Ga Mafic dikes and sills of Northern Fennoscandia: Petrology and Crustal evolution
- Authors: Erofeeva K.G.1, Stepanova A.V.2, Samsonov A.V.1, Larionova Y.O.1, Egorova S.V.2, Arzamastsev A.A.3, Kovalchuk E.V.1
-
Affiliations:
- Institute of Geology of Ore Deposits, Petrography, Mineralogy and Geochemistry of the Russian Academy of Sciences
- Karelian Research Center of the Russian Academy of Sciences
- Institute of Precambrian Geology and Geochronology of the Russian Academy of Sciences
- Issue: Vol 27, No 1 (2019)
- Pages: 19-46
- Section: Articles
- URL: https://journals.eco-vector.com/0869-5903/article/view/11349
- DOI: https://doi.org/10.31857/S0869-590327119-46
- ID: 11349
Cite item
Full Text
Abstract
New petrographic, geochemical, and Sm-Nd isotopic data provide constraints on the petrogenesis of ca. 2400 Ma gabbronorite, picrodolerite and dolerite mafic sills and dikes in the Liinakhamari and Sorvaranger areas, Kola–Norwegian terrane, Northern Fennoscandia. The sills are differentiated. Their chilled margins are composed of porphyritic picrodolerite with olivine (Fo92-81) and clinopyroxene (Mg# = 0.80–0.85) phenocrysts enclosed by quenched groundmass with intergrows of fan-shaped branched plagioclase grains and clinopyroxenes. The bottom of the sills are usually composed of cumulative olivine gabbronorite upsection followed by olivine gabbro, gabbro, and quartz-bearing dolerites. Picrodolerite and dolerite dikes are close to chilled margins and evolved quartz-bearing dolerites from the upper parts of picrodolerite sills, correspondingly, in terms of mineral and chemical composition. The distribution of trace elements in sills sections is caused by fractionation crystallization of picrodolerite magma with a leading role of gravity settling of olivine phenocrysts. Variations of neodymium isotopic composition in the cumulative gabbronorites in the lower (εNd from –0.25 to +0.82) and dolerites in the upper (εNd from –0.85 to –2.4) parts of the sills are probably related with an addition of crustal contaminant into the magma after phenocrysts crystallization. Doleritic dikes have more radiogenic neodymium isotopic composition (εNd = –0.10) in comparison with dolerites of sills that suggests lower degrees of crustal contamination in dikes. Evaluation of conditions of phenocrysts crystallization using mineral thermobarometers and modelling of crystallization using alphaMELTS indicate that the main stage of the evolution of ca. 2400 Ma mafic melts was probably related with high degrees of fractional crystallization and crustal contamination in the upper crust at P =1–4 kbar. Ca. 2400 Ma mafic intrusions in the Kola–Norwegian terrane are similar with coeval mafic dikes in Troms area in the Northern Fennoscandia, basaltic komatiites of Vetreny Belt and doleritic dikes of Kostomuksha area in the Karelian Craton in terms of petrographic, geochemical and Sm-Nd isotopic characteristics. It suggests that studied mafic sills and dikes in the Kola–Norwegian terrane could be considered as a component of ca. 2400 Ma large igneous province in the Fennoscandia.
Full Text
ВВЕДЕНИЕ
Палеопротерозойский период рассматривается многими исследователями как переходный в геологической истории Земли, на протяжении которого происходили смена термального режима мантии (Barley et al., 2005; Herzberg et al., 2010) и глобальные изменения геодинамических режимов (Condie et al., 2009; Condie, 2011). Начало палеопротерозоя в интервале времени 2.5––2.4 млрд лет отмечено масштабным базитовым магматизмом, который широко представлен на Фенноскандинавском и Канадском щитах и долгое время рассматривался как единое растянутое во времени крупное магматическое событие (Heaman, 1997; Шарков и др., 1997). В последнее десятилетие было установлено, что в этом интервале имели место несколько дискретных эпизодов магматизма 2510, 2450 и 2400 млн лет (Davis, Heaman, 2014; Hughes et al., 2014; Ciborowski et al., 2014, 2015; Stepanova et al., 2017).
Базиты с возрастом 2400 млн лет долгое время были известны в очень ограниченном объеме и рассматривались как «отголоски» более раннего глобального этапа основного магматизма с возрастом 2450 млн лет (Kullerud et al., 2006). Вместе с тем данные последних лет показывают, что это был самостоятельный эпизод базитового магматизма, широко проявленный в разных докембрийских областях (Söderlund et al., 2010; Davies, Heaman, 2014; Ciborowski et al., 2014, 2015; Puchtel et al., 2016; Степанова и др., 2017; Stepanova et al., 2017). На территории Фенноскандинавского щита базиты с возрастом 2400 млн лет установлены к настоящему времени в юго-восточной и центральной частях Карелии (Puchtel et al., 2016; Степанова и др., 2017), в Западном Тромсе (Kullerud et al., 2006) и в Коль- ско-Норвежском террейне Кольского полуострова (Stepanova et al., 2017). Во всех этих районах базиты с возрастом 2400 млн лет представлены двумя контрастными типами: высокомагнезиальным (MgO > 15 мас.%), включающем коматииты, оливиновые габбронориты и пикродолериты, и низкомагнезиальным (MgO < 8 мас.%), включающем габбро и долериты. Вопрос взаимосвязи высоко- и низкомагнезиальных пород магматической провинции с возрастом 2400 млн лет на Фенноскандинавском щите остается открытым. Для Карелии взаимосвязь близких по возрасту долеритовых даек на западе (2404 ± 5 млн лет, Степанова и др., 2017) и коматиитовых базальтов Ветреного Пояса на востоке (2403 ± 32 млн лет, Puchtel et al., 2016) не обсуждалась, отчасти из-за значительной пространственной разобщенности этих магматических комплексов. Для близких по возрасту (2403 ± ± 3 млн лет, Kullerud et al., 2006) даек габброноритов и долеритов роя Рингвассей района Тромсе, Северная Норвегия, на основании геохимических данных предполагается взаимосвязь высокомагнезиальных и низкомагнезиальных базитов за счет сочетания процессов дифференциации и коровой контаминации. В то же время данные об изотопном составе неодима габброноритов и долеритов могут указывать на разные мантийные источники для этих пород (Kullerud et al., 2006).
В настоящей статье приведены новые петрографические, геохимические и изотопные данные для силлов и даек базитов с возрастом 2400 млн лет (Stepanova et al., 2017) в Кольско-Норвежском террейне Кольской провинции в двух пространственно сближенных районах Лиинахамари (Россия) и Сорварангер (Норвегия). На основании полученных данных решались две главные задачи. Во-первых, расшифровка петрогенетических механизмов, которые обеспечили разнообразие составов базитов с возрастом 2400 млн лет в Кольско-Норвежском террейне. Во-вторых, сравнение изученных пород и оценка генетического единства синхронных проявлений базитового магматизма 2400 млн лет в Кольско-Норвежском террейне с одновозрастными базитами из района Тромсе и в районах Ветреного Пояса и Костомукши.
ГЕОЛОГИЧЕСКОЕ ПОЛОЖЕНИЕ ОБЪЕКТОВ ИССЛЕДОВАНИЯ
Северо-восточная часть Фенноскандинавского щита (рис. 1а) и Кольско-Норвежский террейн, в пределах которого располагаются объекты исследования, сложены относительно слабо дислоцированными и метаморфизованными в амфиболитовой(?) фации тоналит-трондьемит-гранодиоритовыми (ТТГ) гнейсами, метаосадочными породами и гранитоидами с возрастом 2.7–2.8 млрд лет (Dobrzhinetskaya et al., 1995; Levchenkov et al., 1995; Ранний докембрий …, 2005; Hölttӓ et al., 2008).
Рис. 1. Геологическое положение объектов исследования. (а) Схема тектонического строения Фенноскандинавского щита (Hölttӓ et al., 2008) и положение обсуждаемых районов распространения базитов с возрастом 2.40 млрд лет, включая: 1 – северо-западная часть Кольско-Норвежского террейна (КНТ), 2 – район Тромсе, 3 – район Ветреного Пояса, 4 – район Костомукша. На врезке схема побережья Баренцева моря с расположением участков исследований. (б) Схема геологического строения района пос. Лиинахамари. Составлена на основе геологической карты Фенноскандии (1 : 2 000 000, 2001 г.), государственной геологической карты масштаба 1 : 200 000 и данных Ж.А. Федотова (Арзамасцев и др., 2009). (в) Схема геологического строения района Сорварангер. Составлена на основе геологической карты масштаба 1 : 200000, Геологическая служба Норвегии (http://geo.ngu.no/kart/berggrunn/) и данных Л.Ф. Добржинецкой и О.А. Левченкова (Dobrzhinetskaya et al., 1995; Levchenkov et al., 1995).
1Ниже использованы следующие сокращения названий миналов: анортит – An, форстерит – Fo. Магнезиальность (Mg#) составов пироксенов рассчитана как Mg/(Mg + Fe) в атомных количествах. Хромистость (Cr#) составов шпинелей рассчитана как Cr/(Cr + Al) в атомных количествах.
Наиболее масштабный этап развития базитового магматизма в регионе связан с внедрением серии крупных расслоенных интрузивов, в формировании которых выделяют два эпизода: 2500 и 2450 млн лет назад (Amelin et al., 1995; Bayanova et al., 2009; Чащин и др., 2015). Последующие проявления магматизма, представленного преимущественно вулканогенными образованиями и расслоенными телами никеленосных базитов, связаны с развитием палеопротерозойского крупного рифтогенного Пасвик-Печенга- Имандра-Варзугского пояса, формирование которого, по разным данным, продолжалось в период с 2450 до 1900 млн лет назад (Sharkov, Smolkin, 1997; Скуфьин, Баянова, 2006; Чащин и др., 2008). Среди субвулканических проявлений палеопротерозойских базитов выделяется нес- колько возрастных групп, включая (1) дайки с возрастом 2500 и 2450 млн лет (Нерович и др., 2014; Stepanova et al., 2017), (2) дайки и силлы – 2400 млн лет (Stepanova et al., 2017), (3) дайки долеритов – 2060 млн лет (Stepanova et al., 2017), (4) дайки ферропикритов – 1940 млн лет (Скуфьин, Баянова, 2006), (5) силлы пойкилоофитовых долеритов – 1860 млн лет (Федотов и др., 2012). Эти базиты в большинстве случаев характеризуются хорошей сохранностью, а условия их метаморфических преобразований не превышали таковых для зеленосланцевой фации.
Многочисленные дайки и силлы базитов закартированы на южном берегу Варангер-Фьорда, Баренцево море, в районе Сорварангер (восточная часть провинции Финнмарк, Норвегия) и районе пос. Лиинахамари (Мурманская область, Россия) (рис. 1б, 1в) (Арзамасцев и др., 2009; Kepezhinskas et al., 2016; Морозов и др., 2017). В районе Лиинахамари относительный возраст базитов (легенда к рис. 1) определялся на основании прямых пересечений и геолого-структурных данных (Федотов, 1995; Арзамасцев и др., 2009; Морозов и др., 2017). Для этого района надежный U-Pb изотопный возраст по бадделеиту в 2508 ± 6 млн лет (Stepanova et al., 2017) получен только для даек кварцевых долеритов, которые формируют рой северо-западного простирания и секутся силлами пикродолеритов. В районе Сорварангер среди палеопротерозойских базитов (Kepezhinskas et al., 2016) по геохронологическим данным выделены две группы с возрастами 2060 и 2400 млн лет (Stepanova et al., 2017). Группа, возраст которой 2400 млн лет, объединяет силлы пикродолеритов (2399 ± 2 млн лет) и дайки долеритов (2401 ± 5 млн лет), датированные U-Pb ID-TIMS методом по бадделеиту (Stepanova et al., 2017).
Для настоящей работы было изучено 4 пикро- долеритовых силла, 1 пикродолеритовая и 2 долеритовых дайки в районах Сорварангер и Лиинахамари, которые являются представительными для одновозрастных базитовых тел, широко распространенных в этих районах. Дальнейшее описание и реконструкция петрогенезиса основаны на детальном изучении этих объектов.
МЕТОДЫ ИССЛЕДОВАНИЯ
Петрографические исследования проводились с помощью оптического поляризационного микроскопа и сканирующего электронного микроскопа (SEM) TESCAN Vega II LSH с приставкой для энерго-дисперсионного рентгеноспектрального микроанализа «Inca Energy-350» в ЦКП КарНЦ РАН, г. Петрозаводск. Состав минералов анализировался в напыленных углеродом (толщина напыления 20 нм) полированных шлифах при ускоряющем напряжении 20 кВ и токе электронного пучка 15 нА, время накопления спектра 70 с. При обработке спектров рентгеновского излучения проводилась оптимизация по спектрам простых соединений и стандартизация по набору эталонов породообразующих минералов. Ошибки проведенных определений составили для концентраций свыше 10 мас.% – до 2 отн.%, 5–10 мас.% – до 5 отн.%, от 1 до 5 мас.% – до 10 отн.%.
Состав породообразующих минералов определялся в лаборатории анализа минерального вещества ИГЕМ РАН на электронно-зондовом анализаторе (EPMA) JEOL JXA-8200, оснащенном 5-ю волновыми спектрометрами, при ускоряющем напряжении 20 кВ, токе на цилиндре Фарадея 20 нА и диаметре пучка 1 мкм. Время экспозиции на все элементы, измеряемые в оливине, пироксене и плагиоклазе, составляло 10 с на пике и по 5 с на фоне с обеих сторон.
Содержания петрогенных элементов в породах определялись на спектрометре последовательного действия PW-2400 в ИГЕМ РАН. Подготовка препаратов для анализа выполнена путем сплавления 0.3 г порошка пробы с 3 г тетрабората лития в индукционной печи с последующим отливом гомогенного стеклообразного диска. Потери при прокаливании определялись гравиметрическим методом. Точность анализа составляла 1–5 отн.% для элементов с концентрациями выше 0.5 мас.% и до 12 отн.% для элементов с концентрацией ниже 0.5 мас.%.
Концентрации редких и редкоземельных элементов определялись методом ICP-MS на приборе Thermo Scientific XSeries 2 в ЦКП КарНЦ РАН по стандартной методике (Светов и др., 2015). Разложение образцов проводилось путем кислотного вскрытия в открытой системе. Правильность анализа контролировалась путем измерения стандартных образцов BHVO-2 и СГД-2А. Относительное стандартное отклонение для большинства элементов не превышало 5%, для V, Ba, Th составляло от 5 до 7%, для Sc и Ce – 9%.
Изотопный Sm-Nd анализ выполнен в лаборатории изотопной геохимии и геохронологии ИГЕМ РАН по стандартной методике (Ларионова и др., 2007). Погрешность 147Sm/144Nd составляет 0.30% по данным измерения стандарта BCR-1 и BHVO-2.
