Role of plankton in the vertical flux in the East Siberian sea shelf
- Authors: Drits A.V.1, Pasternak A.F.1, Kravchishina M.D.1, Arashkevich E.G.1, Sukhanova I.N.1, Flint M.V.1
- 
							Affiliations: 
							- Shirshov Institute of Oceanology, Russian Academy of Sciences
 
- Issue: Vol 59, No 5 (2019)
- Pages: 746-754
- Section: Морская биология
- URL: https://journals.eco-vector.com/0030-1574/article/view/17602
- DOI: https://doi.org/10.31857/S0030-1574595746-754
- ID: 17602
Cite item
Full Text
Abstract
Role of plankton in the vertical flux in the East Siberian Sea was studied in the 69 cruise of the RV “Akademik Mstislav Keldysh” in September 2017. Vertical fluxes were measured in sediment traps samples collected in the area of Indigirka river plume and in the marine shelf area. Mass vertical flux and particulate organic carbon flux varied from 80 to 530 mg/м2/d and from 16 to 49 mgС/м2/d, accordingly. Phytoplankton in sediment traps was dominated by cysts and spores of diatoms and dinoflagellates. Phytoplankton flux increased with depths from 0.22–0.33 to 1.2–1.3 мgС/м2/d. Fecal pellet fluxes (7–12 mgС/м2/d) was almost similar at two studied stations and did not change with depth. Zooplankton in the traps was dominated by houses of larvacean and carcasses of copepods Jashnovia tolli and Calanus glacialis Flux of zooplankton varied from 3 to 17 mgС/m2/d. The influence of the continental runoff reflected in a decrease of the proportion of planktonogenic components in the vertical flux of organic carbon. In the river plume area their total contribution to organic carbon flux did not exceed 30%; on the marine shelf it reached 80%.
Full Text
ВВЕДЕНИЕ
В последние десятилетия особое внимание исследователей обращено на экосистемы Арктики и особенно районы Арктического шельфа. Эти экосистемы в наибольшей степени подвержены текущим климатическим изменениям, здесь формируется большая часть региональной биологической продукции, а потоки вещества, определяющую роль в которых играет пелагическая биота, достигают наибольших величин. Большинство работ, посвященных исследованию процессов седиментации и функционирования «биологического насоса» в Арктике, были выполнены в Баренцевом море и морях западной Арктики [19, 20, 33, 34, 36, 37]. Оценки вертикальных потоков вещества для морей Сибирской Арктики единичны [6, 10, 11, 25, 30, 31]. Роль зоопланктона в биоседиментации в Карском море и море Лаптевых исследовалась лишь в двух работах [5, 15]. В Восточно-Сибирском море (ВСМ) измерение потоков осадочного материала с помощью седиментационных ловушек ранее не проводилось. ВСМ — наименее изученное из морей Сибирской Арктики вследствие суровых климатических условий, продолжительности ледового периода, удаленности от портов приписки научно-исследовательских судов. Это самое мелководное и одно из самых ледовитых арктических морей. Даже к концу лета оно на 65% покрыто льдом. Около 72% его акватории имеют глубину менее 50 м, глубины менее 30 м занимают половину площади моря. Важная особенность моря состоит в том, что западная его часть подвержена значительному влиянию стока рек моря Лаптевых (Лена и Яна) и рек собственного бассейна (Индигирка и Колыма). Реки, впадающие в Восточно-Сибирское море, характеризуются повышенной концентрацией терригенного взвешенного вещества. Индигирка (210 г/м 3) и Колыма (120 г/м 3) являются наиболее мутными реками среди всех крупных рек Российской Арктики [26]. Средняя концентрация взвеси в речном стоке в Восточно-Сибирское море составляет 134 г/м3, что в 3–7 раз больше, чем для рек, впадающих во все другие моря Российской Арктики. Другой значимый источник поступления терригенной взвеси в ВСМ — интенсивное размывание побережья материка и многочисленных островов Восточно-Сибирского моря, поставляющее в море значительный объем взвеси, сравнимый с выносом континентального стока [9, 27]. Характерной чертой ВСМ является также его низкая продуктивность [3, 4]. Эти особенности могут существенно влиять на характеристики вертикальных потоков осадочного материала и вклад биогенной составляющей в экспорт органического углерода. Можно предположить, что роль планктонного сообщества в биоседиментации в ВСМ будет существенно ниже, чем в более продуктивных и глубоких морях Сибирской Арктики. Вклад планктона в вертикальный поток может различаться в биотопах, в разной степени подверженных влиянию речного стока.
