Development of a system for control of electric energy parameters in the distribution network
- Authors: Kazymov I.M.1, Kompaneets B.S.1, Drobyazko O.N.1
-
Affiliations:
- Altai State Technical University named I. I. Polzunov
- Issue: Vol 7, No 2 (2021)
- Pages: 106-118
- Section: Original papers
- URL: https://journals.eco-vector.com/transsyst/article/view/65325
- DOI: https://doi.org/10.17816/transsyst202172106-118
- ID: 65325
Cite item
Full Text
Abstract
Background: The creation and distribution of technical means and complexes aimed at building effective control systems for electrical networks using information that can be collected by modern metering devices, as well as organizing work in an automated mode, is an urgent task at the present stage of development of the electric power industry in Russia and in the world.
Aim: The research presented in this article is aimed at creating an effective system for monitoring the parameters of electrical energy in distribution networks of low and medium voltage levels.
Methods: The study was carried out using the theoretical foundations and basic laws of electrical engineering, as well as methods of computer modeling and CAD.
Results: A description of the developed system is given, the applicability of its use is graphically shown and substantiated in writing, the possibilities and prospects of application are indicated, and recommendations for practical application are given.
Conclusion: The results obtained can be used by power grid companies to analyze the state and efficiency of power grids, and may also be of interest to researchers working on the creation of digital twins of power grids.
Full Text
ВВЕДЕНИЕ
В настоящее время цифровизация электроэнергетических систем и сетей является одним из важнейших направлений развития отечественной и мировой электроэнергетики. Так, задача цифровизации электроэнергетического комплекса была поставлена в 2018 году Указом Президента Российской Федерации [1]. На основании данного указа ведущими электросетевыми компаниями страны были сформированы концепции проведения цифровизации сетей [2], в которых говорится о важности работ в данном направлении и планах компаний по осуществлению «Цифровой трансформации» электросетевого комплекса страны. В 2018–2019 были определены ключевые направления цифровизации электрических сетей, утверждён паспорт программы «Цифровая трансформация электроэнергетики России» и определена новая парадигма развития электроэнергетики [3, 4]. Таким образом, цифровизация электрических сетей страны и создание их «цифровых двойников», являются на сегодняшний день актуальными и современными направлениями исследований.
В настоящее время в электросетевых компаниях Российской Федерации проводятся мероприятия по оснащению распределительных сетей низкого напряжения современными приборами учёта с возможностью передачи показаний в автоматическом режиме для создания системы АИИС КУЭ, однако получаемые данные зачастую имеют некорректный или неполный характер ввиду различных объективных причин. Устранение различных технических трудностей позволит получать корректную информацию о сети и её потребителях, что, в свою очередь, сделает возможным полностью использовать измерительные возможности прибора учёта и на основании полученной информации реализовать проведение автоматизированный контроль за распределительными сетями.
Однако по тем или иным причинам не практикуется использование возможностей современных приборов учёта для передачи всех возможных измеряемых параметров, в большинстве случаев передаются для обработки только данные о потреблённой электрической энергии за расчетный период.
Очевидно, что создание и распространение технических средств и комплексов, направленных на построение эффективной системы, использующей информацию, которая может быть собрана современными приборами учета, а также организация ее работы в составе автоматизированного рабочего места для сотрудников электросетевых организаций является актуальной задачей на настоящем этапе развития электроэнергетики в России и в мире.
ПОСТАНОВКА ЗАДАЧИ
Система контроля параметров электрической энергии в распределительной сети должна отвечать следующим требованиям:
- возможность работы как с современными приборами учета, входящими в АИИС КУЭ, так и с разработанными устройствами для контроля параметров электрической энергии в сети в месте его установки;
- возможность работать в составе автоматизированного рабочего места;
- возможность накапливания и предоставления статистики результатов анализа сетей;
- перспективность (ориентированность на развитие отрасли в части цифровой трансформации, а именно в части создания цифровых двойников электрических сетей) [5, 6].
