Comparative characteristics of sagittal balance in normal children and with spondylolisthesis
- Authors: Kuleshov A.A.1, Vetrile M.S.1, Zakharin V.R.1, Ovsyankin A.V.2, Kuzminova E.S.2, Lisyansky I.N.1, Makarov S.N.1, Strunina U.V.3
-
Affiliations:
- N.N. Priorov National Medical Research Center of Traumatology and Orthopedics
- Federal Center of Traumatology, Orthopedics and Joint Replacement
- Burdenko National Medical Research Center of Neurosurgery
- Issue: Vol 29, No 1 (2022)
- Pages: 25-33
- Section: Original study articles
- Submitted: 21.03.2022
- Accepted: 04.04.2022
- Published: 15.03.2022
- URL: https://journals.eco-vector.com/0869-8678/article/view/105177
- DOI: https://doi.org/10.17816/vto105177
- ID: 105177
Cite item
Abstract
BACKGROUND: The measurement of sagittal parameters is an important part of preoperative planning and is also used to evaluate the results of surgical treatment. It is known that in spondylolisthesis (especially at high degrees) the sagittal parameters of the spine differ from those in healthy people. The difference in spinal-pelvic parameters in children and adults without orthopedic pathology has also been proven. One of the tasks of surgical treatment of spondylolisthesis is the restoration of sagittal balance or its maximum approximation to normal values. However, today there is no single accepted norm of sagittal parameters for children, therefore, the question of the optimal tactics of surgical treatment of spondylolisthesis in children remains open.
AIM: To determine the parameters of the sagittal balance in normal children and in children with spondylolisthesis.
MATERIAL AND METHODS: A retrospective analysis of postural radiographs of 68 children was performed. Patients were divided into 2 groups: group I — 43 patients from 8 to 17 years old without spinal pathology. Group II — 25 patients with spondylolisthesis from 8 to 17 years old. For each patient, the main spinal and pelvic parameters (PT; PI; SS; LL; PI-LL; TK) were measured and statistical analysis of the data was performed.
RESULTS: The study proved that the main parameters of the sagittal balance (PI, PT, SS, LL, TK, PI-LL) in children and adults without pathological deformities of the spinal column are statistically significantly different. Also, there are statistically significant differences between the parameters of the sagittal balance in children and adolescents without spinal pathology and with spondylolisthesis (PI, PT, SS, LL, TK, SFD, PI-LL). In patients with high grade spondylolisthesis, the parameters of thoracic kyphosis and lumbar lordosis are significantly reduced, which should be assessed as a compensatory mechanism for maintaining the vertical position of the body. Children with spondylolisthesis are characterized by a significantly higher PI value.
CONCLUSION: The sagittal parameters of the spine in children and adults are different, therefore, for correct preoperative planning, it is necessary to establish the norm of sagittal parameters for children. It is also necessary to take into account the high value of PI in children and adolescents with spondylolisthesis, which may be the etiological factor of this disease. The existing formulas for measuring sagittal balance for children with spondylolisthesis should be used with caution, because a high PI can lead to unreliable theoretical values of PT, SS, LL and TK. The cause of sagittal imbalance can be not only high degrees of spondylolisthesis, but also the tight hamstrings.
Full Text
BACKGROUND
The calculation of sagittal parameters is an integral part of preoperative planning and it is used to evaluate surgical treatment outcomes. Sagittal parameters of the spine in patients with spondylolisthesis, especially at high degrees, differ from those of healthy people [1]. The difference in spinal-pelvic parameters between children and adults without orthopedic pathology has also been proven [2]. Therefore, for correct preoperative planning, there should be a known norm for determination of sagittal parameters in children. Only a few literary works have focused on sagittal balance norms in children and adolescents [2–8]. In some cases, sagittal balance impairment develops as a result of neurological disorders, pain syndrome, and lumbar-femoral rigidity syndrome. The need to restore the sagittal profile as a result of surgical treatment of spondylolisthesis is obvious. However, the question about the optimal degree of restoration and target indicators of sagittal parameters in pediatric patients remains open.
