, задуманного как альтернатива автомобильному транспорту для перевозки ценных грузовых отправок. Новый поезд состоял из 16 вагонов-платформ: по два вагона с тяговым приводом в голове и в хвосте поезда, и 12 прицепных вагонов-платформ типа Т260/261. Каждый тяговый вагон рассчитан на установку одного контейнера, а каждый прицепной вагон-платформа двух. Контейнеры на тяговых вагонах устанавливаются между двумя машинными модулями. Масса полностью загруженного поезда составляет 730 т, максимальная скорость 130 км/ч, номинальная мощность поезда 3250 кВт. Благодаря распределению тягового усилия разработчикам удалось существенно снизить нагрузку на ось в сравнении с традиционным локомотивом равной мощности [2]. Удельная мощность 4,45 кВт/т. Имея предельную вместимость 28 контейнеров данный поезд дает возможность отменить 56 рейсов 10-тонных грузовых автомобилей, что в годовом выражении позволяет сократить выбросы углекислого газа в атмосферу на 14 тыс. т [3].
В Австралии в сентябре 2003 года в регулярную эксплуатацию поступил опытный образец грузового моторвагонного поезда CargoSprinter для челночных контейнерных перевозок в порту Мельбурна. По данным оператора поезда, данный подвижной состав будет играть важную роль в достижении цели правительства Австралии – переводу 30 % портового трафика на железную дорогу в течение 10 лет. Поезд рассчитан на брутто-нагрузку в 600 тонн, но компания-оператор планировала добавить еще две платформы, увеличив загрузку на два-четыре TEU – в общей сумме до 750 тонн [4].
29 октября 2018 г. компания Mercitalia Logistiс представила новый 12-вагонный электропоезд ETR 500 для выполнения перевозок грузов в ночное время между Неаполем и Болоньей, используя высокоскоростную магистраль. Данный поезд был построен путем модернизации пассажирского состава и предназначен для перевозки контейнеров размерами 70х80х180 см. Поезд проходит маршрут протяженностью 550 км за 3 ч 30 мин со скоростью до 180 км/ч. Вместимость одного грузового поезда ETR 500 эквивалентна вместимости 18 автопоездов с прицепами или суммарно вместимости 9000 автопоездов в год. Использование подобного поезда позволит снизить на 80 % выбросы углекислых газов в атмосферу по сравнению с автомобильным транспортом [5]. Таким образом, внедрение проектов подвижного состава данного типа за рубежом происходило в местностях со значительными грузопотоками и высокой плотностью населения и направлено на снижение нагрузки на автодорожную инфраструктуру, а также улучшение экологической обстановки.
Нами был разработан алгоритм подбора моторных и прицепных вагонов в грузовом поезде моторвагонной тяги по критерию энергетической эффективности с условием обеспечения тяговых и сцепных свойств на расчетных подъемах. Подбор количества моторных и прицепных вагонов должен осуществляться исходя из массы груза предъявленного к перевозке и необходимой для его перевозки тяговой мощности. Таким образом необходимо исходить из суммарной мощности, требуемой для перевозки всего размера груза, а не из расчета тяговой мощности одного тягового модуля, под которым понимается один моторный вагон и допустимое количество прицепных к нему в составе моторвагонного поезда в соответствии с тяговыми расчетами. Для обеспечения наилучшего сцепления колеса с рельсом следует заполнять грузом в первую очередь моторные вагоны на всю допускаемую грузоподъемность, а следом прицепные.
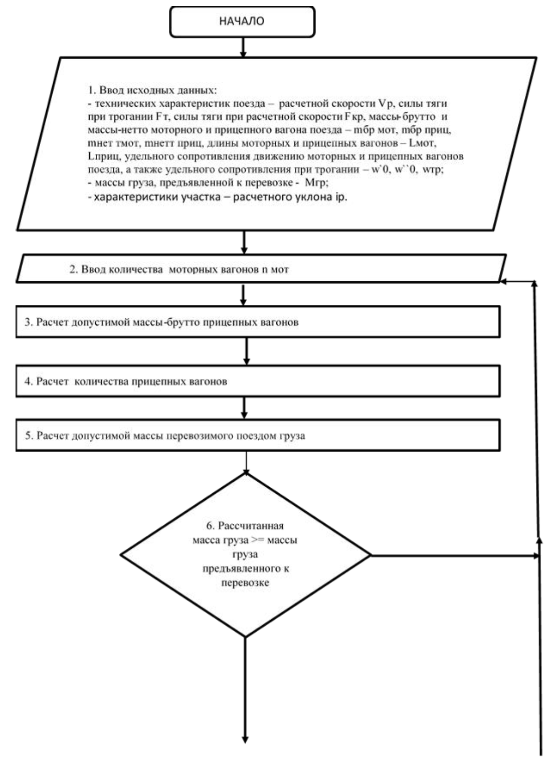
Расчет количества моторных вагонов производится итерационно, путем подбора их количества до полной загрузки предъявленного к перевозке груза с учетом тяговых и тормозных свойств поезда (Рис. 1).
