The use of artificial correction of movements and orthotics in the complex conservative treatment of patients with osteochondrosis of the lumbosacral spine
- Authors: Skoblin A.A.1
-
Affiliations:
- Federal Scientific and Practical Center for Medical and Social Expertise and Rehabilitation of the Disabled
- Issue: Vol 10, No 2 (2003)
- Pages: 41-47
- Section: Original study articles
- Submitted: 20.10.2020
- Published: 15.06.2003
- URL: https://journals.eco-vector.com/0869-8678/article/view/48166
- DOI: https://doi.org/10.17816/vto200310241-47
- ID: 48166
Cite item
Full Text
Abstract
Examination and treatment results of 925 patients with lumbar-sacral ostechondrosis are analyzed. Two groups of patients were defined: patients with mainly chronic recurrent radiculitis and patients with radiculoneuritis. Complex approach to the treatment included pain relief, orthotics and artificial movement correction using muscular electrostimulation at walking. Studies using biomechanic and electrophysiologic methods showed high efficacy of that medical rehabilitation complex. Orthotics provided fixation and unloading of the spine, promoted elimination of pain syndrome. Use of corset and artificial movement correction resulted in pain relief, normalization of biomechanic and innervative gait structure, achievement of firm long remission.
Keywords
Full Text
Остеохондрозом позвоночника страдают до 80% населения трудоспособного возраста, а до 10% больных становятся инвалидами [4]. Наиболее частой патологией, вызывающей боли в спине, являются дегенеративные изменения межпозвонкового диска и связанных с ним апофизальных сочленений [5], которые в свою очередь могут быть обусловлены возрастными изменениями продукции протеогликанов [7]. Чаще всего поражается пояснично- крестцовый отдел позвоночника, поскольку он несет наибольшие нагрузки в процессе жизнедеятельности человека. Традиционные лечебные мероприятия, направленные на купирование болевого синдрома, не обеспечивают восстановления нормального двигательного стереотипа и функции естественного «мышечного корсета» как основного компенсаторного фактора [6]. В последние десятилетия начали широко использоваться средства ортезирования, однако их применение ведет к значительному ограничению движений в пояснично- крестцовом отделе и ослаблению паравертебральных мышц [4]. Поиск новых средств лечения, позволяющих добиться не только быстрого купирования болевого синдрома, но и максимального восстановления двигательных функций позвоночника, остается актуальной задачей.
Материал и методы
В клинике ФЦЭРИ находились на обследовании и лечении 925 пациентов, страдающих остеохондрозом пояснично-крестцового отдела позвоночника. Большинство из них (56%) обратились к нам после длительного (в течение нескольких месяцев) лечения в других медицинских учреждениях.
При анализе и сопоставлении данных клинического обследования и магнитно-резонансной томографии были выделены две основные группы больных: 1-я — с хроническим пояснично-крестцовым радикулитом, 2-я — с пояснично-крестцовым радикулоневритом. Для 1-й группы характерны длительный анамнез, боли по типу люмбалгии, умеренное ограничение движений туловища, выраженная гипотрофия мышц поясничной области и легкая сглаженность поясничного лордоза. На МРТ у таких пациентов выявлялись дистрофические изменения в дисках и небольшие (до 3 мм) одиночные грыжи дисков. Для 2-й группы характерны сравнительно короткий анамнез, интенсивные острые боли в пояснице и по ходу седалищного нерва — люмбоишиалгия, резкое ограничение движений туловища, сглаженность поясничного лордоза, анталгический сколиоз, напряжение мышц поясничной области на стороне поражения и выраженные симптомы натяжения нервных корешков. На МРТ у этих больных обнаруживались грыжи дисков на нескольких уровнях от L2 до S1 размером более 3 мм. Корректность такого подразделения больных с остеохондрозом пояснично- крестцового отдела позвоночника подтвердилась при исследовании биомеханической и иннерваци- онной структуры их ходьбы с помощью комплекса методик, разработанных во ФЦЭРИ.
