Conceptual model of the pathogenesis of osteochondropathy of the spine
- Authors: Korzh N.A.1, Prodan A.M.1, Kolesnichenko V.A.1
-
Affiliations:
- Institute of Pathology of the Spine and Joints. M.I. Sitenko
- Issue: Vol 10, No 2 (2003)
- Pages: 20-28
- Section: Original study articles
- Submitted: 20.10.2020
- Published: 15.06.2003
- URL: https://journals.eco-vector.com/0869-8678/article/view/48150
- DOI: https://doi.org/10.17816/vto200310220-28
- ID: 48150
Cite item
Full Text
Abstract
The new direction in study of spine osteochondropathy pathogenesis was worked out from the point of systemic approach. The disease is considered as continuous dysplastic-dystrophic process. The base of this process is a structural anomaly of the end-plates of vertebral body that changes morphogenesis of the vertebral segment. Subsequent clinical course is determined by anatomic-biomechanic characteristics of the affected zone, peculiarities of spine configuration in the saggital plane as well as by the variants of disorders in vertebral body shape formation.
Keywords
Full Text
Остеохондропатия позвоночника занимает ведущее место в структуре вертебральной патологии юношеского возраста. Частота встречаемости болезни в общей популяции составляет, по данным разных авторов, от 6,4 до 8,2% и характеризуется отчетливой тенденцией к постоянному росту [6]. Этиология и патогенез заболевания окончательно не установлены. Согласно результатам наших исследований, остеохондропатию позвоночника следует рассматривать как непрерывный диспластически-дистрофический процесс, в основе которого лежит структурная аномалия замыкательных пластинок тел позвонков [2].
В изучении патогенеза диспластических заболеваний позвоночника с позиций системного подхода главным технологическим приемом является логическое концептуальное моделирование, позволяющее, в частности, предсказать поведение системы «позвоночник» и всех систем нисходящего иерархического ряда при различных вариантах аномалий развития позвоночного двигательного сегмента (ПДС) или его элементов.
Определяющим эмерджментным свойством системы является надежность, т.е. способность системы определенное время выполнять свои функции при определенных условиях с сохранением величин основных параметров в пределах физиологических значений [3]. Снижение надежности системы может приводить к отказам, т.е. к неспособности выполнить требуемую функцию. Появление отказа в системе свидетельствует о дезадаптации ее элементов и дезинтеграции их взаимодействия, что влечет за собой развертывание компенсаторных реакций, направленных на восстановление гомеостаза биологической системы. Компенсация утраченных функций осуществляется биологической системой более высокого иерархического ряда.
В биологической системе могут наблюдаться два вида отказов: потенциальный и фактический [3]. Потенциальный отказ соответствует доклинической стадии заболевания: критическая сила (т.е. внешняя сила, достаточная для возникновения таких деформаций системы или ее элементов, которые обусловливают соответствующие клинические проявления) снижена, но остается выше уровня физиологической нагрузки. Момент снижения критической силы до значения физиологической нагрузки является переходным от потенциального к фактическому отказу — клинически проявляющейся стадии заболевания [4]. В состоянии потенциального отказа высокий уровень адаптивных возможностей системы обеспечивает сохранение нормального общего баланса функций и достаточно высокого уровня каждой из них за счет включения дополнительных и структурной перестройки основных подсистем. Система «жертвует» своей структурой ради сохранения «функционального гомеостаза». Следовательно, доклинический этап болезни характеризуется постепенным наращиванием структурно-функциональных изменений, которые еще не сопровождаются клинически значимыми функциональными нарушениями. При истощении материальных ресурсов системы и ее элементов возникают первые внешние проявления этой внутренней несостоятельности — следует фактический отказ системы, соответствующий стадии клинической манифестации заболевания.
Материал и методы
Проведены теоретические исследования — концептуальное моделирование патогенеза остеохондропатии позвоночника. Комплексное клиническое, рентгенологическое и лабораторное обследование в динамике выполнено у 250 пациентов с остеохондропатией позвоночника различной локализации (грудопоясничной, поясничной и распространенной). Все больные наблюдались в Институте патологии позвоночника и суставов им. М.И. Ситенко АМН Украины, длительность наблюдения составила в среднем 5,5 лет (2—12 лет). Изучались: а) качественные рентгенологические признаки по обзорным, функциональным и косым (3/4) спондилограммам соответствующего отдела позвоночника, а также при рентгеноконтрастном (дискография, эпидурография, миелография) и неинвазивном (компьютерная и магнитно-резонансная томография) обследовании; б) количественные рентгенометрические показатели, характеризующие конфигурацию позвоночного столба в сагиттальной и фронтальной плоскостях, геометрию тел позвонков и межпозвонковых дисков, дислокацию поясничных позвонков, анатомические размеры позвоночного канала. Биохимические исследования были направлены на изучение особенностей метаболизма соединительной (в частности костной и хрящевой) ткани.