В августе-сентябре 2017 г. в рамках Программы «Экосистемы морей Сибирской Арктики» была проведена комплексная экспедиция Института океанологии им. П. П. Ширшова РАН, одной из задач которой была количественная характеристика процессов седиментации и оценка вклада планктогенной составляющей в вертикальный транспорт взвешенного органического углерода в ВСМ. В настоящем исследовании приведены первые данные о величинах потоков и составе материала седиментационных ловушек на шельфе западной части ВСМ. Задачей работы было сравнение полученных оценок с результатами по другим арктическим морям, а также сравнительный анализ роли планктона в вертикальном потоке в зоне распространения речных вод и на морском шельфе.
МАТЕРИАЛЫ И МЕТОДЫ
Материал собран в комплексной экспедиции Института океанологии им. П. П. Ширшова РАН в 69-м рейсе НИС “Академик Мстислав Келдыш” в моря Сибирской Арктики в августе–сентябре 2017 г.
Вертикальные потоки вещества на шельфе ВСМ измеряли на двух буйковых станциях, оснащенных седиментационными ловушками (рис. 1). На каждой станции исследовали два горизонта — в середине столба воды и на глубине 6–10 м от дна. Для сбора осадочного вещества использовались малые цилиндрические ловушки МСЛ-110 (площадь сбора 0.01 м 2) с одним пробосборником [13]. На каждом горизонте было установлено по четыре МСЛ-110. Перед постановкой станций пробосборники ловушек заполнялись раствором HgCl2 1% в фильтрованной морской воде с соленостью, доведенной до 40‰. Подготовка ловушек и обработка проб проводились по стандартной методике [12]. Время экспозиции ловушек варьировало от 4 до 5 суток.
Рис. 1. Картосхема буйковых станций, оснащенных седиментационными ловушками.
Отбор проб воды для фильтрации взвеси проводился с помощью комплекса Rosette (SBE 32) 5-литровыми батометрами Нискина. Горизонты отбора проб выбирали на основе данных зондирования CTD-зондом.
Мезозоопланктон был собран сетью Джеди (площадь 0.1 м 2, ячея 180 мкм). Сбор зоопланктона проводили вертикальными послойными ловами с 2 горизонтов, облавливая верхний перемешанный слой и слой от придонного горизонта до пикноклина. Пробы фиксировали 4% нейтральным формалином. Таксономический состав и численность зоопланктона были определены под бинокуляром в камере Богорова. Индивидуальный сырой вес животных (WW) определяли по номограммам [18]. Для расчета биомассы в единицах органического углерода (Wc) использовали следующие коэфициенты и зависимости: Wc = 0.064 WW — для рачкового планктона [2], Wc (μg C) = 4.59 L (мм 3) 3.2 [23] — для аппендикулярии, Wc = 9.17×10–12× L (μm) 3.13 — для хетогнат [22].
Измерение термохалинных характеристик и мутности вод осуществляли СTD-зондом SBE 911plus.
Анализ взвеси и ловушечного материала. Для определения концентрации взвеси пробу фильтровали под вакуумом 400 мбар на мембранные ядерные фильтры (Ø 47 мм, Ø пор 0.45 мкм). Для определения содержания Сорг (ВОУ) пробы фильтровали под вакуумом 200 мбар через прокаленные (t = 500°С) стекловолокнистые фильтры GF/F. Материал ловушек перед фильтрацией пропускали через сито с размером ячеи 1 мм [8]. Концентрацию взвеси определяли взвешиванием фильтров с точностью до ±0.01 мг. Концентрацию Сорг во взвеси определяли методом высокотемпературного сожжения с регистрацией выделявшегося СО2 автоматическим кулонометрическим методом на анализаторе углерода АН 7529 [14]. Концентрацию хлорофилла «а» (хл «а») в водной толще и в материале ловушек определяли флуориметрическим методом [28] на флуориметре Trilogy Turner Designs.
Анализ состава материала ловушек. Для определения состава и количества фитопланктона пробу ловушки концентрировали до 50–90 мл. Подсчет и видовое определение фитопланктона проводили в камере Ножотта объемом 0.08 мл. Поток углерода фитопланктона (Fфит) рассчитывали с учетом линейных размеров клеток с использованием аллометрических зависимостей [32].