Всем больным на начальном этапе проводили комплекс лечебных мероприятий, направленных на борьбу с болевым синдромом, купирование корешковой симптоматики, нормализацию трофики, обеспечение адекватной разгрузки поясничного отдела позвоночника (ортезирование). В остром периоде выполняли эпидуральные блокады, в подостром — паравертебральные блокады различными анестетиками в сочетании с кеналогом. Из медикаментозных средств применяли нестероидные противовоспалительные препараты в общепринятых дозировках в остром периоде, вводили витамин В12 или его производные (1000 мкг и более), в подостром периоде добавляли витамины В1, В6 (по 2- 3 мл через день) [3]. Из физиотерапевтических методик чаще всего в подостром периоде использовали магнитотерапию, электрофорез лекарственных веществ, амплипульс, реже — иглорефлексотерапию, лазеротерапию. Мануальную терапию назначали строго по показаниям.
Непосредственно после купирования или существенного уменьшения болевого синдрома приступали к восстановительному лечению, направленному на создание мышечного корсета, нормализацию функции мышц туловища и конечностей, коррекцию нарушенного стереотипа ходьбы. Основу лечения составлял метод искусственной коррекции движений (ИКД) посредством электростимуляции мышц (ЭСМ) в ходьбе с включением в работу пояснично-крестцовых, ромбовидных, ягодичных мышц, в ряде случаев икроножной и передней большеберцовой мышцы. После нормализации работы мышц туловища и конечностей всем больным назначали массаж и лечебную гимнастику.
Ортезирование проводили параллельно с другими лечебными мероприятиями. При применении корсета создаются благоприятные условия для активизации пациента, так как жесткий корсет обеспечивает надежную фиксацию и частичную разгрузку пояснично-крестцового отдела позвоночника. Оптимальной конструкцией для большинства больных с рассматриваемой патологией являлся корсет из слоистого (листового) пластика со смягченным вкладышем из вспененного полиэтилена, разработанный в нашем центре.
У больных 1-й группы с целью разгрузки позвоночника чаще всего применяли ортопедические пояса или текстильные корсеты. Постоянное пользование корсетом особенно необходимо пациентам 2-й группы, так как при проведении сеансов ИКД посредством ЭСМ в ходьбе возникает дополнительная нагрузка на позвоночник. В остром периоде болевого синдрома использовали жесткие фиксирующе-разгружающие корсеты из слоистого (листового) пластика, реже — корсеты каркасного типа. При наличии выраженного анталгического сколиоза проводили этапное ортезирование по мере уменьшения деформации. После купирования болей и нормализации локомоции ортезы использовали профилактически при физических нагрузках.
Применение метода ИКД посредством ЭСМ в ходьбе следует считать наиболее целесообразным, так как ходьба человека является самым распространенным и физиологическим актом при сохранении вертикальной позы. Основанием для проведения ЭСМ в ходьбе у больных остеохондрозом пояснично-крестцового отдела позвоночника служит наличие относительного дефицита функции мышц туловища и пораженной конечности, обусловленного длительно существующим болевым синдромом, ослаблением мышц спины, тазового пояса и нижней конечности, а в ряде случаев деформациями позвоночного столба вследствие корешкового синдрома (анталгический сколиоз, сглаженность или усиление поясничного лордоза). В большей степени у больных остеохондрозом пояснично-крестцового отдела позвоночника страдает функция крестцово-остистых, ягодичной и икроножной мышц на стороне пораженной конечности. Дефицит функции крестцово-остистых мышц проявляется существенным уменьшением объема вращательных движений таза относительно фронтальной и горизонтальной плоскости. Электростимуляция этих мышц имеет целью формирование мышечного корсета, нормализацию работы мышц, а также улучшение кровообращения в области поясничного отдела позвоночника. Дефицит функции ромбовидных и трапециевидных мышц проявляется при ходьбе уменьшением раскачивания туловища относительно фронтальной и горизонтальной плоскости.
Показанием к электростимуляции является снижение силы и электрической активности мышц, ведущее к нарушению их функции. Относительным противопоказанием служат отсутствие разгрузки пояснично-крестцового отдела позвоночника (корсета) при выраженном корешковом болевом синдроме.
