Possibilities of systemic analysis of radiographs of patients with degenerative diseases of the spine
- Authors: Orel A.M.1
-
Affiliations:
- Central Institute for the Expertise of the Ability to Work and Organization of Labor of the Disabled of the Ministry of Labor and Social Development of the Russian Federation
- Issue: Vol 7, No 3 (2000)
- Pages: 44-50
- Section: Original study articles
- Submitted: 02.03.2022
- Accepted: 02.03.2022
- Published: 07.08.2000
- URL: https://journals.eco-vector.com/0869-8678/article/view/104364
- DOI: https://doi.org/10.17816/vto104364
- ID: 104364
Cite item
Full Text
Abstract
The criteria for the evaluation of a separate vertebra statics were distinguished. Those criteria were taken as a principle for systemic analysis of spine radiograms. Structural shape and spatial position disturbances of the separate vertebrae, mobile motor spinal segments as well as the whole spine were reflected in algorythmic description and diagrams. 452 patients, aged 6- 76 years, were examined using that method. Degenerative dystrophic diseases were detected in 79% of patients, statics disturbances in 17-21.9%), different malformations in 0.9-20.4% of cases. On the base of examination data a computer model of «normal» spine was created and the influence of sacrum position and thoracic kyphosis peculiarities on the level, rate and direction of cervical and lumbar spondylolisthesis was studied.
Keywords
Full Text
Результаты реабилитации больных с дегенеративно-дистрофическими заболеваниями позвоночника далеко не всегда удовлетворяют как пациента, так и врача. В значительной степени это связано с тем, что при проведении реабилитации врач не в состоянии учесть индивидуальные особенности позвоночника больного, которые могут быть выявлены с помощью рентгенографии. Корни этой проблемы кроются в специфике самого объекта исследования: позвоночник представляет собой высокодифференцированную биологическую систему, для анализа которой требуются специальные сложные методы. В то же время форма получения, регистрации и передачи информации в традиционном рентгенологическом исследовании, нацеленном преимущественно на поиск морфологических признаков патологических изменений позвоночника, явно ограничена, редуцирована и в нынешнем состоянии не может удовлетворить запросы реабилитологов.
Необходимо подчеркнуть, что технически грамотно выполненная рентгенограмма содержит объективную и полную информацию о позвоночнике и позволяет оценить его в целом. Накопленный опыт рентгенодиагностики заболеваний позвоночника включает огромное количество разнообразных сведений о его структурных и статических изменениях [3-9,12 и др.]. Для эффективного проведения реабилитации врачу необходимо знать индивидуальные особенности строения позвоночника пациента (структурный диагноз) и пространственное положение отдельного позвонка, позвоночных двигательных сегментов и целых отделов позвоночника (статический диагноз) [5, 12]. Важно, чтобы все эти параметры были отражены в протоколе исследования одномоментно, в удобной для пользователя форме и точно соответствовали имеющимся у больного изменениям.
Решить эту проблему можно, если использовать современные достижения теории систем. Согласно этой теории при описании сложного многокомпонентного объекта, в данном случае позвоночника, необходимо создать его «заменитель» в виде схемы, на которой в условных знаках могут быть представлены все индивидуальные особенности структуры и статики. Полученная при таком описании информация становится доступной для сравнительного анализа, статистической и математической обработки [1, 2]. Решению этой задачи и было посвящено настоящее исследование.
Материал и методы
Первая проблема, с которой мы столкнулись при разработке системного метода исследования позвоночника, — отсутствие точных критериев оценки пространственного положения отдельного позвонка во фронтальной плоскости. Систематизация данных, полученных на рентгенограммах трех отделов позвоночника во фронтальной проекции, сделанных при вертикальном положении больного с нанесением на снимок тени базового отвеса, продемонстрировала высокую сложность рентгенологической картины, обусловленную тремя степенями свободы перемещения каждого позвонка и особенностями проекционного тенеобразования на рентгеновской пленке.
Были идентифицированы и количественно определены виды смещений отдельного позвонка, что послужило основой для разработки диагностически значимых критериев, оценивая которые можно с достаточной полнотой описать особенности статики позвоночника каждого больного.
Первый критерий — боковой наклон тела позвонка. Выделены четыре степени боковых наклонов тел позвонков: I степень — до 4°, II — от 4 до 8°, III —от 8 до 15° и IV степень — более 15°.
Второй критерий — положение остистого отростка, который может располагаться точно по середине тела позвонка или смещаться влево либо вправо.
Третий критерий — отклонение остистого отростка от вертикали базового отвеса. По величине угла отклонения мы различаем: 0 степень — отклонение отсутствует, остистый отросток параллелен тени базового отвеса; I степень — угол отклонения от 1 до 10°; II степень— от 11 до 17°; III степень — 18° и более.