Подсчет, классификацию и измерение пеллет длиной более 100 мкм в пробах ловушек проводили под бинокуляром в 1/10 пробы при увеличении ×100. Было принято, что пеллеты цилиндрической формы длиной 200–400 мкм продуцируются копеподами отряда каляноида [35], пеллеты элипсоидной формы размером >100 мкм — аппендикуляриями [24]. Для оценки содержания Сорг ФП (Сфп) из ловушечной пробы случайным образом отбирали 100–200 пеллет и после троекратной промывки в дистиллированной воде отфильтровывали на прокаленный стекловолокнистый фильтр GF/F. Сфп измеряли на анализаторе Shimadzu TOC-VCPH. Количество минипеллет (<100 мкм) определяли одновременно с подсчетом клеток фитопланктона. Содержание углерода в минипеллетах рассчитывали используя коэффициент 0.048 мгС/мм 3, полученный для крупных пеллет.
Подсчет и видовой состав некрозоопланктона (НЗ) и домиков аппендикулярий проводили под бинокуляром в камере Богорова при просмотре смыва с сита после префильтрации проб ловушек. Учитывали только особей с хорошо выраженным разрушением тканей тела и отслоением тканей от хитиновых покровов тела [5]. Для определения содержания Cорг НЗ (Снз) отобранные из ловушек животные каждого вида (2–20 экз) и домики аппендикулярий (30–50 экз.) после промывания в дистиллированной воде помещали на прокаленный стекловолокнистый фильтр GF/F. Измерения содержания Сорг проводили аналогично определению Сорг ФП.
РЕЗУЛЬТАТЫ
Станции, на которых проводились исследования, были расположены в районах с различными характеристиками среды. Вертикальное распределение гидрофизических параметров, концентрации хлорофилла “а”, взвеси, концентрации и процентного содержания ВОУ во взвеси на станциях в начале и в конце периода экспозиции ловушек представлены на рис. 2.
Рис. 2. Вертикальное распределение температуры (Т), солености (S), концентрации хлорофилла (хл «а»), взвеси (ВВ), взвешенного органического углерода (ВОУ) и мутности (Turb) на буйковых станциях в начале (станции 5602 и 5606) и в конце (станции 5602_2 и 5606_2) периода экспозиции ловушек.
На ст. 5602 соленость в верхнем перемешанном слое (ВПС, 0–5 м) составляла 21.2–21.7 psu при постановке ловушек, 24.1–24.7 psu — при подъеме. В более глубоких слоях соленость плавно увеличивалась с 24.4 до 32.6 psu. Концентрация ВВ увеличивалась с 0.06–0.50 г/м 3 в слое 0–15 м до 16.7–32.4 г/м 3 в придонном слое; средняя концентрация ВВ в столбе воды за время экспозиции изменилась незначительно — с 3.4 до 5.1 г/м 3. Концентрация ВОУ в слое 20–24 м также была более чем на порядок выше, чем в вышележащем слое. Содержание ВОУ в ВВ в верхнем перемешанном слое составляло в среднем около 12%, в слое под пикноклином — 1.5%. Концентрация хл «а» была максимальной (0.2–0.3 мкг/л) в ВПС и в придонном слое; средняя концентрация в столбе воды (0.14–0.15 мг/м 3) за период экспозиции практически не изменилась. На ст. 5606 соленость изменялась от 30.0 psu у поверхности до 31.8 psu в придонном слое. Хорошо выраженный пикноклин был расположен на глубине 30 м. Концентрация ВВ резко возрастала в слое под пикноклином, средняя концентрация в столбе воды (0.66 г/м 3) была в несколько раз ниже, чем на ст. 5602, и практически не изменилась за 4 суток экспозиции. Концентрация ВОУ в столбе воды также изменилась незначительно (17.1–17.3 мг/м 3) и была в 4 раза ниже, чем на ст. 5602. В ВПС содержание ВОУ составляла 10–15% ВВ, в слое под пикноклином — 1.2–2.2% ВВ. Средняя концентрация хл «а» в столбе воды за период экспозиции увеличилась с 0.08 до 0.15 мг/м 3.
Изменения биомассы и состава зоопланктона на станциях показаны на рис. 3. На ст. 5602 суммарная биомасса за время экспозиции увеличилась с 6.0 до 8.6 мгС/м 3, на ст. 5606 биомасса практически не изменилась. Основу сообщества зоопланктона на ст. 5602 составляли копеподы Pseudocalanus spp. (45–60%) и аппендикулярии Oikopleura vanhoeffeni (8–28%). Среди других видов заметный вклад (около 7%) давали солоноватоводные копеподы Jashnovia tolli. На ст. 5606 вклад Pseudocalanus spp. сократился до 10–25% за счет увеличения доли копепод Calanus glacialis (18%) и хетогнат Parasagitta elegans (18%).