Всем больным проводили многоканальную ЭСМ в ходьбе с помощью восьмиканального корректора движений, разработанного во ФЦЭРИ [1, 2]. Основной являлась коррекция движений тазового пояса путем воздействия на крестцово-остистые и ягодичные мышцы. По показаниям назначали дополнительную коррекцию: у больных 1-й группы она состояла в стимуляции ромбовидных и трапециевидных мышц с обеих сторон, а у пациентов 2-й группы с ярко выраженной корешковой симптоматикой (при нарушении функции мышц пораженной конечности) — в стимуляции икроножной и передней большеберцовой мышц. Сочетание основной и дополнительной коррекции являлось главным механизмом воздействия, направленным на улучшение функции собственного мышечного корсета, нормализацию движений тазового и плечевого пояса, восстановление работы мышц туловища, нижних конечностей и биомеханики ходьбы.
Временная программа электростимуляции мышц туловища и конечностей в ходьбе основывалась на принципе избирательного усиления естественной программы возбуждения и сокращения мышц спины и нижних конечностей в течение локомоторного цикла. Фазы искусственного возбуждения мышц совпадали с фазами их естественного возбуждения и сокращения, поскольку только при этом условии возможна коррекция и нормализация работы мышц.
Для ЭСМ использовали поверхностные электроды из токопроводящей резины или углеродистой ткани прямоугольной формы с соотношением сторон 1:4. Режимы ЭСМ в ходьбе определялись тяжестью поражения и тесно связанными с ней основными характеристиками локомоции: темпом ходьбы и длиной шага. Длительность фазы стимуляции не превышала половины длительности цикла ходьбы. Несмотря на значительную продолжительность стимуляции, большинство больных практически не утомляются при ходьбе, так как электростимуляция вызывает усиление сокращения мышц, обычно не выходящее за пределы среднего. Временные параметры режима ЭСМ подбирали с учетом выраженности болевого синдрома, особенностей передвижения больного, состояния его сердечно-сосудистой системы.
У пациентов 1-й группы — с синдромом люмбалгии курс ИКД начинали со 2-3-го дня после поступления в клинику. При неполном купировании болевого синдрома во время сеансов ИКД использовали текстильный корсет. Таким больным, как правило, проводили шестиканальную стимуляцию ягодичных, крестцово-остистых и ромбовидных мышц симметрично с двух сторон. Интенсивность стимулирующего сигнала постепенно, в течение 5 сеансов, доводили до появления хорошо видимого сокращения паравертебральных мышц и наклона туловища во фронтальной плоскости на 10-15°. За сеанс больной проходил в произвольном темпе в среднем 2500 м. Общий курс коррекции ходьбы состоял из 20 сеансов. Повторный курс лечения рекомендовали не ранее чем через 9-12 мес.
У больных 2-й группы — с выраженной корешковой симптоматикой, обусловленной грыжами межпозвонковых дисков, ИКД начинали только после изготовления индивидуального корсета и частичного (или полного) купирования болевого синдрома путем проведения паравертебральных блокад поясничного сплетения. В наиболее тяжелых случаях во время первых 5-7 сеансов пациенты использовали при ходьбе костыли или трости. Проводили восьмиканальную стимуляцию ягодичных, крестцово-остистых и ромбовидных мышц симметрично с двух сторон, а также икроножной и передней большеберцовой мышцы на стороне поражения. В течение первых 3-5 сеансов дистанцию ходьбы постепенно увеличивали с 500 до 1500- 2000 м. После 5-7 сеансов болевой синдром в большинстве случаев купировался, но стимуляцию мышц продолжали проводить, не снимая корсета, особенно если сохранялся анталгический сколиоз. Интенсивность сокращений паравертебральных мышц постепенно возрастала от слегка определяемых визуально до полноценных сокращений, сопровождающихся движением туловища во фронтальной плоскости на 5-10°. Общий курс ЭСМ в ходьбе у больных с синдромом люмбоишиалгии состоял из 25-30 ежедневных сеансов — в зависимости от выраженности корешковой симптоматики. Повторный курс коррекции движений таким больным рекомендовали через 6-8 мес.
