Energy of the jets of the Antarctic circumpolar current and of their eddies in the surface layer of the Southern Ocean
- Authors: Koshlyakov M.N.1, Savchenko D.S.1, Tarakanov R.Y.1
-
Affiliations:
- Shirshov Institute of Oceanology, Russian Academy of Sciences
- Issue: Vol 59, No 3 (2019)
- Pages: 325-334
- Section: Физика моря
- URL: https://journals.eco-vector.com/0030-1574/article/view/14389
- DOI: https://doi.org/10.31857/S0030-1574593325-334
- ID: 14389
Cite item
Full Text
Abstract
Kinetic energy of six jets of the Antarctic Circumpolar Current (ACC) and of the cyclonic and anticyclonic synoptic eddies generated by these jets is studied in application to the surface layer of Antarctic Circle. The study is based on the data of satellite altimeter observations during 1993–2015 available in the Internet (http://aviso.altimetry.fr). Main results of the study: a) five times excess of the mean energy of jets proper over the mean summary (cyclones plus anticyclones) energy of eddies; b) prevalence of the energy of middle jet of Subantarctic Current over energy of the rest ACC jets in the whole of Antarctic Circle; c) two times excess of mean energy of cyclonic eddies over energy of anticyclones in the upper ocean layer.
Full Text
Настоящая работа является развитием аналогичной работы, посвященной исследованию энергии струй Арктического циркумполярного течения (АЦТ) и синоптических вихрей в проливе Дрейка и море Скотия [3] на все антарктическое кольцо. В основу исследования положены ежесуточные цифровые карты (карты AVISO — Archiving, Validation and Interpretation of Satellite Oceanographic data) абсолютной динамической топографии поверхности океана (АДТПО) за 1993–2015 гг., определенной в узлах горизонтальной сетки AVISO (¼°ш.×¼°д.). Эти карты рассчитаны во французском агентстве CLS по данным спутниковых альтиметрических наблюдений и находятся в открытом доступе в Интернете (DT Global–MADT–Upd product, http://aviso.altimetry.fr). Под АДТПО подразумевается обусловленное океанской циркуляцией отклонение поверхности океана от равновесной формы геоида. Изолинии АДТПО (изогипсы) являются линиями тока геострофического течения на поверхности океана, причем в Южном полушарии течение направлено так, что более высокие значения АДТПО остаются слева от направления течения.
АДТПО представляет собой сумму средней динамической топографии CNES-CLS13, построенной на основе разнообразных измерений в толще океана [7], и синоптической аномалии уровня океана, измеренной альтиметром и интерполированной в узлы горизонтальной сетки AVISO с треков спутников. В использованном нами варианте АДТПО аномалия уровня океана восстанавливалась по данным одновременно до четырех спутников. При этом в течение всего периода наблюдений основу для этого массива составляли данные одного спутника, имевшего наклонение орбиты 66° (последовательно Topex/Poseidon, Jason-1, -2, -3), и летавшего по так называемой основной орбите, прописывающей на поверхности Земли 254 трека между 66 широтами Северного и Южного полушарий с периодом около 10 суток; эти треки в Южном океане приведены на рис. 1. В периоды между запуском каждого нового спутника и выведением из эксплуатации предыдущего измерения проводились двумя из упомянутых спутников. В начале новый спутник в течение нескольких месяцев летал по одной и той же орбите вместе со старым для интеркалибрации данных измерений с временным лагом около 1 мин. Затем старый переводился на так называемую дополнительную орбиту с тем же наклонением, но прописывающую на поверхности Земли треки, которые занимают промежуточное положение между основными треками с временным сдвигом около 5 суток относительно одного из смежных основных треков. Кроме указанных спутников, обеспечивающих относительно высокое разрешение измерений по времени, использовались данные измерений спутников с бóльшими углами наклонения орбиты (ERS-1, -2, Envisat, Saral, Sentinel-3A, -3B — 98.5°; GFO — 108°), прописывающих на поверхности Земли существенно больше треков, но с бóльшим периодом облета.
Рис. 1. Средняя за 1993–2015 гг. карта АДТПО (см) Южного океана (до 30° ю. ш.). Выделены изогипсы, являющиеся граничными между струями АЦТ (см. таблицу). Жирная штриховая линия — северная граница распространения циклонических вихрей струй АЦТ в секторе 2. Темная и светлая клетки соответственно показывают участки дна с глубиной менее 1000 м и от 1000 до 3000 м. Показаны секторы Южного океана: 1 — Западно-Атлантический; 2 — Восточно-Атлантический; 3 — Индийский; 4 — Австралийский; 5 — Западно-Тихоокеанский; 6 — Восточно-Тихоокеанский. Приведены также треки основной орбиты спутников-альтиметров с наклонением 66°.