Рис. 3. Биомасса (В) и состав зоопланктона на станциях в начале (станции 5602 и 5606) и в конце (станции 5602_2 и 5606_2) периода экспозиции ловушек. Сокращения на рисунке: P. e. — Parasagitta elegans, O. v. — Oikopleura vanhoffeni, J. t. — Jashnovia tolli, Ps. spp. — Pseudocalanus spp., C. g. — Calanus glacialis.
Поток осадочного вещества (ОВ) и органического углерода (ОУ). Данные об измеренных параметрах потоков приведены в таблице 1. На ст. 5602 поток ОВ и ОУ (без учета НЗ) был практически одинаков на разных глубинах и в несколько раз превышал величины, измеренные на ст. 5606 на глубине 20 м. Самые высокие величины потока ОВ зарегистрированы на горизонте 35 м на ст. 5606, где было отмечено резкое возрастание концентрации взвеси и мутности. Доля ОУ в общем потоке в этой ловушке составляла 6%, в остальных случаях — 17–20%.
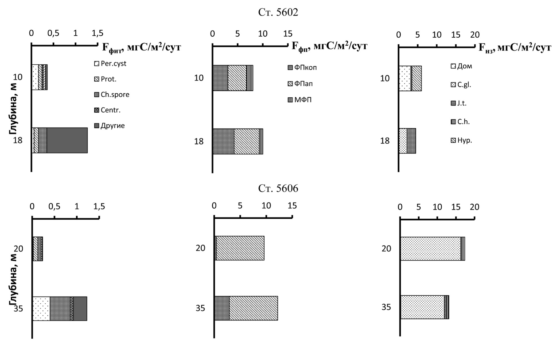
Поток фитопланктона, ФП и НЗ. Фитопланктон в материале ловушек на исследованных станциях был представлен морскими видами, пресноводные виды не были встречены. В потоке фитопланктона на ст. 5602 доминировали цисты перидиней (1 300 000–1 700 000 кл/м 2/сут), на нижнем горизонте в ловушках были обнаружены многочисленные клетки шарообразной формы размером 8–10 мкм, которые не удалось идентифицировать. Их поток составлял более 3 000 000 кл/м 2/сут. На ст. 5606 основу потока фитопланктона составляли споры диатомовых водорослей рода Chaetoceros (400 000–1 760 000 кл/м 2/сут). Суммарный поток фитопланктона был практически одинаков на двух станциях, увеличиваясь с глубиной с 0.22–0.33 до 1.2–1.3 мгС/м 2/сут (рис. 4).
Рис. 4. Вертикальный поток фитопланктона (Fфит), фекальных пеллет (Fфп) и некрозоопланктона (Fнз) на исследованных станциях. Сокращения на рисунке: Per.cyst — цисты перидиниевых, Prot. — Protoperidinium sp., Chaet. spore — споры Chaetoceros sp., Centr. — центрические диатомовые, ФПкоп — ФП копепод, ФПап — ФП аппендикулярий, МФП — минипеллеты, Дом. — домики аппендикулярий, C. g. — Calanus glacialis, J. t. — Jashnovia tolli, C. h. — Calanus hyperboreus, Hyp. — Hyperiidea.
В потоке ФП на ст. 5602 самыми многочисленными были минипеллеты (325 000–440 000 пел/м 2/сут), поток ФП копепод (3800– 4200 пел/м 2/сут) и аппендикулярий (1300–1400 пел/м 2/сут) был в 10–30 раз ниже. На ст. 5606 по численности доминировали ФП аппендикулярий (10 500–13 000 пел/м 2/сут), поток ФП копепод (600–3600 пел/м 2/сут) был в несколько раз меньше. Минипеллеты на этой станции не встречены. Содержание Сорг в пеллетах копепод из ловушек на ст. 5602 составляло 0.12 мкгС/пел, в пеллетах аппендикулярий — 0.44 и 0.14 мкгС/пел на станциях 5602 и 5606 соответственно. Суммарный поток ФП был практически одинаков на двух станциях и не менялся с глубиной (рис. 4). На ст. 5602 доля ФП копепод и аппендикулярий в общем потоке была примерно одинакова, на ст. 5606 вклад последних был существенно выше.
В потоке НЗ на ст. 5602 на нижнем горизонте доминировали копеподы Jashnovia tolli CIV-CV (1400 экз/м 2/сут), на горизонте 10 м — домики аппендикулярий (700 экз/м 2/сут). На ст. 5606 наиболее многочисленными были копеподы Calanus glacialis СIV-CVI (260–580 экз/м 2/сут). Суммарный поток НЗ, рассчитанный на основании данных о численности и содержании углерода в теле разных видов (табл. 2) практически не менялся с глубиной и на ст. 5606 был почти втрое выше, чем на ст. 5602 (рис. 4).