ГЕОЛОГИЯ И ВНУТРEННЕЕ СТРОЕНИЕ ТЕЛ
Силлы пикродолеритов образуют пологие кулисообразные тела протяженностью до 4–5 км, простираются в субширотном и северо-западном направлении (Морозов и др., 2017). Нижний контакт интрузивов с вмещающими гнейсами полого погружается под углом 15o–20o.Часть тел, в которых эрозией вскрыта кровля, обнажаются на большой площади (рис. 1в). Для отдельных силлов мощность выдержана на протяжении нескольких километров. Для других тел мощность варьирует в широких пределах – от первых метров до 30 м на незначительном (до 100 м) расстоянии, окончания кулисообразных тел часто имеют крутые залегания (Морозов и др., 2017).
Маломощные (до 1 м) пологие тела пикродолеритов (обн. Са-509), описанные Ж.А. Федотовым как сателлиты крупных тел (Арзамасцев и др., 2009), прослежены про простиранию на расстояние более 100 м. В маломощном силле в районе мыса Бугойнес (рис. 1в, обн. Са-509) породы интенсивно биотитизированы и не сохранили первичных магматических минералов. Наиболее сохранная центральная часть этого тела сложена мелкозернистыми массивными породами с реликтами порфировидной структуры с крупными ксеноморфными зернами оливина, псевдоморфно замещенными актинолитом, погруженными в мелкозернистую амфибол-биотит-плагиоклазовую основную массу, в которой сохранились реликты метельчатых скоплений плагиоклаза.
Мощные (до 30 м) силлы (обн. Са-506, Са-511, Са-512, Са-595), хорошо сохранившие первичные текстурные и минералогические особенности пород на всех изученных участках имеют похожее строение разрезов с близкими по составу зонами закалки в подошве и кровле и контрастными по текстурным и вещественным характеристикам нижней и верхней частями тел (рис. 2).
Рис. 2. Особенности геологического строения силла пикродолеритов в районе пос. Лиинахамари. (а) Положение разрезов Са-511 и Са-512. Прерывистой белой линией показан верхний контакт силла с вмещающими архейскими гнейсами. Вертикальные белые — положение профилей отбора образцов. (б) Схемы геологического строения силла по результатам детального опробования по профилям. 1 – пикродолериты, 2 – оливиновые и оливинсодержащие габбронориты, 3 – оливиновые и оливинсодержащие габбро и габбро-долериты, 4 – габбро-долериты, долериты и кварцевые долериты, 5 – нет информации (обнажение задерновано), 6 – архейские гнейсы, 7 – номер отобранного образца.
Зону закалки в подошве силла в непосредственном контакте с вмещающими гранитоидами найти не удалось. Образец Са-511-17/19, отобранный в самой нижней точке выхода пород силла на расстоянии около 50 см от контакта, представлен оливиновым габброноритом с порфировидной структурой (рис. 3а). Оливин формирует крупные (до 2 мм) резорбированные фенокристы (5–7 об.%) и мелкие (до 0.3 мм) ксеноморфные зерна (20 об.%) в основной массе породы. Фенокристы имеют слабозональное строение (ядра – Fo86-87, краевые части до Fo82)1 и содержат мелкие (< 0.003 мм) включения Cr- и Ca-содержащих фаз. Мелкие ксеноморфные зерна оливина не зональны (Fo78-82). Среди пироксенов количественно преобладает авгит (Mg# = 0.84–0.85), зерна которого образуют крупные (до 2 мм по удлинению), иногда удлиненные и часто резорбированные зерна (10 об.%).
Рис. 3. Микрофотографии пород: (а) – оливиновый габбронорит порфировидной структуры с метельчатым агрегатом лейст плагиоклаза из подошвы силла (обр. Са-511-17/19); (б) – среднезернистый оливиновый габбронорит из нижней части силла (обр. Са-595-6); (в) – мелкозернистый кварцевый долерит офитовой структуры, отобранный в одном метре от кровли силла (обр. Са-595-2); (г) – тонкозернистый пикродолерит порфировидной структуры из зоны закалки с метельчатым агрегатом лейст плагиоклаза в кровле силла (обр. Са-507-1); (д) – пикродолерит порфировидной структуры с метельчатым агрегатом лейст плагиоклаза из дайки (обр. Ca-515-1); (е) – среднезернистый кварцевый долерит (обр. Ca-505-1) из центральной части мощной дайки. На всех фотографиях николи скрещены. Обозначения минералов здесь и на рис. 4, 5 согласно (Whitney, Evans, 2010).
Часть зерен пироксена имеет структуры распада и характеризуется наличием вростков авгита в ортопироксене (Mg# = 0.79). Основная масса породы имеет офитовую структуру и состоит из мелких ксеноморфных зерен авгита (20 об.%) и плагиоклаза (An58-63), образующего тонкие удлиненные кристаллы (до 1 мм по удлинению) и веерообразные сростки с авгитом.
Нижние части тел сложены среднезернистыми меланократовыми габброноритами с высоким (до 30 об.%) содержанием оливина (рис. 3б, 4а). Видимая мощность зоны развития этих высокомагнезиальных пород в крупных телах составляет около 5 м. Структура пород габбровая. Оливин формирует слабозональные (ядра – Fo85-87, краевые части до Fo81) резорбированные крупные (до 3 мм) зерна (до 4 об.%), аналогичные по составу и характеру включений фенокристам оливина в зонах закалки (Suppl. 12). Помимо крупных зерен оливина в породах нижней части тел существенный объем (20–25 об.%) составляет оливин Fo77-81, формирующий мелкие ксеноморфные зерна (рис. 3б, 4а). Пироксены представлены ортопироксеном (Mg# = 0.78–0.84) – до 15 об.% (Suppl. 3) и авгитом (Mg# = 0.79–0.85), образующим мелкие идиоморфные зерна (рис. 5; Suppl. 2). Часть зерен пироксена имеет структуры распада и характеризуется наличием вростков авгита в ортопироксене. Количество плагиоклаза в породах составляет до 25 об.% (рис. 3б). Зерна плагиоклаза слабо зональны, центральные части имеют состав An64-67, крае- вые части более кислые (до An40), а интерстиции зерен сложены альбитом.
Рис. 4. Микрофотографии пикродолеритов и оливиновых габброноритов в отраженных электронах (BSE): (а) – оливиновый габбронорит из подошвы силла Лиинахамари (обр. Са-511-4); (б) – резорбированный фенокрист оливина зонального состава и зональные фенокристы клинопирокена. Центральные части зерен сложены авгитом, внешние – пижонитом. Основная масса породы сложена пироксен-плагиоклазовыми веерообразными сростками; (в) – порфировидный пикродолерит верхней зоны закалки силла (обр. Са-507-1). Фенокрист оливина и зонального клинопироксена в пироксен-плагиоклазовой основной массе; (г) – средне-мелкозернистый кварцевый долерит из центральной части дайки долеритов (обр. Са-505-1). Fo80 – состав оливина.
2 Представительные анализы (EPMA, SEM) составов оливина из пород пикродолеритовых силлов и даек Сорварангер и Лиинахамари приведены в ESM_1.exl (Suppl. 1); представительные анализы (EPMA, SEM) составов клинопироксенов из пород пикродолеритовых силлов и пикродолеритовых и долеритовых даек Сорварангер и Лиинахамари приведены в ESM_2.exl (Suppl. 2); представительные анализы (EPMA, SEM) составов ортопироксенов из пород пикродолеритовых силлов Сорварангер и Лиинахамари приведены в ESM_3.exl (Suppl. 3); представительные анализы (EPMA) составов шпинели из пород пикродолеритовых силлов и даек Сорварангер и Лиинахамари приведены в ESM_4.exl (Suppl. 4); химический состав палеопротерозойских (2.4 млрд лет) пород Кольско-Норвежского террейна приведен в ESM_5.exl (Suppl. 5); моделирование процессов фракционной кристаллизации в программном пакете alphaMELTS 1.8 приведено в ESM_6.exl (Suppl. 6) – к английской и русской онлайн-версиям статьи на сайтах https://link.springer.com/ и https://journals.eco-vector.com/0869-5903/ соответственно.
Рис. 5. Вариации составов пироксенов в пикродолеритах, габброноритах и долеритах даек и силлов районов Сорварангер и Лиинахамари. Поля на диаграммах показаны согласно классификации (Morimoto et al., 1988).
Рудные минералы в нижних частях тел варьируют по составу от алюмохромита, формирующего идиоморфные включения в оливинах ранней генерации, до хромистого магнетита, кристаллизовавшегося совместно с наименее магнезиальным оливином (рис. 6, Suppl. 4). Количество хромита снижается вверх по разрезу, он практически отсутствует в породах центральных частей тела. Вверх по разрезу, за пределами зоны высокомагнезиальных пород количество оливина резко сокращается, структура пород становится равномернозернистой долеритовой.
Рис. 6. Вариации составов хромшпинелидов в пикродолеритах даек и силлов районов Сорварангер и Лиинахамари: (а) – положение составов хромшпинелидов из пикродолеритов на классификационной диаграмме (Stevens, 1944); (б) – вариации Cr# = Cr3+/(Cr3++Al3+) шпинелей в зависимости от Fo в оливинах в пикродолеритах.
Верхние части тел варьируют по составу (снизу вверх) от среднезернистых оливиновых габброноритов до мелкозернистых кварцсодержащих и гранофировых долеритов. Структура пород габбровая до долеритовой. Оливинсодержащие и оливиновые габбро сложены оливином (до 10 об.%), пижонитом (Mg# = = 0.71–0.78), авгитом, составляющими до 45 об.% и основным плагиоклазом. Оливин варьирует по составу от Fo62 до Fo76. Вверх по разрезу магнезиальность оливина уменьшается до Fo59 (Suppl. 1). Центральные части зерен авгита существенно более магнезиальны (Mg# = 0.75–0.83), чем их краевые части (Mg# = 0.41–0.56) и близки по составу к высокомагнезиальным пироксенам зон закалки и нижних частей тел (рис. 5). Краевые части зерен пироксенов аналогичны клинопироксенам даек долеритов (рис. 5; Suppl. 2). Центральные части зерен плагиоклаза имеют состав An71-62, а краевые до An36. Интерстиции зерен сложены кислым плагиоклазом (An14).
В безоливиновых и кварцсодержащих габбро и габбро-долеритах верхних частей тел (рис. 3в) структура пород может изменяться в пределах одного образца от габбровой до долеритовой. Магнезиальность клинопироксенов в этих породах варьирует от 0.80 в центральных до 0.40 в краевых частях зерен (рис. 5, Suppl. 2). Плагиоклаз в габбро-долеритах верхних частей тел формирует крупные лейсты. Центральные части зерен имеют состав An60-64, краевые – An23-45. Интерстиции зерен сложены кварцем и гранофиром. Рудные минералы представлены ильменитом и магнетитом, формирующими крупные зерна со структурами распада.
Верхняя зона закалки опробована в нескольких телах (обн. Са-507, Са-511, Са-595), ее мощность не превышает 20 см. В участках с хорошей сохранностью зона закалки сложена тонкозернистыми порфировидными пикродолеритами, которые по минеральному составу и структурам аналогичны зоне закалки в подошве силла, отличаясь меньшим количеством фенокристов (рис. 3а, 3г, 4б, 4в).
Оливин формирует крупные (до 2 мм), ксеноморфные, иногда резорбированные, фенокристы (1.5–4 об.%) и мелкие (до 0.4 мм) ксеноморфные зерна в основной массе (до 25 об.%). Центральные части крупных фенокристов оливина имеют состав Fo86-92 и содержат мелкие (< 0.003 мм) включения Cr- и Ca-содержащих фаз (рис. 4б). Краевые части крупных фенокристов (Fo81-85) содержат идиоморфные включения алюмохромита размером до 0.03 мм (рис. 4б) и близки по составу к фенокристам в дайках пикродолеритов (Suppl. 1). Мелкие зерна оливина в основной массе слабозональны, Fo77-81.
Пироксены, среди которых количественно преобладает авгит, формируют мелкие (до 1.5 мм) идиоморфные фенокристы, которые составляют до 15% от объема пород зон закалки (рис. 3г, 4в). Фенокристы авгита слабо варьируют по составу, центральные части зерен однородны (Mg# = = 0.85), а узкие (< 0.01 мм) краевые зоны сложены менее магнезиальным авгитом (Mg# = 0.70–0.76). Пижонит (Mg# = 0.75–0.80) формирует срастания с авгитом, окружает фенокристы оливина (рис. 4б). Основная масса пород зон закалки (рис. 4в) сложена тонкозернистым агрегатом плагиоклаза (An53-61), высоко-Са авгитом (Mg# = 0.67–0.77) и клиноэнстатитом (Mg# = 0.56–0.69) (рис. 5; Suppl. 2, 3). Для пород зон закалки характерны метельчатые срастания тонких расщепленных зерен плагиоклаза и клинопироксена, являющиеся следствием высокой скорости кристаллизации расплава (Corrigan, 1982). Рудные минералы в породах зон закалки представлены слабо зональным алюмохромитом (рис. 6; Suppl. 4). Содержание Al в нем снижается к краевым частям зерен.
Дайки пикродолеритов северо-восточного (40о) простирания (рис. 1) сложены тонкозернистыми породами порфировидной структуры (обр. Са-515-1). Фенокристы представлены оливином (около 10%) и пижонитом (около 30%) (рис. 3д).
Оливин формирует слабо зональные резорбированные, редко идиоморфные, зерна состава Fo75-80 (около 5 об.%, 0.2–0.4 мм) и Fo80-85 (около 3 об.%, 0.6–1.5 мм). Включения оливина в крупных кристаллах пижонита имеют состав Fo75. Удлиненно-приз- матические незональные фенокристы пижонита (Mg# = 0.85) размером до 1.5 мм по удлинению составляют до 10 об.%. Характерной особенностью является обрастание этих кристаллов внешней каймой авгита (Mg# = 0.82). Основная масса в дайках пикродолеритов имеет офитовую структуру и сложена плагиоклазом (An49-55), авгитом (Mg# = = 0.68–0.77) и пижонитом (Mg# = 0.67–0.78) (рис. 5; Suppl. 2, 3). Интерстиции между зернами плагиоклаза выполнены кварцем. Рудные минералы представлены алюмохромитом (Cr# = 0.64–0.71), который формирует идиоморфные включения размером до 0.03 мм в крупных фенокристах оливина и пижонита, и титаномагнетитом основной массы.