Результаты и обсуждение
Все больные положительно оценивали проведенный курс консервативной терапии. Исключение составил один пациент 2-й группы, у которого купировать болевой синдром не удалось, в связи с чем он был переведен в нейрохирургическое отделение для оперативного лечения. Причиной неудачи явилась грыжа, пролабирующая в просвет спинномозгового канала на 9 мм, с массивным спаечным процессом. У всех остальных больных был купирован вертебральный и в той или иной степени — экстравертебральный синдром. В большинстве случаев нормализована работа мышц туловища и конечностей, создан мышечный корсет, достигнута стойкая, равномерная, физиологичная миофиксации поясничного отдела позвоночника.
При оценке эффекта лечения учитывали такие факторы, как увеличение объема движений туловища, уменьшение гипотрофии мышц поясницы и пораженной конечности, купирование корешковой симптоматики — устранение симптомов натяжения, восстановление сухожильных рефлексов и чувствительности.
В результате проведенного лечения у всех пациентов увеличилась амплитуда движений таза и плечевого пояса, у 70% больных практически полностью нормализовался объем движений в пояснично-крестцовом отделе позвоночника (сгибание, разгибание, наклоны в стороны, ротация). Значительно уменьшилась или исчезла гипотрофия мышц поясничной области и конечностей. У 74% больных восстановились сухожильные рефлексы и работа паретичных мышц конечностей. Труднее происходило восстановление чувствительности: в 60% случаев сохранились зоны ее нарушения, выявленные до проведения курса лечения. Существенно улучшилось функциональное состояние паравертебральных мягких тканей. Повысился тургор кожных покровов, уменьшилась толщина подкожно-жирового слоя, повысился тонус крестцово-остистых и ромбовидных мышц. В подавляющем большинстве случаев удалось ликвидировать анталгический сколиоз (85%), а также восстановить физиологические изгибы позвоночника в сагиттальной плоскости, особенно поясничный лордоз.
Нормализация иннервационной и биомеханической структуры ходьбы подтверждена инструментальными исследованиями локомоции. У больных 1-й группы до начала лечения регистрировался относительно низкий уровень экстремумов вертикальной и продольной составляющих опорных реакций симметрично с обеих сторон. После курса лечения экстремальные значения вертикальной составляющей увеличились на 5-17%, минимум реакции снизился на 14% по сравнению с исходными показателями (рис. 1, а). Величина продольной составляющей опорных реакций в фазу переднего толчка возросла на 13—26%, в фазу заднего толчка — на 38—88%. Такие изменения динамической структуры ходьбы у пациентов данной группы были обусловлены несколькими факторами, среди которых следует отметить купирование болевого синдрома, увеличение длины шага и исчезновение эффекта «щажения» позвоночника. Улучшение динамики ходьбы и нормализация функционального состояния мышц нижних конечностей сопровождались последующей перестройкой иннервационной структуры ходьбы.
У пациентов 2-й группы при поступлении в клинику динамографические показатели пораженной конечности свидетельствовали о некотором ослаблении ее опорной функции: отмечалось уменьшение экстремумов переднего и заднего толчка с одновременным увеличением минимума вертикальной составляющей опорных реакций. После завершения курса лечения амплитудные значения вертикальной составляющей опорных реакций пораженной конечности в фазу переднего и заднего толчка возросли на 14 и 11% соответственно, минимум реакции снизился на 12%. Величина продольной составляющей в фазу переднего и заднего толчка увеличилась на 26% (рис. 1, б).
Рис. 1. Графики опорных реакций при ходьбе (в % от веса тела) больных 1-й (а) и 2-й (б) группы. Пунктирные линии — до лечения, сплошные линии — после курса лечения; Rу — поперечная, Rх — продольная, Rz— вертикальная составляющая опорных реакций; Р — подограмма; С — линия веса тела.
Положительные изменения динамографических показателей ходьбы у больных с выраженной односторонней корешковой симптоматикой, вероятно, также были обусловлены купированием болевого синдрома, увеличением длины шага, повышением опороспособности пораженной конечности, связанным с перестройкой деятельности ее мышц во время двигательного акта.