Таблица 1. Вертикальные потоки осадочного вещества (ОВ) и органического углерода (ОУ) на исследованных станциях
| Станция | Глубина, м | Дата | Горизонт | Поток ОВ, г/м2/сут | Поток ОУ | |
| мгС/м2/сут | % | |||||
| 5602 | 26 | 06.09–11.09 | 10 | 246 | 49.0 | 20 | 
| 18 | 286 | 49.2 | 17 | |||
| 5606 | 47 | 07.09–11.09 | 20 | 80 | 15.8 | 20 | 
| 35 | 530 | 33.4 | 6 | |||
Таблица 2. Содержание органического углерода (мкгС/экз) в теле разных видов некрозоопланктона
| Вид | Ст. 5602 | Ст. 5606 | ||
| 10 м | 18 м | 20 м | 35 м | |
| Домики Oikopleura | 4.5±0.6 (2) | |||
| Hyperiidea spp. | 161 | |||
| Jashnovia tolli CIV-CV | 1.6±0.7 (2) | 3.5 | ||
| Calanus glacialis fem | 32.9±3.5 (2) | 47.9±10.2 (3) | 46.6±6.5 (2) | |
| C. glacialis CV | 26.0±2.9 (3) | 42.8 | ||
| C. glacialis CIV | 12.9 | |||
| C. hyperboreus CIV | 58.5 | |||
Общий поток ОУ с учетом НЗ увеличился в среднем на 10% на ст. 5602 и на 80% на ст. 5606 и составил 54–55 мгС/м 2/сут и 32–45 мгС/м 2/сут, соответственно.
Суммарный вклад фитопланктона, ФП и НЗ в вертикальный поток ОУ на ст. 5602 составлял около 30%, на ст. 5606 — 60–80% (рис. 5). На ст. 5602 наибольший вклад давали ФП (12–17%), на ст. 5606 — ФП (27–30%) и НЗ (30–50%).
Рис. 5. Доля разных компонентов в вертикальном потоке ОУ на исследованных станциях. Сокращения на рисунке: Fфп — фекальные пеллеты, Fнз — некрозоопланктон, Fд — домики аппендикулярий, Fфит — фитопланктон, Fмфп — минипеллеты.
ОБСУЖДЕНИЕ
В период наших работ район исследований находился под масштабным влиянием речного стока р. Индигирки [21]. Опресненный поверхностный слой во время постановки седиментационных ловушек распространялся на расстояние 250–300 км от дельты р. Индигирки. Данные о термохалинной структуре вод свидетельствуют о том, что станции с седиментационными ловушками находились в районах, в разной степени подверженных влиянию речного стока. Ст. 5602 была расположена непосредственно в зоне плюма р. Индигирки, ст. 5606 — вне области его распространения. Влияние материкового стока проявилось прежде всего в высоких концентрациях ВВ и ВОУ столбе воды на ст. 5602, в разы превышающих величины на ст. 5606. Повышенные концентрации ВВ и ВОУ с преобладанием терригенной составляющей типичны для районов шельфа, расположенных в области распространения речного стока [1, 7, 17, 16]. Для этих районов, как правило, характерны более высокие значения потоков и темпы осаждения ОВ и ОУ [5, 10, 16]. Согласно нашим данным, валовый поток и поток органического углерода (без учета НЗ) на глубине 20 м в зоне речного плюма был втрое выше, чем за пределами его распространения. На ст. 5602 ежесуточно осаждалось 9% ВВ и 13% ВОУ, на ст. 5606 — 5% ВВ и 7% ВОУ. Многократное увеличение потока ОВ на ст. 5606 на глубине 35 м, вероятней всего, обусловлено процессами взмучивания и переосаждения в придонном нефелоидном слое. Интересно, что концентрация ВОУ в этом слое практически не изменилась по сравнению с вышележащим слоем, поток ОУ увеличился всего вдвое, а его доля в валовом потоке снизилась в 3 раза. По-видимому, в данном случае в процесс переосаждения вовлекается главным образом минеральная составляющая придонного слоя осадков. Важная роль процессов взмучивания и переосаждения осадков в перераспределении потоков ОВ и ОУ в придонном слое шельфа Арктических морей неоднократно подчеркивалась ранее [10, 16]. В целом наши оценки сопоставимы с величинами потоков, измеренными на шельфе морей Сибирской Арктики, за исключением высокоградиентных зон маргинальных фильтров. Валовый поток и поток Сорг в центральной части Карского моря в сентябре–октябре по данным [25] составлял 80–438 мг/м 2/сут и 17–24 мгС/м 2/сут, по данным [5] — 80–1120 мг/м 2/сут и 17–50 мгС/м 2/сут. Величины валового потока, измеренные на шельфе моря Лаптевых в осенний период (53–175 мг/м 2/сут) [6], также близки к нашим оценкам.
