Расчет геометрических размеров левитационного полотна
- Авторы: Ким К.К.1, Вешкин В.В.1, Крон И.Р.1
-
Учреждения:
- Петербургский государственный университет путей сообщения Императора Александра I
- Выпуск: Том 6, № 2 (2020)
- Страницы: 47-60
- Раздел: Оригинальные статьи
- URL: https://journals.eco-vector.com/transsyst/article/view/25859
- DOI: https://doi.org/10.17816/transsyst20206247-60
- ID: 25859
Цитировать
Полный текст
Аннотация
Обоснование: при создании транспортных систем с магнитным подвесом важное значение играет вопрос уменьшение металлоемкости левитационного полотна.
Цель: разработатьобоснованные рекомендации по выбору геометрических размеров левитационного полотна.
Методы: использовались основные положения теории электромагнитного поля и аспекты теории Фурье.
Результаты: обоснованы оптимальные значения ширины и толщины левитационного полотна.
Заключение: при выборе ширины полотна следует руководствоваться соображениями, связанные с расходом материала и с появлением боковых электромагнитных сил, величина которых тем значительнее, чем больше отношение поперечного смещения соленоида возбуждения к ширине полотна. С точки зрения электродинамики величину порядка нескольких сантиметров можно рассматривать как верхний предел толщины полотна.
Полный текст
ВВЕДЕНИЕ
В последнее время среди потенциально возможных решений проблемы высокоскоростного наземного транспорта (ВСНТ) являются системы, в которых подвижной состав (экипаж) движется в трубе с разреженной атмосферой, что обеспечивает низкое значение аэродинамического сопротивления и независимость от внешних условий. Высокие скорости (600 км/ч и выше), развиваемые транспортом такого рода, требуют инженерного решения ряда вопросов, например, вопроса замены традиционной пары «колесо-рельс», которая не справляется со своими обязанностями при таких скоростях. Наиболее достойной заменой являются системы магнитной левитации [1].
В настоящей работе рассматривается система магнитной левитации отталкивания (электродинамического типа). Принцип последней, как известно, основан на использовании электромагнитных сил, образующихся при взаимодействии магнитного поля движущихся сверхпроводящих соленоидов, расположенных на экипаже, с вихревыми токами, индуцированными им в электропроводящей структуре, находящейся на путевом полотне. Возможны два варианта выполнения данной электропроводящей структуры: в виде сплошным полотном либо в виде периодической дискретной катушечной структуры [2].
В данной работе рассматривается вариант со сплошной полосой, здесь основной задачей является рациональный выбор поперечных размеров полотна, что связано с уменьшением металлоемкости последнего. В работе будет обсужден вопрос об условиях этого выбора, исходя из требований электродинамики системы левитации.
I. МАГНИТНОЕ ПОЛЕ
Для решения указанной задачи необходимо рассмотреть электромагнитные силы в системы с учетом краевых эффектов. При этом достаточно ограничиться случаем, когда источник содержит один соленоид (его будет имитировать прямоугольная рамка с током). Рассмотрим модель, представленную на Рис. 1. Здесь обозначены: c иd – ширина и толщина полотна, μ и σ – магнитная проницаемость и проводимость полотна ( ), 2a и 2b– размеры рамки с током I, h – высота подвеса. Токовая рамка движется параллельно потоку в направлении x со скоростью v. Координатная система xyz связана с рамкой. Аналогичная модель, но при полотне бесконечных размеров рассматривалась в [3].
Рис. 1. Схема системы магнитной левитации
Электромагнитные процессы в полотне описываются уравнением диффузии магнитного поля
(1)
Здесь – орты, ∆ – трехмерный лапласиан. Во всем остальном пространстве имеет силу уравнение Лапласа. В системе координат xyz (они неподвижны относительно токовой рамки) уравнение (1) получает вид:
(2)
Переход от уравнения (1) к (2) строго справедлив при постоянной скорости токовой рамки. Однако он допустим и в условиях переменной скорости, если при этом не возникают (либо они незначительны) переходные электромагнитные процессы.
Как можно видеть из приводимых ниже рис. 5 и 6 система левитации при высоких скоростях источника отличается высокой инерционностью в электромагнитном отношении.