Результаты
В основе диспластических заболеваний лежат структурные аномалии развития системы или ее элементов различной степени выраженности. Постоянное действие факторов внешней среды (и прежде всего нагружения) формирует компенсаторно-приспособительные механизмы и, как следствие, — структурно-функциональную перестройку системы [3]. При достаточном резерве надежности и адекватности компенсаторно-приспособительных механизмов происходит полная адаптация системы с восстановлением ее параметров, что соответствует процессу реституции. В случае снижения или истощения резерва надежности развивается состояние напряжения адаптации системы. При продолжении возмущающих воздействий среды и снижении адаптивных возможностей (в частности нарушении трофических систем) включаются последующие звенья патогенеза: состояние напряжения адаптации переходит в дезадаптацию, характеризующуюся дистрофией и в дальнейшем деструкцией элементов системы. Компенсация утраченных функций с сохранением адаптационного гомеостаза свидетельствует о саногенезе.
Схематически патогенез и саногенез диспластического заболевания приведены на рис. 1. Основные звенья патогенеза остеохондропатии позвоночника в соответствии с этой принципиальной схемой можно представить следующим образом.
Рис. 1. Общая схема патогенетических и саногенетических механизмов при диспластических заболеваниях позвоночника.
На уровне тканевой системы исходные характеристики ее элементов таковы: структурная организация матрикса гиалиновых замыкательных пластинок изменена — определяется высокое содержание протеогликанов на фоне сниженного содержания гликопротеинов и нарушения синтеза [14] и агрегации [9] коллагена, а также уменьшение соотношения коллаген/протеогликаны [8], что сопровождается снижением механической прочности коллагенового каркаса и уменьшением гидратированности матрикса и приводит к исходному снижению резистентности замыкательных пластинок. Архитектоника трабекулярной кости тела позвонка нарушена: вследствие метаболического дисбаланса в пластинках роста тел позвонков развиваются изменения матриксных структур, аналогичные изменениям в замыкательных пластинках, а также нарушение деления и дифференцировки хондробластов, что, в свою очередь, приводит к десинхронизации механизма энхондральной оссификации и костного ремоделирования с формированием участков локального остеопороза с исходным снижением жесткости губчатой костной ткани тела позвонка. Метаболизм студенистого ядра межпозвонкового диска нарушен в результате изменений в матриксе замыкательной пластинки и в трабекулярной кости тел позвонков, что влечет за собой исходное снижение абсорбционной функции и нарушение трофики диска.
Указанные изменения отражают исходное снижение жесткости и уменьшение адаптивно-компенсаторных возможностей тканевых систем позвоночного двигательного сегмента при остеохондропатии. Другими словами, система ткани при остеохондропатии позвоночника находится в состоянии потенциального отказа. Нагрузки вызывают адаптивные реакции системы тканей, направленные на восстановление биохимической структуры матрикса. В частности, усиливается функциональная активность хондроцитов [5]. Выражением репаративной активности на внутриклеточном уровне служат гипертрофия хондроцитов и гиперплазия их ядерного аппарата. Гипертрофированные клетки проявляют большую жизнеспособность при воздействии разрушающих биомеханических нагрузок на ткань [21]. Кроме того, гипертрофированные хондроциты более активны в синтезе гликозаминогликанов (ГАГ) [11]. При адекватности адаптивных возможностей на уровне системы ткани возможна значительная коррекция метаболических и механохимических нарушений матрикса, восстановление трофики и реадаптация тканевой системы (рис. 2).
Рис. 2. Патогенез остеохондропатии позвоночника на уровне системы ткани (концептуальная модель).
Однако при дальнейшем действии биомеханического фактора и достижении некоторого порогового уровня нагрузки наступает срыв адаптационного гомеостаза. Предъявляемые к хондроцитам запросы со стороны нуждающегося в постоянном и интенсивном обновлении основного вещества неизбежно превышаются. При напряженном синтезе многие вновь синтезируемые молекулы ГАГ сохраняют признаки биохимической незрелости [15]; на фоне усиленной деградации коллагена II типа синтезируется проколлаген I типа [7]; отмечается полиплоидизация хондроцитов [13]. Изменение качественного состава коллагенового каркаса матрикса с преобладанием коллагена I типа, а также снижение полимеризации ГАГ приводит к нарушению равновесия процессов гидратации—гипергидратации в сторону гипергидратации матрикса с развитием дистрофии тканевой системы. Вследствие исходно сниженного резерва надежности и недостаточности адаптивных реакций активность репаративных процессов уступает в скорости деструктивным изменениям, структурно-функциональные повреждения органического матрикса нарастают, развивается прогрессирующая дистрофия и далее деградация тканей. Наступает дезадаптация тканевой системы.