MATERIALS AND METHODS
A retrospective study was performed. The study included 68 children and adolescents aged 8 to 17 years. All patients were distributed into two groups.
Group 1 consisted of 43 patients without any musculoskeletal system pathology. This group included patients who had made appointments for outpatient visits to the Federal Center for Traumatology, Orthopedics and Arthroplasty of the Ministry of Health of Russia (Smolensk) with complaints of back pain and/or impaired posture. These patients underwent postural radiographs in order to rule out musculoskeletal pathology. The criterion for inclusion in the group was the absence of spinal deformities (scoliotic, kyphotic, post-traumatic, spondylolisthesis) or other orthopedic pathology.
Group 2 had 25 patients admitted to the N.N. Priorov National Medical Research Center of Traumatology and Orthopedics of the Ministry of Health of Russia with a diagnosis of vertebra L5 spondylolisthesis for surgical treatment. The criterion for inclusion in this group was spondylolisthesis of the lumbar vertebra five and the absence of other orthopedic pathology.
All patients included in the study underwent postural radiography. To minimize changes in the sagittal contour of the spine and prevent compensatory changes in posture, the study was performed according to the standard proposed by the Spinal Deformity Study Group (SDSG) [9], whereby the patient should be in an upright position, with knee and hip joints in a neutral position comfortable for the patient as well as arms bent at the shoulder and elbow joints with fingers in the collarbone area. In case of a shortening of the lower limb of more than 2 cm, an X-ray is performed with compensation to align the pelvis.
From the postural radiography of the lateral view, all patients underwent radiometric calculations of various parameters including pelvic tilt (PT); pelvic incidence (PI); sacral slope (SS); lumbar lordosis (LL); the difference between the values of the pelvic index and lumbar lordosis (PI–LL); thoracic kyphosis (TK).
Statistical data analysis was performed using the statistical programming language and the R environment (version 3.6.1) in the RStudio IDE (version 1.2.1335). The distribution of continuous and discrete quantitative variables in the sample was described using mean values, standard deviation, median, and quartiles, and categorical values were indicated in shares (percentages). Statistical hypotheses about the differences in the distribution of quantitative variables in independent samples were tested using the nonparametric Mann–Whitney test. The null hypothesis in the statistical tests was rejected at a significance level p lower than 0.05.
Historical literatures show that there are no statistically significant differences in sagittal parameters between girls and boys [2]. Hence, no comparison by gender was performed during the statistical data analysis.
RESULTS
For all the group 1 patients, (children and adolescents aged 8 to 17 years (mean age 12 years) without orthopedic pathology (n=43)), the average values for each parameter were determined and described using the median and quartiles (Table 1).
Table 1. Mean values of the main spinal and pelvic parameters in children without orthopedic pathology (in degrees)
Parameter | PI | SS | PT | LL | TK | PI–LL |
Value | 40,7 | 35,8 | 5,2 | 50,2 | 33,5 | –11,10 [–18,40; –4,40] |
Note: PI — pelvic incidence; SS — sacral slope; PT — pelvic tilt; LL — lumbar lordosis; TK — thoracic kyphosis; PI–LL — difference between the values of the pelvic index and lumbar lordosis.
The patients were distributed by age in accordance with the World Health Organization pediatric groupings (25 patients were 8–12 years old, and 18 patients were 13–17 years old). The parameters obtained were taken as a conditional normal for children and compared with the normal parameters for adults as proposed by F. Schwab et al. [10] (Table 2). The comparison revealed that the main sagittal balance parameters differ between children and adults without pathological deformities of the spinal column. In children, lower average values were determined for PI, PT, TK, and PI–LL, while indicators LL and SS differed insignificantly.
Table 2. Mean values of the main spinal-pelvic parameters in children (obtained as a result of our study) and adults [10] (in degrees)
Parameter | Children | Adults |
PI | 51,7 | |
SS | 39,4 | |
PT | 12,3 | |
LL | 46,5 | |
TK | 47 | |
PI–LL | –11,10 [–18,40; –4,40] | 10 |
Note: PI — pelvic incidence; SS — sacral slope; PT — pelvic tilt; LL — lumbar lordosis; TK — thoracic kyphosis; PI–LL — difference between the values of the pelvic index and lumbar lordosis.