Еще один, четвертый критерий понадобился для анализа направления ротации позвонка, который может смещаться как в сторону бокового наклона тела позвонка, так и в противоположную.
При описании каждый критерий должен быть оценен в отдельности, поскольку только их сочетание достоверно отражает уникальные особенности статики отдельно взятого позвонка обследуемого. Разработаны схема и методики графического представления пространственного положения отдельного позвонка, которые использованы при создании системного метода анализа рентгенограмм.
Системный подход был ведущим при разработке основного метода исследования — системного анализа рентгенограмм позвоночника (САРП). Исследование включает рентгенографию позвоночника в стандартных условиях, оценку и регистрацию данных в виде описания по алгоритму и с помощью схемы. В целях стандартизации исследования больным проводилась рентгенография трех отделов позвоночника в двух проекциях в положении стоя. На каждый снимок проецировалась рентгенопозитивная вертикальная ось базового отвеса из тонкой медной проволоки. Разработаны и внедрены в практику критерии правильной установки больного, обеспечивающей получение снимков оптимального качества.
Сформирован бланк протокола системного анализа рентгенограмм позвоночника. В верхней части его лицевой стороны (рис. 1 а) указываются номер протокола и дата исследования, паспортные данные больного, фамилия лечащего врача, направившего на обследование, область спондилографии. Все пространство ниже разделено на четыре колонки. Левая колонка содержит алгоритм описания статики позвоночника в прямой и боковой проекциях (раздел I). Рядом расположены две схемы позвоночного столба — во фронтальной и в боковой проекции, а между ними — колонка, состоящая из схем оценки пространственного положения отдельных позвонков.
Рис. 1 а. Бланк протокола системного анализа рентгенограмм позвоночника, лицевая сторона.
Рис. 1 б. Бланк протокола системного анализа рентгенограмм позвоночника, оборотная сторона.
Оборотная сторона листа (рис. 1 б) содержит описание патоморфологических признаков позвоночного столба (разделы II-ІХ). На ней фиксируются наличие аномалий развития, особенности костной структуры, формы тел и изменения замыкательных пластинок и межпозвонковых щелей. Регистрируются наличие оссификатов в проекции продольных связок, спондилоартроз всех доступных анализу суставов, а также другие заболевания. Завершает описание заключение, куда выносятся наиболее существенные для реабилитологов результаты обследования, а также указывается лучевая нагрузка пациента.
Существенным отличием от традиционного обследования является то, что в конечном итоге врач- реабилитолог получает в свое распоряжение полноценное описание и графическую схему, где находят отражение более 250 объективных признаков, характеризующих индивидуальные особенности строения и статики одновременно всех отделов позвоночника, позвоночных двигательных сегментов и отдельных позвонков.
Приведем клинический пример.
Больной М.,31 года, обратился с жалобами на боли в шее и пояснице, периодически возникающие головные боли, онемение левой руки по утрам. Пациент занимается преимущественно умственным трудом, водит автомобиль, травм не было. При системном анализе рентгенограмм позвоночника (рис. 2) диагностировано локальное искривление позвоночного столба на уровне Т7-11 влево. Крестец скручен вправо на 5°, а копчик — влево. Позвонки С6, Т8, L2 имеют боковой наклон вправо. Остистые отростки большинства позвонков занимают центральное положение, однако у позвонков С6, Т1, Т8 и Т12 они смещены влево, оставаясь параллельными оси базового отвеса. Аксис, а также С2, С6, Т1, Тб, Т8 и Т12 позвонки ротированы влево.
Рис. 2. Больной М. Рентгенограммы шейного (а), поясничного (б) отделов и графическая часть индивидуальной карты системного анализа рентгенограмм позвоночника (в).
На рентгенограммах в боковой проекции шейный лордоз выпрямлен. Отмечается симптом распорки на уровне С4-5, С6-7, L1-2. Грудной кифоз от Т2 до Т12 в пределах нормы (до 40°). Поясничный лордоз обычной формы на уровне L2-5 и уплощен на уровне L1-2. Имеет место задний спондилолистез L1, L2 и L3 позвонков.
Диагностированы скошенность передних отделов тел позвонков С4 и С5 и сужение межпозвонковой щели С6-7, которые являются начальными признаками остеохондроза. Констатированы проявления артроза суставов: дугоотростчатых во всех трех отделах, реберно-позвоночных Т4, Т7-10 с обеих сторон, правого крестцово-подвздошного, крестцово-копчикового и полулунных суставов С6 и С7 позвонков. Обнаружена врожденная аномалия развития — вазообразная форма тела С7 позвонка, обусловившая нарушения статики и, по-видимому, ставшая причиной дегенеративно-дистрофических изменений шейного отдела позвоночника.