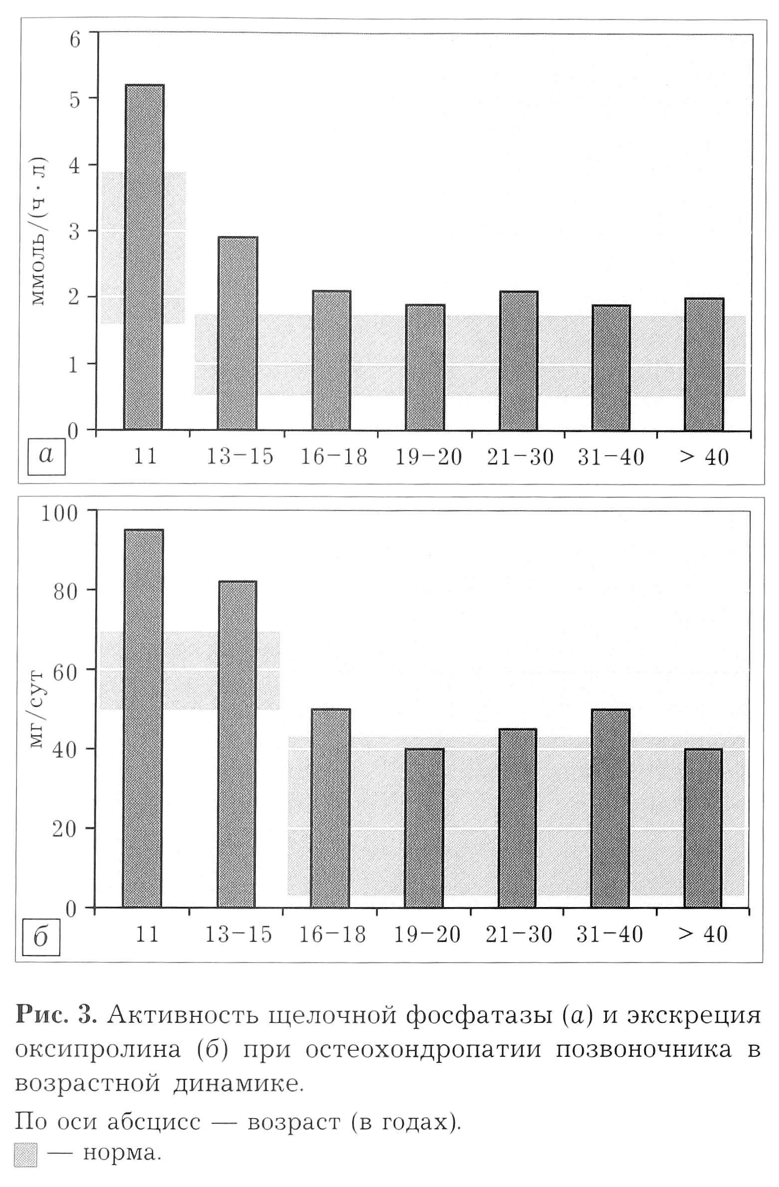
Этот уровень патогенеза соответствует доклинической стадии заболевания. Деградация элементов системы ткани сопровождается выявляемым при биохимическом исследовании биологических жидкостей организма повышением уровня маркеров распада матрикса соединительной ткани, в частности коллагенового каркаса матриксных структур трабекулярной кости и хрящевых замыкательных пластинок тел позвонков. Вследствие компенсаторно обусловленной высокой интенсивности реактивного процесса (экссудативная фаза) на данном этапе патогенеза уровень маркеров биологической деградации коллагена наиболее высок (рис. 3).
Дезадаптация системы ткани служит сигналом к развертыванию компенсаторных реакций в системе более высокого иерархического ряда — позвоночном двигательном сегменте, включающем межпозвонковый диск, тела позвонков, дугоотростчатые суставы и мышечно-связочный аппарат.