Заменим источник слоем тока с полностью , равной
(3)
Полагаем, что указанный слой совпадает с проекцией полотна на плоскость xy. В соответствии с геометрией рассматриваемой модели можем записать
(4)
(5)
Здесь kx– волновой вектор в направлении x,
(6)
(7)
Таким образом, задача о магнитном поле в рассматриваемой системе сводится к решению уравнений (2) и Лапласа при источнике, определяемом соотношениями (3)–(7). Эти решения должны удовлетворять условиям стыковки поля на границах областей, условиям бесконечности
где jy – y-компонента плотности тока в полотне.
В силу линейности задачи искомые решения не должны отличаться по структуре от соотношений (4) и (5). Имея в виду это, можно рассчитать вихревое поле во всех областях рассматриваемой системы, но для дальнейшего достаточно знать это поле только в плоскости токовой рамки. Оно дается соотношениями
(8)
(9)
(10)
где
II. ЭЛЕКТРОМАГНИТНЫЕ СИЛЫ
Электромагнитные силы, действующие на токовую рамку, образуются за счет взаимодействия вещественной части вихревого поля (8)–(10) с током в рамке [4–8]. Эти силы равны
(11)
Здесь – нормирующий множитель, D и L–безразмерные силы торможения и левитации соответственно. Последние рассчитываются по формулам
(12)
(13)
где
(14)
(15)
Теперь можно рассмотреть частные случаи.
При бесконечно толстом полотне () из (14) и (15) имеем
Если к тому же (случай идеально проводящего полотна, существенно высокой скорости движения токовой рамки), то и Zx=0, Zz=1. Следовательно, тормозящая сила исчезает (отсутствуют джоулевые потери в полотне), а подъемная сила достигнет верхнего предела.
При бесконечно широком полотне () в (12) и (13) можно совершить предельный переход. Так как при этом , где ky– волновой вектор в направлении y, , то из (12) и (13) получим результаты, приведенные в работе [3]
III. РЕЗУЛЬТАТЫ РАСЧЕТОВ
На Рис. 2–8 представлены результаты расчетов безразмерных сил торможения (D) и левитации (L) по приведенным формулам. Расчеты выполнялись при следующих размерах токовой рамки и параметрах левитационного полотна: a=0,25 м, b=1,5 м, , . Из этих рисунков можно получить представление о силовых характеристиках левитационной системы с учетом краевых эффектов.
В полотне ограниченной ширины нет растекания токов, которое наблюдается в неограниченной плите. Это приводит к увеличению плотности этих токов, следовательно, и электромагнитных сил (Рис. 2, 3). Однако, указанное увеличение тем значительнее, чем меньше высота подвеса соленоида, поскольку с ее уменьшением поле соленоида в полотне растет быстрее, чем за его пределами (в плоскости полотна). При рекомендуемых в литературе значениях высоты электродинамического подвеса с использованием сверхпроводящих соленоидов возбуждения (0,2–0,3 м) краевой эффект, обусловленный ограниченностью ширины полотна, проявляется умеренно и им можно пренебречь, если ширина полотна удовлетворяет следующему условию . Это следует из Рис. 2 и 3, где пунктирные линии дают значения электромагнитных сил при бесконечно широком полотне.
Рис. 2. Зависимость сил торможения D от ширины полотна cпри различных значениях высоты подвеса h
Рис. 3. Зависимость сил левитации L от ширины полотна cпри различных значениях высоты подвеса h
Критерием совершенства системы подвеса в электромагнитном отношении может служить отношение , известное под названием левитационного качества [9–15]. Из рис. 4 видно, что эта величина незначительно зависит от ширины полотна и находится на уровне, соответствующем полотну неограниченных размеров (пунктирные линии). Поэтому при выборе ширины полотна следует руководствоваться соображениями, связанные с расходом материала и с появлением боковых электромагнитных сил, величина которых тем значительнее, чем больше отношение поперечного смещения соленоида возбуждения к ширине полотна. Возможно, указанные противоречивые соображения будут согласованы, если ширину полотна оценить по формуле .