В силу объективных причин, своевременное и точное определение факта и места неучтённого потребления электрической энергии невозможно без применения специализированных программно-аппаратных технических средства и комплексов.
Такая система контроля параметров электрической энергии в распределительной сети должна позволять получать точные результаты анализа сети на предмет наличия неучтённого потребления электрической энергии и/или присутствия в сети повышенных технических потерь за короткое время, а также иметь возможности для дальнейшей модернизации в автоматизированную систему для обеспечения возможности контроля сетей в реальном времени.
СИСТЕМА КОНТРОЛЯ ПАРАМЕТРОВ ЭЛЕКТРИЧЕСКОЙ ЭНЕРГИИ В РАСПРЕДЕЛИТЕЛЬНОЙ СЕТИ
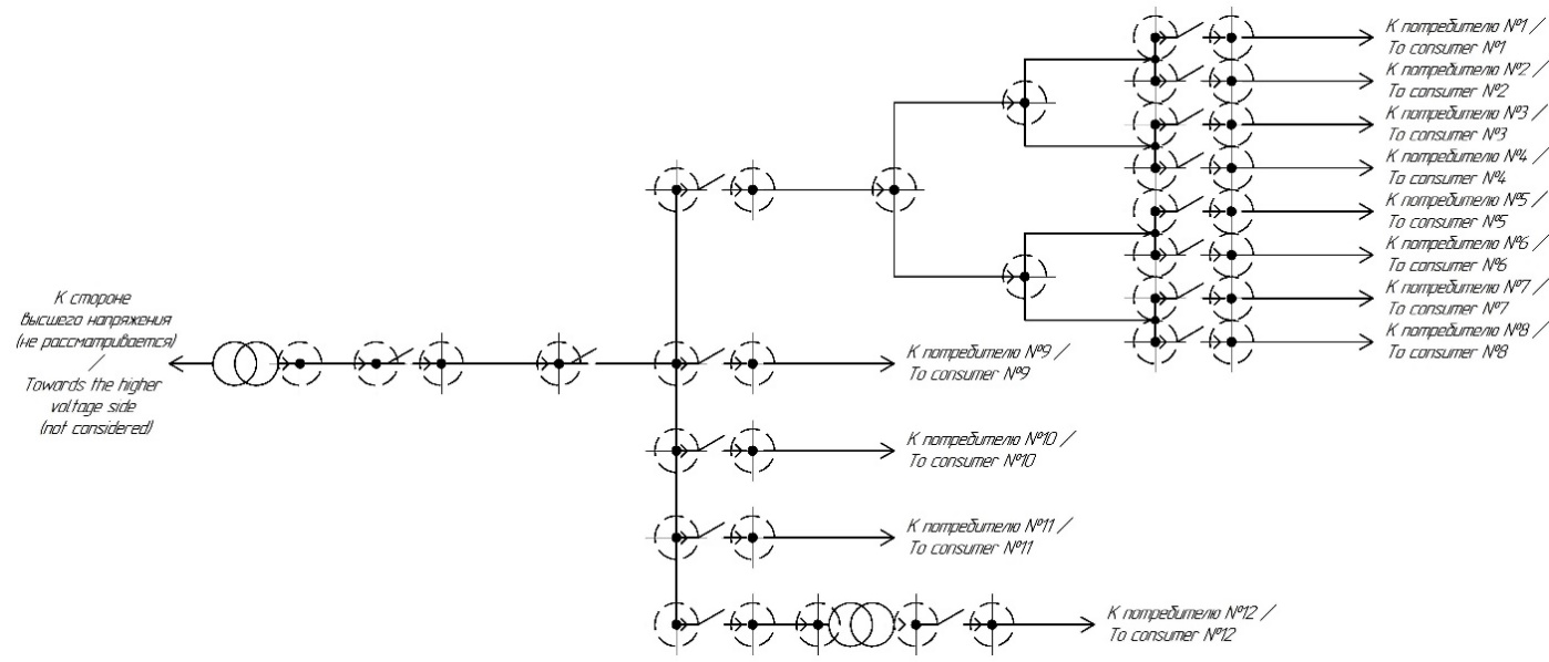
Системой контроля параметров электрической энергии в распределительной сети может называться система, состоящая из устройства сбора и обработки данных с установленным необходимым программным обеспечением и устройств для контроля параметров электрической энергии в сети в точке их установки (либо современных приборов учета, связанных в АИИС КУЭ) в количестве двух и более штук (верхний предел на практике ограничивается конечным числом потребителей электрической энергии и элементов электрической сети в реальных распределительных сетях), причем обязательной является установка устройства контроля на выводах источника питания. Методика определения числа необходимых к установке приборов в сети приведена в [7].