Полученные результаты позволили впервые оценить вклад планктонного сообщества в биоседиментацию органического углерода в ВСМ. Полученные величины потока ОУ планктонного происхождения (14–27 мгС/м 2/сут) укладываются в диапазон значений (3–49 мгС/м 2/сут), измеренных на шельфе Карского моря в конце вегетационного периода. Более высокие значения (97–116 мгС/м 2/сут) были получены в море Лаптевых в районе океанологического фронта у дельты р. Лены [5]. В ВСМ основу потока составляли ФП и НЗ, вклад фитопланктона был незначителен (в среднем 0.6 мгС/м 2/сут, или 1% потока ОУ). Гораздо более высокие значения были получены в продуктивных Белом (18 мгС/м 2/сут в среднем за год) [8], Чукотском (8–19 мгС/м 2/сут в безледный период) [29], Баренцевом морях (40–150 мгС/м 2/сут в летний период) [34]. Низкие значения в нашей работе, по-видимому, обусловлены низким уровнем продуктивности ВСМ и сезоном исследований (конец вегетационного периода). Преобладание в ловушках покоящихся стадий планктонных водорослей также свидетельствует об окончании развития фитопланктона.
Соотношение основных биогенных компонентов потока — ФП и НЗ — на исследованных станциях заметно различалось. В области распространения речного плюма (ст. 5602) доминировали ФП, на морском шельфе вне зоны влияния материкового стока (ст. 5606) доминировал НЗ. Увеличение вклада НЗ в поток ОУ связано с разным видовым/размерным составом зоопланктона в материале ловушек. Более мелкие солоноватоводные копеподы Jashnovia tolli составляли основу потока НЗ на ст. 5602, в то время как на ст. 5606 — более крупные морские Calanus glacialis. Важно, что поток мертвых копепод J. tolli на ст. 5602 существенно превышал численность живых особей в столбе воды: поток на нижнем горизонте составлял 1400 экз/м 2/сут, а их численность в слое 0–20 м — 350–530 экз/м 2. Поток мертвых морских копепод C. glacialis на ст. 5606 составлял 260–580 экз/м 2/сут, а численность живых рачков выросла с 300 во время постановки ловушек до 420 экз/м 2 во время подъема. Наиболее вероятной причиной такого дисбаланса является адвекция мертвых копепод из неблагоприятных для этих видов биотопов.
Суммарный вклад фитопланктона, ФП и НЗ составлял менее 30% на ст. 5602, а на ст. 5606 — 60–80% потока ОУ. Эти результаты свидетельствуют о существенном возрастании роли планктонного сообщества в процессах седиментации в районах шельфа, не подверженных влиянию материкового стока. В области распространения речного плюма выше роль терригенного ВОУ.
В целом полученные результаты не подтвердили предположение о незначительной роли планктонной биоты в биоседиментации в низкопродуктивном Восточно-Сибирском море по сравнению с другими морями Сибирской Арктики. Поток осадочного вещества и органического углерода сопоставим с величинами, измеренными в Карском море и море Лаптевых. Влияние материкового стока проявилось в снижении доли планктоногенной компоненты в вертикальном потоке вещества в области речного плюма. Важнейшими факторами, определяющими величину потока планктонного происхождения, являются сезонное состояние сообщества, обилие планктона, его видовая и размерная структура. Процессы адвекции также могут существенно влиять на состав биогенных компонентов потока и их вклад в поток ОУ.
Источник финансирования. Работы выполнены в рамках Государственного задания, тема № 0149-2018-0035. Полевые исследования выполнены при поддержке гранта РНФ № 14-50-00095, обработка и анализ материалов седиментационных ловушек поддержана Проектами РФФИ № 18-05-60069 и 19-05-00022, обработка и анализ взвеси и проб планктона — Проектами РФФИ № 17-05-00799, № 19-04-00322.
About the authors
A. V. Drits
Shirshov Institute of Oceanology, Russian Academy of Sciences
							Author for correspondence.