Group 2 consisted of 25 patients aged 8 to 17 years (mean age 14 years), who were distributed by age (seven patients were 8–12 years old; 18 patients were 13–17 years old). The patients were distributed according to the degree of vertebral displacement based on the Meyerding classification. They were distributed as follows: There were four patients categorized under degree I, nine patients under degree II, eight patients under degree III, three patients under degree IV, and one patient under grade V (spondyloptosis). Based on the spondylolisthesis classification developed by the SDSG, the patients were distributed as follows. There was one patient categorized as type 1, three patients as type 2, eight patients as type 3, one patient as type 4, six patients as type 5, and six patients as type 6. Patients were distributed into two subgroups determined by the type of spondylolisthesis as categorized based on the SDSG classification; there were 12 patients with low grade spondylolisthesis, and 13 patients with high grade spondylolisthesis.
The calculated average values of spinal-pelvic parameters for group 2 are presented in Table 3.
Table 3. Mean values of spinal-pelvic parameters in children with spondylolisthesis (in degrees)
Parameter | PI | SS | PT | LL | TK | PI–LL |
Value | 12,20 [–3,10; 20,60] |
Note: PI — pelvic incidence; SS — sacral slope; PT — pelvic tilt; LL — lumbar lordosis; TK — thoracic kyphosis; PI–LL — difference between the values of the pelvic index and lumbar lordosis.
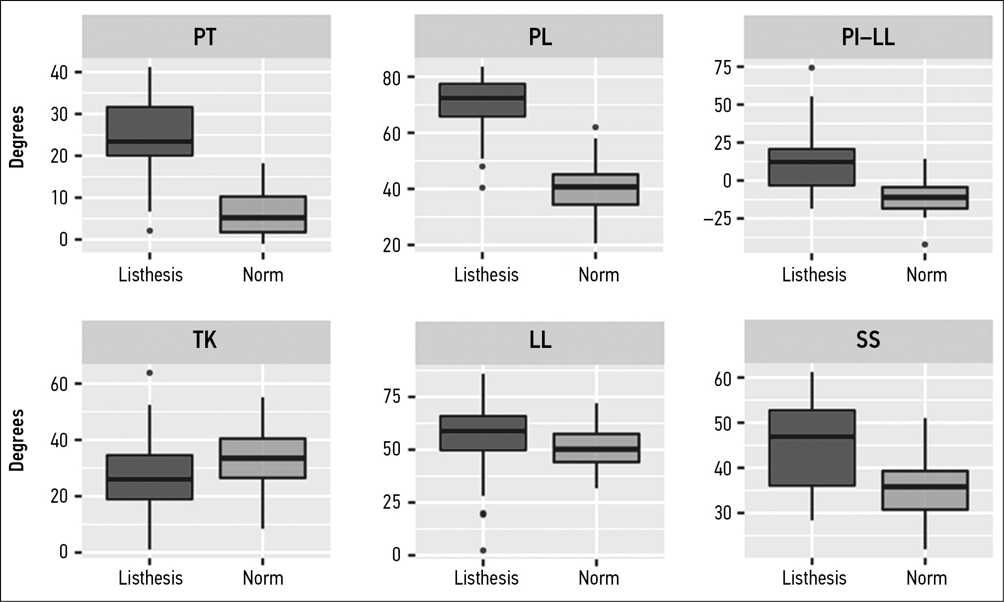
The sagittal balance parameters in group 1 and group 2 patients were compared. Statistically significant differences were revealed in all the sagittal balance parameters in children and adolescents without spinal pathology and with spondylolisthesis, as is clearly demonstrated in Fig. 1.
