Comparative characteristics of cervical sagittal balance parameters and atlantoaxial instability criteria in normal and Down syndrome children
- 作者: Kuleshov A.A.1, Nazarenko A.G.1, Sharov V.A.1, Vetrile M.S.1, Ovsyankin A.V.2, Kuzminova E.S.2, Lisyansky I.N.1, Makarov S.N.1, Strunina U.V.3
-
隶属关系:
- Priorov National Medical Research Center of Traumatology and Orthopedics
- Federal Center of Traumatology, Orthopedics and Joint Replacement
- Burdenko National Scientific and Practical Center for Neurosurgery
- 期: 卷 31, 编号 1 (2024)
- 页面: 55-66
- 栏目: Original study articles
- ##submission.dateSubmitted##: 05.12.2023
- ##submission.dateAccepted##: 21.12.2023
- ##submission.datePublished##: 25.04.2024
- URL: https://journals.eco-vector.com/0869-8678/article/view/624245
- DOI: https://doi.org/10.17816/vto624245
- ID: 624245
如何引用文章
详细
BACKGROUND: Sagittal balance of the spine has received considerable development in recent years. However, most studies focused on the assessment of vertebral–pelvic parameters. The cervical spine has long received insufficient attention from researchers, but this trend has been changing. The study of cervical sagittal balance in children with Down syndrome is beneficial in approaching the preconditions of atlantoaxial instability.
AIM: To perform a comparative analysis of cervical sagittal balance parameters and atlantoaxial instability criteria in normal and Down syndrome children.
MATERIALS AND METHODS: Radiographs of the cervical spine in the neutral position in lateral projection and postural radiographs of 110 pediatric patients were analyzed retrospectively. The patients were divided into two groups: group 1 (normal), 60 children aged 4–17 years without spinal pathology, and group 2 (Down syndrome), 50 children aged 4–17 years with Down syndrome. The parameters of cervical sagittal balance (Oc-C2, Oc-C7, C1-C2, C2-C7, C2-C7H, C7S, Th1S, TIA, NT) and criteria for atlantoaxial instability (Nakamura angle, ADI, SAC-C1, SAC-C1/SAC-C4) were obtained, and data was statistically analyzed.
RESULTS: Significant differences in the parameters C7S, Th1S, and TIA increased in children with Down syndrome. These parameters are involved in cervical lordosis; however, no significant differences in cervical lordosis angles were found. Furthermore, significant differences were noted in the criteria of atlantoaxial instability ADI, SAC-C1, and SAC-C1/SAC-C4 toward their decreasing in children with Down syndrome.
CONCLUSION: In patients with Down syndrome, the indices of cervical lordosis are statistically greater than those in normal children. Moreover, the parameters of cervical lordosis in patients with Down syndrome do not differ from those in normal children. Therefore, during flexion, subcompensation of the cervical spine is observed in children with Down syndrome. Given the statistically smaller indicators ADI, SAC-C1, SAC-C1/SAC-C4, low neck muscle tone, and ligamentous hypermobility, these abnormalities can be considered as congenital predisposition factors for atlantoaxial instability in children with Down syndrome.
全文:
BACKGROUND
The concept of “spinal balance,” formulated by J. Dubousset [1], formed the basis of the sagittal balance of the spine, which, in turn, has been significantly developed in recent years [2]. This concept is confirmed by an ever-increasing number of scientific papers that describe the relationship of various spinopelvic parameters with patient complaints and treatment approaches. However, most of the authors of these studies focus on the thoracic and lumbar spine and, accordingly, their relationship with the pelvis [3].
For a long time, the cervical spine in the concept of sagittal balance of the spine received insufficient attention, primarily because of its distance from the pelvis and significant mobility [3]. Despite this, the number of publications related in one way or another to cervical sagittal balance has been steadily growing. Studies have described the main angular and numerical parameters of the cervical sagittal balance and conditional norm and search for a methodology for measuring and assessing these parameters. However, most studies are based on measurements performed in adults [4–6]. However, very few studies have described cervical sagittal balance in pediatric patients and do not follow a clear unified methodology.
D.A. Glukhov and A.Yu. Mushkin et al. (2022) contributed significantly to solving this problem. They performed a statistical analysis of data obtained when calculating the main parameters of the cervical sagittal balance in 73 children without spinal pathology based on the results of postural radiographs. As a result, they established age norms for the main indicators of cervical sagittal balance for children, their sex differences, and differences from the normal parameters of the adults [3].
Moreover, children with Down syndrome are predisposed to various disorders of the musculoskeletal system [7, 8], and its predisposing factors include hypermobility of the ligamentous apparatus, decreased bone mineral density, and congenital bone anomalies [9, 10]. Up to a third of such patients have one or another cervical spine pathology [11]. Our study confirmed this finding based on the results of a screening examination of patients with Down syndrome for the presence of cervical spine pathology [12].
These findings suggest that cervical sagittal balance parameters in children with Down syndrome may be statistically different from the normal values in children. Despite this, no studies have presented the parameters of cervical sagittal balance in children with Down syndrome, which motivated us to conduct this study.
This study aimed to conduct a comparative analysis of the parameters of cervical sagittal balance and criteria for atlantoaxial instability in healthy children and those with Down syndrome.
MATERIALS AND METHODS
Study design
A multicenter cohort retrospective comparative study was performed.