Исходные изменения архитектоники трабекулярной кости тела позвонка и трофики межпозвонкового диска свидетельствуют о состоянии потенциального отказа в системе ПДС. Межпозвонковый диск становится уязвимым для разрушающего воздействия биомеханических влияний, возникающих в условиях незначительных, в том числе и физиологических, нагрузок. Снижение резистентности замыкательных пластинок тел позвонков приводит к образованию в них микропереломов и микроразрывов с субхондральным пролабированием тканей межпозвонкового диска. Следствием нарушения архитектоники трабекулярной кости тел позвонков является интраспонгиозное продвижение элементов диска с образованием внутрикостных грыж Шморля. Прогрессирование дистрофических изменений в межпозвонковом диске приводит к дальнейшему снижению механической жесткости губчатой кости тел позвонков и постепенному превращению локального остеопороза в диффузный. Именно остеопороз трабекулярной кости тел позвонков, по нашему мнению, отличает ранние стадии остеохондропатии позвоночника и способствует патогномоничному для данного заболевания нарушению формообразования тел позвонков.
На уровне позвоночного сегмента механизм адаптации к нагрузкам обеспечивается интегрированной функцией всех элементов в системе ПДС, и прежде всего в подсистеме межпозвонковый диск—тело позвонка. Абсорбционная функция межпозвонкового диска обеспечивается поддержанием адекватного внешним нагрузкам внутридискового давления. Величина внутридискового давления определяется степенью гидратированности матрикса студенистого ядра и регулируется процессами полимеризации — деполимеризации протеогликановых комплексов (их сульфатированных ГАГ). Нарушение трофики студенистого ядра приводит к обеднению матрикса протеогликанами, снижению полимеризации ГАГ [1], увеличению соотношения кератансульфаты/хондроитинсульфаты [15] на фоне уменьшения молекулярной массы и снижения сульфатирования кератансульфатов [16], что свидетельствует о снижении гидратированности матрикса.
Под воздействием саногенетических механизмов компенсаторная активация трофических систем восстанавливает метаболизм системы ткани, ее структуру и функцию — происходит реституция системы ткани и ее реадаптация. При недостатке компенсаторных возможностей прогрессируют патогенетические изменения. На уровне системы ткани нарастающие дистрофические изменения сменяются деструктивными, что на уровне ПДС проявляется субкомпенсацией с последующей декомпенсацией и дезадаптацией системы позвоночного сегмента. На стадии субкомпенсации в системе ПДС интенсивность реактивного воспалительного процесса еще достаточно высока. Это обусловливает высокий уровень маркеров распада соединительнотканных, прежде всего костных и хрящевых структур (в частности маркеров деградации коллагена), выявляемых при биохимическом исследовании биологических жидкостей организма.
Стадия субкомпенсации системы ПДС соответствует субклинической стадии болезни, в которой могут проявляться первые нехарактерные клинические симптомы — чувство дискомфорта, эпизодические боли в позвоночнике и быстрая утомляемость мышц. На этой стадии патогенеза клинические проявления не зависят от локализации заболевания (грудной, грудопоясничный, поясничный отделы позвоночника). При дальнейшем прогрессировании патогенетических изменений в системе позвоночного сегмента в межпозвонковом диске сохраняется стойкое повышение внутридискового давления с развитием адаптивных миотонических реакций. Потенциальный отказ системы переходит в фактический — появляются первые клинические симптомы заболевания: ограничение подвижности или функциональная блокада сегмента (рис. 4). На данном этапе патогенеза клинические проявления определяются «индивидуальными особенностями» позвоночного сегмента (его анатомобиомеханическими характеристиками) и элементов ПДС (диспластические деформации и варианты нарушения морфогенеза).
Рис. 4. Патогенез остеохондропатии на уровне системы позвоночного двигательного сегмента (концептуальная модель).
Своеобразным саногенетическим механизмом, снижающим избыточное внутридисковое давление, является интраспонгиозное пролабирование студенистого ядра межпозвонкового диска через ослабленные замыкательные пластинки тел позвонков. Такая потеря вещества диска сопровождается прогрессирующей диффузной дегенерацией элементов диска, его фибротизацией и «естественной» стабилизацией позвоночного сегмента (рис. 5)
Рис. 5. Фиброз L3-4 диска («естественная» стабилизация сегмента с грыжей Шморля L4 позвонка).
Следовательно, в ПДС с грыжей Шморля потеря двигательной функции компенсирует опорную и защитную функции сегмента, и система «возвращается» в состояние потенциального отказа. Формирование внутрикостных грыж Шморля может сопровождаться болевым синдромом по типу химического радикулита вследствие раздражения волокон синувертебрального нерва биологически активными продуктами реактивного воспаления.