Изменения динамики ходьбы после курса лечения у больных с остеохондрозом пояснично-крестцового отдела позвоночника оказывали влияние на движения таза и позвоночника. Известно, что нарушение силового взаимодействия ног с опорой, ослабление функции мышц, непосредственно регулирующих движения таза и позвоночника, приводит к расстройству последних.
В результате повышения опороспособности нижних конечностей у больных 1-й группы увеличился объем движений таза и поясничного отдела позвоночника во всех плоскостях (табл. 1). Во фронтальной плоскости амплитуда движений возросла на 21%. В сагиттальной плоскости объем движений таза и позвоночника увеличился в 1,5-4 раза и практически полностью совпадал с показателями, полученными при исследовании ходьбы здоровых людей. В горизонтальной плоскости прирост амплитуды движений таза составил в среднем 21%. Движения плечевого пояса во фронтальной и горизонтальной плоскости изменились несущественно, амплитуда движений в сагиттальной плоскости несколько увеличилась (см. табл. 1). Вероятно, это было связано с нормализацией работы ромбовидных и трапециевидных мышц, непосредственно регулирующих движения плечевого пояса и верхнегрудного отдела позвоночника.
Во 2-й группе больных — с преимущественным поражением одной конечности картина была несколько иной (табл. 2). Здесь более существенно возросла амплитуда движений таза во фронтальной плоскости (в среднем на 49%), в сагиттальной плоскости значительно увеличился первый наклон туловища вперед, прирост амплитуды движений в горизонтальной плоскости составил в среднем 37%. По-видимому, такие изменения движений таза и поясничного отдела позвоночника были обусловлены полным купированием болевого синдрома, увеличением длины шага и улучшением динамических параметров ходьбы.
Табл. 1. Экстремальные значения движений тазового и плечевого пояса(в градусах) у больных 1-й группы до и после курса ИКД (М±т, п=75)
Движение | Плоскость | Тазовый пояс | Плечевой пояс | ||||||
до лечения | после лечения | Р | ДО лечения | после лечения | Р | ||||
абс. | % от исх. | абс. | % от исх. | ||||||
Поворот влево | Фронтальная | 4,3±1,8 | 4,9±1,5 | 114 | 0,8-0,9 | 3,4±0,2 | 2,9±0,8 | 85 | >0,9 |
Поворот вправо | 2,7±0,8 | 3,7±1,2 | 137 | >0,995 | 2,5±0,8 | 3,4±1,1 | 136 | >0,99 | |
Первый наклон туловища вперед |