							Email: adrits@mail.ru
				                					                																			                												                	Russian Federation, 							Moscow						
A. F. Pasternak
Shirshov Institute of Oceanology, Russian Academy of Sciences
														Email: adrits@mail.ru
				                					                																			                												                	Russian Federation, 							Moscow						
M. D. Kravchishina
Shirshov Institute of Oceanology, Russian Academy of Sciences
														Email: adrits@mail.ru
				                					                																			                												                	Russian Federation, 							Moscow						
E. G. Arashkevich
Shirshov Institute of Oceanology, Russian Academy of Sciences
														Email: adrits@mail.ru
				                					                																			                												                	Russian Federation, 							Moscow						
I. N. Sukhanova
Shirshov Institute of Oceanology, Russian Academy of Sciences
														Email: adrits@mail.ru
				                					                																			                												                	Russian Federation, 							Moscow						
M. V. Flint
Shirshov Institute of Oceanology, Russian Academy of Sciences
														Email: adrits@mail.ru
				                					                																			                												                	Russian Federation, 							Moscow						
References
- Ветров А. А., Поняев М. С., Беляев Н. А., Романкевич Е. А. Взвешенное органическое вещество по трассе Северного морского пути // Океанология. 2015. Т. 55. № 3. С. 387-394.
- Виноградов М. Е., Шушкина Э. А. Функционирование планктонных сообществ эпипелагиали океана. М.: Наука, 1987. 240 с.
- Глебов И. И. Надточий В. А., Савин А. Б. и др. Результаты комплексных исследований в Восточно-Сибирском море а августе 2015 г. // Изв. ТИНРО. 2016. Т. 186. С. 81-92.
- Демидов А. Б., Гагарин В. И. Первичная продукция и условия ее формирования в Восточно-Сибирском море в осенний период // Докл. РАН. 2019. (в печати)
- Дриц А. В., Кравчишина М. Д., Пастернак А. Ф. и др. Роль зоопланктона в вертикальном потоке вещества в Карском море и море Лаптевых в осенний сезон // Океанология. 2017. 2017. Т. 57. № 6. С. 934-948.
- Зернова В. В., Нютик Е.-М., Шевченко В. П. Вертикальные потоки микроводорослей в северной части моря Лаптевых (по данным годичной постановки седиментационной ловушки) // Океанология. 2000. Т. 40. № 6. С. 850-858.
- Иванов М. В., Леин А. Ю., Захарова Е. Е., Саввичев А. С. Изотопный состав углерода органического вещества взвеси и донных осадков море Восточной Арктики // Микробиология. 2012. Т. 81. № 5. С. 645-655.
- Ильяш Л. В., Радченко И. Г., Новигатский А. Н. и др. Вертикальный поток фитопланктона и осадочного вещества в Белом море по данным длительной экспозиции седиментационных ловушек // Океанология. 2013. Т. 53. № 2. С. 216-224.
- Кулаков М. Ю. Циркуляция вод и перенос взвесей в морях Лаптевых и Восточно-Сибирском // Проблемы Арктики и Антарктики. 2008. Т. 80. № 3. С. 86-96.
- Купцов В. М., Лисицын А. П., Шевченко В. П., Буренков В. И. Потоки взвешенного вещества и донные отложения в море Лаптевых // Океанология. 1999. Т. 39. № 4 С. 597-604.
- Лисицын А. П., Шевченко В. П., Виноградов М. Е. и др. Потоки осадочного вещества в Карском море и в эстуариях Оби и Енисея // Океанология. 1994. Т. 34. № 5. С. 748-758.
- Лисицын А. П., Новигатский А. Н., Клювиткин А. А. и др. Потоки рассеянного вещества в Белом море, седиментационные обсерватории, новые направления изучения осадочного вещества // Система Белого моря. Т. III. М.: Научный мир, 2013. С. 201-291.
- Лукашин В. Н., Клювиткин А. А., Лисицын А. П., Новигатский А. Н. Малая седиментационная ловушка МСЛ-110 // Океанология. 2011. Т. 51. № 4. С. 746-750.
- Люцарев С. В., Сметанкин А. В. Определение углерода в водной взвеси // Методы исследования органического вещества в океане. М.: Наука, 1980. С. 46-50.
- Пастернак А. Ф., Дриц А. В., Кравчишина М.Д., Флинт М. В. Вклад зоопланктона в вертикальный поток вещества в морях Сибирской Арктики // Докл. РАН. 2017. Т. 477. № 3. С. 380-383
- Романкевич Е. А., Ветров А. А. Цикл углерода в арктических морях России. М.: Наука, 2001 302 с.
- Чаркин А. Н., Дударев О. В., Шахова Н. Е. и др. Особенности формирования полей взвеси в морях Восточной Арктики // Докл. РАН. 2015. Т. 462. № 5. С. 595-600.
- Численко Л. Л. Номограммы для определения веса водных организмов по размерам и форме тела. Л.: Наука, 1968. 106 с.