Рис. 1. Алгоритм подбора моторных и прицепных вагонов модульного грузового электропоезда (Начало)
Рис. 1. Алгоритм подбора моторных и прицепных вагонов модульного грузового электропоезда (Продолжение)
Рис. 1. Алгоритм подбора моторных и прицепных вагонов модульного грузового электропоезда (Окончание)
В блоках 1 и 2 блоках алгоритма происходит ввод исходных данных для расчета, а также ориентировочное количество моторных вагонов. В блоке 3 алгоритма производится расчет допустимой массы-брутто прицепных вагонов в соответствии с [6]. В блоке 4 происходит расчет количества прицепных вагонов путем деления допустимой массы прицепных вагонов на допустимую массу-брутто 1 вагона. В блоке 5 производится расчет допустимой массы перевозимого поездом груза путем расчета суммы произведений допустимой грузоподъемности моторного и прицепного вагона на количество на их соответствующее количество. При этом согласно [6] происходит округление с точностью до 50 т. В блоке 6 производится проверка соответствия допустимой массы рассчитанного груза из блока 5 и груза предъявленного к перевозке. Если показатель признается удовлетворительным, то происходит переход в блок 7, иначе - изменение количества моторных вагонов. В блоке 7 производится распределение предъявленной массы груза по прицепным вагонам исходя из остатка груза после полной загрузки моторных вагонов. При этом вероятна ситуация, когда остатка груза для заполнения максимальной грузоподъемности прицепных вагонов будет недостаточно. В этом случае, остаток груза стоит распределять равномерно по всем прицепным вагонам. В блоках 8 и 9 происходит расчет показателей вагонов – количества осей поезда, средней осевой нагрузки по поезду, а также расчет массы-брутто прицепных вагонов поезда при трогании с места на расчетном подъеме в соответствии с [6]. В блоке 10 производится проверка: рассчитанная в блоке 9 масса прицепных вагонов при трогании с места должна быть больше массы брутто-поезда. Если показатель признается удовлетворительным, то происходит переход на блок 11, иначе – изменение количества моторных вагонов (блок 2). В блоке 11 производится проверка тягового модуля поезда на разрыв автосцепки исходя из силы тяги при трогании тягового модуля. В блоке 12 производится проверка на разрыв автосцепки в соответствии с условиями в [6]. Если проверка подтверждается, то происходит переход в блок 13, иначе изменение количества моторных вагонов (блок 2). В блоках 13 и 14 производится расчет длины поезда и проверки на возможность пропуска его по существующей инфраструктуре в соответствии с [6]. В случае удовлетворения данному условию, происходит переход в блок 15, иначе – возврат к вводу количества моторных вагонов (блок 2). В блоке 15 производится расчет количества прицепных вагонов в 1 модуле путем деления количества прицепных вагонов на количество моторных. Также рассчитывается масса тары поезда, как сумма произведений масс-нетто прицепных и моторных вагонов на их количество, вычисление коэффициента тары поезда, как отношение массы тары моторных и прицепных вагонов поезда к массе-брутто поезда. В блоке 16 происходит запись рассчитанных данных в натурный лист поезда и систему управления тягой и торможением.
При работе локомотива в зоне частичных нагрузок его эффективность значительно снижается. Выходом из данной ситуации является настройка локомотива на наиболее типичный режим работы. Однако разнообразие условий работы не позволяет создать универсальный локомотив, удовлетворяющий всем условиям [7]. Наиболее оптимальным в таких случаях может являться многодвигательный транспортный модуль, позволяющий регулировать мощность в зависимости от изменения профиля пути и массы перевозимого груза. Проблема недоиспользования доступной мощности локомотивов и моторвагонного подвижного состава при легком профиле пути и небольшой скорости движения для неполновесных и порожних составов неоднократно поднималась, поскольку многие участки железных дорог характерны неравномерностью грузопотоков в четном и нечетном направлениях [8]. Идея отключения части тяговых двигателей нашла свое воплощение в системе оптимального регулирования мощности многосекционных локомотивов [9].