| 0,6±0,2 | 1,5±0,4 | 250 | >0,999 | 1,9±0,6 | 1,9+0,6 | 100 | 0 |
Первый наклон туловища назад | Сагиттальная | 1,5±0,4 | 1,1±0,3 | 73 | >0,998 | 0,8±0,2 | 1,6±0,5 | 200 | >0,999 |
Второй наклон туловища вперед |
| 0,6±0,2 | 2,6±0,8 | 433 | >0,999 | 2,1±0,7 | 1,5±0,4 | 71 | >0,995 |
Второй наклон туловища назад |
| 1,3±0,3 | 2,0±0,6 | 154 | >0,999 | 1,5±0,4 | 1,9±0,6 | 127 | >0,95 |
Поворот по часовой стрелке | Горизонтальная | 4,3±1,0 | 4,9±1,6 | 114 | 0,8-0,9 | 3,1±1,0 | 4,3±1,3 | 139 | >0,995 |
Поворот против часовой стрелки | 2,9±1,0 | 3,8±1,3 | 131 | >0,95 | 5,4±1,5 | 4,2±1,4 | 78 | >0,98 | |
Табл. 2. Экстремальные значения движений тазового и плечевого пояса (в градусах) у больных 2-й группы до и после курса ИКД (М±т, п=63)
|
|
| Тазовый пояс |
|
| Плечевой пояс |
| ||
Движение | Плоскость | до | после лечения |
| до | после лечения |
| ||
|
| лечения | абс. | % от исх. | Р | лечения | абс. | % от исх. | Р |
Поворот влево | Фронтальная | 4,1 ± 1,3 | 5,6±1,8 | 137 | >0,98 | 3,1±1,0 | 3,6±1,2 | 116 | 0,7-0,8 |
Поворот вправо | 3,3±1,0 | 5,4±1,6 | 164 | >0,999 | 3,2±1,0 | 3,0±1,0 | 94 | 0,3-0,4 | |
Первый наклон туловища вперед |
| 1,3±0,2 | 2,4±0,2 | 185 | >0,999 | 2,5±0,7 | 2,6±0,8 | 104 | 0,2-0,3 |
Первый наклон туловища назад | Сагиттальная | 0,9±0,3 | 1,0±0,3 | 111 | 0,6-0,7 | 1,4±0,3 | 2,0±0,6 | 143 | >0,995 |
Второй наклон туловища вперед |
| 2,9±0,4 | 3,8±0,4 | 131 | >0,99 | 2,3±0,5 | 3,2±1,0 | 139 | >0,99 |
Второй наклон туловища назад |
| 2,2±0,6 | 1,1±0,6 | 50 | >0,999 | 1,9±0,4 | 1,8±0,5 | 95 | 0,4-0,5 |
Поворот по часовой стрелке |
| 5,8±1,0 | 7,4±2,3 | 128 | >0,95 | 2,7±0,7 | 3,1±1,0 | 115 | 0,7-0,8 |
Поворот против часовой стрелки | Горизонтальная | 4,3±1,0 | 6,5±2,1 | 151 | >0,998 | 3,7±1,0 | 4,5±1,4 | 122 | >0,9 |
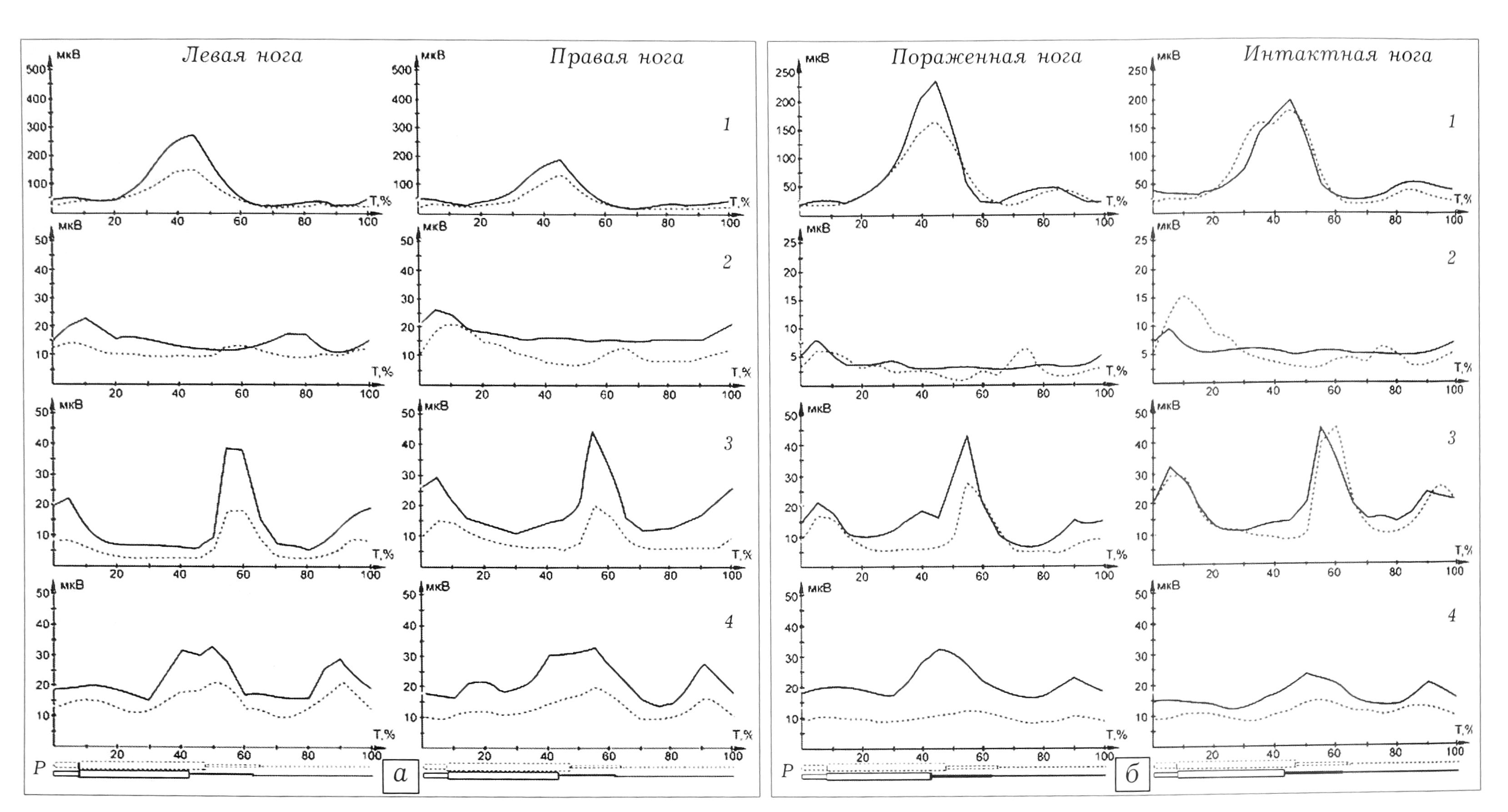
Положительные изменения биомеханической структуры ходьбы были неразрывно связаны с перестройкой деятельности мышц нижних конечностей и паравертебральных мышц под влиянием их стимуляционной тренировки в ходьбе. При анализе графиков распределения электрической активности исследованных мышц у больных 1-й группы после курса лечения выявлено увеличение максимумов активности и средней активности икроножных, ягодичных, крестцово-остистых и ромбовидных мышц (рис. 2, а). Средняя