Упрощённо пример расположения устройств контроля параметров электрической энергии в сети в рассматриваемой распределительной сети низкого и/или среднего уровня напряжений показан на Рис. 1.
Из представленного на Рис. 1 следует, что влияние каждого элемента электрической сети может быть учтено и показано в отдельности, в том числе в отрыве от остальных элементов.
Поэтому, на основании анализа Рис. 1, становится очевидно, что в таком случае в рамках представляемой системы контроля возможно построение цифровой модели распределительной сети с системой её контроля.
Создание цифрового представления электрических сетей является наиболее важной составляющей системы контроля, так как корректное проведение анализа широко разветвлённых электрических сетей аналитически человеком неэффективно по ряду причин (высокие временные и финансовые затраты, низкое качества анализа, возможные ошибки, невозможность сопоставления полученных результатов с базой результатов анализа аналогичных сетей), а, следовательно, вся информация, получаемая с устройств сбора и обработки данных должна обрабатываться и представляться в цифровом представлении электрической сети в виде, удобном как для восприятия человеком, так и для проведения автоматизированного анализа с помощью ЭВМ. Очевидно, что в данном случае электрическая сеть должна быть разбита на ряд отдельных элементов, между которыми заданы связи, показывающие их связь в реальной электрической сети (в том числе и конечные потребители электрической энергии). Тогда будет возможно масштабирование электрических сетей и, в том числе, объединение сетей двух и более классов напряжения в единую цифровую картину. С учётом масштабов распределённости сетей низкого и среднего уровня напряжений обеспечение возможности проведения анализа эффективности их работы автоматизированно с использованием ЭВМ позволит значительно сократить издержки, связанные с проведение обходов сетей и выявить все имеющиеся несоответствия в электрической сети [8–12].
Упрощённое представление цифровой модели показано на Рис. 2, где штриховой линией показаны точки установки приборов контроля параметров электрической энергии, элементы (иными словами – участки сети) обозначены условно и имеют три параметра:
- наименование (Л – линия [line]; Р – разъединитель [disconnector]; Т–трансформатор [transformer]; П – потребитель [consumer]) с нумерацией согласно правилам выполнения нумерации;
- величина утечки тока на элементе ∆I (для потребителей имеет смысл использовать параметр потребляемого тока I);
- величина падения напряжения на элементе ∆U (для потребителей имеет смысл использовать параметр напряжения в точке подключения U).
Стоит отметить, что линии связи между элементами отражают последовательность их соединения между собой и не подразумевают наличия дополнительных элементов в любом случае, однако при различном числе устройств сбора и передачи информации под одним элементом в цифровом представлении электрической сети может подразумеваться множество элементов в реальной электрической сети. В таком случае точность определения мест возникновения всех несоответствий и точность получаемых данных в целом снижается по причине низкой разрешающей способности цифрового представления электрической сети.