Как отмечено в [10], экспериментальные данные показывают, что поосное регулирование трехсекционного электровоза ВЛ80С и регулирование мотор-вентиляторов обеспечивает снижение энергозатрат: при вождении угольных маршрутов массой 6000 т на отдельных перегонах до 7 %, а в целом на тяговом плече Экисбастуз – Целиноград около 1,5 %–2,5 %. При вождении порожних составов 1300–1600 т по участку около 7–8 %. Однако электровозы перед объединением в сцеп требуют специального подбора по схемам цепей управления, параметрам электрических машин, диаметрам бандажей колесных пар. Учитывая большую трудоёмкость этой операции, локомотивы после их объединения в сцепы в период эксплуатации не разъединяют, что приводит к неэффективному использованию парка, перепробегам [9].
Блок-схема алгоритма управления энергетической эффективностью представлена в [8]. Мы же сформируем модуль распределения работающих тяговых электродвигателей (ТЭД) по составу моторвагонного грузового электропоезда. Такое распределение должно производиться с учетом условий обеспечения выравнивания ресурса всех ТЭД моторных вагонов электропоезда, недопущения перегрева и переохлаждения ТЭД, недопущения срыва колесных пар в буксование при возрастании нагрузки на возвращаемые в режим тяги ТЭД, недопущении возникновения продольно-динамических нагрузок за счет плавного изменения мощности ТЭД при их переключении.
Преимущество разработанного алгоритма по сравнению с поитерационной последовательной загрузкой двигателей моторных вагонов от головного к хвостовому в том, что обеспечивается равномерное распределение тяги по составу, лучшая управляемость поездом и равномерный износ ТЭД.
РЕЗУЛЬТАТЫ
В соответствии с [8] и вышеописанным алгоритмом распределения работающих ТЭД нами были произведены энергетические расчеты на участках с горным профилем пути Медвежья Гора – Новый Поселок Октябрьской железной дороги, а также Кривенковская – Гойтх Северо-Кавказской железной дороги. На первом участке в расчетах участвовал трехсекционный электровоз переменного тока 3ЭС5К и моторвагонный грузовой электропоезд (МГЭП) распределенной тяги, тяговые и тормозные характеристики моторных вагонов которого приняты по аналогии с характеристиками электропоезда ЭС1 «Ласточка». На втором участке в расчетах участвовал трехсекционный электровоз постоянного тока 3ЭС4К и МГЭП. Массо-габаритные параметры прицепных вагонов МГЭП приняты аналогично параметрам фитинговой платформы модели 23-469-07. Масса перевозимого груза обеими поездами на участке Медвежья Гора – Новый Поселок одинакова и составляет 3800 т. На участке Кривенковская – Гойтх – 2350 т. Руководящий подъем на участке Медвежья Гора – Новый Поселок 12,5. Алгоритм показан на Рис. 2, результаты расчетов сведены в Табл. 1–6.
Рис. 2. Алгоритм распределения работающих тяговых электродвигателей (ТЭД) по составу моторвагонного грузового электропоезда
Таблица 1. Результаты расчетов Медвежья Гора – Новый Поселок
Наименование | 3ЭС5К | МГЭП | ||||
При регулировании отключений ТЭД | При не отключении ТЭД | При регулировании отключений ТЭД | При не отключении ТЭД | |||
Общ расход на тягу, кВт*ч | 3 585,36 | 3 988,65 | 3 424,48 | 4 224,37 | ||
Расход на собств нужды, кВт*ч | 35,85 | 39,89 | 34,24 | 42,24 | ||
Общий расход, кВт*ч | 3 621,21 | 4 028,53 | 3 458,73 | 4 266,62 | ||
Экономия между вариантами 1 вида тяги, кВт*ч | 407,32 | 807,89 | ||||
Удельный расход, Вт*ч/ткм | 16,77 | 18,65 | 16,02 | 19,76 | ||
Таблица 2. Результаты расчетов Новый Поселок – Медвежья Гора
Наименование | 3ЭС5К | МГЭП | ||