Дайки долеритов формируют рой северо-восточного (40о) простирания, обнажающийся на южном побережье Варангер-фьорда в районе Сорварангер (рис. 1). В составе роя были изучены дайка мощностью более 40 м на западном берегу о-ва Скогерейа (обн. Са-505, рис. 1) и дайка мощностью около 10 м в 18 км к западу от мыса Бугойнес (обн. Са-510). Дайки имеют простое внутреннее строение и сложены кварцевыми долеритами. На о-ве Скогерейа в восточном контакте с гнейсами обнажаются закаленные породы с единичными фенокристами плагиоклаза размером до 2 мм. Основная масса пород зон закалки метаморфизована, темноцветные минералы полностью замещены амфиболом. Центральные части тел характеризуются хорошей сохранностью, сложены массивными мелко-среднезернистыми кварцевыми и гранофирсодержащими клинопироксен-плагиоклазовыми долеритами (рис. 3е, 4г). Клинопироксены представлены авгитом и пижонитом. Их магнезиальность варьирует от 0.68 в центральных частях зерен до 0.42 в краевых (рис. 5; Suppl. 2). Плагиоклаз формирует крупные лейсты, центральные части которых имеют состав An49-58. По характеру соотношения главных фаз и их составу долериты даек близки к габбро-долеритам верхних частей силлов.
Вторичные преобразования проявлены в породах в разной степени, но во всех образцах сохранились реликты первичных магматических минералов. Наиболее типичными процессами вторичных преобразований являются: замещение пироксенов амфиболами группы актинолита, серицитизация плагиоклаза, формирование реакционной амфибол-хлоритовой каймы вокруг зерен оливина, замещение умеренно-магнезиальных оливинов тонкозернистым агрегатом амфибола, хлорита и магнетита. Для высокомагнезиальных оливинов характерна серпентинизация. Алюмохромит в редких случаях замещается магнетитом. Анализ петрографических данных показывает, что (1) ни в одном из тел не фиксируются полнопроявленные метаморфические преобразования и (2) условия метаморфических преобразований не превышали зеленосланцевой фации.
ГЕОХИМИЯ
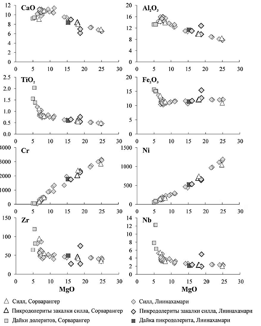
Все изученные базиты относятся к толеитовой серии нормальнощелочного ряда. Сумма щелочей (Na2O + K2O) изменяется от 0.37 до 4.64 мас.%, при этом Na2O преобладает над K2O, за исключением метаморфизованных пород (обр. Са-509-1 и Са-511-17/1), в которых преобладает K2O. По содержанию MgO все породы можно разделить на два петрохимических типа: высокомагнезиальные с содержанием MgO > > 14 мас.% и низкомагнезиальные с MgO < < 11–5 мас.%. К высокомагнезиальным породам относятся пикродолериты, слагающие дайки, пикродолериты закалочных зон силлов и оливиновые габбронориты подошвы и нижней части мощных (> 30 м) тел. Низкомагнезиальные породы слагают дайки кварцевых долеритов, центральные и верхние части силлов.
В разрезах детально опробованного силла Лиинахамари устанавливаются закономерные изменения содержаний петрогенных и редких элементов (рис. 7). Мg, Ni, Cr и другие совместимые элементы концентрируются в оливиновых габброноритах нижней части силла. Здесь, от нижней зоны закалки вверх по разрезу, на отрезке около 5 м наблюдается постепенный рост концентраций этих элементов и последующее их снижение в оливиновых габбро в средней части силла (рис. 7). Далее, в верхней части разреза силла, габбро и долериты имеют более низкие содержания МgO, Ni и Cr с единичными образцами, обогащенными этими элементами, как, например, Са-511-17/5 (рис. 7, табл. 1). В пикродолеритах кровли силла, в зоне закалки концентрации MgO, Ni и Cr резко возрастают и сопоставимы с содержаниями этих элементов вблизи подошвы силла (рис. 7, табл. 1). Наблюдаемое S-образное распределение совместимых элементов в разрезе силла Лиинахамари (рис. 7) является характерной особенностью многих базитовых силлов (Latypov, 2003). Распределение Ca, Al, Ti, а также Zr, Nb, La и других несовместимых элементов в разрезе силла по сравнению с совместимыми элементами обратное: минимальные концентрации этих элементов установлены в оливиновых габброноритах нижней части силлов и пикродолеритах кровли, максимальные – в габбро-долеритах верхней части силла (рис. 7).
Таблица 1. Химический состав палеопротерозойских (2400 млн лет) базитов из районов Сорварангер и Лиинахамари
Компоненты | Сорварангер | Лиинахамари | ||||||||||||
дайки | силлы | дайка | ||||||||||||
Са-505-1 | Са-505-2 | Са-506-2 | Са-506-3 | Са-507-1 | Са-507-2 | Са-515-1 | ||||||||
Qz долерит | Qz долерит | Ol габбронорит | Qz габбро-долерит | пикродолерит | габбро-долерит | пикродолерит | ||||||||
SiO2 | 51. | 55 | 51. | 85 | 46. | 71 | 51. | 00 | 48. | 82 | 51. | 86 | 50. | 74 |
TiO2 | 1. | 38 | 1. | 55 | 0. | 49 | 1. | 12 | 0. | 60 | 0. | 78 | 0. | 60 |
Al2O3 | 13. | 22 | 13. | 24 | 8. | 47 | 14. | 49 | 10. | 03 | 13. | 88 | 11. | 39 |
Fe2O3** | 15. | 17 | 15. | 60 | 10. | 91 | 13. | 51 | 12. | 11 | 11. | 40 | 11. | 37 |
MnO | 0. | 21 | 0. | 22 | 0. | 17 | 0. | 18 | 0. | 18 | 0. | 17 | 0. | 17 |
MgO | 5. | 59 | 4. | 97 | 24. | 85 | 6. | 78 | 17. | 95 | 8. | 25 | 15. | 22 |
CaO | 9. | 40 | 9. | 20 | 6. | 93 | 9. | 07 | 8. | 44 | 10. | 87 | 8. | 36 |
Na2O | 2. | 63 | 2. | 52 | 1. | 14 | 2. | 54 | 1. | 48 | 2. | 13 | 1. | 67 |
K2O | 0. | 71 | 0. | 69 | 0. | 14 | 1. | 17 | 0. | 32 | 0. | 56 | 0. | 38 |
P2O5 | 0. | 13 | 0. | 16 | 0. | 06 | 0. | 14 | 0. | 07 | 0. | 09 | 0. | 09 |
П.п.п. | <0. | 05 | 0. | 65 | 1. | 97 | 0. | 14 | 0. | 37 | 0. | 19 | 0. | 66 |
Сумма | 99. | 68 | 99. | 70 | 99. | 32 | 99. | 73 | 99. | 45 | 99. | 74 | 99. | 45 |
Sc | 44. | 7 | 42. | 5 | 29. | 0 | 33. | 4 | 31. | 7 | 38. | 0 | 33. | 6 |
V | 404 | 396 | 106 | 243 | 196 | 238 | 211 | |||||||
Cr | 60. | 0 | 66. | 1 | 1918 | 175 | 1336 | 458 | 1342 | |||||
Co | 51. | 8 | 47. | 9 | 84. | 3 | 51. | 6 | 69. | 5 | 42. | 3 | 66. | 1 |
Ni | 64. | 2 | 57. | 6 | 978 | 131 164 | 569 | 137 | 454 | |||||
Cu | 254 | 208 | 69. | 8 | 87. | 7 | 110 | 71. | 0 | |||||
Rb | 19. | 4 | 15. | 9 | 6. | 99 | 33. | 7 | 7. | 11 | 14. | 4 | 7. | 35 |
Sr | 186 | 175 | 94. | 2 | 212 | 109 | 162 | 169 | ||||||
Y | 20. | 7 | 24. | 6 | 8. | 60 | 19. | 1 | 9. | 87 | 13. | 9 | 10. | 6 |
Zr | 81. | 8 | 64. | 9 | 34. | 8 | 94. | 9 | 46. | 1 | 55. | 4 | 49. | 4 |
Nb | 6. | 34 | 7. | 82 | 1. | 97 | 5. | 48 | 2. | 31 | 3. | 18 | 2. | 15 |
Ba | 214 | 145 | 100 | 344 | 104 | 181 | 155 | |||||||
La | 12. | 3 | 15. | 0 | 4. | 99 | 16. | 1 | 5. | 71 | 9. | 51 | 8. | 56 |
Ce | 24. | 3 | 29. | 5 | 11. | 3 | 30. | 7 | 11. | 3 | 18. | 1 | 15. | 9 |
Pr | 3. | 32 | 4. | 27 | 1. | 42 | 4. | 36 | 1. | 63 | 2. | 50 | 2. | 37 |
Nd | 14. | 6 | 18. | 5 | 6. | 07 | 17. | 6 | 7. | 03 | 10. | 7 | 9. | 54 |
Sm | 3. | 19 | 4. | 01 | 1. | 60 | 3. | 07 | 1. | 42 | 2. | 15 | 1. | 77 |
Eu | 1. | 19 | 1. | 22 | 0. | 474 | 1. | 04 | 0. | 536 | 0. | 790 | 0. | 704 |
Gd | 4. | 01 | 4. | 94 | 1. | 64 | 3. | 92 | 1. | 94 | 2. | 73 | 2. | 13 |
Tb | 0. | 623 | 0. | 787 | 0. | 277 | 0. | 621 | 0. | 333 | 0. | 469 | 0. | 323 |
Dy | 3. | 92 | 4. | 75 | 1. | 66 | 3. | 63 | 1. | 97 | 2. | 59 | 2. | 12 |
Ho | 0. | 791 | 0. | 943 | 0. | 353 | 0. | 779 | 0. | 409 | 0. | 560 | 0. | 430 |
Er | 2. | 37 | 2. | 83 | 1. | 07 | 2. | 23 | 1. | 23 | 1. | 68 | 1. | 25 |
Tm | 0. | 324 | 0. | 409 | 0. | 148 | 0. | 313 | 0. | 172 | 0. | 231 | 0. | 179 |
Yb | 2. | 27 | 2. | 68 | 1. | 02 | 2. | 12 | 1. | 21 | 1. | 61 | 1. | 26 |
Lu | 0. | 327 | 0. | 385 | 0. | 156 | 0. | 315 | 0. | 185 | 0. | 249 | 0. | 172 |
Hf | 2. | 19 | 1. | 81 | 0. | 961 | 2. | 46 | 1. | 20 | 1. | 60 | 1. | 28 |
Ta | 0. | 750 | 0. | 880 | 0. | 233 | 0. | 694 | 0. | 377 | 0. | 471 | 0. | 376 |
Pb | 3. | 64 | 4. | 00 | 2. | 14 | 4. | 85 | 1. | 75 | 3. | 04 | 2. | 04 |
Th | 1. | 97 | 2. | 48 | 0. | 680 | 2. | 56 | 0. | 726 | 1. | 45 | 0. | 618 |
U | 0. | 479 | 0. | 539 | 0. | 119 | 0. | 420 | 0. | 138 | 0. | 209 | 0. | 092 |
Nb/Nb* | 0. | 47 | 0. | 46 | 0. | 39 | 0. | 31 | 0. | 41 | 0. | 31 | 0. | 34 |
(La/Sm)N | 2. | 42 | 2. | 34 | 1. | 94 | 3. | 28 | 2. | 51 | 2. | 76 | 3. | 02 |
(Gd/Yb)N | 1. | 43 | 1. | 49 | 1. | 30 | 1. | 50 | 1. | 29 | 1. | 37 | 1. | 37 |
Таблица 1. Продолжение
Компоненты | Лиинахамари | |||||||||||||
силл* | ||||||||||||||
Са-511-17/1 | Са-511-17/2 | Са-511-1 | Са-511-17/3 | Са-511-17/4 | Са-511-2 | Са-511-17/5 | ||||||||
пикродолерит | пикродолерит | Qz габбро-долерит | Qz долерит | долерит | габбро-долерит | габбро-долерит | ||||||||
SiO2 | 51.21 | 49. | 04 | 52. | 23 | 52. | 31 | 51. | 98 | 50. | 77 | 50. | 52 | |
TiO2 | 0.54 | 0. | 64 | 0. | 87 | 0. | 87 | 0. | 86 | 0. | 78 | 0. | 74 | |
Al2O3 | 9.81 | 10. | 98 | 14. | 73 | 14. | 85 | 14. | 89 | 15. | 95 | 13. | 19 | |
Fe2O3** | 12.67 | 11. | 68 | 11. | 46 | 11. | 19 | 11. | 27 | 10. | 54 | 11. | 38 | |
MnO | 0.19 | 0. | 19 | 0. | 18 | 0. | 18 | 0. | 17 | 0. | 16 | 0. | 18 | |
MgO | 18.78 | 16. | 06 | 7. | 05 | 6. | 99 | 7. | 10 | 7. | 46 | 11. | 00 | |
CaO | 6.16 | 8. | 98 | 10. | 50 | 10. | 66 | 10. | 89 | 11. | 17 | 10. | 41 | |
Na2O | 0.22 | 1. | 25 | 2. | 15 | 2. | 19 | 2. | 18 | 2. | 36 | 1. | 78 | |
K2O | 0.37 | 1. | 09 | 0. | 74 | 0. | 65 | 0. | 57 | 0. | 71 | 0. | 71 | |
P2O5 | 0.07 | 0. | 07 | 0. | 10 | 0. | 10 | 0. | 09 | 0. | 10 | 0. | 08 | |
П.п.п. | 7.17 | 3. | 03 | 0. | 35 | 1. | 12 | 0. | 93 | 0. | 55 | 1. | 68 | |
Сумма | 99. | 44 | 99. | 54 | 99. | 76 | 99. | 77 | 99. | 77 | 99. | 66 | 99. | 68 |
Sc | 26. | 0 | 28. | 8 | 35. | 8 | 33. | 9 | 35. | 4 | 31. | 8 | 33. | 7 |
V | 179 | 192 | 243 | 225 | 237 | 205 | 226 | |||||||
Cr | 1684 | 1286 | 181 | 191 | 181 | 399 | 718 | |||||||
Co | 53. | 3 | 54. | 4 | 42. | 1 | 39. | 1 | 40. | 2 | 45. | 0 | 46. | 4 |