Eligibility criteria
Radiographs of the cervical spine in a neutral position in a lateral view and postural radiographs of 110 pediatric patients were analyzed. Radiographs taken in an upright position, with the head in a neutral position, were selected. The selected radiographs capture the skull base, entire cervical spine, and upper thoracic spine with the manubrium of the sternum. The patients were distributed into two groups.
Group 1 (normal) included 60 patients aged 4–17 years. The average age was 11 (7.0–14.0) years. There were 26 boys and 34 girls. By age, there were 17 children aged 4–7, 19 aged 8–11, and 24 aged 12–17 years. This group included patients who applied for an outpatient appointment at the Federal Center for Traumatology, Orthopedics and Endoprosthetics of the Russian Ministry of Health (Smolensk) with complaints of pain in the back, cervical spine, or impaired posture. To rule out pathology of the musculoskeletal system, these patients underwent postural radiographs.
The inclusion were as follows:
- Age 4–17 years
- Able to maintain independently an upright posture
- Successful performance of postural radiographs of the spine
- Absence of musculoskeletal pathologies according to the results of postural radiographs of the spine in two views.
The exclusion criteria were as follows:
- Age <4 years or >17 years
- Musculoskeletal pathology
- Any genetic syndrome or congenital disease associated with connective tissue dysplasia.
Group 2 (Down syndrome) included 50 patients with Down syndrome aged 4–17 years. The average age was 9 (7.0–12.0) years. There were 24 boys and 26 girls. By age, there were 16 children aged 4–7, 18 aged 8–11, and 16 aged 12–17 years. This group included patients with Down syndrome who underwent a screening examination for the presence of cervical spine pathologies at the N.N. Priorov National Medical Research Center of Traumatology and Orthopedics of the Ministry of Health of Russia (Moscow).
The inclusion criteria were as follows:
- Genetically confirmed Down syndrome (any of the forms)
- Age 4–17 years
- Ability to maintain independently an upright posture
- Successful performance of functional radiographs of the cervical spine in the lateral view
- Absence of cervical spine pathologies according to the functional radiographs of the cervical spine in the lateral view.
The exclusion criteria were as follows:
- Age <4 or >17 years
- Cervical spine pathologies or spinal deformities
- Presence of genetic syndromes other than Down syndrome, or nonsyndromic ones.
Assessment of target indicators
Based on X-ray data, the angular parameters of the cervical sagittal balance, most frequently mentioned in the literature, assessed by the Cobb method (Oc–C2, Oc–C7, C1–C2, C2–C7, C2–C7H, C7S, Th1S, TIA, and NT), were calculated [3, 5]. The method of calculating these parameters is presented in Fig. 1.
Fig. 1. a, b — technique for measuring cervical sagittal balance parameters.
The parameters for atlantoaxial instability assessed in the sagittal plane (Nakamura angle, ADI, SAC–C1, and SAC–C1/ SAC–C4) were also calculated [13, 14]. The methodology for calculating the criteria is presented in Fig. 2. Table 1 presents the description of the parameters and criteria.
Fig. 2. Methodology for measuring atlantoaxial instability criteria: a — Nakamura angle, b — SAC-C1, SAC-C1/SAC-C4, ADI.
Table 1. Cervical sagittal balance parameters and criteria for atlantoaxial instability
Parameter | Designation | Method of assessment |
High cervical angle | Oc–C2 | Angle between the McRae line and the line tangent to the inferior endplate of C2 |
Common cervical angle | Oc–C7 | Angle between the McRae line and the line tangent to the inferior endplate of C7 |
Atlantoaxial angle | C1–C2 | Angle between a line parallel to the inferior surface of C1 and tangent to the inferior endplate of C2 |
Low cervical curvature | C2–C7 | Angle formed by the intersection of the tangents to the lower endplates of C2 and C7 |
Harrison’s angle | C2–C7H | Angle formed by a line parallel to the posterior surface of C2 and a line parallel to the posterior surface of C7 |
C7 slope | C7S | Angle between the horizontal line and superior endplate of C7 |
Th1 slope | Th1S | Angle between the horizontal and superior endplate of Th1 |
Thoracic inlet angle | TIA | Angle between the line perpendicular to the middle of the superior endplate of Th1 and the line connecting this point and the superior point of the sternum |
Neck tilt | NT | Angle between the vertical line and the line between the apex of the sternum and the middle of the cranial endplate of Th1 |
Nakamura angle | Nakamura | Angle formed by a perpendicular line drawn with respect to the tangent line of the posterior surface of C2 and the line connecting the central sections of the anterior and posterior arches of C1 |
Anterior atlantodental interval | ADI | Distance, estimated in millimeters, from the posterior surface of the anterior arch of the C1 vertebra to the anterior surface of the tooth of the C2 vertebra |
Space available for the spinal cord at the C1 level | SAC-C1 | Distance, estimated in millimeters, from the anterior surface of the posterior arch of C1 to the posterior surface of the tooth of the C2 vertebra |
Coefficient of the ratio of the space available for the spinal cord at the level of C1 and C4 | SAC-C1/SAC-C4 | Coefficient SAC–C1/SAC–C4: <0.9 indicates spinal cord compression |
To avoid errors introduced by the use of various software tools, all measurements were performed in the licensed version of the RadiAnt DICOM Viewer program version 2022.1 (64 bit.) (Copyright© 2009–2023, Medixant).