Заключение: левосторонний сколиоз грудного отдела I степени. Симптом распорки С4-5, С6-7, L1-2. Ретролистез L1, L2, L3. Остеохондроз шейного отдела. Артроз дугоотростчатых, реберно-позвоночных, правого крестцово-подвздошного и крестцово-копчикового суставов, ункоартроз. Вазообразная форма тела позвонка С7.
Данный клинический пример иллюстрирует возможности метода САРП для отражения многочисленных минимальных нарушений статики отдельных позвонков трех отделов позвоночника, приведших к дегенеративно-дистрофическим изменениям.
Системное описание открыло новые перспективы для разработки компьютерных моделей позвоночника. На основе индивидуальных карт САРП нами была сформирована база данных в формате таблицы Excel в среде Windows 95, с помощью которой создана модель «нормального» позвоночника и изучено влияние на статику позвонков шейного и поясничного отделов различных положений крестца.
Результаты
Проведен системный анализ рентгенограмм трех отделов позвоночника в двух проекциях, выполненных по стандартизированной методике у 452 больных с дегенеративно-дистрофическими заболеваниями, нарушениями статики и аномалиями развития. Из выборки исключены больные с деструктивными, опухолевыми заболеваниями и острыми травмами позвоночника. Среди обследованных лиц мужского пола было 178, женского — 274. Возраст пациентов составлял от 6 до 76 лет, преобладали лица наиболее трудоспособного возраста — от 21 года до 50 лет (65,7%). Остеохондроз выявлен у 293 (64,8%) больных, артроз дугоотростчатых суставов у 357 (79%), крестцово-подвздошных у 232 (51,3%), реберно-позвоночных у 97 (21,5%), ункоартроз у 293 (64,8%) больных. Грыжи Шморля встретились у 62 (13,7%), межостистый неоартроз (синдром Бост- рупа) у 51 (11,3%), фиксирующий гиперостоз у 66 (14,6%) обследованных. Сколиоз с клиновидной деформацией тел позвонков выявлен у 99 (21,9%) пациентов, юношеский кифоз у 77 (17%). Аномалии развития: сакрализация L5 обнаружена у 92 (20,4%), люмбализация S1 у 31 (6,9%) больного, аномалия тропизма S1 у 19 (4,2%) обследованных. Спондилолиз дуги L5, сопровождающийся спондилолистезом, отмечен у 4 (0,9%) больных, незаращение задней дуги S1 у 67 (14,8%). Открытый канал крестца обнаружен у 34 (7,5%), гипоплазия (аплазия) XII ребер у 48 (10,6%) больных. Аномалии краниовертебральной зоны встретились у 117 (25,9%) больных, в том числе аномалия Клиппеля—Фейля у 1, аномалия Кимерли у 38 (8,4%), седловидная гиперплазия атланта у 78 (17,3%).
С целью разработки компьютерной модели «нормального» позвоночника была изучена средняя частота анте- и ретролистезов позвонков шейного и поясничного отделов у 295 больных. Критерием выборки послужило отсутствие клиновидной деформации тел позвонков. При анализе спондилолистезов учитывались: уровень (номер позвонка), величина смещения (от 2 мм и более) и направление смещения (антелистез, ретролистез) позвонков.
Компьютерная обработка данных (рис. 3) показала, что в норме наиболее часто в сагиттальной плоскости смещались вперед и назад в шейном отделе позвонки С4 (35,5%), С2 (28,8%) и С5 (26,8%) и значительно реже — С6 (8,8%) и С7 (4,7%). В поясничном отделе находились в состоянии спондилолистеза позвонки L3 (45,8%) и L2 (42,4%) и реже L4 (21,4%) и L1 (16,6%). При оценке превалирующего направления смещений выявлено, что средние шейные позвонки С4 и С5 смещались преимущественно вперед, а средние поясничные L3 и L2 — кзади. Общая частота смещений (передних и задних) позвонков С2 и L5 была примерно одинаковой, при этом антелистез встречался в 1,5 раза чаще.
Рис. 3. Средняя частота (в %) анте- и ретролистезов шейных и поясничных позвонков при отсутствии клиновидной деформации тел (n=295).
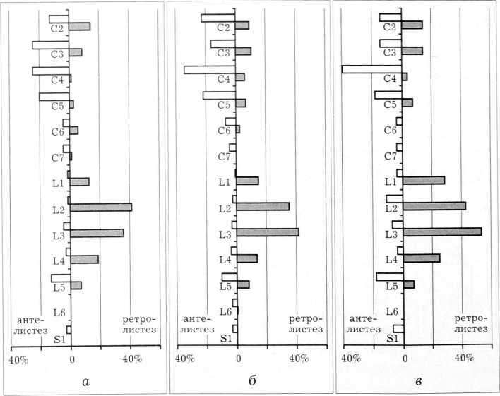
По результатам САРП 259 пациентов без клиновидной деформации тел позвонков было изучено положение шейных и поясничных позвонков в зависимости от положения крестца, которое определяли по Н. Erdmann [10] и G. Gutmann [11].