Рис. 4. Зависимость левитационного качества L/D от ширины полотна c при различных значениях высоты подвеса h
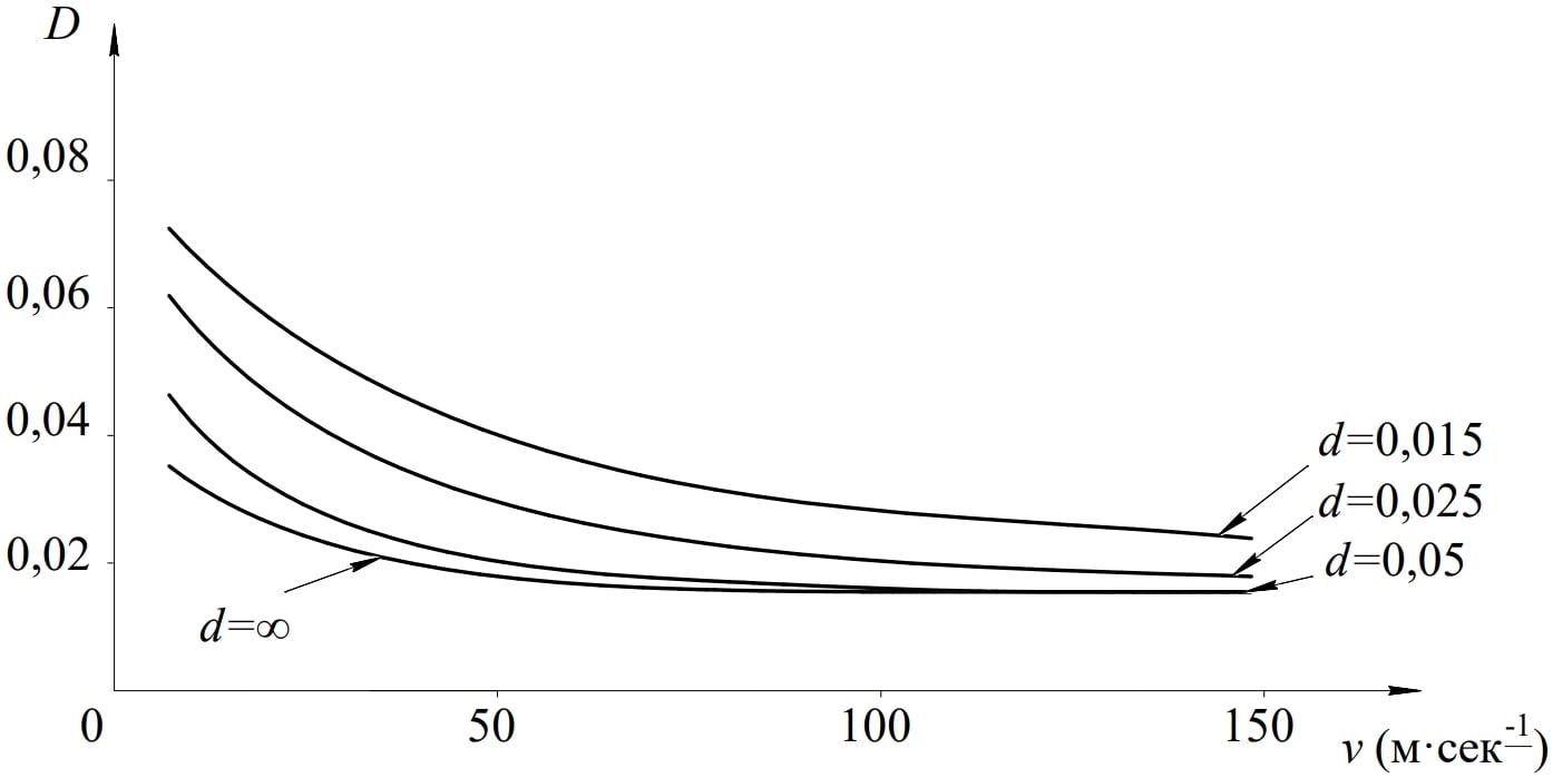
С уменьшением толщины полотна растет плотность вихревых токов. В связи с этим с этим увеличиваются джоулевые потери в полотне, следовательно, и тормозная сила (Рис. 5). Однако, из-за скин-эффекта, толщина полотна при высоких скоростях соленоида проявляются в меньшей степени. Поэтому с увеличением скорости соленоида зависимость электромагнитных сил от толщины полотна становится более слабой. Это касается как тормозной, так и подъемной силы (Рис. 6).