При регулировании отключений ТЭД | При не отключении ТЭД | При регулировании отключений ТЭД | При не отключении ТЭД | |
Общ расход на тягу, кВт*ч | 3 392,13 | 3 915,50 | 3 269,84 | 4 116,55 |
Расход на собств нужды, кВт*ч | 33,92 | 39,15 | 32,70 | 41,17 |
Общий расход, кВт*ч | 3 426,05 | 3 954,65 | 3 302,54 | 4 157,71 |
Экономия между вариантами 1 вида тяги, кВт*ч | 528,60 | 855,18 | ||
Удельный расход, Вт*ч/ткм | 15,86 | 18,31 | 15,29 | 19,25 |
Таблица 3. Сравнение энергетических расчетов двух видов тяги
Наименование | М.Гора - Н.Поселок | Н.Поселок - М.Гора | ||
При регулировании отключений ТЭД | При не отключении ТЭД | При регулировании отключений ТЭД | При не отключении ТЭД | |
Экономия между МГЭП и 3ЭС5К, кВт*ч | 162,49 | –238,08 | 123,51 | –203,06 |
Экономия между 2 видами тяги, % | –4,49 % | 5,91% | –3,61 % | 5,13 % |
Таблица 4. Результаты расчетов на участке Кривенковская – Гойтх
Наименование | 3ЭС4К | МГЭП | ||
При регулировании отключений ТЭД | При не отключении ТЭД | При регулировании отключений ТЭД | При не отключении ТЭД | |
Общ расход на тягу, кВт*ч | 1 754,83 | 2 189,72 | 1 844,39 | 2 196,67 |
Расход на собств нужды, кВт*ч | 17,55 | 21,90 | 18,44 | 21,97 |
Общий расход, кВт*ч | 1 772,38 | 2 211,62 | 1 862,84 | 2 218,64 |
Экономия между вариантами 1 вида тяги, кВт*ч | 439,24 | 355,80 | ||
Удельный расход, Вт*ч/ткм | 56,34 | 70,30 | 55,43 | 66,02 |
Таблица 5. Результаты расчетов на участке Гойтх – Кривенковская
Наименование | 3ЭС4К | МГЭП | ||
При регулировании отключений ТЭД | При не отключении ТЭД | При регулировании отключений ТЭД | При не отключении ТЭД | |
Общ расход на тягу, кВт*ч | 12,60 | 21,75 | 4,59 | 25,66 |
Расход на собств нужды, кВт*ч | 0,13 | 0,22 | 0,05 | 0,26 |
Общий расход, кВт*ч | 12,73 | 21,97 | 4,63 | 25,91 |
Наименование | 3ЭС4К | МГЭП | ||
При регулировании отключений ТЭД | При не отключении ТЭД | При регулировании отключений ТЭД | При не отключении ТЭД | |
Экономия между вариантами 1 вида тяги, кВт*ч | 9,24 | 21,28 | ||
Удельный расход, Вт*ч/ткм | 0,40 | 0,70 | 0,14 | 0,77 |
Таблица 6. Сравнение энергетических расчетов двух видов тяги.
Наименование | Кривенковская - Гойтх | Гойтх - Кривенковская | ||
При регулировании отключений ТЭД | При не отключении ТЭД | При регулировании отключений ТЭД | При не отключении ТЭД | |
Экономия между МГЭП и 3ЭС4К, кВт*ч | –90,46 | –7,02 | 8,09 | –3,95 |
Экономия между 2 видами тяги, % | –1,61 % | –6,09 % | –65,92 % | 10,43 % |
Как видно из результатов расчетов наибольший эффект при регулировании мощности ТЭД в зависимости от профиля пути и массы поезда появляется у модульного грузового электропоезда, поскольку мощность каждого ТЭД МГЭП меньше и регулирование требуемой мощности происходит более маневренно.
ЗАКЛЮЧЕНИЕ
На основании литературных источников сделан вывод о возможности повышения энергоэффективности многодвигательного тягового привода модульного грузового электропоезда путем регулирования мощности и числа работающих ТЭД.
Разработан алгоритм подбора моторных и прицепных вагонов в грузовом поезде моторвагонной тяги по критерию энергетической эффективности с условием обеспечения тяговых и сцепных свойств на расчетных подъемах.
Разработан алгоритм распределения работающих тяговых двигателей по составу МГЭП с учетом обеспечения требования выравнивания ресурса их работы, недопущения перегрева и переохлаждения ТЭД, повышения управляемости поездом.
Выполнены энергетические расчеты на участках Медвежья Гора – Новый Поселок Октябрьской ж.д. и Кривенковская – Гойтх Северо-Кавказской ж.д.