Fig. 1. Comparison of mean values for the main sagittal parameters between groups of healthy children and those with spondylolisthesis. PT — pelvic tilt; PI — pelvic incidence; SS — sacral slope; LL — lumbar lordosis; TK — thoracic kyphosis; PI–LL — the difference between the values of the pelvic index and lumbar lordosis.
High PI should be noted in pediatric patients with spondylolisthesis. A comparison was performed in terms of PI between the normal group and spondylolisthesis groups. The comparison revealed that the PI value significantly increases with age, and that pediatric patients with spondylolisthesis have a higher PI parameter compared to healthy children (Table 4).
Table 4. Pelvic incidence (PI) distribution in groups of healthy children and those with spondylolisthesis depending on age (in degrees)
Age | Norm | Spondylolisthesis |
Group 1 (8–12 years old) | ||
Group 2 (13–17 years old) | ||
р | 0,042 | 0,033 |
Note: Averages are described using the nonparametric median and quartile method (PI — pelvic incidence).
Comparison was made between the normal, low grade spondylolisthesis, and high grade spondylolisthesis groups. It was established that the PI parameter was significantly higher in patients with high grade spondylolisthesis than in the group of healthy children. It was also revealed that the PI index was significantly higher in the low grade spondylolisthesis group, in contrast to the parameters of TK and LL, which change with increasing severity of the deformity (Table 5).
Table 5. Indicators of spinal-pelvic relationships in children with spondylolisthesis, depending on the degree in comparison with the norm (in degrees).
Parameter | PI | SS | PT | LL | TK | PI–LL |
Norm | 5,20 | 40,70 | 35,80 | 50,20 | –11,10 [–18,40; –4,40] | 33,5 |
Low grade | 21,50 | 70,80 | 49,20 | –2,10 [–10,18; 12,72] | ||
High grade | 25,60 | 72,40 | 42,40 | 16,90 | ||
р | 0,005 | 0,040 | 0,020 | 0,040 | 0,004 | 0,035 |
Note: PI — pelvic incidence; SS — sacral slope; PT — pelvic tilt; LL — lumbar lordosis; TK — thoracic kyphosis; PI–LL — difference between the values of the pelvic index and lumbar lordosis.
Clinical case. Female patient, 13 years old, diagnosed with degree II spondylolisthesis of vertebra L5, SDSG type 6. Clinical manifestations were severe pain syndrome in the lumbar region with irradiation along the posterior surface of the thigh and lower leg from both sides, gait disturbance, antalgic position of the body with an anterior trunk bending; and lumbar-femoral rigidity syndrome. There were no focal neurological symptoms. Initial sagittal balance parameters were PT=33.4°; PI=70.6°; SS=37.2°; LL=−0.2°; TK=−14.7° (Fig. 2).
Fig. 2. Sagittal balance parameters in a 13-year-old patient with spondylolisthesis L5, SDSG type 6 before (a) and after (b) surgical treatment, as well as the calculation of theoretical parameters of lumbar lordosis (LL) and thoracic kyphosis (TK) at the stage of preoperative planning. Design parameters: 1) LL=PI × 0.54 + 28, LL=66.1; 2) TK=0.75 × LL, TK=49.5.
The patient underwent a two-stage surgical treatment. The first stage was L5 laminectomy with revision and decompression of neural structures, dorsal fixation of L4-S1 with a transpedicular system with reduction of the vertebra L5. The second stage was L5-S1 interbody fusion with an individual cage from the anterior extraperitoneal approach according to the original technique [11]. Three months after surgical treatment, gait and vertical position of the trunk were restored; postural radiography showed normalization of sagittal parameters (PT=21.5°; PI=70.7°; SS=49.2°; LL=54.7°; TK=21.6).
DISCUSSION
To date, there are a number of publications in Russian literature that are focused on the sagittal balance problem in children. However, in all studies, the study group has one or any other pathology; and the data obtained are compared with the average values for children, proposed by international authors. For example, in the works by O.G. Prudnikov, A.M. Aranovich [12], the sagittal parameters were calculated and analyzed in pediatric patients with achonodroplasia, and data from J.M. Mac Thiong (2004) [2] for healthy children aged 7.3±1.8 years were taken as comparison group. In a number of works such as P.I. Bortulev et al. [13, 14] analyzed spinal-pelvic relationships in pediatric patients with hip subluxation in Legg–Calve–Perthes disease and with dysplastic hip subluxation. The data obtained were compared with the average indicators for children proposed by H. Hesarikia et al. [15].