Statistical data analysis
Statistical data analysis was performed using the statistical programming language and the R environment (version 4.3.1) in the IDE RStudio (version 2023.09.0). The Shapiro–Wilk test was used to assess the compliance of the sample with a normal distribution. Statistical hypotheses about the differences in the distribution of quantitative variables in the independent samples were tested using the Mann–Whitney method and Pearson’s chi-squared test. Correlation between quantitative values was assessed using the Spearman correlation coefficient. The null hypothesis in statistical tests was rejected at a significance level of p <0.05.
Ethical considerations
All procedures performed in the study involving human participants followed the standards of the local ethics committee, meeting No. 7 of August 5, 2021, and the 1964 Declaration of Helsinki and its later amendments or comparable ethical standards. All patients (or their representatives) provided informed consent.
RESULTS
The age distribution, assessed using the Shapiro–Wilk test, did not correspond to normal (Fig. 3). No statistical differences were found between groups by sex (Pearson test, p=0.766) and age (Mann–Whitney test, p=0.333).
Fig. 3. Evaluation of normality of age distribution in the groups using with Shapiro–Wilk test: a — group 1 (normal), b — group 2 (Down syndrome).
In group 1 (normal, n=60), values for the parameters of cervical sagittal balance and criteria for atlantoaxial instability were calculated. The obtained parameters were taken as the conditional norm for children.
For group 2 (Down syndrome, n=50), the values of similar parameters and criteria were calculated.
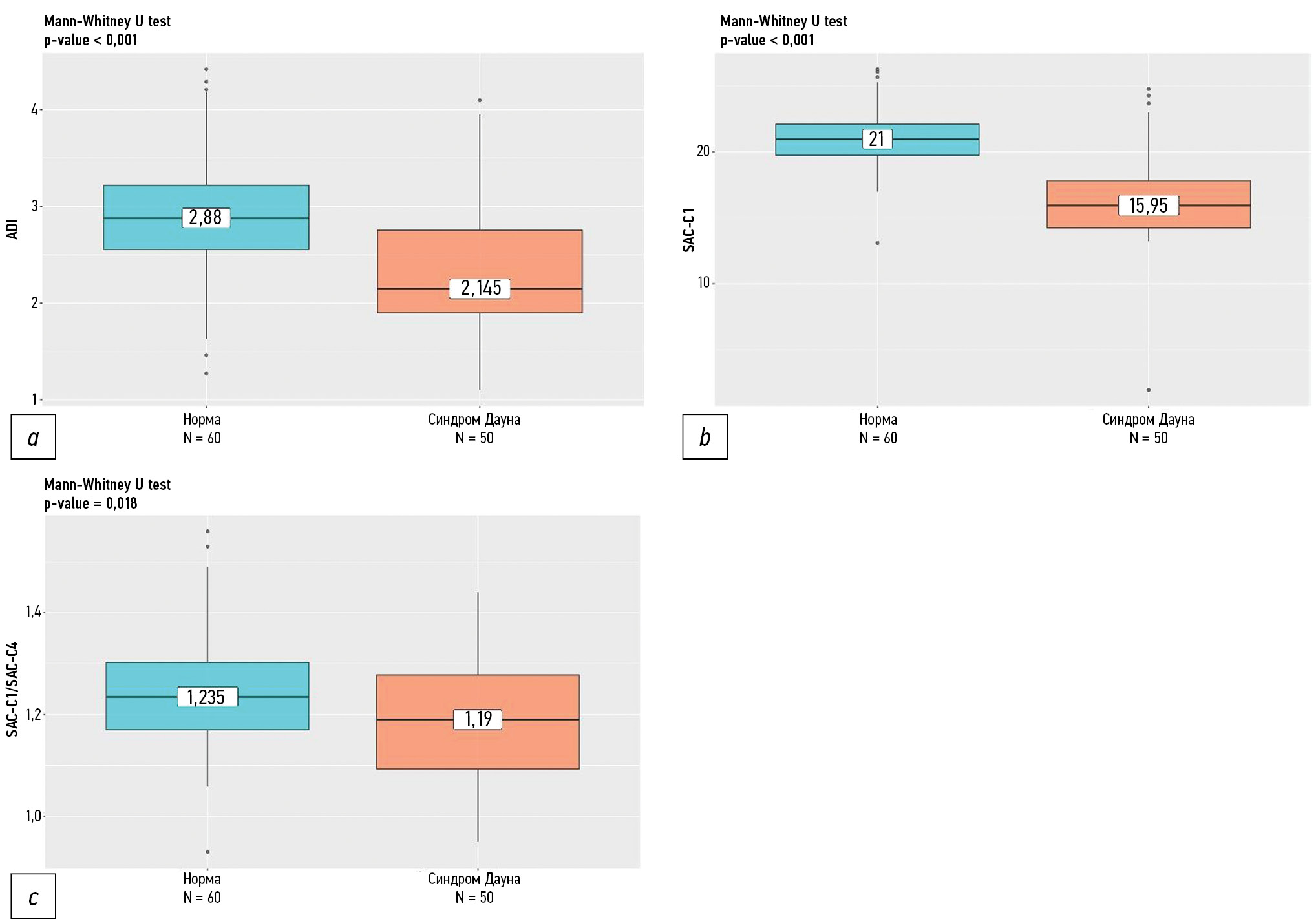
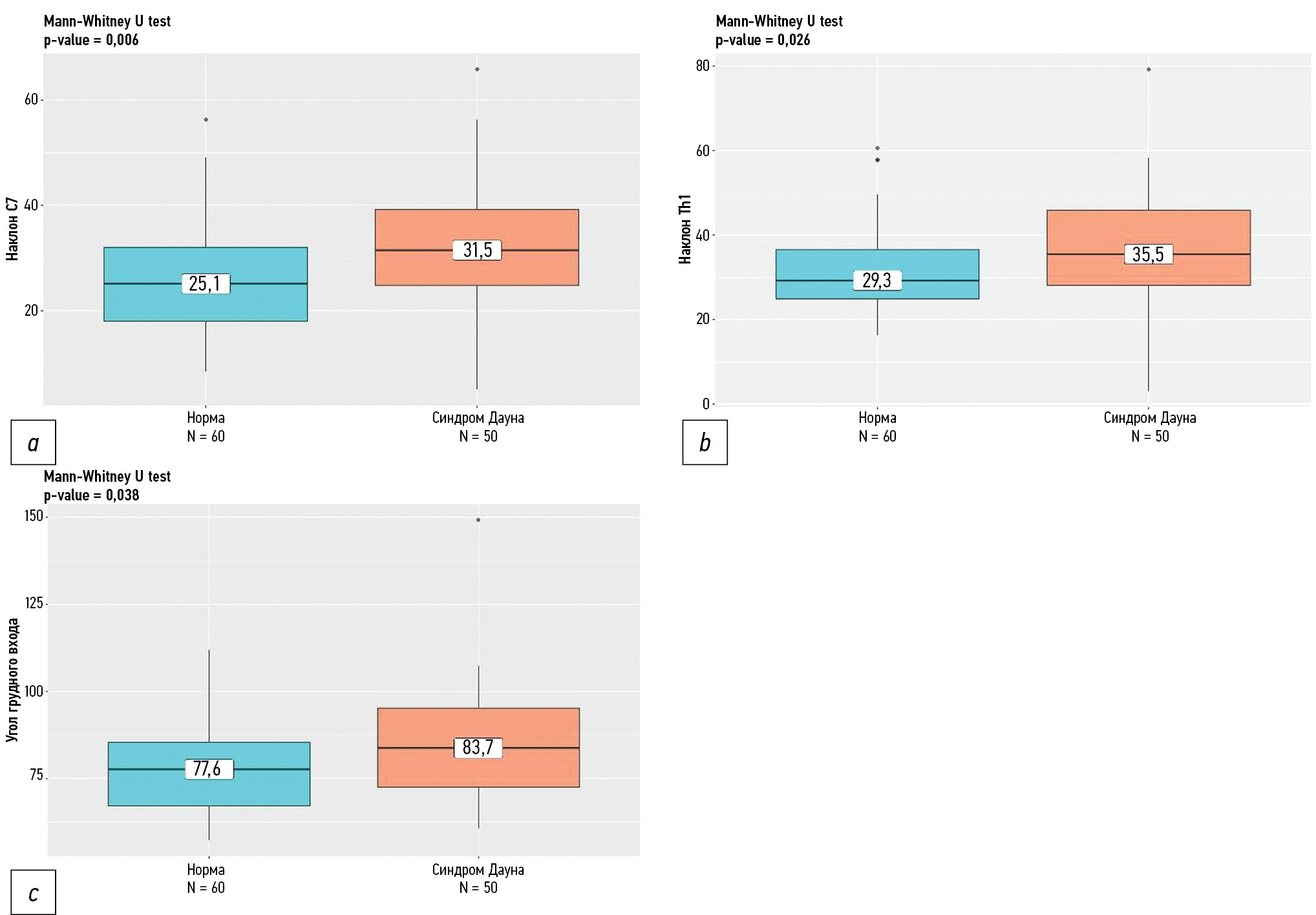
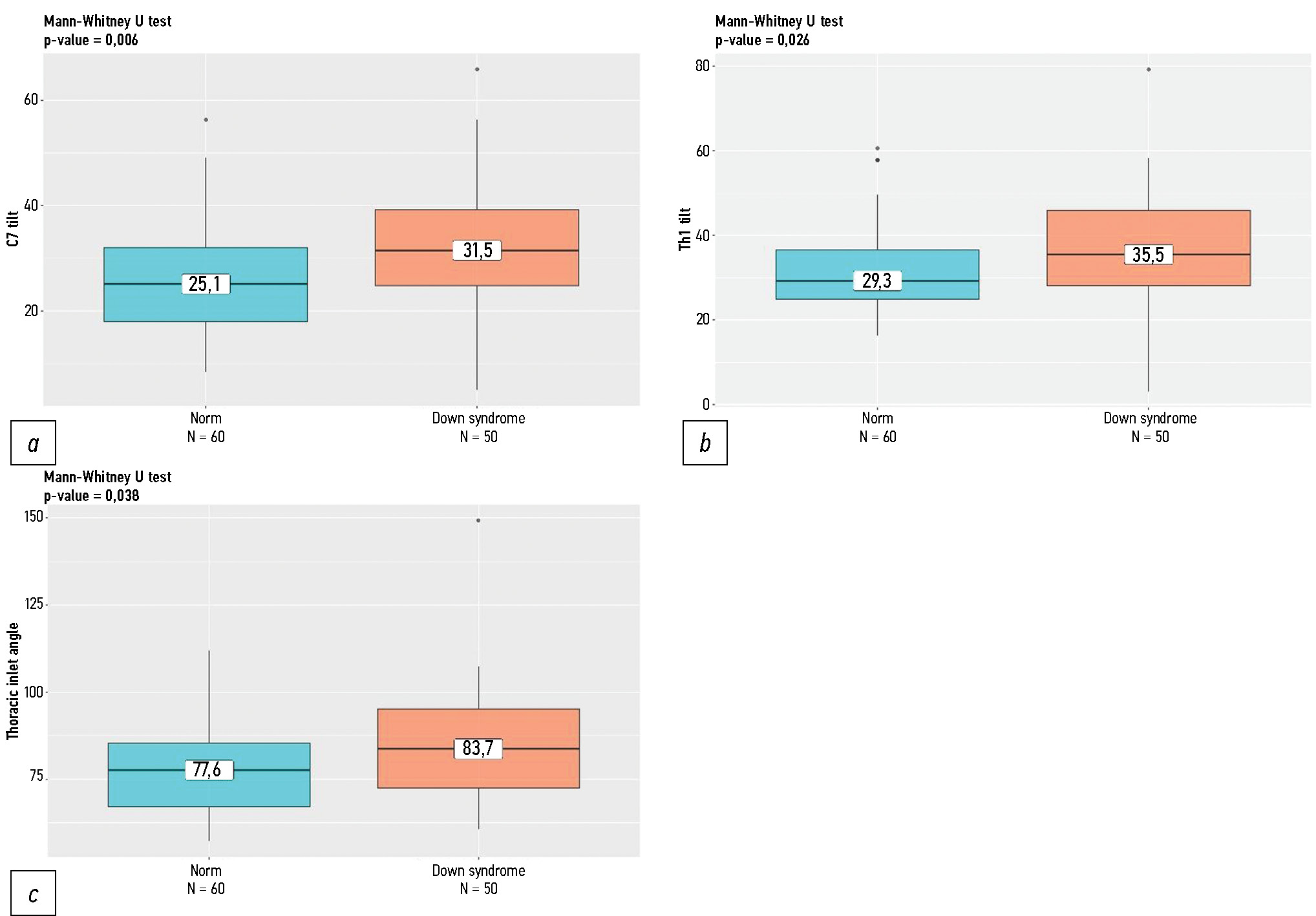
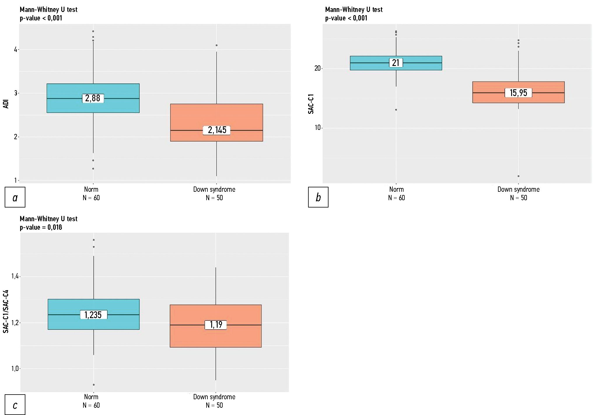
Statistical hypotheses about the differences in the distribution of quantitative variables in independent samples were tested using the nonparametric Mann–Whitney test. As a result, statistically significant differences were obtained in the parameters characterizing the relationship of the cervical spine and chest, namely, inclination of the C7 vertebra (C7S), inclination of the Th1 vertebra (Th1S), and thoracic inlet angle (TIA), toward their increase in patients with Down syndrome (Fig. 4). Statistically significant differences were also obtained in the criteria for atlantoaxial instability, namely, anterior atlantodental interval (ADI), value of the space available for the spinal cord at the level of the C1 vertebra (SAC–C1), ratio of SAC at the level of the C1 and C4 vertebrae (SAC–C1/SAC–C4), toward their decrease in patients with Down syndrome (Fig. 5). No statistically significant differences were found between other parameters and criteria. Table 2 presents data obtained using median and quartiles.
Fig. 4. Graphs of statistically significant differences in cervical sagittal balance parameters between groups presented using the Mann–Whitney test: a — C7 tilt (C7S), b — Th1 tilt (Th1S), c — thoracic inlet angle (TIA).
Fig. 5. Graphs of statistically significant differences in atlantoaxial instability criteria presented using the Mann–Whitney test: a — anterior atlantodental interval (ADI), b — space available for cord at C1 level (SAC-C1), c — coefficient of ratio of space available for cord at C1 level and C4 level (SAC-C1/SAC-C4).