Нетрудно заметить, что в данном случае не учтены сборные шины распределительных устройств в качестве отдельных элементов (например, отсутствует прибор контроля параметров электрической энергии на отходящих клеммах «Р2»). Это допущение сделано ввиду высокой надёжности сборных шин и малой их физической протяженности. При этом сохраняется возможность идентификации поврежденного участка шин ввиду наличия множества устройств на отходящей стороне сборных шин.
Элементы заданы лишь относительными значениями параметров для обеспечения оптимального соотношения: число параметров – информативность. Ввиду того, что параметрами конечных элементов являются абсолютные значения электрических величин, абсолютное значение каждой из величин в любой точке сети может быть получено при помощи простейших арифметических операций на основании уже имеющихся данных. Именно благодаря этому решению достигается удобство цифрового представления электрической сети в первом приближении.
Однако создание цифрового представление электрической сети и последующий анализ ее работы невозможен без правильной организации обмена информацией внутри системы контроля.
Схема сбора и передачи данных внутри системы контроля приведена на Рис. 3.
Рис. 3. Схема сбора и передачи данных
Данная схема подразумевает наличие приёмопередатчиков для всех используемых в рассматриваемых сетях каналов связи между устройствами сбора и передачи информации на стороне устройства сбора и обработки данных для обеспечения возможности принятия данных по любому из используемых конечными устройствами каналу связи. Нетрудно заметить, что обеспечение конечных устройств сбора и передачи информации оборудованием для возможности использования всех каналов связи необязательно и неэффективно. Оптимальной представляется возможность использовать 2–3 различных канала связи для передачи информации на устройство сбора и обработки данных.
Анализ эффективности работы электрической сети может проводиться как по формальным признакам (превышение показателей падения напряжения или утечки тока на элементе относительно пороговых значений), так и на основании проведения факторного анализа показателей работы электрической сети для данного режима работы.
Стоит отметить, что утечка тока может быть носить технологический или коммерческих характер. Технологические утечки тока (емкостные токи утечки на землю и утечки через изоляцию) обусловлены конструктивными параметрами сети, главным образом номинальным напряжением, а потому мало изменяются в процессе нормальной эксплуатации. Утечки тока коммерческого характера представляют собой хищения электрической энергии путем неучтенного ее потребления независимо от точки присоединения к сети.
Показатель падения напряжения характеризует величину технических потерь электрической энергии на рассматриваемом элементе и представляет собой потери электрической энергии на нагрев проводников (потери на корону не рассматриваются в рамках данного научного исследования ввиду того, что исследуются распределительные сети низкого и среднего уровня напряжений). Повышение уровня технических потерь, приводящее к фиксации повышенного падения напряжения на элементе (участке) сети говорит о местном ухудшении проводимости элемента (нарушение части сечения проводника, ухудшение контакта в местах соединения).
РЕЗУЛЬТАТЫ
Данная система позволяет получать актуальную информацию о состоянии и эффективности работы электрической сети, а также выполнять цифровое представление рассматриваемой электрической сети, что позволяет значительно упростить и удешевить процесс определения мест возникновения в сети неучтенного потребления и участков с повышенными техническими потерями, снизить издержки компаний электросетевого комплекса, связанные с устранимыми коммерческими и повышенными техническими потерями.
Система контроля параметров электрической энергии в распределительной сети обладает следующими основными свойствами:
- модульность (способность отдельных фрагментов системы оставаться независимыми, не теряя при этом в информативности и репрезентативности, данное свойство позволит системе контроля быть разделённой на части для детализации и анализа работы не всей сети в целом, а какой-либо ее части, что, в свою очередь, позволит эффективнее расходовать вычислительные мощности центрального обрабатывающего компьютера);
- гибкость (способность системы использовать в качестве источников информации различные устройства для сбора и передачи данных об электрических параметрах сети, например: приборы учёта электрической энергии; специализированные устройства для контроля параметров электрической энергии; датчики токов и напряжений в сети, иными словами, любые устройства, имеющие цифровой выход (или обеспеченные конвертером своего выходного сигнала в цифровой вид) и совместимый с центральным обрабатывающим компьютером канал связи;
- доступность для развития и улучшения (способность системы улучшаться и оптимизироваться с применением новых технологий за счет использования в основе системы базовых законов электротехники и цифрового формата представления информации; в данном случае внедрение в широкое использование новых видов измерительных устройств или каналов связи не будет препятствием для развития системы контроля, а будет возможностью для ее развития);
- информативность (способность системы объективно характеризовать элементы сети набором отображаемых параметров элемента сети, что позволяет оценивать состояние элемента по формальным признакам и также делает возможным проведения полностью автоматического анализа электрической сети).