- Шевченко В. П., Ведерников В. И., Иванов Г. И. и др. Вертикальные потоки осадочного вещества в Баренцевом море в летне-осенний период // Геология морей и океанов: Тез. докл. XIII Межд. Школы мор. Геологии. Т. 1. М.: ГЕОС, 1999. С. 153-154.
- Шевченко В. П., Иванов Г. И., Буровкин А. А. и др. Потоки осадочного вещества в желобе Святой Анны и в восточной части Баренцева моря // Докл. РАН. 1998. Т. 59. С. 401-404.
- Экосистемы морей Российской Арктики. Материалы экспедиционных исследований 2015 и 2017 гг. М.: ИО РАН, апрель, 2018. 232 с.
- Conway D. V. P., Robins D. B. Collection and chemical analysis of chaetognaths and changes due to preservation // In: The biology of chaetognaths / Eds. Bone Q. et al. New York: Oxford University Press, 1991. P. 137-146.
- Deibel D. Feeding mechanism and house of the appendicularian Oikopleura vanhoeffeni // Mar. Biol. 1986. V. 93. P. 429-436.
- Diebel D., Turner J. T. Zooplankton feeding ecology: contents of fecal pellets of the appendicularian Oikopleura vanhoeffenii // Mar. Ecol. Prog. Ser. 1985. V. 27. P. 67-78.
- Gaye B., Fahl K., Kodina L. A. et al. Particulate matter fluxes in the southern and central Kara Sea compared to sediments: bulk fluxes, amino acids, stable carbon and nitrogen isotopes, sterols and fatty acids // Cont. Shelf Res. 2007. V. 27. P. 2570-2594.
- Gordeev V. V., Martin J. M., Sidorov J. S., Sidorova M. V. A reassessment of the Eurasian river input of water, sediment, major elements, and nutrients to the Arctic Ocean // American Journal of Sciences, 1996. V. 296. P. 664-691.
- Gunther F., Overduin P. P., Sandakov A. V., Grosse G., and Grigoriev M. N. Short- and long-term thermo-erosion of ice-rich permafrost coasts in the Laptev Sea region // Biogeosciences. 2013. V. 10. P. 4297-4318.
- Holm-Hansen O., Riemann B. Chlorophyll “а” determination: improvements in methodology // Oikos. 1978. V. 30. P. 438-447.
- Lalande C., Grebmeier J. M., Wassmannb P. et al. Export fluxes of biogenic matter in the presence and absence of seasonal sea ice cover in the Chukchi Sea // Continental Shelf Res. 2007. V. 27. P. 2051-2065.
- Lalande C., Belanger S., Fortier L. Impact of a decreasing sea ice cover on the vertical export of particulate organic carbon in the northern Laptev Sea, Siberian Arctic Ocean // Geophys. Res. Lett. 2009. V. 36. L21604.
- Lalande C., Nöthing E-M., Somavilla R. et al. Variability in under-ice export fluxes of biogenic matter in the Arctic Ocean // Global Biogeochem. Cycles. V. 28. 2014. P. 571-583.
- Menden-Deuer S., Lessard E. J. Carbon to volume relationships for dinoflagellates, diatoms, and other protist plankton // Limnol. Oceanogr. 2000. V. 45. P. 569-579.
- Miquel J.-C., Gasser B., Martín J. et al. Downward particle flux and carbon export in the Beaufort Sea, Arctic Ocean; the role of zooplankton // Biogeosciences. 2015. V.12. P. 5103-5117.
- Olli K., Wexels R. C., Wassmann P. et al. Seasonal variation in vertical flux of biogenic matter in the marginal ice zone and the central Barents Sea // J. of Marine Systems. 2002. V. 38. P. 189-204.
- Pasternak A., Arashkevich E., Wexels R. C. et al. Seasonal variation in zooplankton and suspended faecal pellets in the subarctic Norwegian Balsfjorden, in 1996 // Sarsia. 2000. V. 85. P. 439-452.
- Sampei M., Sasaki H., Forest A., Fortier L. A substantial export flux of particulate organic carbon linked to sinking dead copepods during winter 2007-2008 in the Amundsen Gulf (southeastern Beaufort Sea, Arctic Ocean) // Limnol. Oceanogr. 2012. V. 57. P. 90-96.
- Wassmann, P., Carroll, J., Bellerby, R. G. J. Carbon flux and ecosystem feedback in the northern Barents Sea in an era of climate change: an introduction // Deep-Sea Res. Pt. II. 2008. V. 55. P. 2143-2153.
Supplementary files
 
				
			 
					 
						 
						 
						 
						 
									
 
  
  
  Email this article
			Email this article 