Ni | 560 | 421 | 102 | 100 | 107 | 152 | 244 | |||||||
Cu | 7. | 87 | 32. | 6 | 128 | 114 | 112 | 118 | 78. | 6 | ||||
Rb | 7. | 18 | 19. | 9 | 20. | 9 | 18. | 1 | 15. | 0 | 19. | 0 | 16. | 4 |
Sr | 6. | 78 | 86. | 6 | 172 | 167 | 173 | 194 | 145 | |||||
Y | 8. | 62 | 10. | 2 | 14. | 9 | 14. | 7 | 14. | 4 | 13. | 6 | 12. | 8 |
Zr | 27. | 3 | 27. | 4 | 59. | 7 | 54. | 2 | 48. | 9 | 61. | 2 | 39. | 7 |
Nb | 1. | 91 | 2. | 36 | 3. | 26 | 3. | 47 | 3. | 44 | 3. | 24 | 2. | 96 |
Ba | 40. | 4 | 103 | 228 | 168 | 182 | 217 | 150 | ||||||
La | 3. | 57 | 5. | 21 | 9. | 50 | 9. | 01 | 8. | 77 | 10. | 5 | 7. | 62 |
Ce | 9. | 14 | 12. | 0 | 17. | 9 | 20. | 1 | 19. | 7 | 19. | 9 | 17. | 0 |
Pr | 1. | 40 | 1. | 47 | 2. | 58 | 2. | 54 | 2. | 45 | 2. | 73 | 2. | 15 |
Nd | 6. | 31 | 6. | 29 | 11. | 7 | 10. | 6 | 10. | 4 | 11. | 6 | 9. | 04 |
Sm | 1. | 62 | 1. | 59 | 2. | 05 | 2. | 37 | 2. | 47 | 2. | 06 | 2. | 23 |
Eu | 0. | 475 | 0. | 538 | 0. | 860 | 0. | 886 | 0. | 865 | 0. | 810 | 0. | 734 |
Gd | 1. | 84 | 1. | 85 | 2. | 77 | 2. | 92 | 2. | 90 | 2. | 61 | 2. | 44 |
Tb | 0. | 288 | 0. | 342 | 0. | 493 | 0. | 460 | 0. | 441 | 0. | 440 | 0. | 404 |
Dy | 1. | 68 | 2. | 03 | 2. | 97 | 2. | 96 | 2. | 85 | 2. | 77 | 2. | 61 |
Ho | 0. | 353 | 0. | 429 | 0. | 637 | 0. | 643 | 0. | 598 | 0. | 577 | 0. | 560 |
Er | 1. | 13 | 1. | 42 | 1. | 89 | 1. | 86 | 1. | 68 | 1. | 66 | 1. | 58 |
Tm | 0. | 124 | 0. | 180 | 0. | 261 | 0. | 253 | 0. | 256 | 0. | 211 | 0. | 224 |
Yb | 0. | 970 | 1. | 24 | 1. | 81 | 1. | 67 | 1. | 61 | 1. | 56 | 1. | 48 |
Lu | 0. | 138 | 0. | 193 | 0. | 259 | 0. | 269 | 0. | 246 | 0. | 218 | 0. | 211 |
Hf | 0. | 838 | 0. | 842 | 1. | 90 | 1. | 48 | 1. | 32 | 1. | 72 | 1. | 15 |
Ta | 0. | 311 | 0. | 378 | 0. | 408 | 0. | 397 | 0. | 402 | 0. | 484 | 0. | 361 |
Pb | 0. | 799 | 1. | 56 | 2. | 89 | 3. | 04 | 3. | 22 | 4. | 03 | 2. | 35 |
Th | 0. | 699 | 0. | 860 | 1. | 29 | 1. | 37 | 1. | 40 | 1. | 62 | 1. | 29 |
U | 0. | 119 | 0. | 152 | 0. | 238 | 0. | 249 | 0. | 235 | 0. | 271 | 0. | 212 |
Nb/Nb* | 0. | 44 | 0. | 40 | 0. | 34 | 0. | 36 | 0. | 35 | 0. | 28 | 0. | 34 |
(La/Sm)N | 1. | 37 | 2. | 05 | 2. | 90 | 2. | 37 | 2. | 22 | 3. | 19 | 2. | 13 |
(Gd/Yb)N | 1. | 54 | 1. | 21 | 1. | 24 | 1. | 42 | 1. | 46 | 1. | 35 | 1. | 34 |
Таблица 1. Продолжение
Компоненты | Лиинахамари | |||||||||||||
силл* | ||||||||||||||
Са-511-17/6 | Са-511-17/7 | Са-511-17/8 | Са-511-17/9 | Са-511-17/10 | Са-511-17/11 | Са-511-17/13 | ||||||||
габбро-долерит | габбро-долерит | габбро-долерит | габбро-долерит | Ol габбро- долерит | Ol габбро- долерит | Ol габбро | ||||||||
SiO2 | 51. | 96 | 50. | 64 | 51. | 86 | 51. | 16 | 51. | 34 | 51. | 23 | 51. | 14 |
TiO2 | 0. | 79 | 1. | 19 | 0. | 82 | 0. | 86 | 0. | 80 | 0. | 82 | 1. | 04 |
Al2O3 | 14. | 42 | 14. | 34 | 15. | 33 | 15. | 54 | 15. | 91 | 15. | 96 | 14. | 88 |
Fe2O3** | 11. | 07 | 13. | 65 | 10. | 63 | 11. | 29 | 10. | 39 | 10. | 79 | 12. | 17 |
MnO | 0. | 17 | 0. | 20 | 0. | 17 | 0. | 18 | 0. | 17 | 0. | 17 | 0. | 18 |
MgO | 7. | 81 | 6. | 28 | 7. | 42 | 7. | 25 | 6. | 89 | 7. | 67 | 7. | 42 |
CaO | 10. | 89 | 10. | 16 | 10. | 46 | 10. | 34 | 11. | 19 | 9. | 95 | 9. | 75 |
Na2O | 2. | 18 | 2. | 59 | 2. | 37 | 2. | 29 | 2. | 38 | 2. | 41 | 2. | 38 |
K2O | 0. | 61 | 0. | 82 | 0. | 82 | 0. | 98 | 0. | 82 | 0. | 89 | 0. | 91 |
P2O5 | 0. | 09 | 0. | 14 | 0. | 11 | 0. | 11 | 0. | 10 | 0. | 11 | 0. | 13 |
П.п.п. | 1. | 16 | 0. | 77 | 1. | 37 | 1. | 07 | 1. | 55 | 1. | 74 | 1. | 56 |
Сумма | 99. | 74 | 99. | 70 | 99. | 75 | 99. | 74 | 99. | 76 | 99. | 73 | 99. | 69 |
Sc | 35. | 5 | 35. | 3 | 33. | 8 | 32. | 3 | 32. | 5 | 33. | 1 | 34. | 0 |
V | 238 | 261 | 228 | 227 | 224 | 220 | 249 | |||||||
Cr | 361 | 31. | 1 | 202 | 267 | 303 | 360 | 265 | ||||||
Co | 39. | 4 | 47. | 1 | 41. | 1 | 44. | 6 | 42. | 1 | 44. | 7 | 49. | 2 |
Ni | 120 | 91. | 2 | 115 | 140 | 136 | 155 | 170 | ||||||
Cu | 103 | 159 | 107 | 115 | 102 | 111 | 144 | |||||||
Rb | 17. | 0 | 23. | 4 | 24. | 9 | 29. | 8 | 25. | 5 | 28. | 7 | 27. | 7 |
Sr | 171 | 199 | 195 | 198 | 197 | 193 | 196 | |||||||
Y | 13. | 6 | 19. | 5 | 14. | 9 | 15. | 5 | 14. | 5 | 14. | 9 | 18. | 7 |
Zr | 47. | 2 | 81. | 6 | 62. | 7 | 64. | 7 | 58. | 5 | 60. | 4 | 86. | 2 |
Nb | 3. | 16 | 5. | 25 | 3. | 91 | 4. | 03 | 3. | 75 | 3. | 95 | 5. | 03 |
Ba | 188 | 262 | 240 | 265 | 232 | 245 | 269 | |||||||
La | 8. | 74 | 14. | 5 | 10. | 8 | 11. | 4 | 10. | 7 | 10. | 6 | 13. | 9 |
Ce | 19. | 3 | 32. | 3 | 24. | 2 | 25. | 2 | 23. | 8 | 23. | 6 | 30. | 5 |
Pr | 2. | 35 | 3. | 96 | 2. | 92 | 3. | 08 | 2. | 88 | 2. | 90 | 3. | 72 |
Nd | 10. | 1 | 16. | 1 | 12. | 1 | 12. | 8 | 11. | 8 | 12. | 0 | 15. | 4 |
Sm | 2. | 27 | 3. | 69 | 2. | 83 | 2. | 95 | 2. | 58 | 2. | 62 | 3. | 43 |
Eu | 0. | 788 | 1. | 16 | 0. | 867 | 0. | 901 | 0. | 916 | 0. | 831 | 1. | 01 |
Gd | 2. | 57 | 3. | 95 | 3. | 02 | 3. | 12 | 2. | 95 | 2. | 93 | 3. | 85 |
Tb | 0. | 428 | 0. | 638 | 0. | 499 | 0. | 475 | 0. | 444 | 0. | 477 | 0. | 585 |
Dy | 2. | 77 | 3. | 69 | 2. | 76 | 3. | 01 | 2. | 94 | 2. | 81 | 3. | 63 |
Ho | 0. | 578 | 0. | 800 | 0. | 630 | 0. | 610 | 0. | 600 | 0. | 589 | 0. | 783 |
Er | 1. | 81 | 2. | 40 | 1. | 82 | 1. | 82 | 1. | 77 | 1. | 82 | 2. | 27 |
Tm | 0. | 243 | 0. | 358 | 0. | 249 | 0. | 258 | 0. | 251 | 0. | 257 | 0. | 326 |
Yb | 1. | 61 | 2. | 14 | 1. | 66 | 1. | 69 | 1. | 61 | 1. | 64 | 2. | 01 |
Lu | 0. | 217 | 0. | 315 | 0. | 256 | 0. | 257 | 0. | 223 | 0. | 258 | 0. | 315 |
Hf | 1. | 31 | 2. | 17 | 1. | 70 | 1. | 78 | 1. | 53 | 1. | 53 | 2. | 05 |
Ta | 0. | 320 | 0. | 458 | 0. | 371 | 0. | 374 | 0. | 338 | 0. | 346 | 0. | 383 |
Pb | 2. | 70 | 3. | 86 | 3. | 37 | 4. | 31 | 3. | 49 | 4. | 07 | 4. | 97 |
Th | 1. | 47 | 2. | 63 | 1. | 96 | 2. | 10 | 1. | 90 | 2. | 02 | 2. | 54 |
U | 0. | 244 | 0. | 443 | 0. | 331 | 0. | 359 | 0. | 318 | 0. | 344 | 0. | 434 |
Nb/Nb* | 0. | 32 | 0. | 31 | 0. | 31 | 0. | 30 | 0. | 30 | 0. | 31 | 0. | 31 |
(La/Sm)N | 2. | 40 | 2. | 45 | 2. | 38 | 2. | 42 | 2. | 59 | 2. | 53 | 2. | 53 |
(Gd/Yb)N | 1. | 29 | 1. | 49 | 1. | 47 | 1. | 49 | 1. | 48 | 1. | 44 | 1. | 55 |
Таблица 1. Окончание
Компоненты | Лиинахамари | |||||||||||||||
силл* | ||||||||||||||||
Са-511-3 | Са-511-17/14 | Са-511-17/15 | Са-511-4 | Са-511-17/16 | Са-511-17/17 | Са-511-17/18 | Са-511-17/19 | |||||||||
Ol габбро | Ol габбро-долерит | Ol габбро- норит | Ol габбро- норит | Ol габбро- норит | Ol габбро- норит | Ol габбро- норит | Ol габбро- норит | |||||||||
SiO2 | 51. | 19 | 50. | 54 | 46. | 57 | 46. | 58 | 46. | 48 | 46. | 84 | 47. | 56 | 47. | 58 |
TiO2 | 0. | 69 | 0. | 75 | 0. | 45 | 0. | 45 | 0. | 46 | 0. | 49 | 0. | 52 | 0. | 52 |
Al2O3 | 12. | 31 | 15. | 44 | 7. | 70 | 7. | 95 | 7. | 78 | 8. | 14 | 8. | 79 | 8. | 95 |
Fe2O3** | 11. | 55 | 10. | 79 | 12. | 21 | 11. | 99 | 12. | 12 | 12. | 01 | 12. | 00 | 12. | 10 |
MnO | 0. | 18 | 0. | 18 | 0. | 18 | 0. | 17 | 0. | 19 | 0. | 19 | 0. | 19 | 0. | 19 |
MgO | 10. | 88 | 8. | 41 | 25. | 00 | 24. | 87 | 25. | 12 | 24. | 05 | 22. | 02 | 21. | 72 |
CaO | 10. | 46 | 10. | 75 | 6. | 53 | 6. | 55 | 6. | 50 | 6. | 82 | 7. | 34 | 7. | 30 |
Na2O | 1. | 85 | 2. | 25 | 1. | 08 | 1. | 15 | 1. | 08 | 1. | 16 | 1. | 27 | 1. | 31 |
K2O | 0. | 81 | 0. | 79 | 0. | 23 | 0. | 23 | 0. | 22 | 0. | 24 | 0. | 26 | 0. | 27 |
P2O5 | 0. | 09 | 0. | 10 | 0. | 05 | 0. | 06 | 0. | 06 | 0. | 06 | 0. | 06 | 0. | 06 |
П.п.п. | 0. | 37 | 1. | 17 | 1. | 83 | 0. | 67 | 1. | 86 | 0. | 84 | 0. | 66 | 0. | 5 |
Сумма | 99. | 63 | 99. | 73 | 99. | 22 | 99. | 24 | 99. | 21 | 99. | 24 | 99. | 33 | 99. | 35 |
Sc | 38. | 9 | 28. | 2 | 33. | 7 | 26. | 8 | 29. | 3 | 28. | 3 | 30. | 7 | 29. | 5 |
V | 219 | 188 | 256 | 155 | 223 | 223 | 231 | 215 | ||||||||
Cr | 1266 | 368 | 3113 | 2315 | 2834 | 2569 | 2318 | 2164 | ||||||||
Co | 51. | 7 | 43. | 4 | 113 | 86. | 8 | 101 | 95. | 6 | 90. | 2 | 88. | 2 | ||
Ni | 223 | 174 | 1307 | 979 | 1171 | 1053 | 894 | 868 | ||||||||
Cu | 81. | 4 | 91. | 4 | 79. | 3 | 68. | 0 | 71. | 0 | 71. | 4 | 75. | 7 | 76. | 2 |
Rb | 21. | 3 | 21. | 5 | 6. | 15 | 5. | 59 | 5. | 64 | 6. | 13 | 6. | 19 | 6. | 17 |
Sr | 145 | 181 | 112 | 87. | 3 | 103 | 105 | 110 | 111 | |||||||
Y | 12. | 2 | 12. | 9 | 9. | 89 | 7. | 45 | 9. | 15 | 9. | 32 | 10. | 1 | 10. | 0 |
Zr | 49. | 8 | 47. | 1 | 42. | 6 | 33. | 3 | 39. | 4 | 40. | 3 | 43. | 2 | 43. | 2 |
Nb | 2. | 66 | 3. | 56 | 2. | 38 | 2. | 09 | 2. | 19 | 2. | 32 | 2. | 37 | 2. | 42 |
Ba | 248 | 216 | 102 | 77. | 3 | 97. | 0 | 101 | 106 | 107 | ||||||
La | 8. | 55 | 9. | 83 | 5. | 13 | 4. | 39 | 4. | 97 | 5. | 05 | 5. | 46 | 5. | 44 |
Ce | 16. | 1 | 20. | 9 | 10. | 6 | 8. | 49 | 10. | 1 | 10. | 4 | 11. | 4 | 11. | 3 |
Pr | 2. | 14 | 2. | 61 | 1. | 43 | 1. | 12 | 1. | 36 | 1. | 37 | 1. | 47 | 1. | 50 |
Nd | 9. | 82 | 10. | 8 | 5. | 69 | 5. | 43 | 5. | 70 | 5. | 73 | 6. | 40 | 6. | 46 |
Sm | 2. | 49 | 2. | 67 | 1. | 47 | 1. | 11 | 1. | 47 | 1. | 48 | 1. | 62 | 1. | 58 |
Eu | 0. | 728 | 0. | 769 | 0. | 478 | 0. | 443 | 0. | 467 | 0. | 491 | 0. | 530 | 0. | 502 |
Gd | 2. | 32 | 2. | 52 | 1. | 61 | 1. | 55 | 1. | 60 | 1. | 66 | 1. | 79 | 1. | 76 |
Tb | 0. | 390 | 0. | 417 | 0. | 264 | 0. | 230 | 0. | 271 | 0. | 274 | 0. | 293 | 0. | 296 |
Dy | 2. | 62 | 2. | 44 | 1. | 69 | 1. | 57 | 1. | 70 | 1. | 71 | 1. | 90 | 1. | 80 |
Ho | 0. | 485 | 0. | 566 | 0. | 376 | 0. | 304 | 0. | 368 | 0. | 366 | 0. | 403 | 0. | 389 |
Er | 1. | 54 | 1. | 54 | 1. | 04 | 0. | 935 | 1. | 02 | 1. | 06 | 1. | 15 | 1. | 13 |
Tm | 0. | 204 | 0. | 225 | 0. | 169 | 0. | 112 | 0. | 152 | 0. | 160 | 0. | 173 | 0. | 154 |