С целью выделения синоптических вихрей на картах AVISO авторами настоящей работы сначала были определены узлы исходной горизонтальной сетки AVISO, принадлежащие вихрям, и значения АДТПО, соответствующие замкнутым контурным (граничным) изогипсам для каждого вихря. Таким способом на полученных ежесуточных картах были выделены области с замкнутыми изогипсами, которые были интерпретированы как циклонические (локальные минимумы АДТПО, вращение воды по часовой стрелке) и антициклонические (противоположные по знаку возмущения АДТПО и по направлению вращения воды) вихри. По этим картам и был выполнен описываемый ниже анализ распределения и изменчивости энергии струй АЦТ и вихрей.
Наблюдения показывают, что АЦТ имеет многоструйный характер [8, 5]. В работе [8] в результате анализа данных спутниковой альтиметрии и других наблюдений на разных участках антарктического кольца были выявлены восемь струй АЦТ, достаточно устойчиво привязанных к определенным диапазонам значений АДТПО. Анализ ряда карт АДТПО в зоне АЦТ позволил скорректировать эти диапазоны, в результате чего были определены значения АДТПО в стрежнях и на границах струй АЦТ (таблица, рис. 1). В отличие от рис. 1, на котором представлена климатическая карта АДТПО, что подразумевает усреднение меандров струй по времени и, таким образом, «размазанность» картины АДТПО в горизонтальной плоскости, струи АЦТ хорошо просматриваются на синоптических (ежесуточных) картах АДТПО, включая карты, приведенные в настоящей работе. На некоторых участках АЦТ в отдельные интервалы времени несколько струй могут сливаться в единую «суперструю» — эффект, также хорошо просматривающийся на синоптических картах АДТПО. Все струи АЦТ динамически неустойчивы, что проявляется в их меандрировании, возникновении внутри меандров циклонических и антициклонических вихрей, усилении вихрей до достижения ими максимумов содержащейся в них энергии и последующем ослаблении вихрей, сопровождающемся их обратной трансформацией в меандры и, таким образом, их слиянием с породившими их струями [3].
Таблица. Значения АДТПО (в см) в стрежнях и на границах между струями АЦТ
Струя АЦТ | Стрежень струи, см | Границы струй, см |
35 | ||
сСАТ | 25 | |
17 | ||
срСАТ | 0 | |
-13 | ||
юСАТ | -23 | |
-32 | ||
сЮПТ | -40 | |
-57 | ||
срЮПТ | -68 | |
-78 | ||
юЮПТ | -85 | |
-93 | ||
сЮАТ | -103 | |
-113 | ||
юЮАТ | -120 | |
-130 |
Примечание. Расшифровка названий струй (сверху вниз): северные, средние и южные струи Субантарктического и Южного полярного течений, северная и южная струи Южного антарктического течения.
Для более детального изучения АЦТ антарктическое кольцо было поделено на шесть секторов (рис. 1–7). Хотя карты на рис. 2–7 и относятся к одной конкретной дате (1.01.2013), они дают правильное качественное представление об изменчивости средних по времени характеристик струй и вихрей как от одного сектора к другому, так и по площади каждого из секторов в отдельности. В частности, хорошо просматривается тенденция к следованию струй АЦТ вдоль материковых склонов (западные части секторов 1 и 5, восточная часть сектора 2), вдоль склонов подводных поднятий (западные части секторов 2 и 4, секторы 3 и 5) и через разломы в подводных хребтах (восточные части секторов 4 и 5, западная часть сектора 6), а также усиленное вихреобразование в окрестностях крупномасштабных стационарных изгибов (меандров) океанских струй (западные части секторов 1, 5 и 6, восточные части секторов 2 и 4). Заметим, что в приложении к южной части Индийского океана связь конфигурации фронтальных течений и интенсивности формирования синоптических вихрей с рельефом дна была установлена по спутниковым альтиметрическим данным в работе [2].