активность икроножных и ягодичных мышц за шаг возросла примерно в 1,5 раза, крестцовоостистых мышц — в 2 раза, ромбовидных — в 1,45-1,7 раза. При этом максимумы активности некоторых мышц, в частности икроножной и крестцово-остистой, увеличились в большей степени, чем их средняя активность за шаг. Это указывает на то, что под влиянием коррекции движений посредством многоканальной ЭСМ в ходьбе происходит перестройка деятельности всех стимулируемых мышц — повышаются как их активность в течение всего шага, так и максимумы активности. Такие благоприятные изменения функционирования мышц у больных 1-й группы приводили к улучшению динамических параметров ходьбы, т.е. к улучшению взаимодействия нижних конечностей с опорой.
Это в свою очередь обусловливало раскрепощение движений таза и позвоночника. Следствием перестройки деятельности мышц и улучшения биомеханической структуры ходьбы являлась нормализация двигательного стереотипа.
У больных 2-й группы после курса ИКД также отмечалась благоприятная перестройка функции мышц в течение двигательного цикла. В первую очередь следует отметить общую тенденцию к более симметричному функционированию как паравертебральных мышц, так и мышц нижних конечностей (рис. 2, б).
Рис. 2. Графики распределения электрической активности мышц за шаг у больных 1-й (а) и 2-й (б) группы. Пунктирные линии — до лечения, сплошные линии — после курса лечения; Р — подограмма; 1 — икроножная, 2 — большая ягодичная, 3 — крестцово-остистая, 4 — ромбовидная мышцы.
Существенно повышалась активность икроножной мышцы на пораженной конечности, преимущественно в фазу заднего толчка (на 43%). Это подтверждает данные динамографических исследований — усиление вертикальной и продольной составляющих опорных реакций в фазу заднего толчка. На интактной конечности активность икроножной мышцы существенно не менялась. Активность ягодичной мышцы на пораженной стороне также возрастала, преимущественно в фазу переднего толчка, при этом максимум активности увеличивался на 27%. Вероятно, именно такая перестройка деятельности ягодичной мышцы приводит к росту вертикальной и продольной составляющих опорных реакций в фазу переднего толчка. На интактной конечности в функционировании ягодичной мышцы выявлялась противоположная тенденция: средний уровень активности оставался неизменным, а максимальные значения активности в течение цикла ходьбы снижались на 35%.