Нарушение адаптивно-компенсаторных механизмов приводит к прогрессированию дистрофических процессов с последующей деформацией элементов системы ПДС. Избыточное нагружение периферических (в частности передних) отделов тела позвонка с исходно сниженной жесткостью может повлечь за собой нарушение его формообразования: клиновидную деформацию вентральных отделов и увеличение переднезадних размеров с последующей компенсаторной гипертрофией дуг и суставных отростков с формированием диспластического стеноза позвоночного канала.
Нарушение морфогенеза позвоночного сегмента может быть обусловлено и сопутствующими макроструктурными диспластическими деформациями: аксиально-вытянутыми и поперечно-вытянутыми телами позвонков, а также изменением контуров замыкательных пластинок. Структурная аномалия тел позвонков в виде изменения контуров замыкательных пластинок приводит к асимметричному нагружению тела позвонка и межпозвонкового диска. По нашему мнению, именно диспластическая деформация замыкательных пластинок тел позвонков является исходной «механической дисплазией» [17], лежащей в основе остеохондропатии позвоночника. Нельзя исключить тот факт, что известные на сегодняшний день патогномоничные для остеохондропатии тканевые структурные аномалии являются следствием механохимических изменений биополимерных молекул, развивающихся на фоне неадекватных нагрузок.
Дистрофические изменения в элементах межпозвонкового диска приводят к уменьшению высоты диска и дислокации дугоотростчатых суставов. В пораженном позвоночном сегменте развивается мышечно-связочный дисбаланс, обусловленный уменьшением высоты межтеловых промежутков и, как следствие, сближением точек прикрепления связок и мышц-разгибателей спины, а также, при клиновидной деформации тел позвонков, укорочением передней продольной связки.
Дезадаптация позвоночного сегмента, таким образом, характеризуется прогрессирующими дистрофическими изменениями с последующей деформацией всех элементов системы ПДС.
Варианты клинического течения остеохондропатии позвоночника определяются путями реализации фактических отказов.
Развитие миотонических реакций сопровождается повышением внутридискового давления и замыканием дугоотростчатых суставов. Под влиянием патогенетических факторов (декомпенсация опорной и двигательной функции ПДС, дегидратация студенистого ядра, снижение резистентности фиброзного кольца и замыкательных пластинок, компенсаторная гипертрофия суставных отростков) происходит повышение нагрузки на дугоотростчатые сочленения. Помимо этого, дислокация дугоотростчатых суставов вследствие уменьшения высоты диска приводит к восприятию ими несвойственных для них аксиальных нагрузок. Длительные перегрузки суставов сопровождаются дезадаптацией системы ткани суставного хряща с последующей деструкцией синовиальной оболочки фиброзной капсулы суставов и костной ткани суставных отростков. Это, в свою очередь, ведет к дезадаптации в подсистеме дугоотростчатых суставов с декомпенсацией их опорной функции и возникновению болевого синдрома.
При клиновидной деформации тел позвонков в грудных сегментах развивается преимущественно дислокационный спондилоартроз, тогда как в поясничных ПДС — гиперпластический спондилоартроз. Различные механизмы развития спондилоартроза в грудных и поясничных сегментах с клиновидной деформацией тел позвонков можно объяснить различными анатомо-биомеханическими условиями в грудном и поясничном отделах позвоночника. Грудной отдел позвоночника характеризуется повышенной жесткостью во всех направлениях движения вследствие стабилизирующего влияния грудной клетки. При клиновидной деформации тел грудных позвонков и уменьшении высоты смежного межпозвонкового диска в условиях кифоза формируется флексионная деформация суставных отростков с преимущественным нагружением капсульно-связочного аппарата суставов, дистрофическими изменениями в них с развитием артроза дугоотростчатых, реберно-поперечных и реберно-позвоночных суставов. В поясничных сегментах отмечается меньшая жесткость (и, соответственно, большая деформируемость), прежде всего в постоянном для позвоночника аксиальном направлении (сжатие—растяжение). Изменение формы тел позвонков, т.е. изменение геометрии переднего опорного комплекса, приводит к перераспределению компрессионных нагрузок, большему нагружению и, соответственно, компенсаторной гиперпластической деформации задних костных структур — дуг позвонков и суставных отростков.