ЗАКЛЮЧЕНИЕ
С целью создания возможности для автоматизированного проведения удаленного анализа электрических сетей разработана система контроля параметров электрической энергии в распределительной сети, которая позволяет осуществлять мониторинг повышенных технических и коммерческих потерь в электрической сети.
Разработанная система контроля параметров электрической энергии в распределительной сети в полном объеме соответствует требованиям, заданным при постановке задачи данного научного исследования, а полученные свойства данной системы позволяют говорить о перспективах ее применения в построении умных сетей нового поколения «SmartGrid». Информативность отображаемых параметров отдельных элементов вкупе с простотой и интуитивностью анализа их состояния по формальным признакам позволят использовать данную систему для анализа распределительных сетей низкого и среднего уровня напряжений. [13, 14]
Очевидно, что повышенный уровень падения напряжения на элементе относительно аналогичных элементов, находящихся в схожих условиях, говорит о несоответствиях в техническом состоянии элемента (например, ухудшение контакта), что приводит к повышенных техническим потерям в сети, что, в свою очередь, отрицательно сказывается на рентабельности деятельности электросетевой компании. Так, повышение величины падения напряжения на элементе на 0,1В приводит к потерям, составляющим 13 руб. 93 коп. в год на каждый киловатт передаваемой мощности.
А повышенный уровень утечки тока на элементе говорит о наличии на данном участке электрической сети неучтённого потребления электрической энергии. Это может быть расход электрической энергии на собственные нужды подстанций и распределительных устройства, а также хищение электроэнергии. В последнем случае использование разработанной системы контроля позволит оперативно реагировать на возникающие несоответствия и устранять их (или обеспечивать коммерческим учетом), что также положительно отразится на операционной деятельности электросетевых компаний, так как неучтённое потребление каждого киловатт-часа электрической энергии учитывается как технические потери электроэнергии и является затратами электросетевой компании.
Еще одним направлением использовании может являться сбор статистики о величинах параметров электрической энергии в сети в различных ее точках при различных режимах ее работы (в том числе аварийных и послеаварийных) с целью накапливания архивных данных и последующем проведении факторного анализа величины потерь электрической энергии (как коммерческих, так и технических), так и причин возникновения различных технологических нарушений в период эксплуатации электрической сети [15–17].
На основании вышеизложенного можно заключить, что использование разработанной системы позволит совершить качественно новый шаг в цифровизации электрических сетей, что является на сегодняшний день приоритетным направлением развития для электросетевого сектора Российской Федерации и позволит получать и использовать информацию об опыте эксплуатации уже построенных электрических сетей для создания более эффективных вариантов уже на этапе проектирования, что позволит перевести в цифровой вид и автоматизировать работу с электрическими сетями на всем протяжении их жизненного цикла, начиная с этапа проектирования.
Авторы заявляют, что:
- У них нет конфликта интересов;
- Настоящая статья не содержит каких-либо исследований с участием людей в качестве объектов исследований.
About the authors
Ivan M. Kazymov
Altai State Technical University named I. I. Polzunov
Author for correspondence.