Рис. 5. Зависимость сил торможения D от скорости v при различных значениях толщины полотна d
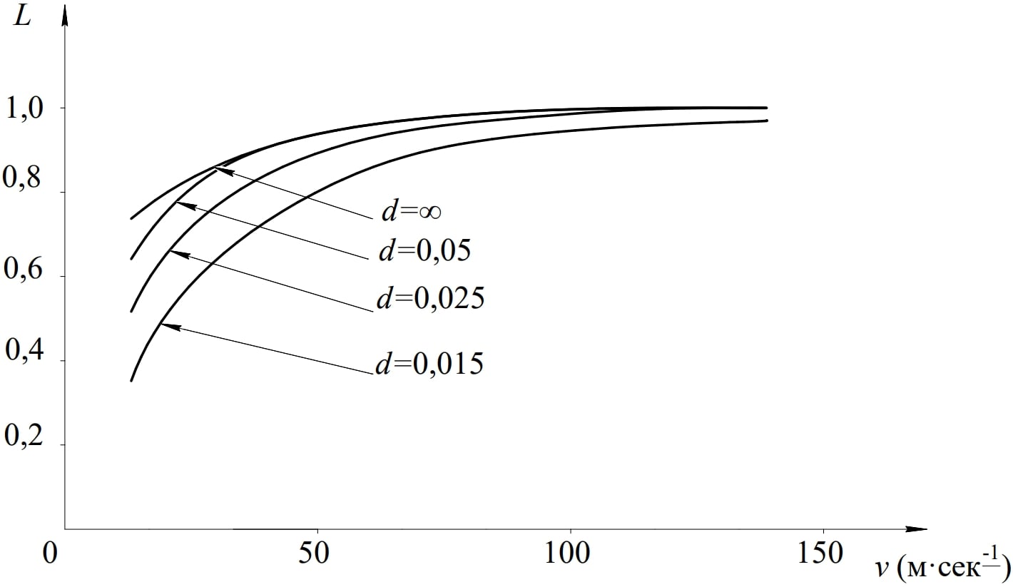
В тонком полотне плотность вихревых токов (x-компонента) распределяется более равномерно по ширине полотна. Это вызывает ослабление вихревого поля в области, занятой продольными сторонами соленоида, и приводит к соответствующему изменению подъемной силы с уменьшением толщины полотна (Рис. 6).
Рис. 6. Зависимость сил левитации L от скорости v при различных значениях толщины полотна d
Левитационное качество заметно зависит от толщины полотна (Рис. 7). Ухудшение этого показателя с уменьшением толщины объясняется ростом джоулевых потерь в полотне (Рис. 5), в то время как подъемная сила приближается к одному уровню. При толщине полотна ~ 0,05 м левитационное качество достигает уровня, соответствующего бесконечно толстому полотну. Эти закономерности наблюдаются и при других значениях ширины полотна (Рис. 8). Таким образом, с точки зрения электродинамики величину ~ 0,05 м можно рассматривать как верхний предел толщины полотна. Вопрос о конкретном значении толщины полотна, которая будет меньше 0,05 м, должен решаться в соответствии с требованиями, связанными с механической прочностью и жесткостью полотна в условиях импульсивного действия механической и тепловой нагрузки.
Рис. 7. Зависимость левитационного качества L/D от толщины полотна d при различных значениях высоты подвеса h
Рис. 8. Зависимость левитационного качества L/D от толщины полотна d при различных значениях ширины полотна с
ЗАКЛЮЧЕНИЕ
При выборе ширины левитационного полотна следует руководствоваться соображениями, связанными с минимизацией расхода металла, и с появлением боковых электромагнитных сил дестабилизирующего характера, величина которых тем значительнее, чем больше отношение поперечного смещения соленоида возбуждения к ширине полотна. С точки зрения электродинамики величину порядка нескольких сантиметров можно рассматривать как верхний предел толщины левитационного полотна.
Об авторах
Константин Константинович Ким
Петербургский государственный университет путей сообщения Императора Александра I
Автор, ответственный за переписку.