Table 2. Comparison of cervical sagittal balance parameters and atlantoaxial instability criteria between groups (data are presented using medians and quartiles)
Parameter | Group 1 (Norm) | Group 2 (Down syndrome) | p |
Oc-C2, ° | 22.80 [18.10, 29.33] | 24.55 [19.45, 31.70] | 0.305 |
Oc-C7, ° | 34.00 [27.75, 44.32] | 34.40 [26.10, 50.05] | 0.625 |
C1-C2, ° | 24.50 [20.55, 31.15] | 22.40 [18.05, 30.68] | 0.318 |
C2-C7, ° | 9.65 [5.58, 20.17] | 10.70 [3.77, 20.42] | 0.845 |
C2-C7H, ° | 17.70 [11.17, 32.48] | 15.20 [5.90, 29.70] | 0.221 |
C7S, ° | 25.10 [18.00, 32.05] | 31.50 [24.82, 39.25] | 0.006 |
Th1S, ° | 29.30 [24.98, 36.52] | 35.50 [28.08, 45.88] | 0.027 |
TIA, ° | 77.60 [67.18, 85.30] | 83.70 [72.53, 95.20] | 0.038 |
NT, ° | 47.20 [42.10, 51.93] | 48.95 [41.65, 55.75] | 0.492 |
Nakamura, ° | 14.05 [8.92, 16.97] | 11.25 [7.53, 15.20] | 0.079 |
ADI, mm | 2.88 [2.55, 3.21] | 2.14 [1.90, 2.75] | <0.001 |
SAC-C1, mm | 21.00 [19.78, 22.13] | 15.95 [14.25, 17.82] | <0.001 |
SAC-C1/SAC-C4 | 1.23 [1.17, 1.30] | 1.19 [1.09, 1.28] | 0.019 |
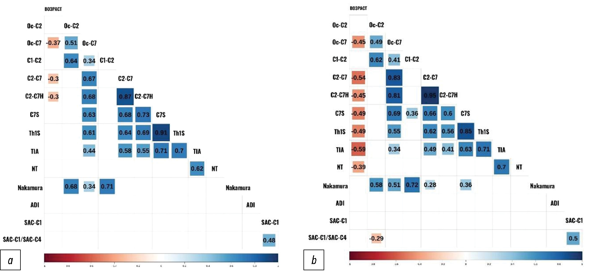
The statistical relationship between all studied criteria in groups (normal) and 2 (Down syndrome) was assessed using Spearman’s rank correlation coefficient (Fig. 6).
Fig. 6. Representation of statistical relationships between all investigated parameters in groups using Spearman’s rank correlation coefficient: a — group 1 (normal), b — group 2 (Down syndrome).
Statistically significant correlations were found in both groups (p <0.05). A very high positive correlation was obtained between the parameters of the inclination of the C7 vertebra (C7S) and the Th1 vertebra (Th1S), which was due to the adjacent position of the vertebrae. A high positive correlation was noted between the parameters C2–C7H and C2–C7 because both values describe cervical lordosis. A similar correlation was noted between TIA and C7S, and TIA and Th1S, and this trend indicates the high association between the relatively biomechanically stable structures that combine the spine and chest. In addition, a high positive relationship was noted between the Nakamura angle and the C1–C2 angle because both parameters reflect the anatomical relationships between the C1 and C2 vertebrae. A statistically significant noticeable positive correlation was determined between the inclination angles of the C7 and Th1 vertebrae (C7S and Th1S) and parameters reflecting the magnitude of cervical lordosis (Oc–C7, C2–C7, and C2–C7H). Based on the totality of the correlation dependencies identified, the parameters characterizing the relationship of the spine and chest (C7S, Th1S, and TIA) indicate the formation of cervical lordosis, which has also been confirmed by other related studies [15, 16].
Although the described correlations are typical for both normal children and those with Down syndrome, group 2 had lower correlation coefficients. This finding can be interpreted as a smaller segmental relationship between the anatomical structures of the cervical spine and the chest in children with Down syndrome. This is probably due to the greater mobility of the ligamentous apparatus and the reduced tone of the neck muscles, which is a characteristic of these patients (Table 3).
Table 3. Comparison of Spearman’s rank correlation coefficient values between parameters with the strongest statistical relationship (p <0.05)
Parameter | Spearman's rank correlation coefficient | |
Group 1 (Norm) | Group 2 (Down syndrome) | |
С7S and Th1S | 0.91 | 0.85 |
C2-С7H and C2-C7 | 0.87 | 0.95 |
TIA and C7S | 0.71 | 0.63 |
TIA and Th1S | 0.70 | 0.71 |
Nakamura and C1-C2 | 0.71 | 0.72 |
C7S and Oc-C7 | 0.63 | 0.69 |
C7S and C2-C7 | 0.68 | 0.66 |
C7S and C2-C7H | 0.73 | 0.60 |
Th1S and Oc-C7 | 0.61 | 0.55 |
Th1S and C2-C7 | 0.64 | 0.62 |
Th1S and C2-C7H | 0.69 | 0.56 |
DISCUSSION
The constantly increasing number of studies assessing sagittal balance parameters in children indicated a significant increase in interest among researchers in the problem.
J.C. Le Huec et al. made the greatest contribution to the description of the methodology for calculating the parameters of global sagittal balance. Over a long period of paying special attention to the parameters of spinopelvic relationships, this group of authors has accumulated vast experience in assessing and searching for normal values of sagittal parameters for various groups of patients. In 2015, they addressed the problem of finding a method for calculating and assessing the parameters of cervical sagittal balance. They described reference parameters for analyzing the sagittal balance of the cervical spine in asymptomatic volunteers [6]. This work became the basis for many subsequent studies on cervical sagittal balance.
In 2020, Iranian authors published a prospective study to search for the relationship between the magnitude of cervical lordosis and the parameters of segmental and global sagittal balance. A study of the radiographs of 420 adult patients revealed a relationship between cervical sagittal balance and spinopelvic parameters [5]. This study assessed the parameters of both healthy volunteers and patients with various spinal pathologies accompanied by sagittal imbalance.
S.H. Lee et al. examined the relationships between the parameters of the cervical sagittal balance and concluded that the TIA parameter is constant for each patient, representing a constant similar to the PI parameter in the lumbar spine. Subsequently, they proved that the parameters C7S, Th1S, and TIA varied slighlty during flexion and extension. A study also confirmed the high significance of these parameters in the development of cervical lordosis [15]. In their study of the normal values of cervical sagittal balance parameters in children, D.A. Glukhov and A.Yu. Mushkin et al. (2022) concluded that these correlations were also valid for pediatric patients, although most parameters of cervical sagittal balance differed from those in adult patients [3].