Email: bahek1995@mail.ru
ORCID iD: 0000-0001-6873-0315
SPIN-code: 8464-5810
Scopus Author ID: 57209794071
postgraduate student
Russian Federation, BarnaulBoris S. Kompaneets
Altai State Technical University named I. I. Polzunov
Email: kompbs@mail.ru
ORCID iD: 0000-0001-5980-1230
SPIN-code: 7371-4290
Scopus Author ID: 57209796863
Candidate оf Technical Sciences, Associate Professor
Russian Federation, BarnaulOleg N. Drobyazko
Altai State Technical University named I. I. Polzunov
Email: drolnik@list.ru
ORCID iD: 0000-0001-6826-561X
SPIN-code: 4902-6649
Scopus Author ID: 57207346047
Doctor of Technical Sciences, Professor
Russian Federation, BarnaulReferences
- Указ Президента Российской Федерации №204 от 7 мая 2018 г. «О национальных целях и стратегических задачах развития Российской Федерации на период до 2024 года». [Decree of the President of the Russian Federation №204 of 7 May 2018. “O natsional'nykh tselyakh i strategicheskikh zadachakh razvitiya Rossiyskoy Federatsii na period do 2024 goda” (In Russ.)]. Доступно по: http://www.kremlin.ru/acts/bank/43027. Ссылка активна на: 17.05.2021.
- Концепция ПАО «Россети» «Цифровая трансформация 2030», 2018. – 31 с. [The concept of PJSC Rosseti “Tsifrovaya transformatsiya 2030”. 2018. 31 p. (In Russ.)]. Доступно по: https://www.rosseti.ru/investment/Kontseptsiya_Tsifrovaya_transformatsiya_2030.pdf. Ссылка активна на: 17.05.2021.
- Главные инженеры электросетевых компаний обсудили вопросы цифровизации электрических сетей // Электроэнергия. Передача и распределение. – М.: Издательство Кабель, 2018. – № 6(51). – С. 12–15. [Glavnyye inzhenery elektrosetevykh kompaniy obsudili voprosy tsifrovizatsii elektricheskikh setey. Elektroenergiya. Peredacha i raspredeleniye. Moscow: Izdatel'stvo Kabel'; 2018;6(51):12-15. (In Russ.)]. Доступно по: https://www.elibrary.ru/item.asp?id=36456471. Ссылка активна на: 17.05.2021.
- Цифровая энергетика: новая парадигма функционирования и развития / под ред. Н.Д. Рогалева. – М.: Издательство МЭИ, 2019. – 300 с. [Rogalev ND, editor. Tsifrovaya energetika: novaya paradigma funktsionirovaniya i razvitiya. Moscow: Publishing house MEI; 2019. 300 p. (In Russ.)]. Доступно по: http://nts-ees.ru/sites/default/files/cifrovaya_energetika_blok.pdf. Ссылка активна на: 17.05.2021.
- Цыгулев Н.И., Хлебников В.К., Шелест В.А. и др. Цифровизация электрических сетей АПК на платформе интернета энергии / Материалы национальной научно-практической конференции «Aктуальные проблемы науки и техники». – 2019. – С. 327–328. [Tsygulev NI, Khlebnikov VK, ShelestVA, et al. Tsifrovizatsiya elektricheskikh setey APK na platforme interneta energii. Proceedings of the national scientific and practical conference “Actual Problems of Science and Technology”. 2019:327-328. (In Russ.)]. Доступно по: https://www.elibrary.ru/item.asp?id=39451039. Ссылка активна на: 17.05.2021.
- Белый В.Б. Модель процессов потребления электроэнергии коммунально-бытовым сектором в сельских электрических сетях / Материалы XVII международной научно-практической конференции «Энерго- и ресурсосбережение – XXI век». – 2019. – С. 42–45. [Belyy VB. Model' protsessov potrebleniya elektroenergii kommunal'no-bytovym sektorom v sel'skikh elektricheskikh setyakh. Proceedings of the national scientific and practical conference “Energo- i resursosberezheniye – XXI vek”. 2019:42-45. (In Russ.)]. Доступно по: https://www.elibrary.ru/item.asp?id=42256826. Ссылка активна на: 17.05.2021.