Активность крестцово-остистых мышц — ее средний уровень и максимальные значения — на пораженной стороне повышалась примерно в 1,5 раза, тогда как на интактной стороне практически не изменялась. В данном случае также имеется тенденция к уравниванию активности крестцовоостистых мышц под влиянием курса ЭСМ в ходьбе. Изменения функционирования крестцово-остистых мышц в течение двигательного цикла непосредственным образом связаны с движениями таза и поясничного отдела позвоночника. Увеличение амплитуды движений таза, особенно в сторону пораженной конечности, вызывает активизацию работы крестцово-остистой мышцы на одноименной стороне. Увеличение объема движений плечевого пояса и верхнегрудного отдела позвоночника определяет активизацию работы ромбовидных мышц.
Цепь взаимосвязанных биомеханических событий при восстановлении ходьбы у больных схематически представлена на с. 47.
Схема процесса восстановления ходьбы у больных остеохондрозом пояснично-крестцового отдела позвоночника при комплексном консервативном лечении с использованием ИКД (а — 1-я группа; б — 2-я группа)
Таким образом, под влиянием курса ИКД происходит существенная перестройка биомеханической и иннервационной структуры ходьбы больных, обусловленная улучшением функционирования мышц, повышением опороспособности конечностей и нормализацией движений таза и позвоночника.
Полученные данные находятся в полном соответствии с результатами клинического обследования больных и подтверждают высокую эффективность комплексного метода лечения, основным компонентом которого является ИКД посредством многоканальной фазовой ЭСМ в ходьбе. Совместное применение метода ИКД и ортезирования, как показывают наши исследования, оптимально. Ортезирование создает фиксацию и разгрузку позвоночника, способствует уменьшению болевого синдрома и препятствует его рецидивам, снижает нагрузку на позвоночный двигательный сегмент при проведении ИКД. Вместе с тем корсет, особенно при длительном применении, в определенной мере ослабляет работу паравертебральных мышц, тогда как ИКД способствует нормализации их функции.
Изучение отдаленных результатов лечения (в сроки от 3 до 5 лет) по данным клинического, биомеханического и физиологического обследования больных подтвердило эффективность предложенного комплекса медицинской реабилитации при пояснично-крестцовом остеохондрозе. У всех больных биомеханическая и иннервационная структура ходьбы соответствовала норме. Ремиссия после лечения была достаточно длительной (как правило, не менее 1 года), редко возникавшие рецидивы отличались кратковременностью и не влияли на качество жизни пациентов.
About the authors
A. A. Skoblin
Federal Scientific and Practical Center for Medical and Social Expertise and Rehabilitation of the Disabled
Author for correspondence.
Email: info@eco-vector.com
Russian Federation, Moscow
References
- Витензон А.С. Закономерности нормальной и патологической ходьбы человека. — М., 1999. — С. 123— 124.
- Витензон А.С., Буровой А.М., Скоблин А.А. //Человек и его здоровье: Российский национальный конгресс, 7-й. — СПб, 2000. — С. 182.
- Гнездилов А.В. Диагностика и лечение болевых синдромов: Дис.... д-ра мед. наук. — М., 1999. — С. 128-134.
- Гончаров Н.Г. Медико-социальная экспертиза и реабилитация при болезнях костно-мышечной системы. — М., 2000. — С. 6-9.
- Хвисюк Н.И., Чикунова А.С., Завеля М.И. //Остеохондроз позвоночника: Материалы советско-американского симпозиума. — М., 1992. — С. 3—9.
- Addison R. //Int. Symposium of the pain, 7th. — Istambul, 1996. — P. 205.
- Borenstein D. //Curr. Opin. Rheumatol. — 1996. — Vol. 8. — P. 124-129.
Supplementary files