Реализация патогенетической программы при поражении дугоотростчатых суставов зависит от состояния саногенетических механизмов в межпозвонковом диске. При низкой их активности механические свойства диска прогрессивно снижаются, что приводит к избыточному нагружению дугоотростчатых суставов и, таким образом, их прогрессирующим дистрофическим и деструктивным изменениям. Исходное нарушение трофических систем межпозвонкового диска при остеохондропатии предопределяет неизбежное развитие спондилоартроза. В этой связи спондилоартроз является практически постоянным «спутником» остеохондропатии.
В межпозвонковом диске продолжающаяся компенсаторная гиперпродукция основного вещества матрикса, а также недостаточность трофических систем (в частности нарушение регуляции онкотического давления) сопровождаются значительным повышением внутридискового давления. На этом фоне снижение жесткости фиброзного кольца, связанное с нарушением структуры и дезагрегацией его коллагеновых и неколлагеновых протеиновых комплексов, проявляется тангенциальными расслоениями и радиальными трещинами пластин. В дальнейшем при действии биомеханического фактора возникают разрывы фиброзного кольца, причем эти разрывы вследствие высокого внутридискового давления, как правило, сопровождаются пролапсом вещества студенистого ядра. В зависимости от локализации выпавшего фрагмента формируется клиническая симптоматика внутридисковых перемещений студенистого ядра, протрузии или экструзии межпозвонкового диска (рис. 6, а).
Качественно иной путь фактического отказа наблюдается при нарушении процессов гидратации—дегидратации матрикса со сдвигом в сторону дегидратации. Такая ситуация связана с уменьшением длины молекулярных цепей ГАГ [19] и снижением их способности к агрегации [15], что делает возможным их вымывание из матрикса с циркулирующей жидкостью [18]. Продукты деградации основного вещества включаются в надмолекулярные агрегаты протеогликанов и ускоряют деполимеризацию [10], делая их доступными для каталитических ферментов [12]. Все эти изменения резко снижают гидратацию тканей межпозвонкового диска. Формируется механическая неполноценность студенистого ядра, снижающая его опорно-абсорбционную функцию, с развитием нестабильности ПДС и возникновением болевого синдрома (рис. 6, б).
Рис. 6. Дезадаптация в системе позвоночного двигательного сегмента: а — при гипергидратации матрикса студенистого ядра (внутридисковые перемещения ядра L3-4 межпозвонкового диска, экструзии L4-5, L5-S1 дисков); б — при дегидратации матрикса студенистого ядра (нестабильность L3_4, L4_5 сегментов).
Анатомическое уменьшение сагиттального размера позвоночного канала в сегментах с клиновидной деформацией тел позвонков сопровождается уменьшением эпидурального резервного пространства и, соответственно, субкомпенсацией защитной функции ПДС, что может проявляться клинически значимой симптоматикой стеноза позвоночного канала.
Таким образом, дезадаптация позвоночного сегмента характеризуется клинической манифестацией заболевания. В зависимости от соотношения саногенетических и патогенетических механизмов возможны следующие структурно-функциональные нарушения: спондилоартроз; внутридисковые перемещения студенистого ядра, протрузии и экструзии межпозвонкового диска; нестабильность позвоночного сегмента; диспластический стеноз позвоночного канала.
Выделение основных форм структурно-функциональных изменений проведено нами в известной мере условно, для четкого представления механизмов их развития на каждом этапе патологического процесса. Все описанные нарушения взаимообусловлены и являются звеньями в цепи диспластически-дистрофического поражения позвоночника при остеохондропатии.
Позвоночный двигательный сегмент — элемент системы позвоночника. Отказ одного из элементов снижает резерв надежности всей системы, т.е. такая система (и, соответственно, все ее подсистемы) находится в состоянии субкомпенсации, или в состоянии потенциального отказа.
Дезадаптация в системе изолированного ПДС включает компенсаторные механизмы в соседних сегментах. Исходное снижение резерва надежности предопределяет активацию патогенетических механизмов с последовательным включением всех рассмотренных выше звеньев патогенеза, что приводит к фактическому отказу и в соседних сегментах — полисегментарному поражению позвоночника с развернутой клинической картиной заболевания.
Клиническая симптоматика остеохондропатии характеризуется болевым синдромом и пространственным нарушением конфигурации позвоночного столба.