Все обследованные были разделены на три группы. К 1-й группе отнесен 161 пациент с нормальным положением крестца: угол, образованный дорсальной поверхностью крестца и горизонталью, δ=35-45°, угол наклона покровной пластинки S1 к горизонтали α=35-45°. Во 2-ю группу вошли 70 человек с вертикальным положением крестца: 5=50-70°, а=15-30°; в 3-ю группу — 28 больных с горизонтальным положением крестца: 5=15-30°, а=45-70° (рис. 4).
Рис. 4. Частота анте- и ретролистезов (в %) шейных и поясничных позвонков в зависимости от положения крестца (n=259). а — крестец расположен вертикально (n=70); б — крестец расположен нормально (n=161); в — крестец расположен горизонтально (n=28).
Выявлено, что у пациентов 1-и группы ретролистез L3 и L2 позвонков компенсировался антелистезом С4. Низкая смещаемость L5 сопровождалась выраженной подвижностью С2, причем в 2 раза чаще — вперед. У больных с вертикально расположенным крестцом наиболее подвижными оказались L2 и С3 позвонки. В движение активнее вовлекался позвонок L4, а С2 смещался одинаково часто и вперед и назад. У больных 3-й группы горизонтальное положение крестца привело к компенсаторному увеличению подвижности всех поясничных позвонков. При этом L5 в 2,5 раза чаще смещался вперед, a L1 — кзади. С2 и С3 позвонки смещались вперед и назад с одинаковой частотой.
Обсуждение
Системный подход и наличие четкого ориентира — вертикали базового отвеса позволили ввести новые критерии оценки пространственного положения отдельного позвонка по рентгенограммам во фронтальной и других проекциях. Разработанная на основе этих критериев графическая схема дает возможность отразить истинное положение любого позвонка, позвоночного двигательного сегмента и всего позвоночника, что послужило основой для создания нового инструмента — системного анализа рентгенограмм позвоночника.
Этот метод открывает дополнительные возможности для решения ряда практических и теоретических задач с позиций системного подхода. Заполненный протокол САРП представляет собой индивидуальную системную карту позвоночника больного, в которой находят отражение все особенности структуры и пространственного положения каждого позвонка.
С помощью компьютерной модели, основанной на результатах анализа индивидуальных карт САРП, получены данные, вскрывающие механизмы взаимодействия подвижных и малоподвижных отделов позвоночника в рамках единой биомеханической системы. Системный анализ рентгенограмм позвоночника в сочетании с компьютерной обработкой данных позволил создать целостное представление об изменениях статики позвоночника в норме и при различных патологических состояниях, что имеет важное значение для рентгенодиагностики и выбора лечебной тактики.
About the authors
A. M. Orel
Central Institute for the Expertise of the Ability to Work and Organization of Labor of the Disabled of the Ministry of Labor and Social Development of the Russian Federation
Author for correspondence.
Email: info@eco-vector.com
Russian Federation, Moscow
References
- Анохин П.К. Избранные труды. Философские аспекты теории функциональной системы. — М.,1978.
- Гусаков А.А. Системотехника строительства. Терминология. — М.,1993.
- Зедгенидзе Г.А., Жарков П.Л. Клиническая рентгенорадиология: Руководство. — Т. 3. Рентгенодиагностика повреждений и заболеваний костей и суставов. — М.,1984.
- Королюк И.П. Рентгеноанатомический атлас скелета (норма, варианты, ошибки интерпретации). — М.,1996.
- Левит К., Захсе Й., Янда В. Мануальная медицина. — М.,1993.
- Нечволодова О.Л. //Ревматология. — 1983. — N 1. — С. 73-75.
- Вейнберг С.А. Рентгенодиагностика заболеваний костей и суставов. — М.,1964.
- Тагер И.Л., Дьяченко В.А. Рентгенодиагностика заболеваний позвоночника. — М.,1971.
- Cobb J.R. //Am. Acad. Orthop. Surg. — 1948. — Vol. 5. — P. 261-275.
- Erdmann H. //Wirbelsaule in Forsch. und Praxis. — Stuttgart,1960. — Bd 15. — S. 103-130.
- Gutmann G. //Man. Med. — 1970. — N 8. — P. 111-120.
- Gutmann G. //Man. Med. — 1970. — N 8. — P. 73-76.
Supplementary files