С целью количественного исследования энергии струй АЦТ и вихрей для каждых суток периода с 1993 по 2015 г. и для каждой точки описанного выше массива значений АДТПО в пределах всего антарктического кольца были рассчитаны зональная (u) и меридиональная (v) составляющие скорости геострофического течения на поверхности океана:
, , (1)
где ζ — значение АДТПО, g — ускорение свободного падения, f — параметр Кориолиса (f < 0 в Южном полушарии); ось x направлена на восток, ось y — на север, ось z — вертикально вверх. Далее выполнялся расчет кинетической энергии каждой из шести струй от срСАТ до сЮАТ (см. примечание к таблице) и каждого вихря в приповерхностном слое океана толщиной h = 1 м:
, (2)
где t — время, Е — кинетическая энергия, S — площадь интегрирования, ρ0 = 1035 кг/м3 — средняя плотность океанской воды. При расчете энергии струи интегрирование велось по всей ее площади в пределах рассматриваемого района океана (всего антарктического кольца или одного из его секторов) за вычетом участков, занятых вихрями. Расчет энергии вихрей велся раздельно для циклонов и антициклонов. При этом интегрирование выполнялось отдельно для кольцевых участков области данного вихря, заполненных водой из различных струй АЦТ (от срСАТ до сЮАТ) согласно с приведенными в таблице значениями АДТПО на границах между струями. Затем результаты интегрирования для данных суток, относящихся к диапазону АДТПО одной и той же струи АЦТ, суммировались по всем циклонам и отдельно по всем антициклонам в пределах исследуемого района. В заключение этого этапа анализа, для каждой из шести струй и каждого из двадцати трех лет строились четыре кривые эволюции E(t): кривая эволюции энергии собственно струи; суммарная по всем циклонам кривая эволюции энергии частей этой струи, вовлеченных в циклонические вихри; аналогичная кривая для антициклонов; суммарная кривая для циклонов и антициклонов. На рис. 8 представлен пример таких кривых для юСАТ, сектора 4 и 2012 г., а на рис. 9 — карты АДТПО, показывающие, что ход этих кривых в мае–июне 2012 г. был обусловлен жизненным циклом крупного антициклонического вихря, сформированного струей юСАТ и частично струями срСАТ и сЮПТ (см. примечание к таблице) и просуществовавшего несколько меньше одного месяца. Особенно большое впечатление производят зеркальное соответствие друг другу кривой 3 и кривой 1 (рис. 8) для рассматриваемого интервала времени и очень хорошо выраженное подобие в ходе изогипс между первой и третьей картами на рисунке 9, иллюстрирующем процесс формирования вихря и его обратного поглощения материнской струей.
Рис. 2. Карта АДТПО (см) для сектора 1 на 1.01.2013 г. Циклонические и антициклонические вихри показаны соответственно светлой и темной тушевкой. Остальное см. на рис. 1.
Слева внизу: средние (М) за 1993–2015 гг., а также минимальные и максимальные среднесуточные значения кинетической энергии шести струй АЦТ в приповерхностном слое сектора 1. Даны годы достижения минимальных и максимальных значений, штриховыми линиями (M±σ) показаны средние значения со средними квадратическими отклонениями (σ) для разных струй.
Справа внизу: средние за 1993–2015 гг. значения кинетической энергии частей струй АЦТ, вовлеченных в циклонические (Ц) и антициклонические (А) вихри в приповерхностном слое сектора 1.
Рис. 3. То же, что на рис. 2, но для сектора 2.
Рис. 4. То же, что на рис. 2, но для сектора 3.
Рис. 5. То же, что на рис. 2, но для сектора 4.
Рис. 6. То же, что на рис. 2, но для сектора 5.
Рис. 7. То же, что на рис. 2, но для сектора 6.
Рис. 8. Годовой ход кинетической энергии южной струи Субантарктического течения (кривая 1) и ее частей, вовлеченных в циклонические (кривая 2) и антициклонические (кривая 3) вихри в приповерхностном слое сектора 4 в 2012 г. Кривая 4, представляющая собой сумму кривых 2 и 3, для наглядности сдвинута вверх вдоль оси Е на величину 1013 Дж. Вертикальная штриховая прямая отмечает совпадения по времени локальных минимума кривой 1 и максимума кривой 3.
Рис. 9. Карты АДТПО, демонстрирующие жизненный цикл антициклонического вихря срСАТ, юСАТ и сЮПТ в восточной части сектора 4 в мае–июне 2012 г. (ср. с рис. 8). Циклонические и антициклонические вихри показаны соответственно светлой и темной тушевкой. Остальное см. на рис. 1.