Email: kimkk@inbox.ru
ORCID iD: 0000-0001-7282-4429
SPIN-код: 3278-4938
https://www.pgups.ru/sveden/employees/kim-konstantin-konstantinovich
Доктор технических наук, профессор
Россия, 190031, Санкт-Петербург, Московский пр., 9Вадим Витальевич Вешкин
Петербургский государственный университет путей сообщения Императора Александра I
Email: Vadim.veshkin@mail.ru
ORCID iD: 0000-0002-7363-9919
SPIN-код: 1829-2845
https://www.pgups.ru/sveden/employees/veshkin-vadim-vitalevich
Аспирант
Россия, 190031, г. Санкт-Петербург, Московский пр., 9Игорь Романович Крон
Петербургский государственный университет путей сообщения Императора Александра I
Email: mechenu@icloud.com
ORCID iD: 0000-0003-1690-0524
SPIN-код: 6604-2966
Студент
Россия, 190031, г. Санкт-Петербург, Московский пр., 9Список литературы
- Borcherts RH, Davis LC, Reitz JR, Wilkie DF. Baseline specifications for a magnetically suspended highspeed vehicle. Proc. IEEE. 1973;61(5):569-578. doi: 10.1109/PROC.1973.9113
- Gutberlet H. The German magnetic transportation program. IEEE Transactions on Magnetics. 1974;10(3):417-420. doi: 10.1109/tmag.1974.1058431
- Reitz JR, Davis LC. (). Force on a Rectangular Coil Moving above a Conducting Slab. Journal of Applied Physics, 1972:43(4):1547-1553. doi: 10.1063/1.1661359
- Ким К.К. Системы электродвижения с использованием магнитного подвеса и сверхпроводимости (монография). – М.: ГОУ «Учебно-методический центр по образованию на железнодорожном транспорте», 2007. – 360 с. – ISBN 978-5-89035-527-0. [Kim KK. Sistemy elektrodvizheniy s ispol'zovaniyem magnitnogo podvesa i sverkhprovodimosti (monograph). Moscow: Uchebno-metodicheskiy tsentr po obrazovaniyu na zheleznodorozhnom transporte; 2007. 360 p. (In Russ.)].
- Кузнецов А.А., Мешкова О.Б. Модернизация спектрального оборудования для диагностирования и ремонта подвижного состава // Транспорт Урала. – 2009. – № 2. – С. 86–90. [Kuznetsov AA, Meshkova OB. Spectral equipment retrofit for rolling stock diagnosis and repair. Transport Urala. 2009;2:86-90. (In Russ.)]. Доступно по: http://www.usurt.ru/transporturala/rus/magazines. Ссылка активна на: 25.02.2020.
- Бахвалов Ю.А., Бочаров В.И., Винокуров В.А., Нагорский В.Д. Транспорт с магнитным подвесом / под ред. В.И. Бочарова. – М.: Машиностроение, 1991. – 320 с. [Bakhvalov YuA, Bocharov VI, Vinokurov VA, Nagorskiy VD. Transport s magnitnym podvesom. Bocharov VI, editor. Moscow: Mashinostroyeniye; 1991. 320 p. (In Russ.)]. Доступно по http://padabum.com/d.php?id=38516. Ссылка активна на: 25.02.2020.
- Бочаров В.И., Салли И.В., Дзензерский В.А. Транспорт на сверхпроводящих магнитах / под ред. Ю.А. Бахвалова. Ростов: Изд-во Ростовского университета, 1988. – 152 с. [Bocharov VI, Salli IV, Dzenzerskiy VA. Transport na sverkhprovodyashchikh magnitakh. Bakhvalov YuA, editor. Rostov: Izd-vo Rostovskogo universiteta; 1988. 152 p. (In Russ.)].
- Зайцев А.А., Антонов Ю.Ф. Магнитолевитационная транспортная технология / под ред. В.А. Гапановича. – М.: ФИЗМАТЛИТ, 2014. – 476 с. [Zaitsev AA, Antonov YuF. Magnitolevitatsionnaya transportnaya tekhnologiya. Gapanovich VA, editor. Moscow: FIZMATLIT; 2014 476 p. (In Russ.)]. Доступно по: https://b-ok2.org/book/2901328/800f1a. Ссылка активна на: 25.02.2020.