Analysis of sagittal parameters in pediatric patients without spinal pathology has not previously been performed in the Russian literature due to the ethical standards that surround such research. However, in our study, all patients of group 2 booked appointments to the clinical diagnostic department with various complaints, including pain of unknown origin in the spine, as well as due to previous injuries and posture disorder. All X-ray studies were performed strictly depending on the indications described in order to rule out other spine pathologies. The effective radiation dose for ensuring radiation safety was calculated in accordance with methodological recommendations. During the study, a highly sensitive flat panel detector was used, with an average effective radiation dose of 0.3 mSv, which is equal to the radiation dose when performing standard chest radiographs.
J. Legaye et al. (1998) [16] for the first time revealed the relationship between the three pelvic indices, expressed by the equation PI=SS+PT. In the course of our study, it was established that in pediatric patients with spondylolisthesis, the average PI values were significantly higher than in children without spinal pathology. H. Labelle et al. [9] analyzed radiographs of 214 spondylolisthesis patients aged 10 to 40 years old. Based on the analysis, the authors registered higher PI values in the patient group compared to the control group of asymptomatic volunteers. Taking into account this fact, high PI values can be regarded as an etiopathogenetic factor in the development of spondylolisthesis.
Considering that PI is the key value for calculating all other indicators of sagittal balance (PI=SS+PT; LL=PI×0.54+28) [17], it is not advisable to use generally recognized equations in all cases. So, for example, during preoperative planning for the female patient whose case is presented in the “Clinical case” section, theoretical sagittal parameters were calculated as 1) LL=PI×0.54+28=66.1°; 2) TK=0.75×LL=49.5°. The obtained theoretical values for LL and TK, in fact, indicated the presence of hyperkyphosis of the thoracic region and hyperlordosis of the lumbar region. Average values for children and adolescents without pathology were used as theoretical parameters. In this case, the generally accepted equations developed for adults turned out to be inapplicable for children. The patient also had a gross disorder characterized by anterior inclination of the body in the vertical position, a pronounced gait disturbance, but the degree of spondylolisthesis was low (II according to Meyerding). We analyzed the initial neurological status of group 2 patients with sagittal imbalance (n=6). All patients had symptoms of lumbofemoral rigidity in combination with severe pain, gait disturbance, and/or disorder of the vertical position of the body. It is noteworthy that only two patients had high grade spondylolisthesis. All group 2 patients underwent a two-stage surgical treatment with decompressive laminectomy and reduction of vertebra L5. After decompressive-stabilizing surgeries, in all cases, there was a regression of neurological symptoms and restoration of the sagittal profile of the spine within 3 months from the surgery.
At present, the mechanism of lumbar-femoral rigidity is not fully understood; however, there are a number of publications describing a specific gait disorder and the inability to tilt the body anteriorly; children and adolescents with spondylolisthesis have a pronounced limitation in lifting their legs straight legs. The authors attribute this challenge to irritation of the cauda equina and note the regression of the above symptoms after laminectomy of the vertebra L5 [18, 19].
CONCLUSION
In the surgical treatment of spondylolisthesis in pediatric patients, sagittal balance parameters must be taken into account. However, there are differences in vertebral and pelvic parameters between children and adults. Therefore, for correct preoperative planning, it is necessary to establish the normal values of sagittal parameters for pediatric patients. It is also necessary to take into account the high values of PI in children and adolescents with spondylolisthesis, which may be an etiological factor for the condition disease. The existing equations for calculating sagittal balance for pediatric patients with spondylolisthesis should be used with caution, since a high PI can lead to unreliable theoretical values of PT, SS, LL, and TK. Sagittal imbalance can be caused not only by high degrees of spondylolisthesis, but also by lumbar-femoral rigidity syndrome. A laminectomy of the L5 vertebra is required in order to decompress the neural structures during the surgical treatment of patients with this syndrome and those with gait and/or vertical position disorders.