При использовании предлагаемых алгоритмов управления энергоэффективностью МГЭП путем подбора моторных и прицепных вагонов, регулирования мощности, числа тяговых двигателей и их распределения по составу МГЭП энергопотребление на участке Медвежья Гора – Новый Поселок может быть снижено на 20,5 % в направлении туда и на 18,9 % в направлении обратно без изменения графика движения. А при сравнении с поездом локомотивной тяги, регулирующим энергопотребление с помощью того же алгоритма на 4,49 % и 3,61 % соответственно. Энергопотребление на участке Кривенковская – Гойтх может быть снижено на 16 % в направлении туда и на 82 % в направлении обратно без изменения графика движения. А при сравнении с поездом локомотивной тяги, регулирующим энергопотребление по тому же алгоритму на 1,61 % и 65,92 % соответственно.
About the authors
Pavel S. Troitskiy
Emperor Alexander I St. Petersburg State Transport University
Author for correspondence.
Email: paveltroickiy@mail.ru
ORCID iD: 0000-0002-9110-4387
SPIN-code: 2510-5734
postgraduate, Department of Electric traction
Russian Federation, St. Peterburg, Moskovskiy ave., 9References
- Лапидус Б.М., Мачерет Д.А. Макроэкономическая роль железнодорожного транспорта: Теоретические основы, исторические тенденции и взгляд в будущее. – М.: КРАСАНД, 2014. – 234 с. [Lapidus B.M., Macheret D.A. Makroekonomicheskaya rol' zheleznodorozhnogo transporta: Teoreticheskie osnovy, istoricheskie tendencii i vzglyad v budushchee. Moscow: KRASAND, 2014. – 234 p. (In Russ.)].
- Зарубежный железнодорожный транспорт. Дайджест 2002-2004. – С. 39–41 / По заказу Департамента реализации научно-технических программ ОАО «РЖД»; – М.: 2005. – 93 с. [Zarubezhnyj zheleznodorozhnyj transport. Dajdzhest 2002-2004. pp. 39-41 / Po zakazu Departamenta realizacii nauchno-tekhnicheskih programm Russian Railways; Otv. Za vypusk: M.G.Arkushin. Moscow: 2005. 93 p. (In Russ.)].
- Jackson Ch. Effective ĺt Speedy wins the traffic. Railway Gazette International. 2005;(5):267-270.
- CargoSprinter prototype regular service in the Bort of Melbourne. Railway Gazette International. 2003;(10):611.
- Mercitalia Fasts New High Speed Freight Service. Railvolution. 2019;1(19):22-23.
- Правила тяговых расчетов для поездной работы – Утверждены Распоряжением ОАО «РЖД» от 12.05.2016 №867р – 515 с. [Pravila tyagovyh raschetov dlya poezdnoj raboty – Utverzhdeny Rasporyazheniem Russian Railways ot 12.05.2016 № 867r. 515 p. (In Russ.)].
- Гапанович В.А., Авилов В.Д., Аржанников Б.А. и др. Энергосбереждение на железнодорожном транспорте: учебник для вузов / под ред. В.А. Гапановича. – М.: Изд. Дом МИСиС, 2012. – 620 с. [Gapanovich VA, Avilov VD, Arzhannikov BA, et al. Energosberezhdenie na zheleznodorozhnom transporte: uchebnik dlya vuzov. Gapanovich VA, editor. Moscow: MISiS; 2012. 620 p. (In Russ.)].
- Зарифьян А.А. (мл.) Алгоритм повышения энергетической эффективности электровозов с асинхронным тяговым приводом при питании от сети постоянного тока // Вестник Ростовского государственного университета путей сообщения. – 2016. – № 1. – C. 50–59. [Zarif'yan AA. Algoritm povysheniya energeticheskoj effektivnosti elektrovozov s asinhronnym tyagovym privodom pri pitanii ot seti postoyannogo toka. Brief Summary of the Journal. 2016;(1):50-59 (In Russ.)].
- Пыров А.Е. Современные системы управления электровозами // Железнодорожный транспорт. – 2005. – № 2. – С. 64–66. [Pyrov AE. Sovremennye sistemy upravleniya elektrovozami // Zheleznodorozhnyj transport. 2005;(2):64-66 (In Russ.)].
- Сорокин С.В. Повышение экономичности многосекционных электровозов переменного тока при вождении грузовых поездов: автореф. дис. канд. техн. Наук. – М.: МИИТ, 1991. – 24 с. [Sorokin SV. Povyshenie ekonomichnosti mnogosekcionnyh elektrovozov peremennogo toka pri vozhdenii gruzovyh poezdov: avtoref. dis. kand. tekhn. Nauk. Moscow: MIIT; 1991. 24 p. (In Russ.)].
Supplementary files