Формирование деформации пораженного отдела позвоночника в сагиттальной плоскости обусловлено прежде всего изменением стабилизирующего эффекта мышечно-связочного аппарата в сегментах с нарушенным морфогенезом. В зависимости от адаптивно-компенсаторных возможностей могут сохраняться физиологические изгибы либо формироваться патологический кифоз или, наоборот, выпрямление пораженного отдела позвоночника. Развитие сколиотического искривления, помимо мышечно-связочного дисбаланса (асимметричных миотонических реакций с развитием асимметричной миофиксации сегмента), может быть обусловлено и патогенетическим влиянием сопутствующих диспластических деформаций позвоночного сегмента. Деформация грудного или грудопоясничного отдела позвоночника во фронтальной плоскости может быть связана с эксцентричным положением студенистого ядра, а также с асимметричной деформацией (гипоплазией или гиперплазией) суставных отростков. В основе развития поясничного диспластического сколиоза, кроме того, может лежать односторонняя ассимиляция (сакрализация или люмбализация) переходного пояснично-крестцового позвонка.
Деформация отдельного участка позвоночного столба вызывает адаптивные реакции в системе позвоночника с формированием соответствующих компенсаторных противоискривлений (рис. 7).
Рис. 7. Патогенез остеохондропатии на уровне системы позвоночника (концептуальная модель).
В частности, при кифотической деформации развивается парагиббарный гиперлордоз; выпрямление грудного или грудопоясничного отдела позвоночника приводит к поясничному гиполордозу.
Преобладание саногенетических механизмов — компенсаторное снижение нагрузки, активация трофических систем мышечно-связочного комплекса — препятствует дальнейшему прогрессированию деформации, обусловливает превалирование процессов регенерации и репарации с реадаптацией системы позвоночника и нисходящих подсистем и, в конечном итоге, к выздоровлению.
При неадекватных компенсаторных возможностях происходит прогрессирование патогенетических механизмов, усугубляющих дистрофические и далее деструктивные изменения, а также деформацию системы позвоночника. Развивается тотальное диспластически-деструктивное поражение позвоночного столба — последствия или исходы заболевания.
В тканях позвоночных сегментов дистрофически-деструктивные изменения соответствуют последней стадии метаболических нарушений при остеохондрозе и спондилоартрозе. Экссудативная фаза реактивного воспаления сменяется пролиферативной фазой: замедляются процессы, приводящие к остеопорозу костной ткани тел позвонков, фибротизируются ткани межпозвонкового диска, образуются остеофиты и гиперпластическая деформация суставных отростков, формируется дегенеративное стенозирование позвоночного канала.
В системе пораженного сегмента наступает декомпенсация опорной, двигательной и защитной функций. Это проявляется различными сочетаниями основных клинических синдромов: дискалгии, спондилоартралгии, нестабильности позвоночных сегментов, а также стеноза позвоночного канала (рис. 8).
Рис. 8. Развернутая клиническая картина остеохондропатии: грыжа L4-5 диска, нестабильность L3-4, L4-5 сегментов, увеличение стеноза позвоночного канала на уровне L3-4, L4-5 сегментов при разгибании (а — сгибание, б — разгибание).
На уровне системы позвоночника при гиперлордотической деформации увеличивается нагружение заднего опорного комплекса, что приводит к компенсаторным прогрессирующим гиперпластическим изменениям суставных отростков и дуг позвонков, желтых связок. При этом в качестве наиболее раннего клинического синдрома ожидается гиперпластический спондилоартроз на уровне компенсаторного поясничного противоискривления. Такая ситуация (гиперпластический спондилоартроз в сочетании с поясничным гиперлордозом) существенно повышает риск раннего развития стеноза позвоночного канала. Кроме того, при 8-образных деформациях позвоночника на уровне нижнепоясничных сегментов вследствие избыточных тангенциальных нагрузок вдоль оси дуги позвонка создаются биомеханические условия для развития истмического спондилолиза.
В результате компенсаторного поясничного гиперлордоза формируется передний наклон крестца; чрезмерные нагрузки в межсуставной части дуги нижнепоясничных позвонков приобретают характер дистракции вдоль продольной оси дуги [20], что ведет к истончению и удлинению этого участка позвонка и его возможному стрессовому перелому. В условиях переразгибания нижнепоясничных сегментов вследствие компенсаторного гиперлордоза адаптивная гипертрофия капсульно-связочного аппарата является фактором, противодействующим значительному скользящему смещению позвонка (рис 9, а).
При сглаженности физиологических изгибов позвоночника в области поясничного гиполордоза происходит перегрузка переднего опорного комплекса, что обусловливает адаптивную перестройку в системе «межпозвонковый диск—тело позвонка». Недостаточность компенсаторных возможностей может привести к дезадаптации поясничных сегментов и, в зависимости от пути фактического отказа, к клинической манифестации дискалгического синдрома или синдрома нестабильности. Сопутствующие диспластические изменения переходного пояснично-крестцового позвонка (высокое стояние позвонка, гипоплазия и удлинение дуги, вертикализация крестца, spina bifida) способствуют развитию диспластического элонгационного спондилолиза с последующим скользящим нестабильным смещением позвонка (рис. 9, б).