В отличие от всех остальных секторов антарктического кольца, в секторе 2 циклонические вихри в диапазоне АДТПО, характерном для АЦТ, формируются также за счет отрыва меандров Агульясского и продолжающего его Бенгельского течений, которые направлены соответственно на запад и северо-запад вдоль континентального склона Африки (напр., [4, 6]). Для учета этого обстоятельства при расчете средних энергий вихрей различных струй АЦТ в этом секторе (рис. 3, справа внизу) зона проникновения вихрей АЦТ была ограничена изогипсой 35 см, разграничивающей циркуляционные системы Агульясского течения–Агульясского противотечения и АЦТ (рис. 1).
Рис. 2–7 (слева внизу) и 10 показывают, во-первых, хорошо выраженное преобладание по энергии струи срСАТ над остальными струями АЦТ во всех секторах антарктического кольца и, во-вторых, относительно малые значения энергии струй юЮПТ и сЮАТ (см. примечание к таблице). Чтобы лучше разобраться в этом, рассмотрим чисто зональную приповерхностную восточную струю шириной m и толщиной h = 1 м. Полагая для простоты скорость струи не зависящей от y, из формул (1) и (2) получаем следующее приближенное выражение для кинетической энергии этой струи на участке длиной l:
, (3)
где ζ1 и ζ2 — значения АДТПО на южной и северной границах струи, f0 — среднее по ширине струи значение f. Прилагая полученную формулу к различным струям АЦТ на протяжении антарктического кольца или его отдельных секторов, убеждаемся, что отмеченные выше преобладание по энергии струи срСАТ и относительно малые значения энергии струй юЮПТ и сЮАТ преимущественно объясняются присущими им значениями (ζ2 – ζ1)2 (см. таблицу) и в меньшей степени — значениями f0 и l (зональной протяженностью антарктического кольца или его сектора на данной широте). Добавим к этому, что особенно большое значение энергии струи срСАТ в секторе 1 частично связано с крупномасштабным «фолклендским» меандром этой струи в западной части сектора (рис. 1, 2), что увеличивает длину l струи, а повышенное значение энергии этой струи в секторе 3 — с особенно малой шириной m струи (рис. 1, 4).
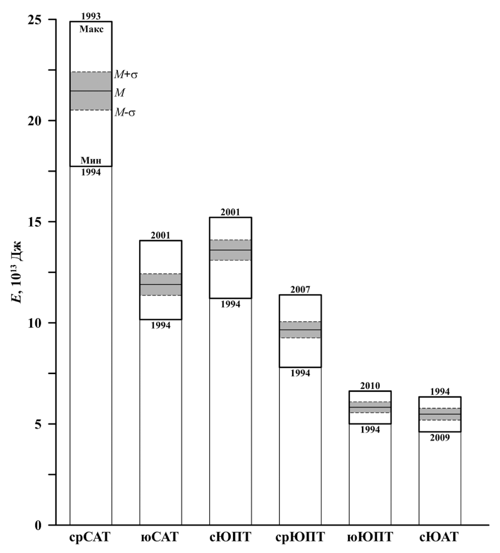
Переходя к энергии вихрей (внизу справа на рис. 2–7, 11), вспомним, что основным источником этой энергии является доступная потенциальная энергия (ДПЭ) струй, пропорциональная квадрату перепада плотности воды поперек струи [1]. Вследствие геострофичности и бароклинности океанских струй, включая струи АЦТ, рост их ДПЭ должен сопровождаться ростом их кинетической энергии (КЭ), в том числе и в верхнем слое океана; в то же время при росте ДПЭ струй должен усиливаться процесс генерации вихрей, а значит, должна расти КЭ вихрей. Таким образом, следует ожидать роста КЭ вихрей при росте КЭ струй, что полностью подтверждается сравнением рисунков 10 и 11, дающих одинаковое распределение струй АЦТ по порядку убывания как их собственной энергии, так и суммарной (Ц + А) энергии порождаемых ими вихрей: срСАТ — сЮПТ — юСАТ — срЮПТ — юЮПТ — сЮАТ. При этом суммарная по всем струям (и средняя по времени!) энергия собственно струй оказывается равной 6.85∙1014 Дж, а энергия порожденных ими вихрей — 1.38∙1014 Дж, то есть в 5 раз меньше (рис. 10, 11).
Рис. 10. Средние (M) за 1993–2015 гг., а также минимальные и максимальные среднесуточные значения кинетической энергии шести струй АЦТ в приповерхностном слое океана для антарктического кольца в целом. Даны годы достижения минимальных и максимальных среднесуточных значений; штриховыми линиями (M±σ) показаны средние значения со средними квадратическими отклонениями (σ) для разных струй.