Yb | 1. | 36 | 1. | 46 | 0. | 947 | 0. | 940 | 0. | 954 | 1. | 04 | 1. | 07 | 1. | 13 |
Lu | 0. | 221 | 0. | 217 | 0. | 156 | 0. | 125 | 0. | 152 | 0. | 157 | 0. | 169 | 0. | 190 |
Hf | 1. | 46 | 1. | 56 | 0. | 971 | 1. | 06 | 0. | 967 | 0. | 989 | 1. | 09 | 1. | 11 |
Ta | 0. | 355 | 0. | 483 | 0. | 191 | 1. | 24 | 0. | 203 | 0. | 184 | 0. | 188 | 0. | 199 |
Pb | 2. | 72 | 3. | 63 | 1. | 61 | 1. | 48 | 1. | 66 | 2. | 14 | 1. | 84 | 1. | 85 |
Th | 1. | 36 | 1. | 85 | 0. | 629 | 0. | 620 | 0. | 651 | 0. | 676 | 0. | 734 | 0. | 739 |
U | 0. | 250 | 0. | 320 | 0. | 118 | 0. | 102 | 0. | 120 | 0. | 126 | 0. | 130 | 0. | 132 |
Nb/Nb* | 0. | 28 | 0. | 26 | 0. | 24 | 0. | 46 | 0. | 22 | 0. | 23 | 0. | 23 | 0. | 24 |
(La/Sm)N | 2. | 15 | 2. | 30 | 2. | 18 | 2. | 47 | 2. | 11 | 2. | 13 | 2. | 10 | 2. | 15 |
(Gd/Yb)N | 1. | 38 | 1. | 40 | 1. | 37 | 1. | 33 | 1. | 35 | 1. | 29 | 1. | 35 | 1. | 26 |
Примечание. *Приведены образцы из детального профиля в силле обн. Са-511 (от кровли к подошве). Содержания оксидов петрогенных элементов пересчитаны на сухой остаток и приведены в мас.%; содержания редких элементов – в ppm. Fe2O3** – суммарное содержание оксидов железа. Qz – кварцевый, Ol – оливиновый.
Рис. 7. Вариации содержаний породообразующих (мас.%) и микропримесных (ppm) элементов в обобщенном разрезе силла. Условные обозначения на схематическом изображении пород в силле те же, что и для рис. 2.
На вариационных диаграммах (рис. 8) все породы силлов образуют единые тренды с закономерными изменениями содержаний большинства петрогенных и редких элементов на фоне широких вариаций содержания в породах MgO от 25 до 5 мас.% (рис. 8). Переход к габбро и долеритам, которые слагают верхние части разрезов силлов, сопровождается «переломом» трендов на уровне содержанияMgO в интервале 7.0–7.5 мас.%. При небольшом снижении содержания MgO от 7.5 до 5 мас.% наблюдается более значимый рост концентраций Fe2O3, TiO2, редких и редкоземельных элементов, уменьшение концентраций CaO и менее выражено Al2O3 (рис. 8).
Рис. 8. Вариации содержаний оксидов главных элементов (мас.%), Cr, Ni, Zr и Nb (ppm) относительно MgO в базитах с возрастом 2400 млн лет из районов Лиинахамари и Сорварангер.
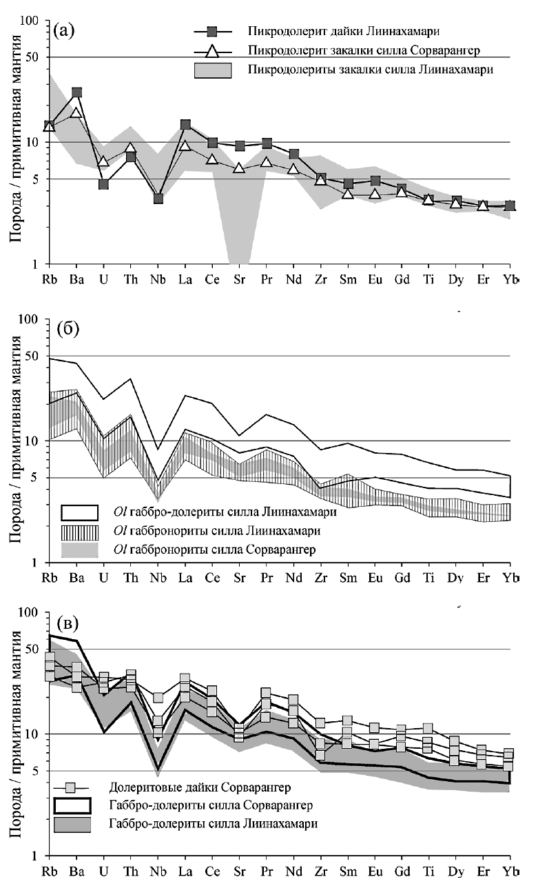
Мультиэлементные спектры для разных пород силлов имеют близкую форму с обогащением легкими РЗЭ (LaN/SmN от 1.94 до 3.28), слабым обеднением тяжелыми РЗЭ (GdN/YbN от 1.20 до 1.55), небольшими отрицательными аномалиями Ti и Zr и более значимыми – Nb (Nb/Nb* от 0.28 до 0.47) (рис. 9).
Базитовые дайки по содержаниям петрогенных и редких элементов близки к породам силлов. Пикродолерит из дайки является аналогом пикродолеритов из зон закалки силлов, выделяясь лишь максимальным фракционированием легких РЗЭ.
Рис. 9. Содержания рассеянных элементов в базитах с возрастом 2400 млн лет из районов Лиинахамари и Сорварангер, нормированные к примитивной мантии (Wedepohl, Hartmann, 1994). (а) – пикродолерит дайки и пикродолериты из зоны закалки силлов; (б) – оливиновые габбронориты и оливинсодержащие габбро-долериты силлов; (в) – –габбро-долериты, долериты и кварцевые долериты силлов и долеритовые дайки.
Дайки долеритов, отличаясь минимальным содержанием MgO, на всех диаграммах близки к долеритам силлов и достраивают тренды изменения их составов (рис. 8, 9).
Изменения первичных петрогеохимических особенностей базитов связаны с их амфиболизацией и карбонатизацией, приуроченными к локальным зонам тектонических нарушений. В изу- ченной коллекции образцов это проявлено для рассланцованных пикродолеритов из зоны контакта с гранитоидами в кровельной части силла Лиинахамари (рис. 8). Также, возможно, наложенные процессы привели к частичному перераспределению в породах концентраций щелочных металлов, содержания которых имеют широкие и не очень закономерные вариации (табл. 1).
Sm-Nd ИЗОТОПНАЯ ГЕОХИМИЯ
Sm-Nd изотопные данные для пород силлов и даек с возрастом 2400 млн лет приведены в табл. 2. Отличительной особенностью силлов являются различия первичного изотопного состава неодима между низко- и высокомагнезиальными базитами верхней и нижней частей силлов. Наиболее контрастно это проявлено в мощном силле района Сорварангер. В нижней части силла оливиновый габбронорит имеет более радиогенный изотопный состав неодима (eNd = +0.82) по сравнению с пикродолеритом из верхней зоны закалки (eNd = –0.83) и габбро- долеритами из центральной (eNd = –1.4) и верхней (eNd = –2.4) частей силла. Аналогичные, но менее контрастные соотношения установлены в оливиновом габбронорите из нижней части (eNd = = –0.25) и габбро-долерите из верхней части (eNd = = –0.85) силла Лиинахамари. В пикродолеритах из дайки установлен менее радиогенный изотопный состав неодима (eNd = –1.6) по сравнению с долеритом из дайки (eNd = –0.13) (табл. 2).
Таблица 2. Sm-Nd изотопные данные для палеопротерозойских (2400 млн лет) базитов районов Сорварангер и Лиинахамари
Номер образца | Порода | Sm, ppm | Nd, ppm | 147Sm/144Nd | 143Nd/144Nd ±2σ | (143Nd/144Nd)2400 | ɛNd (2400) | ||
Са-506-3 | Qz долерит | 3.996 | 18. | 41 | 0.1313 | 0.511481±9 | 0.509404 | –2. | 4 |
Са-506-2 | Ol габбронорит | 1.749 | 7. | 756 | 0.1393 | 0.511771±6 | 0.509568 | 0. | 82 |
Са-507-2 | Габбро-долерит | 2.611 | 11. | 52 | 0.1370 | 0.511624±9 | 0.509456 | –1. | 4 |
Са-507-1 | Пикродолерит | 1.891 | 7. | 691 | 0.1486 | 0.511835±9 | 0.509484 | –0. | 83 |
Ca-511-1 | Qz долерит | 2.683 | 11. | 59 | 0.1400 | 0.511698±9 | 0.509483 | –0. | 85 |
Ca-511-4 | Ol габбронорит | 1.298 | 5. | 201 | 0.1509 | 0.511901±6 | 0.509514 | –0. | 25 |
Са-515-1 | Пикродолерит | 2.420 | 11. | 60 | 0.1261 | 0.511440±6 | 0.509446 | –1. | 6 |
Cа-505-1 | Qz долерит | 3.545 | 14. | 85 | 0.1443 | 0.511803±6 | 0.509519 | –0. | 13 |
ОБСУЖДЕНИЕ РЕЗУЛЬТАТОВ
Согласно проведенным исследованиям, базиты с возрастом 2400 млн лет, слагающие силлы и дайки в Кольско-Норвежском террейне, имеют близкие петрографические, петрогеохимические и изотопные характеристики. Пикродолериты в дайках по текстурным особенностям, минеральному и химическому составу близки к пикродолеритам в зонах закалки силлов. Долериты в дайках по составу и геохимическим особенностям близки к долеритам из верхних частей силлов (рис. 7, 8, 9, табл. 1; Suppl. 5). Сходство петрографических и геохимических характеристик долеритов даек и кровельных частей тел дополняется данными о составе клинопироксенов в породах: наиболее магнезиальные пироксены даек долеритов аналогичны по составу низкомагнезиальным пироксенам силлов (рис. 5) и могли быть сформированы в результате эволюции общего исходного расплава. Вариации изотопного состава Nd в мафических породах из силлов (eNd от –2.4 до +0.82) и даек (eNd от –1.6 до –0.13) перекрываются (табл. 2). Эти данные позволяют предполагать, что разные фациальные и породные типы базитов с возрастом 2400 млн лет в Кольско-Норвежском террейне имели общий мантийный источник и близкий по составу исходный расплав, а наблюдаемое разнообразие составов пород и их изотопно-геохимических характеристик определялось процессами дифференциации и контаминации в ходе коровой эволюции расплавов.
Механизм дифференциации силлов
Максимальное разнообразие составов и изотопно-геохимических характеристик базитов проявлено в объеме силлов, что делает их ключевыми объектами для расшифровки процессов коровой эволюции магм и оценки возможных причин разнообразия составов базитов с возрастом 2400 млн лет в Кольско-Норвежском террейне.
Контрастные различия минерального и химического состава пород в нижней и верхней частях силлов, вероятно, связаны с процессом внутрикамерной дифференциации. S-образный профиль вариаций содержаний пет- рогенных и редких элементов в породах разрезов силлов от подошвы к кровле (рис. 7) является наиболее распространенным и характерным для пластовых базитовых интрузивов (например, Marsh, 2015). Формирование такого профиля обсуждается с привлечением двух главных механизмов. В одних случаях предполагается ведущая роль кристаллизационной дифференциации в объеме силла из расплава, изначально не содержавшего фенокристов (Tait, Jupart, 1996), в том числе с привлечением процессов термодиффузии (Latypov, 2003). В других случаях в качестве определяющего механизма рассматривается гравитационная дифференциация магмы, несущей большое количество интрателлурических фенокристов оливина или пироксена (Арискин, Ярошевский, 2006; Ubide et al., 2012; Marsh, 2015), концентрирование которых происходит в движущемся потоке (Marsh, 1996) или в статичном состоянии за счет гравитационного осаждения (Frenkel et al., 1989)
В силлах пикродолеритов не установлены магматическая полосчатость, расслоенность, хорошо проявленные кумулятивные структуры, такситовые габброиды, габбро-пегматиты и другие особенности, типичные для дифференцированных интрузивов и сформированные в результате фракционной кристаллизации расплавов в крупных магматических камерах. Небольшая (< 30 м) мощность изученных силлов определяла, вероятно, быстрое застывание поступавшего в них расплава, что не могло обеспечить нормальное протекание процессов зарождения и роста кристаллов in situ и формирование полноценных кумулятивных пород. Однако обилие фенокристов оливина и пироксенов в порфировидных породах зон закалки указывает на то, что силлы заполнялись смесью расплава и кристаллов, гравитационное разделение которых могло быть главным механизмом в образовании их вещественной неоднородности при подчиненной роли процессов фракционной кристаллизации.