In our opinion, children with Down syndrome must be included whenevaluating cervical sagittal balance in children. This is a rather well-studied group of patients, both from the point of view of orthopedic pathology in general and atlantoaxial instability in particular. Patients with Down syndrome experience various musculoskeletal disorders. Pathological conditions associated with the cervical spine can have the greatest effect on the quality of life of these patients [7, 12]. Transligamentous and transdental dislocations caused by the presence of the odontoid bone of the C2 vertebra are most common in these children compared with nonsyndromic children and can lead to severe neurological deficits [11, 17, 18].
Generally, this type of dislocation is accompanied by a decrease in local lordosis at the C1–C2 level (high cervical angle and Nakamura angle) [13, 14]. Further displacement leads to a decrease in the reserve space for the spinal cord in the upper cervical spine with subsequent compression.
In this study, the parameters characterizing the relationship between the cervical spine and the chest (C7S, Th1S, and TIA) are statistically greater in children with Down syndrome. These same parameters, being a constant for each child, determine the degree of cervical lordosis. Based on the formulas and ratios presented by various researchers, the magnitude of cervical lordosis in children with Down syndrome should also be significantly greater; however, this trend could not be confirmed in this study. This finding can be due to the greater mobility of the ligamentous apparatus in children with Down syndrome and weakness of the neck muscles as described previously [9, 10]. In our opinion, this can be interpreted as more pronounced intersegmental mobility.
Moreover, the identified statistical differences in the coefficients of SAC and anterior atlantodental interval (SAC-C1, SAC-C1/SAC-C4, and ADI) downward in children with Down syndrome were interpreted as an anatomically determined predisposition to a more pronounced neurological deficit with anteroposterior dislocations. Consequently, pediatric patients, being predisposed to hypermobility in the atlantoaxial and subaxial parts of the spine, are also at risk of earlier and more pronounced development of myelopathy, which can often be noted in practice, for example, in patients with the odontoid bone of the C2 vertebra.
CONCLUSION
Compared with healthy children, patients with Down syndrome have statistically higher values of cervical lordosis parameters. These parameters, which are constant, can be described as one of the anatomical manifestations of this syndrome. Moreover, the angular characteristics of cervical lordosis do not differ from those in healthy children. During flexion, the cervical spine in children with Down syndrome is in subcompensation because smoothing of the cervical lordosis, up to its transition to kyphosis, is a compensatory mechanism for this type of movement. Considering the statistically smaller SAC in the cervical region, lower ADI, low tone of the neck muscles, and hypermobility of the ligamentous apparatus, the resulting deviations can be considered congenital factors predisposing children with Down syndrome to atlantoaxial instability. Determining the parameters of cervical sagittal balance in various patients requires further study to identify the applied significance of this concept both in surgical treatment and prevention of various pathological conditions.
ADDITIONAL INFO
Author contribution. Thereby, all authors made a substantial contribution to the conception of the work, drafting and revising the work, final approval of the version to be published and agree to be accountable for all aspects of the work. V.A. Sharov — writing the text of the article, collection and analysis of literary sources; A.A. Kuleshov, A.G. Nazarenko, M.S. Vetrile — writing and editing the text of the article; A.V. Ovsyankin, E.S. Kuzminova, I.N. Lisyansky, S.N. Makarov — editing the text of the article; U.V. Strunina — statistical analysis of the data.
Funding source. This study was not supported by any external sources of funding.
Competing interests. The authors declare that they have no competing interests.
作者简介
Alexander Kuleshov
Priorov National Medical Research Center of Traumatology and Orthopedics
Email: cito-spine@mail.ru
ORCID iD: 0000-0002-9526-8274
SPIN 代码: 7052-0220
MD, Dr. Sci. (Med.)
俄罗斯联邦, MoscowAnton Nazarenko
Priorov National Medical Research Center of Traumatology and Orthopedics
Email: cito@cito-priorov.ru
ORCID iD: 0000-0003-1314-2887
SPIN 代码: 1402-5186
MD, Dr. Sci. (Med.), professor of Russian Academy of Sciences
俄罗斯联邦, MoscowVladislav Sharov
Priorov National Medical Research Center of Traumatology and Orthopedics
编辑信件的主要联系方式.
Email: sharov.vlad397@gmail.com
ORCID iD: 0000-0002-0801-0639
SPIN 代码: 8062-9216
俄罗斯联邦, Moscow
Marchel Vetrile
Priorov National Medical Research Center of Traumatology and Orthopedics
Email: vetrilams@cito-priorov.ru
ORCID iD: 0000-0001-6689-5220
SPIN 代码: 9690-5117
MD, Cand. Sci. (Med.)
俄罗斯联邦, MoscowAnatoliy Ovsyankin
Federal Center of Traumatology, Orthopedics and Joint Replacement
Email: ovsjankin@rambler.ru
SPIN 代码: 4417-3617
MD, Cand. Sci. (Med.)
俄罗斯联邦, SmolenskElena Kuzminova
Federal Center of Traumatology, Orthopedics and Joint Replacement
Email: muxuxo@gmail.com
ORCID iD: 0000-0003-2876-6844
SPIN 代码: 5992-6657
俄罗斯联邦, Smolensk
Igor Lisyansky
Priorov National Medical Research Center of Traumatology and Orthopedics
Email: lisigornik@list.ru
ORCID iD: 0000-0002-2479-4381
SPIN 代码: 9845-1251
MD, Cand. Sci. (Med.)