Рис. 9. Истмический спондилолистез (а) и элонгационный спондилолистез (б) L5 позвонка при остеохондропатии.
Заключение. Остеохондропатия представляет собой диспластический процесс, в основе которого лежит структурная аномалия замыкательных пластинок тел позвонков, изменяющая морфогенез позвоночных сегментов. Постоянное взаимодействие и взаимное влияние биомеханического и метаболического факторов вызывает адаптивную перестройку системы ткани и всех систем восходящего иерархического ряда. Исходное снижение механической прочности и недостаточность компенсаторных механизмов со временем приводят к дезадаптации позвоночного двигательного сегмента и клинической манифестации заболевания. Особенности клинического течения определяются локализацией остеохондропатии, т.е. анатомо-биомеханическими характеристиками пораженного отдела, конфигурацией позвоночника в сагиттальной плоскости, а также вариантами нарушения морфогенеза сегментов.
About the authors
N. A. Korzh
Institute of Pathology of the Spine and Joints. M.I. Sitenko
Email: info@eco-vector.com
Ukraine, Kharkiv
A. M. Prodan
Institute of Pathology of the Spine and Joints. M.I. Sitenko
Email: info@eco-vector.com
Ukraine, Kharkiv
V. A. Kolesnichenko
Institute of Pathology of the Spine and Joints. M.I. Sitenko
Author for correspondence.
Email: info@eco-vector.com
Ukraine, Kharkiv
References
- Битнер М.К. //Актуальные вопросы остеохондроза позвоночника. — Киев, 1991. — С. 5.
- Колесниченко В.А. Остеохондропатия позвоночника. Ранняя диагностика и прогнозирование течения заболевания: Автореф. дис. ... д-ра мед. наук. — Киев, 2001.
- Системы надежности клетки /Под ред. Д.М. Гродзинского. — Киев, 1977.
- Хвисюк Н.И., Маковоз Е.М., Мителева З.М., Волков Е.Б. //Ортопед. травматол. — 1982. — N 10. — С. 48-54.
- Цивьян Я.Л., Бурухин А.А. Патология дегенерирующего межпозвонкового диска. — Новосибирск, 1988.
- Аli R.M., Green D.W., Patel Т.С. //Curr. Opin. Pediatr. — 1999. — Vol. 11, N 2. — P. 70-75.
- Antoniou J., Goudsouzian N.M., Heathfield T.F. et al. //Spine. — 1996. — Vol. 21. — P. 1153-1161.
- Ascani E., Borelli P., la Rossa G. et al. //Le Cifosi. — 1982.— Vol. 5. — P. 181-197.
- Aufdermaur M. //Clin. Orthop. — 1961. — N 154. — P. 166-174.
- Bogduk N. //Med. J. Austral. — 1976. — Vol. 1, N 23. — P. 878-881.
- De Bruto-Marques P.R. //Arch. Neuropsychiat. — 1994. — Vol. 53. — P. 439-442.
- Hascall V.C., Heinegard D. //J. Biol. Chem. — 1974. — Vol. 249. — P. 4242-4249.
- Hutton W.C., Toribatake Y., Elmer W.A. et al. //Spine. — 1998. — Vol. 23, N 23. — P. 2524-2537.
- Ippolito E., Ponseti I.V. //J. Bone Jt Surg. — 1981. — Vol. 63A. — P. 175-182.
- Lyons G., Eisenstein S.M., Sweet M.B.E. //Biochem. Biophus. Acta. — 1981. — Vol. 673, N 4. — P. 443-453.
- Masataro H. //J. Jap. Orthop. Ass. — 1978. — Vol. 52, N 5. — P. 625-639.
- Mathies H., Otte P., Viliaumey J., Dixon A. Klassification der Erkrankungen des Bewegungsapparates. — Switzerland, 1987.
- Muir H. //Aust. N. Z. J. Med. — 1978. — Vol. 8, Suppl. 1. — P. 1-5.
- Muir H. //Sem. Arthritis and Rheum. — 1981. — Vol. 11, N 1, Suppl. 1. — P. 7-10.
- Sairyo K., Goel V.K., Grober L.J. et al. //Spine. — 1998. — Vol. 23. — P. 1442-1446.
- Tertti M., Paajanen H., Laato M. et al. //Ibid. — 1991. — Vol. 16. — P. 629-634.
Supplementary files