Осаждение ранних фенокристов оливина хорошо объясняет петрографические и геохимические характеристики пород нижней части разреза силлов. Вблизи подошвы породы имеют текстурные признаки закалки и по составу близки к пикродолеритам кровли, отличаясь несколько более высоким содержанием фенокристов оливина (рис. 3). Расположенные выше по разрезу меланократовые оливиновые габбронориты (оливиновые и оливин-пироксеновые кумулаты) с большим количеством крупных зерен оливина и повышенными содержаниями MgO, Cr и Ni, вероятно, сформированы в результате осаждения фенокристов оливина из верхних частей силла. На ведущую роль осаждения фенокристов в формировании пород нижних частей силлов указывает также идентичность морфологии и состава зерен оливина в пикродолеритах верхней зоны закалки и кумулятивных породах нижней части силлов (рис. 10).
Гравитационная отсадка фенокристов из исходной магмы обеспечивала концентрирование в верхних частях силлов низкомагнезиальных (MgO < 7.5 мас.%) остаточных расплавов. В габброидах верхних частей силлов нигде, даже в мелкозернистых, быстро застывших долеритах вблизи кровли силлов, не были обнаружены высокомагнезиальные оливины, что предполагает высокую скорость отсадки фенокристов. Интенсивное концентрирование кумулусного оливина в подошве тел, возможно, обеспечивалось процессами дифференциации в движущемся потоке по механизму, описанному в работе (Marsh, 1996).
Реалистичность рассмотренного механизма гравитационной дифференциации можно проиллюстрировать простым масс-балансовым расчетом. Мы предположили, что исходная магма отвечает составу пикродолерита из зоны закалки силла (обр. Са-507-1). При добавлении в исходную магму фенокристовой ассоциации (7% Ol, Fo92-86 + + 18% Ol, Fo85-77 + 15% Cpx, Mg# = 0.76—0.85) получаем состав, близкий к меланократовому оливиновому габбронориту нижней части силла, а оставшийся после удаления фенокристов расплав близок к средневзвешенному составу габброидов верхней части силла (табл. 3).
Таблица 3. Масс-балансовый расчет гравитационной дифференциации магмы в объеме силла
Комоненты | Усредненные составы минералов | Модель | Средневзвешенные составы пород | |||||||||||
Ol-1 | Ol-2 | Cpx | 1 | 2 | нижняя часть силла | верхняя часть силла | ||||||||
SiO2 | 40. | 33 | 39. | 1 | 51. | 6 | 47.87 | 52. | 72 | 47. | 62 | 51. | 57 | |
TiO2 | 0. | 02 | 0. | 02 | 0. | 17 | 0.45 | 0. | 95 | 0. | 49 | 0. | 87 | |
Al2O3 | 0. | 11 | 0. | 07 | 3. | 72 | 7.66 | 15. | 88 | 8. | 54 | 14. | 70 | |
FeO | 10. | 47 | 18. | 2 | 6. | 96 | 11.49 | 9. | 92 | 10. | 87 | 10. | 34 | |
MnO | 0. | 14 | 0. | 23 | - | 0.17 | 0. | 22 | 0. | 18 | 0. | 18 | ||
MgO | 47. | 81 | 41. | 9 | 18. | 1 | 22.7 | 7. | 53 | 23. | 43 | 7. | 51 | |
CaO | 0. | 19 | 0. | 16 | 17. | 6 | 8.01 | 9. | 72 | 7. | 07 | 10. | 59 | |
Na2O | - | - | 0. | 27 | 1.10 | 2. | 42 | 1. | 21 | 2. | 24 | |||
K2O | - | - | - | 0.23 | 0. | 54 | 0. | 27 | 0. | 74 | ||||
Cr2O3 | 0. | 04 | 0. | 02 | 0. | 62 | 0.15 | 0. | 01 | 0. | 15 | 0. | 01 | |
NiO | 0. | 43 | 0. | 32 | - | 0.11 | –0. | 03 | 0. | 11 | 0. | 01 | ||
Mg# | 89 | 80 | 82 | 78 | 58 | 79 | 56 | |||||||
Модель | –7% | –18% | –15% | |||||||||||
Примечание. Гравитационная дифференциация исходной магмы, представляющей собой смесь фенокристов и расплава, ведет к возникновению кумулатов в подошве интрузива и образованию практически свободного от фенокристов расплава в верхней части тела. Ведущая роль этого процесса при формировании интрузива подтверждается масс-балансовым расчетом: при добавлении фенокристовой ассоциации (Ol + Cpx) в исходную магму, состав которой может быть охарактеризован составом пикродолерита зоны закалки силла (обр. Са-507-1), дает состав (1), близкий к оливиновому габбронориту нижней части силла. При этом расплав, оставшийся после удаления фенокристов (2), близок к средневзвешенному составу габброидов верхней части силла. Для расчетов производилось усреднение составов фенокристов: Ol-1 – Fo92-86; Ol-2 – Fo85-77; Cpx – Mg# = 76— 85. Содержание оксидов приведено в мас. %. Прочерк – ниже предела обнаружения. Mg# = Mg/(Mg+Fe)×100.
Фракционная кристаллизация базальтового расплава, обособившегося в ходе гравитационной дифференциации, определила вариации минерального и химического состава пород в верхних частях силлов. Преобладающие здесь габбро-долериты слабо варьируют по минеральному и химическому составу MgO (~ 7.5 ± 1.5 мас.%) и могут являться продуктом кристаллизации остаточного расплава. На их фоне контрастно выделяются оливиновые габбро, которые содержат скопления крупных кристаллов оливина состава Fo59-76, обогащены MgO (до 11 мас.%), Ni и Cr (табл. 1; Suppl. 5) и, возможно, представляют участки обогащения оливином, образовавшимся в верхней части силла. Наблюдаемое закономерное снижение магнезиальности темноцветных минералов вверх по разрезу силла при переходе от оливиновых габбро к габбро-долеритам и кварцевым долеритам, прямая зональность в зернах клинопироксена (Mg# = 0.86––0.70) (рис. 5) и плагиоклаза (An64-23) также являются результатом процесса фракционной кристаллизации в верхних частях силлов. Следует добавить, что клинопироксены в краевых частях фенокристов и в основной массе пикродолеритов зон закалки имеют близкие составы (Mg# = 0.67–0.72), что, вероятно, фиксирует кристаллизацию in situ. Оценка давления этапа кристаллизации in situ, выполненная по клинопироксенам основной массы зон закалки с использованием термобарометра Cpx-Liquid (Putirka, 2008), позволяет предполагать, что кристаллизация силлов происходила в малоглубинных условиях при Р = 1.6 ± ± 1.4 кбар.
Таким образом, имеющиеся данные позволяют предполагать, что кристаллизация расплава, формирующего силлы, происходила в два этапа. На первом этапе происходит механическое удаление высокомагнезиальной твердой фазы из системы, обеспечившее формирование высокомагнезиальных кумулятивных пород в придонной части интрузивов и остаточных расплавов в остальном объеме тела. Второй этап дифференциации – это фракционная кристаллизация оставшегося после отсадки фенокристов расплава. Главные ее особенности – высокая скорость кристаллизации, низкая магнезиальность остаточных расплавов, изменение состава главных минеральных фаз, накопление несовместимых элементов в остаточных расплавах и т.д. Формирование кварцевых и гранофировых долеритов в кровле тел, возможно, было обусловлено не только процессами фракционирования расплавов, но и контаминацией пород кровли кислым материалом вмещающих пород.
Различия изотопного состава Nd в породах в объеме одного силла являются свидетельством процесса коровой контаминации базитовой магмы. Наиболее низкие концентрации и радиогенный изотопный состав неодима в кумулятивных габброноритах нижних частей силлов (eNd = +0.82) по сравнению с пикродолеритом из кровельной зоны закалки (eNd = –0.83) и габбро-долеритами из центральной и верхней частей силла (eNd от –1.4 до –2.4) (рис. 11) можно объяснить двумя механизмами. Один возможный механизм – коровая контаминация базитового расплава в верхней части силла после осаждения фенокристов оливина и клинопироксена может объяснить различия изотопного состава неодима в «нижних» габброноритах и «верхних» долеритах, но оставляет без ответа причину различия изотопного состава в пикро- долерите зоны закалки из кровли силла и в габбронорите его нижней части. Другой гипотетический механизм, способный объяснить все наблюдаемые различия изотопного состава неодима в разных породах силла, мог быть реализован при гравитационной дифференциации пикродолеритовой магмы (расплав + фенокристы), которая претерпела контаминацию в процессе подъема, не сопровождавшуюся изотопным уравновешиванием расплава и фенокристов. В любом случае изотопные данные дают независимое дополнительное свидетельство в пользу смешанной природы (кристаллы + расплав) пикродолеритовой магмы и рассмотренного выше механизма дифференциации силлов с ведущей ролью гравитационной сепарации ранних фенокристов.
Состав исходной магмы
Анализ пород зон закалки пикродолеритов с разнообразными по составам интрателлурическими фенокристами позволяет получить информацию о самых ранних этапах эволюции исходных расплавов и условиях кристаллизации в промежуточных камерах. Петрографические характеристики поступавших в силлы магм слабо варьируют на расстоянии до 100 км по латерали, что позволяет считать этот процесс типичным для всей рассматриваемой магматической системы. Анализ состава фенокристов (рис. 3, 4, 5; Suppl. 1, 2) позволяет выделить несколько групп, формирование которых, вероятно, происходило на разных стадиях эволюции первичного расплава в промежуточных камерах разной глубины заложения.
Наиболее магнезиальные фенокристы оливина (Fo86-92) предположительно равновесны с расплавами с Mg# = 0.66–0.76 (принимая Kd Fe-Mgol-liq = 0.33 (Roeder, Emslie, 1970)) и формировались, вероятно, на самых ранних этапах кристаллизации расплавов. Это позволяет предполагать, что наиболее примитивные расплавы в магматической системе силлы–дайки Кольско-Норвежского террейна, вероятно, содержали 15—17 мас.% MgO, что примерно соответствует составам пород из зон закалки, даек пикродолеритов и маломощным силлам (табл. 1; Suppl. 5). Глубина заложения промежуточных камер этих ранних этапов кристаллизации на основании имеющихся данных не может быть оценена достоверно.
Оценки Р-Т параметров для ассоциации менее магнезиальных фенокристов оливина (Fo81-85) и клинопироксена (Mg# = 0.80–0.85) с использованием термобарометра (Putirka, 2008) позволяют предполагать, что их кристаллизация происходила при давлении 2.6–3.5 ± 1.4 кбар. Магнезиальность расплавов, равновесных с фе- нокристами второго этапа кристаллизации, варьирует от 0.67 до 0.60. Кристаллизация оливинов (Fo < 75) и клинопироксенов (Mg# < 0.7) основной массы происходила при давлении 1.6 ± 1.4 кбар. Кристаллизация этих фаз отвечает параметрам становления силлов.
Моделирование процессов кристаллизации исходных расплавов
Моделирование процессов фракционной кристаллизации проводилось с использованием программного пакета alphaMELTS, версия 1.8 (Smith, Asimow, 2005) в режиме MELTS. Присутствие магнетита в верхней части силлов предполагает умеренно окисленные условия формирования пород, поэтому для моделирования был выбран кислородный буфер QFM. Отсутствие водосодержащих фаз (амфибола) в основной массе породы свидетельствует о «сухости» расплава, поэтому для моделирования было выбрано H2O = 0.01. В качестве модельного состава был использован состав, обр. Са-507-1 (табл. 1), отвечающий верхней зоне закалки силла. Для него удовлетворительная сходимость составов модельных остаточных жидкостей и кристаллизовавшихся минеральных фаз получена при полибарической кристаллизации при вариациях давления от 4 до 1 кбар. Выбор полибарического пути кристаллизации основан на анализе морфологии и состава фаз в фенокристовой ассоциации пикродолеритов. Выбор Р-Т параметров в заданном пути кристаллизации расплава определялся оценками давлений, полученными для клинопироксенов фенокристов и основной массы пород зон закалки. Нижний температурный предел кристаллизации ограничен 1100оС, что отвечает температурам ликвидуса долеритов. Результаты моделирования полибарической фракционной кристаллизации проведены в Suppl. 6.
Таблица 1. Химический состав (мас. %) гранитоидов Ханхухэйского и Сангиленского блоков
Оксиды | 7864 | 8084 | 7863 | 7865 | 8086 | 8085 | 5514 | |||||||
SiO2 | 70. | 56 | 64. | 0 | 62. | 45 | 72. | 08 | 72. | 19 | 69. | 92 | 62. | 36 |
TiO2 | 0. | 33 | 0. | 78 | 0. | 55 | 0. | 23 | 0. | 22 | 0. | 55 | 0. | 70 |
Al2O3 | 15. | 23 | 15. | 67 | 17. | 99 | 14. | 90 | 14. | 43 | 14. | 09 | 17. | 76 |
Fe2O3 | 0. | 54 | 5. | 32* | 1. | 13 | 0. | 72 | 1. | 76* | 4. | 53* | 2. | 22 |
FeO | 2. | 28 | - | 3. | 37 | 1. | 67 | - | - | 3. | 23 | |||
MnO | 0. | 04 | 0. | 103 | 0. | 04 | 0. | 03 | 0. | 026 | 0. | 076 | 0. | 14 |
MgO | 1. | 14 | 2. | 8 | 2. | 01 | 0. | 59 | 0. | 45 | 1. | 48 | 2. | 62 |
CaO | 2. | 28 | 4. | 4 | 4. | 48 | 1. | 97 | 1. | 02 | 2. | 37 | 4. | 24 |
Na2O | 4. | 08 | 3. | 67 | 4. | 08 | 3. | 47 | 2. | 92 | 4. | 02 | 3. | 47 |
K2O | 1. | 54 | 2. | 02 | 2. | 02 | 3. | 75 | 5. | 85 | 1. | 9 | 2. | 32 |
P2O5 | 0. | 11 | 0. | 38 | 0. | 24 | 0. | 08 | 0. | 21 | 0. | 17 | 0. | 27 |
Н2О– | 0. | 08 | - | 0. | 17 | 0. | 11 | - | - | - | ||||
П.п.п. | 0. | 65 | 0. | 65 | 0. | 99 | 0. | 34 | 0. | 75 | 0. | 8 | 0. | 27 |
CO2 | 0. | 41 | - | 0. | 09 | 0. | 11 | - | - | - | ||||
Сумма | 99. | 87 | 99. | 14 | 99. | 61 | 100. | 05 | 99. | 08 | 99. | 11 | 99. | 19 |
Примечание. Пробы: 7864 – трондьемиты Барунтурунского массива; 8084, 7863 – синметаморфические гранодиориты Хонгилцагиинского массива; 7865, 8086 – постметаморфические граниты; 8085 – биотитовые гнейсы; 5514 – трондьемиты Ортоадырского массива Сангиленского блока. * Железо общее.