ADDITIONAL INFO
Author contribution. Thereby, all authors made a substantial contribution to the conception of the work, acquisition, analysis, interpretation of data for the work, drafting and revising the work, final approval of the version to be published and agree to be accountable for all aspects of the work.
Funding source. Not specified.
Competing interests. The authors declare that they have no competing interests.
Consent for publication. Written consent was obtained from the patient for publication of relevant medical information and all of accompanying images within the manuscript.
About the authors
Alexander A. Kuleshov
N.N. Priorov National Medical Research Center of Traumatology and Orthopedics
Email: cito-spine@mail.ru
ORCID iD: 0000-0002-9526-8274
SPIN-code: 7052-0220
MD, Dr. Sci. (Med.), traumatologist-orthopedist
Russian Federation, MoscowMarchel S. Vetrile
N.N. Priorov National Medical Research Center of Traumatology and Orthopedics
Email: vetrilams@cito-priorov.ru
ORCID iD: 0000-0001-6689-5220
SPIN-code: 9690-5117
MD, Cand. Sci. (Med.), traumatologist-orthopedist
Russian Federation, MoscowVitaly R. Zakharin
N.N. Priorov National Medical Research Center of Traumatology and Orthopedics
Author for correspondence.
Email: zakhvit@gmail.com
ORCID iD: 0000-0003-1553-2782
SPIN-code: 2931-0703
traumatologist-orthopedist
Russian Federation, MoscowAnatoliy V. Ovsyankin
Federal Center of Traumatology, Orthopedics and Joint Replacement
Email: ovsjankin@rambler.ru
SPIN-code: 4417-3617
MD, Cand. Sci. (Med.), traumatologist-orthopedist
Russian Federation, SmolenskElena S. Kuzminova
Federal Center of Traumatology, Orthopedics and Joint Replacement
Email: muxuxo@gmail.com
ORCID iD: 0000-0003-2876-6844
SPIN-code: 5992-6657
traumatologist-orthopedist
Russian Federation, SmolenskIgor N. Lisyansky
N.N. Priorov National Medical Research Center of Traumatology and Orthopedics
Email: lisigornik@list.ru
ORCID iD: 0000-0002-2479-4381
SPIN-code: 9845-1251
MD, Cand. Sci. (Med.), traumatologist-orthopedist
Russian Federation, MoscowSergey N. Makarov
N.N. Priorov National Medical Research Center of Traumatology and Orthopedics
Email: moscow.makarov@gmail.com
ORCID iD: 0000-0003-0406-1997
SPIN-code: 2767-2429
MD, Cand. Sci. (Med.), traumatologist-orthopedist
Russian Federation, MoscowUliya V. Strunina
Burdenko National Medical Research Center of Neurosurgery
Email: ustrunina@nsi.ru
ORCID iD: 0000-0001-5010-6661
SPIN-code: 9799-5066
leading engineer
Russian Federation, MoscowReferences
- Labelle H, Roussouly P, Berthonnaud E, et al. Spondylolisthesis, pelvic incidence, and spinopelvic balance: a correlation study. Spine (Phila Pa 1976). 2004;29(18):2049–2054. doi: 10.1097/01.brs.0000138279.53439.cc
- Mac-Thiong JM, Berthonnaud E, Dimar JR 2nd, et al. Sagittal alignment of the spine and pelvis during growth. Spine (Phila Pa 1976). 2004;29(15):1642–1647. doi: 10.1097/01.brs.0000132312.78469.7b
- Mac-Thiong JM, Labelle H, Berthonnaud E, et al. Sagittal spinopelvic balance in normal children and adolescents. Eur Spine J. 2007;16(2):227–234. doi: 10.1007/s00586-005-0013-8
- Lee CS, Noh H, Lee DH, et al. Analysis of sagittal spinal alignment in 181 asymptomatic children. J Spinal Disord Tech. 2012;25(8):E259–263. doi: 10.1097/BSD.0b013e318261f346