- Казымов И.М., Компанеец Б.С. Методика определения требуемого числа устройств сбора и передачи информации для создания цифрового представления распределительной электрической сети низкого и среднего уровня напряжений // Вестник НГИЭИ. 2021. – № 1(116). – С. 41–53. [KazymovIM, Kompaneets BS. Methodology for determining the required number of devices for collecting and transmission of information for creating a digital representation of a low and medium voltage distribution electric network. Bulletin NGIEI. 2021;1(116):41-53. (In Russ.)]. doi: 10.24411/2227-9407-2021-10004
- Glauner P, Boechat A, Dolberg L, et al. Large-scale detection of non-technical losses in imbalanced data sets. Proceedings of the IEEE Power and Energy Society Innovative Smart Grid Technologies Conference, ISGT; 2016. doi: 10.1109/isgt.2016.7781159
- Kochneva E, Sukalo A. Impact of technical losses calculation method on bad data validation on the basis of a posteriori analysis. Proceedings of the IEEE International Energy Conference, ENERGYCO; 2016. doi: 10.1109/energycon.2016.7513899
- Chatterjee S, Archana V, Suresh K, et al. Detection of non-technical losses using advanced metering infrastructure and deep recurrent neural networks. Proceedings of the 17th IEEE International Conference on Environment and Electrical Engineering and 2017 1st IEEE Industrial and Commercial Power Systems Europe, EEEIC / I and CPS Europe. 2017. doi: 10.1109/eeeic.2017.7977665
- Henriques HO., Correa MRLS. Use of smart grids to monitor technical losses to improve non-technical losses estimation. Proceedings of the 7th Brazilian Electrical Systems Symposium. 2018:1-6. doi: 10.1109/sbse.2018.8395924
- Queiroz LMO. Lyra C. Adaptive hybrid genetic algorithm for technical loss reduction in distribution networks under variable demands. IEEE Transactions on Power Systems. 2009;24(1):445-453. doi: 10.1109/tpwrs.2008.2009488
- Trevizan RD, Rossoni A, Bretas AS, et al. Non-technical losses identification using Optimum-Path Forest and state estimation. Proceedings of the IEEE Eindhoven PowerTech, PowerTech. 2015. doi: 10.1109/ptc.2015.7232685
- Ramos CCO, Souza AN, Papa JP, Falcão AX. Fast non-technical losses identification through Optimum-Path Forest. Proceedings of the 15th International Conference on Intelligent System Applications to Power Systems, ISAP '09; 2009. doi: 10.1109/ISAP.2009.5352910
- Тиньгаев А.В., Шевченко А.А. Оптимизация протяжённости линий электропередач при подключении сельскохозяйственных потребителей с использованием WEB-технологий // Вестник Алтайского государственного аграрного университета. – 2018. – №4 – С. 186–191. [Tin'gayev AV, ShevchenkoAA. Optimizatsiya protyazhonnosti liniy elektroperedach pri podklyuchenii sel'skokhozyaystvennykh potrebiteley s ispol'zovaniyem WEB-tekhnologiy. Vestnik Altayskogo gosudarstvennogo agrarnogo universiteta. 2018;4:186-191. (In Russ.)]. Доступно по: https://www.elibrary.ru/item.asp?id=34900729. Ссылка активна на: 17.05.2021.
- Arahna Neto EAC, Coelho J. Probabilistic methodology for Technical and Non-Technical Losses estimation in distribution system. Electric Power Systems Research. 2013;97:93-99. doi: 10.1016/j.epsr.2012.12.008
- Mondenero I, Biscarri F, León C, et al. Detection of frauds and other non-technical losses in a power utility using Pearson coefficient, Bayesian networks and decision trees. International Journal of Electrical Power and Energy Systems. 2012;34(1):90-98. doi: 10.1016/j.ijepes.2011.09.009
Supplementary files