При кристаллизации модельного состава в промежуточной камере при Р ~ 4 кбар формируется ранняя фенокристовая ассоциация, представленная оливином состава Fo91-89 (около 7 об.%). Следующий этап кристаллизации соответствует менее глубинным условиям (P < 3 кбар), где, вероятно, располагались промежуточные камеры, в которых происходила ристаллизация фенокристов оливина составаFo85-87 (до 18 об.%), ортопироксена (< 5 об.%) и клинопироксена (до 15 об.%), близких по составу к фенокристам пикродолеритов дайки и зон закалки силлов.
Кристаллизация расплава in situ в объеме силла происходила при P ≤ 1.6 кбар, главными ликвидусными фазами на этом этапе были пижонит (Mg# = 0.56–0.80), авгит (Mg# = 0.61–0.84) и плагиоклаз (An76-53).
Модельные остаточные расплавы, полученные при полибарической кристаллизации исходного расплава, отвечающего составу пикродолеритов зоны закалки силлов, близки к породам кровельных частей силлов и даек долеритов (Suppl. 6) и демонстрируют хорошую сходимость по содержаниям MgO, TiO2, FeOtot, Al2O3, Zr и Cr с составами долеритов даек и кровельных частей силлов (рис. 12). Таким образом, результаты моделирования полибарической кристаллизации расплавов, близких по составу к породам зон закалки силлов, показывают принципиальную возможность получения всего спектра составов пород в магматической системе силлы–дайки в Кольско-Норвежском террейне.
БАЗИТЫ С ВОЗРАСТОМ 2400 МЛН ЛЕТ НА СЕВЕРЕ ФЕННОСКАНДИИ КАК ЧАСТЬ КРУПНОЙ МАГМАТИЧЕСКОЙ ПРОВИНЦИИ
Согласно полученным данным, базиты с возрастом 2400 млн лет из разных частей Кольско-Норвежского террейна по петрографическим, петрогеохимическим и изотопным характеристикам близки к одновозрастным дайкам габброноритов и долеритов в северной Норвегии на о-ве Рингвассей в районе Тромсе (Kullerud et al., 2006). Оливиновые габбронориты Тромсе аналогичны дайкам пикродолеритов Лиинахамари (рис. 12) и также имеют низкорадиогенный изотопный состав неодима (eNd от –1.5 до –1.8) (рис. 11). Долериты из даек о-ва Рингвассей, составы которых перекрываются с дайками долеритов района Сорварангер, имеют максимально дифференцированные составы с наиболее низкими концентрациями MgO, CaO, Al2O3, высокими – Fe2O3, TiO2 и всех литофильных элементов (рис. 12), а также наиболее радиогенный изотопный состав неодима (eNd от –0.02 до +1.3, рис. 11) (Kullerud et al., 2006). Установленное сходство одновозрастных базитов районов Лиинахамари, Сорварангер и Тромсе дает основание говорить, что разные фациальные и породные типы базитов с возрастом 2400 млн лет являются фрагментами питающей системы магматической провинции, которая охватывала значительную часть севера Фенноскандии. Сделанный выше вывод о том, что вариации минерального, химического и изотопного состава базитов Кольско-Норвежского террейна определялись процессами эволюции магм на коровых уровнях, может быть также распространен и на базиты района Тромсе. Это подтверждается результатами моделирования полибарической фракционной кристаллизации (рис. 12), которое хорошо воспроизводит наиболее дифференцированные составы долеритов при высоких степенях кристаллизационного фракционирования исходного высокомагнезиального расплава.
Рис. 10. Распределение Ni в зависимости от Mg# в оливине из (1) пикродолеритов закалки силла (обр. Са--507-1), (2) оливиновых габброноритов подошвы силла (обр. Са-511-17/19), (3) оливиновых габбро из центральной части силла (обр. Са-511-3). Mg#=Mg/(Mg+Fe)×100.
Рис. 11. Диаграммы (143Nd/144Nd)2400–Nd, (143Nd/144Nd)2400–(La/Sm)N и (143Nd/144Nd)2400–(Nb/La)N для базитов с возрастом 2400 млн лет Северной Фенноскандии с линией смешения для предполагаемого исходного расплава и коровых контаминантов. 1–3 – силлы Сорварангер: 1 – пикродолериты, 2 – долериты, 3 – оливиновые габбронориты; 4–5 – силлы Лиинахамари: 4 – долериты; 5 – оливиновые габбронориты; 6–7 – дайки Сорварангер–Лиинахамари: 6 – пикродолерит, 7 – долерит; 8–9 – дайки Тромсе по данным (Kullerud et al., 2006): 8 – габбронориты; 9 – долериты; 10 – коматиитовые базальты Ветреного Пояса по данным (Puhtel et al., 1997); 11 – дайки долеритов в районе г. Костомукша, Западная Карелия, по данным (Степанова и др., 2017); 12 – коматиит Белингве по данным (Chauvel et al., 1993); 13 – архейские гранитоиды: Т – тоналит по (Timmerman, Daly, 1995), М – монцодиорит по (Timmerman, Daly, 1995), ACC – средний состав архейской континентальной коры по (Rudnick, Fountain, 1995); 14 – направление изменения составов базитов при дифференциации; 15 – изменение составов базитов при смешении (контаминации) первичного коматиитового расплава тремя контрастными по изотопно-геохимическим характеристикам типами архейских гранитоидов; цифры у кружков – процент контаминации. Отношения (La/Sm)N нормированы к хондриту C1 по (McDonough, Sun, 1995); отношения (Nb/La)N нормированы к примитивной мантии по (Wedepohl, Hartmann, 1994).
Рис. 12. Вариации содержаний петрогенных элементов (мас. %), Cr и Zr (ppm) относительно MgO в базитах районов Сорварагнер и Лиинахамари, дайках габброноритов и долеритов района Тромсе (Kullerud et al., 2006), дайках долеритов района Костомукши, Западная Карелия (Степанова и др., 2017), и коматиитовых базальтах Ветреного Пояса (Puchtel et al., 1997). На диаграммах показаны линии изменения составов модельных остаточных расплавов при полибарической фракционной кристаллизации исходного высокомагнезиального расплава с составом образца пикродолерита из зоны закалки силла Са-507-1.
Выделенная на севере Кольско-Норвежского террейна магматическая провинция с возрастом 2400 млн лет может быть расширена за счет одновозрастных базитов в юго-восточной части Фенноскандии, на территории Карелии. Детально изученные основные вулканиты кряжа Ветреный Пояс (Puchtel et al., 1997, 2016) в Восточной Карелии повторяют вариации составов пород в дифференцированных силлах (рис. 12). При этом зоны закалки потоков базальтовых коматиитов по петрогеохимическим характеристикам (Puhtel et al., 1997) близки к пикродолеритам зон закалки силлов и даек, указывая на возможное сходство исходных магм этих пространственно разобщенных базитов с возрастом 2400 млн лет. Дайки долеритов района Костомукши, Западная Карелия (Степанова и др., 2017), по петрографическим и геохимическим особенностям являются аналогами даек долеритов из районов Сорварангер и Тромсе (рис. 12).
Сходство петрогеохимических особенностей базитовой провинции с возрастом 2400 млн лет на территории Фенноскандии дополняется общностью изотопно-геохимической специфики базитов этой провинции. Их отличительной особенностью на всех территориях является более радиогенный изотопный состав неодима (eNd от –0.10 до +1.3) для даек низкомагнезиальных долеритов по сравнению со всеми высокомагнезиальными породами, включая дайки габброноритов (eNd от –1.5 до –1.8; Kullerud et al., 2006), пикродолериты силлов и даек (eNd от –0.83 до –1.6; настоящая статья) и базальтовые коматииты (eNd от +0.5 до –1.8; Puchtel et al., 1997). В качестве возможных причин этих различий в дайках района Тромсе предлагался разный состав источников низко- и высокомагнезиальных расплавов или разная степень коровой контаминации единого расплава (Kullerud et al., 2006).
Полученные нами данные свидетельствуют в пользу гипотезы коровой контаминации. Это предположение также подтверждает прямая зависимость отношений (La/Sm)Nd и Nb/La от первичного изотопного состава неодима (143Nd/144Nd)2400 для всей совокупности базитов (рис. 11), поскольку эти отношения остаются практически неизменными в ходе кристаллизационной дифференциации базальтовых магм, но очень чувствительны к процессу коровой контаминации. Именно последний процесс, вероятно, отвечал за наблюдаемые ковариации изотопных и геохимических характеристик базитов (рис. 11).
Как обсуждалось выше, изотопно-геохимическая неоднородность базитов в объеме силлов на севере Фенноскандии, возможно, была связана с отсадкой из контаминированной пикродолеритовой магмы фенокристов оливина и пироксена, которые кристаллизовались в промежуточных камерах до эпизода контаминации. Можно предположить, что в отдельных изолированных камерах этот процесс кристаллизации сопровождался дифференциацией и обеспечивал образование материнского для долеритовых даек базальтового расплава, который в ходе последующего подъема не претерпел контаминации. Именно такой механизм позволяет объяснить изотопно-геохимическое сходство и минимальный вклад коровой контаминанты в двух контрастных по составам продуктах дифференциации исходных пикродолеритовых магм: в оливиновых кумулатах в нижних частях силлов, обогащенных ранними фенокристами, и в долеритах даек, представляющих наиболее дифференцированные остаточные расплавы.
Оценка состава исходного расплава, равновесного с фенокристами самого раннего высокомагнезиального оливина, позволяет предположить, что он был близок базальтовым коматиитам Ветреного Пояса. На это указывает сходство валового состава пикродолеритов и зон закалки потоков базальтовых коматиитов Ветреного Пояса, а также присутствие в пикродолеритах высокомагнезиальных (Fo91-89) фенокристов оливина, которые могли кристаллизоваться из обогащенного магнием расплава коматиитового состава.
Самые «примитивные» по изотопным и геохимическим характеристикам кумулятивные оливиновые габбронориты силлов и дайки долеритов, вероятно, также содержат примесь коровой контаминанты, которая могла быть добавлена на более ранних этапах коровой эволюции первичных мантийных расплавов. Свидетельством этого являются меньшие величины eNd < +1.3 этих пород по сравнению с параметрами деплетированных мантийных источников (eNd (2400) от +2.9 до +4.8; DePaolo, 1981; Goldstein, Jacobsen, 1988) и геохимические признаки контаминации, такие как отрицательные Nb-аномалии, обогащенные спектры легких лантаноидов и другие. Если по аналогии с коматиитовыми базальтами Ветреного Пояса (Puchtel et al., 1997), возраст которых 2400 млн лет, первичный расплав для базитов с возрастом 2400 млн лет севера Фенноскандии имел коматиитовый состав, то, согласно модели смешения, вклад коровой контаминанты в наиболее примитивные составы изученной магматической провинции составлял не менее 4 мас.% (рис. 11). Для более корректной оценки состава первичного мантийного расплава, а также условий его контаминации необходимы дополнительные исследования.
ЗАКЛЮЧЕНИЕ
- Силлы, включающие широкий спектр пород от оливиновых габброноритов до кварцевых долеритов, были сформированы при фракционировании исходной пикродолеритовой магмы с ведущей ролью гравитационного осаждения фенокристов высокомагнезиальных оливинов и пироксенов. Кристаллизация этих фенокристов в промежуточных камерах, по-видимому, предшествовала процессу контаминации пикродолеритовой магмы коровым веществом, что обеспечило более радиогенный изотопный состав неодима в кумулятивных габброноритах по сравнению с долеритами верхних частей силлов.
- Дайки долеритов по минеральному и химическому составу близки к наиболее фракционированным кварцевым долеритам из кровельных частей пикродолеритовых силлов, но отличаются от них более радиогенным изотопным составом неодима, что предполагает меньший вклад процессов коровой контаминации в их петрогенезис.
- Расчеты условий кристаллизации фенокристов с привлечением минеральных термобарометров и моделирование процессов дифференциации магм в alphaMELTS показали, что главный этап эволюции магмы, обеспечивший разнообразие основных пород провинции, возраст которых составляет 2400 млн лет, возможно, был связан с интенсивной дифференциацией и контаминацией высокомагнезиального (MgO ~ 18 мас.%) первичного расплава в верхних частях коры в интервале давлений от 4 до 1 кбар.
- По петрографическим, геохимическим и Sm-Nd изотопным характеристикам базиты Кольско-Норвежского террейна с возрастом 2400 млн лет аналогичны одновозрастным базитовым дайкам в районе Тромсе (Kullerud et al., 2006), а также базальтовым коматиитам Ветреного Пояса (Puchtel et al., 1997, 2016) и долеритовым дайкам района Костомукши (Степанова и др., 2017) в Карелии. Все эти проявления базитового магматизма могут рассматриваться как части единой магматической провинции с возрастом 2400 млн лет, охватившей архейскую литосферу всей Фенноскандии в начале палеопротерозоя.
- Для северной части этой магматической провинции в Кольско-Норвежском террейне первичный расплав был схож с коматитовым расплавом, материнским для базальтовых коматиитов Ветреного Пояса в юго-восточной части Фенноскандии (Puchtel et al., 1997, 2016). Этот вывод, однако, требует дополнительных обоснований и будет предметом дальнейших исследований.
Благодарности. Авторы признательны Ю.А. Морозову (ИФЗ РАН) за обсуждение материалов по геологии даек и силлов базитов района Лиинахамари. Проведение полевых работ на территории Норвегии было возможно благодаря содействию П.А. Кепежинскаса, AS Kimberlitte, Norway, и И.С. Пухтеля, Department of Geology, University of Maryland, USA. Авторы признательны рецензентам журнала «Петрология» – А.В. Гирнису и А.А. Носовой, критические замечания которых позволили существенно улучшить статью.
Источник финансирования. Исследования выполнены при поддержке РНФ, проект № 16-17-10260.