- Кузнецов А.А., Зверев А.Г., Бураченко К.А., Власов В.С., и др. Исследование переходных процессов в линейных электрических цепях с электромеханическими коммутационными элементами / Сборник трудов международной научно-практической конференции «Инженерные и научные приложения с использованием технологий NationalInstruments – 2012». 6–7 декабря 2012 года; – М.: МТУСИ, 2012. – С. 231–233. [Kuznetsov AA, Zverev AG, Burachenko KA, Vlasov VS, et al. Issledovaniye perekhodnykh protsessov v lineynykh elektricheskikh tsepyakh s elektromekhanicheskimi kommutatsionnymi elementami. Proceedings of the International Scientificand Practical Conference “Inzhenernyye i nauchnyye prilozheniya s ispol'zovaniyem tekhnologiy NationalInstruments – 2012”. 2012 Dec 6–7; Moscow: MTUSI; 2012. pp.231–233 (In Russ.)]. Доступно по https://www.elibrary.ru/item.asp?id=22849447 Ссылка активна на: 25.02.2020.
- Иванов С.Н. Системы управления электротехническими устройствами для генерации тепловой энергии и транспортирования теплоносителя // Известия Петербургского университета путей сообщения. – 2010. – № 3. – С. 249–257. [Ivanov SN. Electrical Devices Control Systems for Thermal Energy Generation and Heat Carrier Transportation. Proceedings of Petersburg Transport University. 2010; (3): 249-257. (In Russ)]. Доступно по https://cyberleninka.ru/article/n/sistemy-upravleniya-elektrotehnicheskimi-ustroystvami-dlya-generatsii-teplovoy-energii-i-transportirovaniya-teplonositelya. Ссылка активна на: 25.02.2020.
- Никитин В.В., Стрепетов В.М. Энергообеспечение бортовых электромагнитов комбинированной системы левитации и тяги на переменном токе // Транспортные системы и технологии. – 2017, – Т. 3. – № 3. – С. 25–38. [Nikitin VV, Strepetov VM. Vehicle Electromagnets Energy Supply of A.C. Combined Levitation and Traction System. Transportation Systems and Technology. 2017;3(3):25-38. (Russ., Engl.)]. doi.org/10.17816/transsyst20173272-74
- Никитин В.В., Стрепетов В.М., Волювач А.С. Варианты схем электроснабжения транспортного средства с комбинированной системой левитации и тяги на переменном токе // Известия высших учебных заведений. Проблемы энергетики. – 2010. – № 3–4, – С. 54–62. [Nikitin VV, Strepetov VM, Volyuvach AS. Variants of electric supply schemes for the vehicle with alternative current levitation and traction combined system. Power engineering: research, equipment, technology. 2010;(3-4):54-62. (In Russ.)]. Доступно по https://www.elibrary.ru/item.asp?id=15211805. Ссылка активна на: 25.02.2020.
- Никитин В.В., Стрепетов В.М. Оценка энергетической эффективности пусковых режимов работы комбинированной системы левитации и тяги на однофазном переменном токе // Известия Петербургского университета путей сообщения. – 2006. – № 2(7). – С. 145–159. [Nikitin VV, Strepetov VM. Otsenka energeticheskoy effektivnosti puskovykh rezhimov raboty kombinirovannoy sistemy levitatsii i tyagi na odnofaznom peremennom toke. Proceedings of Petersburg Transport University. 2006;(2):145-159. (In Russ.)]. Доступно по https://cyberleninka.ru/article/n/otsenka-energeticheskoy-effektivnosti-puskovyh-rezhimov-raboty-kombinirovannoy-sistemy-levitatsii-i-tyagi-na-odnofaznom-peremennom. Ссылка активна на: 25.02.2020.
- Сика З.К., Куркалов И.И., Петров Б.А. Электродинамическая левитация и линейные синхронные двигатели транспортных систем. – Рига: Зинатне, 1988. – 258 с. [Sika ZK, Kurkalov II, Petrov BA. Elektrodinamicheskaya levitatsiya i lineynyye sinkhronnyye dvigateli transportnykh sistem. Riga: Zinatne; 1988. 258 p. (In Russ.)]
- Кочетков В.М. О левитационном качестве систем электродинамичеcкого подвешивания со сплошной путевой структурой // Известия высших учебных заведений. Электромеханика. – 1983. – № 2. – С. 5–10. [Kochetkov VM. O levitatsionnom kachestve sistem elektrodinamicheckogo podveshivaniya so sploshnoy putevoy strukturoy. Izvestiya vysshikh uchebnykh zavedenii. Elektromekhanika. 1983;(2):5-10. (In Russ.)].
Дополнительные файлы