- Gutman G, Labelle H, Barchi S, et al. Normal sagittal parameters of global spinal balance in children and adolescents: a prospective study of 646 asymptomatic subjects. Eur Spine J. 2016;25(11):3650–3657. doi: 10.1007/s00586-016-4665-3
- Ghandhari H, Hesarikia H, Ameri E, Noori A. Assessment of normal sagittal alignment of the spine and pelvis in children and adolescents. Biomed Res Int. 2013;2013:842624. doi: 10.1155/2013/842624
- Zhou XY, Zhao J, Li B, et al. Assessment of sagittal spinopelvic balance in a population of normal Chinese children. Spine (Phila Pa 1976). 2020;45(13):E787–791. doi: 10.1097/BRS.0000000000003428
- Cil A, Yazici M, Uzumcugil A, et al. The evolution of sagittal segmental alignment of the spine during childhood. Spine (Phila Pa 1976). 2005;30(1):93–100. doi: 10.1097/01.brs.0000149074.21550.32
- Labelle H, Mac-Thiong JM, Roussouly P. Spino-pelvic sagittal balance of spondylolisthesis: a review and classification. Eur Spine J. 2011;20 (Suppl 5):641–646. doi: 10.1007/s00586-011-1932-1
- Schwab F, Lafage V, Boyce R, et al. Gravity line analysis in adult volunteers age-related correlation with spinal parameters, pelvic parameters, and foot position. Spine (Phila Pa 1976). 2006;31(25):E959–967. doi: 10.1097/01.brs.0000248126.96737.0f
- Kuleshov AA, Vetrile MS, Shkarubo AN, et al. Additive technologies in surgical treatment of spinal deformities. N.N. Priorov Journal of Traumatology and Orthopedics. 2018;25(3–4):19–29. (In Russ). doi: 10.17116/vto201803-04119
- Prudnikova OG, Aranovich AM. Clinical and radiological aspects of the sagittal balance of the spine in children with achondroplasia. Pediatric Traumatology, Orthopaedics and Reconstructive Surgery. 2018;6(4):6–12. (In Russ). doi: 10.17816/PTORS646-12
- Bortulev PI, Vissarionov SV, Baskov VE, et al. Clinical and roentgenological criteria of spine-pelvis ratios in children with dysplastic femur subluxation. Traumatology and Orthopedics of Russia. 2018;24(3):74–82. (In Russ). doi: 10.21823/2311-2905-2018-24-3-74-82
- Bortulev PI, Vissarionov SV, Barsukov DB, et al. Evaluation of radiological parameters of the spino-pelvic complex in children with hip subluxation in Legg-Calve-Perthes disease. Traumatology and Orthopedics of Russia. 2021;27(3):19–28. (In Russ). doi: 10.21823/2311-2905-2021-27-3-19-28
- Hesarikia H, Rahimnia A, Emami Meybodi MK. Differences between male and female sagittal spinopelvic parameters and alignment in asymptomatic pediatric and young adults. Minerva Ortopedica e Traumatologica. 2018;69(2):44–48. doi: 10.23736/S0394-3410.18.03867-5
- Legaye J, Duval-Beaupère G, Hecquet J, Marty C. Pelvic incidence: a fundamental pelvic parameter for three-dimensional regulation of spinal sagittal curves. Eur Spine J. 1998;7(2):99–103. doi: 10.1007/s005860050038
- Le Huec JC, Thompson W, Mohsinaly Y, et al. Sagittal balance of the spine. Eur Spine J. 2019;28(9):1889–1905. doi: 10.1007/s00586-019-06083-1
- Barash HL, Galante JO, Lambert CN, Ray RD. Spondylolisthesis and tight hamstrings. J Bone Joint Surg Am. 1970;52(7):1319–1328.
- Phalen GS, Dickson JA. Spondylolisthesis and tight hamstrings. J Bone Joint Surg Am. 1961;43:505–512.
Supplementary files