俄罗斯联邦, MoscowSergey Makarov
Priorov National Medical Research Center of Traumatology and Orthopedics
Email: moscow.makarov@gmail.com
ORCID iD: 0000-0003-0406-1997
SPIN 代码: 2767-2429
MD, Cand. Sci. (Med.)
俄罗斯联邦, MoscowUliya Strunina
Burdenko National Scientific and Practical Center for Neurosurgery
Email: ustrunina@nsi.ru
ORCID iD: 0000-0001-5010-6661
SPIN 代码: 9799-5066
俄罗斯联邦, Moscow
参考
- Dubousset J. Three-dimensional analysis of the scoliotic deformity. In: Weinstein SL, editor. The pediatric spine: principles and practice. New York: Raven Press; 1994. P: 479–496.
- Le Huec JC, Thompson W, Mohsinaly Y, Barrey C, Faundez A. Sagittal balance of the spine. Eur Spine J. 2019;28(9):1889–1905. EDN: KDEURA doi: 10.1007/s00586-019-06083-1
- Glukhov DA, Zorin VI, Maltseva YaA, Mushkin AYu. Sagittal balance of the cervical spine in children older than 4 years: what is the norm? Russian Journal of Spine Surgery (Khirurgiya Pozvonochnika). 2022;19(4):19–29. EDN: OBZBIX doi: http://dx.doi.org/10.14531/ss2022.4.19-29
- Abelin-Genevois K. Sagittal balance of the spine. Orthop Traumatol Surg Res. 2021;107(1S):102769. doi: 10.1016/j.otsr.2020.102769
- Alijani B, Rasoulian J. The Sagittal Balance of the Cervical Spine: Radiographic Analysis of Interdependence between the Occipitocervical and Spinopelvic Alignment. Asian Spine J. 2020;14(3):287–297. doi: 10.31616/asj.2019.0165
- Le Huec JC, Demezon H, Aunoble S. Sagittal parameters of global cervical balance using EOS imaging: normative values from a prospective cohort of asymptomatic volunteers. Eur Spine J. 2015;24(1):63–71. EDN: ZSQYBK doi: 10.1007/s00586-014-3632-0
- Caird MS, Wills BP, Dormans JP. Down syndrome in children: the role of the orthopaedic surgeon. J Am Acad Orthop Surg. 2006;14(11):610–9. doi: 10.5435/00124635-200610000-00003
- Collacott RA. Atlantoaxial instability in Down’s syndrome. Br Med J (Clin Res Ed). 1987;294(6578):988–9. doi: 10.1136/bmj.294.6578.988
- Carfì A, Liperoti R, Fusco D, et al. Bone mineral density in adults with Down syndrome. Osteoporos Int. 2017;28(10):2929–2934. EDN: VCRVWA doi: 10.1007/s00198-017-4133-x
- McKelvey KD, Fowler TW, Akel NS, et al. Low bone turnover and low bone density in a cohort of adults with Down syndrome. Osteoporos Int. 2013;24(4):1333–8. EDN: UGFAMY doi: 10.1007/s00198-012-2109-4
- Sergeenko OM, Dyachkov KA, Ryabykh SO, Burtsev AV, Gubin AV. Atlantoaxial dislocation due to os odontoideum in patients with Down’s syndrome: literature review and case reports. Childs Nerv Syst. 2020;36(1):19–26. doi: 10.1007/s00381-019-04401-y
- Kuleshov AA, Gubin AV, Sharov VA, Vetrile MS, Lisyansky IN, Makarov SN. Screening examination of the cervical spine in patients with Down syndrome. N.N. Priorov Journal of Traumatology and Orthopedics. 2023;30(3):325−334. EDN: APTTNT doi: 10.17816/vto568156
- Nakamura N, Inaba Y, Oba M, et al. Novel 2 Radiographical Measurements for Atlantoaxial Instability in Children with Down Syndrome. Spine. 2014;39(26):E1566–E1574. doi: 10.1097/brs.0000000000000625
- Khusainov NO, Vissarionov SV, Kokushin DN. Craniocervical instability in children with Down’s syndrome. Pediatric Traumatology, Orthopaedics and Reconstructive Surgery. 2016;4(3):71–77. doi: 10.17816/PTORS4371-77
- Lee SH, Kim KT, Seo EM, Suk KS, Kwack YH, Son ES. The influence of thoracic inlet alignment on the craniocervical sagittal balance in asymptomatic adults. J Spinal Disord Tech. 2012;25:E41–E47. doi: 10.1097/BSD.0b013e3182396301
- Janusz P, Tyrakowski M, Glowka P, Offoha R, Siemionow K. Influence of cervical spine position on the radiographic parameters of the thoracic inlet alignment. Eur Spine J. 2015;24:2880–2884. EDN: GRBAFQ doi: 10.1007/s00586-015-4023-x
- French HG, Burke SW, Roberts JM, Johnston CE 2nd, Whitecloud T, Edmunds JO. Upper cervical ossicles in Down syndrome. J Pediatr Orthop. 1987;7(1):69–71. doi: 10.1097/01241398-198701000-00014
- Cros T, Linares R, Castro A, Mansilla F. A radiological study of the cervical alterations in Down syndrome. New findings on computerized tomography and three dimensional reconstructions. Rev Neurol. 2000;30(12):1101–7. (In Span). doi: 10.33588/rn.3012.99216
补充文件