About the authors
K. G. Erofeeva
Institute of Geology of Ore Deposits, Petrography, Mineralogy and Geochemistry of the Russian Academy of Sciences
Author for correspondence.
Email: xenin.erofeeva@igem.ru
Russian Federation, 35, Staromonetny, Moscow, 119017
A. V. Stepanova
Karelian Research Center of the Russian Academy of Sciences
Email: xenin.erofeeva@igem.ru
Russian Federation, 11, Poushkinskaya street, Petrozavodsk, Karelia, 185910
A. V. Samsonov
Institute of Geology of Ore Deposits, Petrography, Mineralogy and Geochemistry of the Russian Academy of Sciences
Email: xenin.erofeeva@igem.ru
Russian Federation, 35, Staromonetny, Moscow, 119017
Yu. O. Larionova
Institute of Geology of Ore Deposits, Petrography, Mineralogy and Geochemistry of the Russian Academy of Sciences
Email: xenin.erofeeva@igem.ru
Russian Federation, 35, Staromonetny, Moscow, 119017
S. V. Egorova
Karelian Research Center of the Russian Academy of Sciences
Email: xenin.erofeeva@igem.ru
Russian Federation, 11, Poushkinskaya street, Petrozavodsk, Karelia, 185910
A. A. Arzamastsev
Institute of Precambrian Geology and Geochronology of the Russian Academy of Sciences
Email: xenin.erofeeva@igem.ru
Russian Federation, 2, Makarova embankment, St.Petersburg, 199034
E. V. Kovalchuk
Institute of Geology of Ore Deposits, Petrography, Mineralogy and Geochemistry of the Russian Academy of Sciences
Email: xenin.erofeeva@igem.ru
Russian Federation, 35, Staromonetny, Moscow, 119017
References
- Арзамасцев А.А., Федотов Ж.А., Арзамасцева Л.В. Дайковый магматизм северо-восточной части Балтийского щита. М.: Наука, 2009. 379 с.
- Арискин А.А., Ярошевский А.А. Кристаллизационная дифференциация интрузивного магматического расплава: развитие конвекционно-кумуляционной модели // Геохимия. 2006. № 1. C. 80–102.
- Ларионова Ю.О., Самсонов А.В., Шатагин К.Н. Источники архейских санукитоидов Карельского кратона: Nd и Sr изотопно-геохимические данные // Петрология. 2007. Т. 15. № 6. С. 590–612.
- Морозов Ю.А., Галыбин А.Н., Мухамедиев Ш.А. и др. Тектонический и геомеханический контроль размещения даек и силлоподобных тел в северо-западной части Кольского полуострова // Геотектоника. 2017. № 3. С. 28–60.
- Нерович Л.И., Баянова Т.Б., Серов П.А., Елизаров Д.В. Магматические источники даек и жил Мончетундровского массива (Балтийский щит): Результаты изотопно-геохронологических и геохимических исследований // Геохимия. 2014. С. 605–624
- Ранний докембрий Балтийского щита / Под ред. В.А. Глебовицкого. СПб.: Наука, 2005. 711 с.
- Светов С.А., Степанова А.В., Чаженгина С.Ю. и др. Прецизионный (ICP MS, LA ICP MS) анализ состава горных пород и минералов: методика и оценка точности результатов на примере раннедокембрийских мафитовых комплексов // Тр. КарНЦ РАН. Серия Геология докембрия. 2015. № 7. С. 54–73.
- Скуфьин П.К., Баянова Т.Б. Раннепротерозойский вулкан центрального типа в Печенгской структуре и его связь с рудоносным габбро-верлитовым комплексом (Кольский полуостров) // Петрология. 2006. Т. 14. № 6. С. 649–769.
- Степанова А.В., Сальникова Е.Б., Самсонов А.В. и др. Дайки долеритов 2404 млн лет на Карельском кратоне – фрагмент палеопротерозойской крупной магматической провинции // Докл. АН. 2017. Т. 472. № 2. С. 185–191.
- Федотов Ж.А. Корреляция дайковых комплексов обрамления Печенгской структуры и ее вулканогенных толщ // Магматизм, седиментогенез и геодинамика Печенгской палеорифтогенной структуры. Ред. Ф.П. Митрофанов, В.Ф. Смолькин. Апатиты: КНЦ РАН, 1995. С. 82–94.
- Федотов Ж.А., Баянова Т.Б., Серов П.А. Пространственно-временные закономерности проявления дайкового магматизма Кольского региона, Фенноскандинавский щит // Геотектоника. 2012. №. 46. С. 29–45.
- Чащин В.В., Баянова Т.Б., Левкович Н.В. Вулканоплутоническая ассоциация раннего этапа развития Имандра-Варзугской рифтогенной зоны, Кольский полуостров: геологические, петрогеохимические и изотопно-геохронологические данные // Петрология. 2008. Т. 16. № 3. С. 296–316.
- Чащин В.В., Баянова Т.Б., Серов П.А. Массив метабазитов Оспелувтуайвенч (Кольский полуостров, Россия): геологическое строение, петрогеохимические и изотопно-геохронологические свидетельства принадлежности к Имандровскому комплексу расслоенных интрузий // Петрология. 2015. Т. 23. № 5. С. 459–489.
- Шарков Е.В., Смолькин В.Ф., Красивская И.С. Раннепротерозойская магматическая провинция высокомагнезиальных бонинитоподобных пород в восточной части Балтийского щита // Петрология. 1997. Т. 5. № 5. С. 503–522.
- Amelin Y.V., Heaman L.M., Semenov V.S. U-Pb geochronology of layered mafic intrusions in the eastern Baltic Shield: implications for the timing and duration of Paleoproterozoic continental rifting // Precam. Res. 1995. V. 75. P. 31–46.
- Barley M.E., Bekker A., Krapež B. Late Archean to Early Paleoproterozoic global tectonics, environmental change and the rise of atmospheric oxygen // Earth Planet. Sci. Lett. 2005. V. 238. № 1–2. P. 156–171.
- Bayanova T., Ludden J., Mitrofanov F. Timing and duration of Palaeoproterozoic events producing ore-bearing layered intrusions of the Baltic Shield: metallogenic, petrological and geodynamic implications // Geol. Soc. London, Spec. Publ. 2009. V. 323. P. 165–198.
- Chauvel C., Dupre B., Arndt N.T. Pb and Nd isotope correlation in Belingwe komatiites and basalts // Eds Bickle M.J., Nisbet E.G. The Geology of the Belingwe Greenstone Belt, Zimbabwe. Geol. Soc. Zimbabwe, Spec. Publ. 2. Rotterdam, Balkema, The Netherlands. 1993. P. 167–174.
- Ciborowski T.J.R., Kerr A.C., Mcdonald I. et al. The geochemistry and petrogenesis of the Paleoproterozoic du Chef dyke swarm, Québec, Canada // Precam. Res. 2014. V. 250. P. 151–166.
- Ciborowski T.J.R., Kerr A.C., Ernst R.E. et al. The early proterozoic Matachewan large Igneous Province: Geochemistry, petrogenesis, and implications for earth evolution // J. Petrol. 2015. V. 56. № 8. P. 1459–1494.
- Condie K.C. Earth as an evolving planetary system. (2nd ed.) Amsterdam: Academic Press, Elsevier, 2011. 578 p.
- Condie K.C., O’Neill C., Aster R.C. Evidence and implications for a widespread magmatic shutdown for 250 Mа on Еarth // Earth Planet. Sci. Lett. 2009. V. 282. P. 294–298.
- Corrigan G.M. The crystal morphology of plagioclase feldspar produced during isothermal supercooling and constant rate cooling experiments // Mineral. Mag. 1982. V. 46. P. 433–439.
- Davies J.H.F.L., Heaman L.M. New U-Pb baddeleyite and zircon ages for the Scourie dyke swarm: a long-lived large igneous province with implications for the Paleoproterozoic evolution of NW Scotland // Precam. Res. 2014. V. 249. P. 180–198.
- Dobrzhinetskaya L.F., Nordgulen O., Vetrin V.R. et al. Correlation of the Archaean rocks between the Sorvaranger area, Norway, and the Kola Peninsula, Russia (Baltic Shield) // Nor. Geol. Unders. Spec. Publ. 1995. V. 7. P. 7–27.
- DePaolo D.J. Neodymium isotopes in the Colorado Front Range and crust-mantle evolution in the Proterozoic // Nature.1981. V. 291. P. 193–196.
- Frenkel M.Y., Yaroshevsky A.A., Ariskin A.A. et al. Convective-cumulative model simulating the formation process of stratified intrusions // Ed. B. Bonin. Magma-crust interactions and evolution. Athens-Greece: Theophrastus Publications, 1989. P. 3–88.
- Goldstein S.J., Jacobsen S.B. Nd and Sr isotopic systematics of river water suspended material: implications for crustal evolution // Earth Planet. Sci. Lett. 1988. V. 87. P. 249–265.
- Heaman L.M. Global mafic volcanism at 2.45 Ga: remnants of an ancient large igneous province? // Geology. 1997. V. 25. P. 299–302.
- Herzberg C., Condie K., Korenaga J. Thermal history of the Earth and its petrological expression // Earth Planet. Sci. Lett. 2010. V. 292. № 1–2. P. 79–88.
- Hölttä P., Balagansky V., Garde A. et al. Archean of Greenland and Fennoscandia // Episodes. 2008. V. 31. P. 13–19.
- Hughes H.S.R., McDonald I., Goodenough K.M. et al. Enriched lithospheric mantle keel below the Scottish margin of the North Atlantic Craton: Evidence from the Palaeoproterozoic Scourie Dyke Swarm and mantle xenoliths // Precam. Res. 2014. V. 250. P. 97–126.
- Kepezhinskas P.K., Eriksen G.M.D., Kepezhinskas N.P. Geochemistry of ultramafic to mafic rocks in the Norwegian Lapland: Inferences on mantle sources and implications for diamond exploration // Earth Sci. Res. 2016. V. 5. P. 148–157.
- Kullerud K., Skjerlie K.P., Corfu F. et al. The 2.40 Ga Ringvassøy mafic dykes, West Troms Basement Complex, Norway: the concluding act of early рaleopronerozoic continental breakup // Precam. Res. 2006. V. 150. P. 183–200.
- Levchenkov O.A., Levsky L.K., Nordgulen O. et al. U-Pb zircon ages from Sоrvaranger, Norway, and the western part of the Kola Peninsula, Russia // Nor. Geol. Unders. Spec. Publ. 1995. V. 7. P. 29–47.
- Latypov R.M. The origin of basic-ultrabasic sills with S-, D- and I-shaped compositional profiles by in situ crystallization of a single input of phenocryst-poor parental magma // J. Petrol. 2003. V. 44. P. 1619–1656.
- Marsh B.D. Solidification fronts and magmatic evolution // // Mineral. Mag. 1996. V. 60. P. 5–40.
- Marsh B.D. Magmatism, magma, and magma chambers // //Ed. Schubert G. Treatise on Geophysics (2nd edn). Oxford: Elsevier, V. 6. 2015. P. 274–320.
- McDonough W.F., Sun S.S. The composition of the Earth // // Chem. Geol. 1995. V. 120. № 3–4. P. 223–253.
- Morimoto N., Fabriès J., Ferguson A.K. et al. Nomenclature of pyroxenes // Amer. Mineral. 1988. V. 73. P. 1123–1133.
- Puchtel I.S., Haase K.M., Hofmann A.W. et al. Petrology and geochemistry of crustally contaminated komatiitic basalts from the Vetreny Belt, southeastern Baltic Shield: evidence for an early рroterozoic mantle plume beneath rifted Archean continental lithosphere // Geochim. Cosmochim. Acta. 1997. V. 61. P. 1205–1222.
- Puchtel I.S., Touboul M., Blichert-Toft J. et al. Lithophile and siderophile element systematics of Earth’s mantle at the Archean-Proterozoic boundary: Evidence from 2.4 Ga komatiites // Geochim. Cosmochim. Acta. 2016. V. 180. P. 227–255.
- Putirka K.D. Thermometers and barometers for volcanic systems // Rev. Mineral. Geochem. 2008. V. 69. P. 61–120.
- Roeder P.E., Emslie R.F. Olivine-liquid equilibrium // // Contrib. Mineral. Petrol. 1970. V. 29. P. 275–289.
- Rudnick R.L., Fountain D.M. Nature and composition of the continental crust: A lower crustal perspective // Rev. Geophys. 1995. V. 33. P. 267–309.
- Sharkov E.V., Smolkin V.F. The Early Proterozoic Pechenga-Varzuga Belt: А case of Precambrian back-arc spreading // Precam. Res. 1997. V. 82. P. 133–151.
- Smith P.M., Asimow P.D. Adiabat-1ph: a new public front-end to the MELTS, pMELTS, and pHMELTS models // // Geochem. Geophys. Geosyst. 2005. V. 6. № 1. Q02004. doi: 10.1029/2004GC000816.
- Stepanova A.V., Samsonov A.V., Salnikova E.B. et al. Fragments of Paleoproterozoic LIPs in Kola-Murmansk and Karelian provinces, Fennoscandia: markers for time span of Lapland-Kola Ocean // Abstract for the Goldschmidt conference, Paris, France. URL: https://goldschmidt.info/2017/abstracts/abstractView?id=2017003158. 2017.
- Söderlund U., Hofmann A., Klausen M.B. et al. Towards a complete magmatic barcode for the Zimbabwe craton: Baddeleyite U-Pb dating of regional dolerite dyke swarms and sill complexes // Precam. Res. 2010. V. 183. P. 388–398.
- Stevens R.E. Composition of some Chromites of the Western Hemisphere // Amer. Mineral. 1944. V. 29. P. 1–34.
- Tait S., Jaupart C. The production of chemically stratified and adcumulate plutonic igneous rocks // Mineral. Mag. 1996. V. 60. P. 99–144.
- Timmerman M., Daly J.S. Sm-Nd evidence for late Archaean crust formation in the Lapland-Kola Mobile Belt, Kola Peninsula, Russia and Norway // Precam. Res. 1995. V. 72. P. 97–107.
- Ubide T., Arranz E., Lago M. et al. The influence of crystal settling on the compositional zoning of a thin lamprophyre sill: A multi-method approach // Lithos. 2012. V. 132–133. P. 37–49.
- Wedepohl K.H., Hartmann G. The composition of the primitive upper earth’s mantle // Ed. Meyer H.O.A. and Leonardos O.H. Kimberlites, related rocks and mantle xenoliths. Companhia de Pesquisa de Recursos Minerais. Rio de Janeiro. 1994. № 1. P. 486–495.
- Whitney D.L., Evans B.W. Abbreviations for names of rock-forming minerals // Amer. Mineral. 2010. V. 95. № 1. P. 185–187.
Supplementary files