Рис. 11. Средние за 1993–2015 гг. значения кинетической энергии частей струй АЦТ, вовлеченных в циклонические (Ц) и антициклонические (А) вихри в приповерхностном слое океана для антарктического кольца в целом.
Что касается соотношения средних энергий циклонов и антициклонов, то для антарктического кольца в целом суммарная по струям, средняя энергия циклонов составила 0.88∙1014 Дж, а энергия антициклонов — 0.44∙1014 Дж (рис. 11), причем такое преимущество циклонов над антициклонами в верхнем слое океана сохраняется, за малыми исключениями, для всех струй АЦТ и всех секторов по отдельности (рис. 2–7, 11). Можно предположить, что указанное преимущество обусловлено подъемом изопикнических поверхностей в циклонах, что приводит к сжатию слоя высоких скоростей вихревого движения к поверхности океана, в отличие от антициклонов, где изопикнические поверхности, наоборот, прогнуты вниз. Особенно большие значения энергии циклонов струй срСАТ и юСАТ в секторе 1 (рис. 2) и струи срСАТ в секторе 2 (рис. 3) связаны, по-видимому, со следующими обстоятельствами: а) существованием очень крупного циклонического фолклендского меандра струй срСАТ и юСАТ (рис. 1, 2), так как, как показывают наблюдения, наличие крупного стационарного меандра струйного течения способствует генерации им вихрей того же знака, что и сам меандр; б) существованием очень сильных Агульясского течения и Агульясского противотечения (рис. 1, 3), что приводит к резкой интенсификации вихреобразования в области схождения Агульясского противотечения и северных струй АЦТ.
Источник финансирования. Работа над статьей в части разработки алгоритма выделения вихрей на альтиметрических картах АДТ и создания базы данных по вихрям осуществлена в рамках выполнения госзадания по теме № 0149-2019-0004, в части анализа взаимодействия струй и вихрей поддержана грантом РФФИ № 18-05-00283.
About the authors
M. N. Koshlyakov
Shirshov Institute of Oceanology, Russian Academy of Sciences
Author for correspondence.
Email: mnkoshl@ocean.ru
Russian Federation, Moscow
D. S. Savchenko
Shirshov Institute of Oceanology, Russian Academy of Sciences
Email: mnkoshl@ocean.ru
Russian Federation, Moscow
R. Yu. Tarakanov
Shirshov Institute of Oceanology, Russian Academy of Sciences
Email: mnkoshl@ocean.ru
Russian Federation, Moscow
References
- Каменкович В. М. Бароклинная неустойчивость крупномасштабных течений // Каменкович В. М. и др. Синоптические вихри в океане. Л.: Гидрометеоиздат, 1987. С. 138–160.
- Костяной А. Г., Гинзбург А. И., Лебедев С. А. и др. Фронты и мезомасштабная изменчивость в южной части Индийского океана по альтиметрическим данным TOPEX/POSEIDON и ERS-2 // Океанология. 2003. Т. 43. № 5. С. 671–682.
- Кошляков М. Н., Савченко Д. С., Тараканов Р. Ю. Энергообмен между струями Антарктического циркумполярного течения и синоптическими вихрями в проливе Дрейка и море Скотия // Океанология. 2018. Т. 58. № 3. С. 347–357.
- Тараканов Р. Ю., Гриценко А. М. Структура струй и фронтов к югу от Африки по данным разреза SR02 в декабре 2009 г. // Океанология. 2014. Т. 54. № 4. С. 437–450.
- Тараканов Р. Ю., Гриценко А. М. Тонкая струйная структура Антарктического циркумполярного течения к югу от Африки // Океанология. 2014. Т. 54. № 6. С. 725–736.
- Arhan M., Speich S., Messager C. et al. Anticyclonic and cyclonic eddies of subtropical origin in the subantarctic zone south of Africa // J. Geophys. Res. 2011. V. 116. C11004, doi: 10.1029/2011JC007140.
- Rio M. H., Mulet S., Picot N. Beyond GOCE for the ocean circulation estimate: Synergetic use of altimetry, gravimetry, and in situ data provides new insight into geostrophic and Ekman currents // Geophys. Res. Lett. 2014. V. 41. № 24. P. 8918–8925. doi: 10.1002./ 2014GL061773.
- Sokolov S., Rintoul S. R. The circumpolar structure and distribution of the Antarctic Circumpolar Current fronts. Part 1: Mean circumpolar paths // J. Geophys. Res. 2009. V. 114. C11018, doi: 10.1029/2008J005108.
Supplementary files













