Conservative treatment of chronic nonbacterial osteomyelitis using zoledronic acid in children
- Authors: Tairov G.N.1, Nazarenko A.G.1, Ochkurenko A.A.1, Kuleshov A.A.1, Vetrile M.S.1, Lisyansky I.N.1, Makarov S.N.1, Strunina U.V.2
-
Affiliations:
- Priorov National Medical Research Centre for Traumatology and Orthopaedics
- Burdenko National Medical Research Centre for Neurosurgery
- Issue: Vol 32, No 2 (2025)
- Pages: 413-423
- Section: Original study articles
- Submitted: 15.10.2024
- Accepted: 16.12.2024
- Published: 22.07.2025
- URL: https://journals.eco-vector.com/0869-8678/article/view/637078
- DOI: https://doi.org/10.17816/vto637078
- EDN: https://elibrary.ru/ACDZRS
- ID: 637078
Cite item
Abstract
BACKGROUND: Currently, there is no etiological treatment for chronic nonbacterial osteomyelitis. The insufficient efficacy of all available treatment modalities remains a major concern. Among the most effective approaches are genetically engineered therapy and bisphosphonate treatment. Pamidronate is the most frequently reported option in scientific publications. However, given pamidronates’ lower efficacy compared to zoledronic acid, we developed a treatment protocol that includes zoledronic acid at a dose of 0.05 mg/kg every 3 months, three infusions in total, along with active vitamin D metabolites and calcium carbonate.
AIM: This study aimed to demonstrate the efficacy of zoledronic acid in the treatment of chronic nonbacterial osteomyelitis.
METHODS: The study included 22 children aged 6 to 17 years. A prospective pilot study was conducted to assess the efficacy of zoledronic acid in children with chronic recurrent multifocal osteomyelitis. All patients underwent biopsy with morphological and microbiological verification of the diagnosis, as well as laboratory and imaging assessments before and 3, 6, and 12 months after treatment. Clinical disease activity was assessed using a visual analog scale for pain and the PedsQL 4.0 quality of life questionnaire.
RESULTS: Preliminary treatment outcomes in patients receiving this regimen are promising. Pain was significantly reduced, quality of life improved, and the number of bone lesions decreased, with clinical remission achieved in all patients.
CONCLUSION: Zoledronic acid rapidly inhibits osteoclast activity, leading to both clinical and radiological remission, as evidenced by decreased pain, reduction of bone marrow edema on MRI, and sclerosis of lytic lesions. Given the reduced osteoclast activity in the post-injection period, this therapy must be combined with active vitamin D metabolites and calcium carbonate to maintain calcium-phosphorus homeostasis.
Full Text
ОБОСНОВАНИЕ
Хронический рецидивирующий многоочаговый остеомиелит (ХРМО), или хронический небактериальный остеомиелит (ХНО), является орфанным аутовоспалительным заболеванием костей, поражающим преимущественно детей и подростков. Патогенез заболевания сложен и сводится к нарушению выработки интерлейкинов клетками врождённого иммунитета, опосредованно через систему RANKL/RANK активирующему остеокласты, повышенная активность которых вызывает асептическое воспаление и деструкцию костной ткани [1–3]. В настоящее время не существует этиотропной терапии заболевания. Лечение в той или иной степени воздействует на звенья патогенеза, прерывая механизм активации остеокластов. Терапия хронического небактериального остеомиелита является предметом дискуссии между травматологами-ортопедами, ревматологами, педиатрами. Конечно, существуют предложенные рядом авторов схемы терапии [4], но нет установленных сроков терапии, стандартов динамической оценки и контроля лечения, а самое главное, при всех видах существующей терапии возникают рецидивы заболевания. Чаще всего терапией первой линии являются нестероидные противовоспалительные препараты (НПВП), которые показывают эффективность в дебюте заболевания, но требуют постоянного длительного применения и демонстрируют свою неэффективность в достижении длительной ремиссии [1], что заставляет переходить ко второй и третьей линии терапии, а именно к иммуносупрессорам (метотрексату) или базисным противоревматическим препаратам (сульфасалазину). Данных об использовании этих препаратов в лечении ХНО не так много, терапия сульфасалазином, по данным разных источников, приводит к ремиссии от 41 до 57% случаев, терапия метотрексатом — от 37,5 до 44% [5, 6]. Наиболее эффективными известными методами лечения являются генно-инженерная терапия в виде блокаторов ФНО-α — по данным разных источников, её эффективность составляет от 46 до 67% [7–9], и памидронат — от 51% в регистере Eurofever [9], другие исследования показывают эффективность от 83 [8] до 88,8% [10]. В настоящее время работы с использованием золедроновой кислоты представлены единичными клиническими наблюдениями [11, 12].
Чаще всего в литературе встречается следующая схема лечения памидронатом: памидронат внутривенно капельно по 1 мг/кг/сутки (максимально 60 мг/сутки) в течение 3 дней каждые 3 месяца на протяжении 9–12 месяцев [1].
Памидронат является менее эффективным бисфосфонатом в отличие от золедроновой кислоты, которая в 2–3 раза более эффективна при тесте на резорбцию костной ткани и в 850 раз более эффективна, чем памидронат, при лечении гиперкальциемии у крыс [11, 13]. В связи с этим нами была разработана новая схема лечения золедроновой кислотой.
Золедроновая кислота ингибирует активность остеокластов, что приводит к нивелированию отёка костной ткани на МРТ, а также купированию болевого синдрома. Обязательна комбинация данного лечения с активными метаболитами витамина D и карбонатом кальция для поддержания кальций-фосфорного обмена в связи с низкой активностью остеокластов в постинъекционном периоде.
Предварительные результаты лечения пациентов, получавших данную схему лечения, достаточно перспективны, отмечается значимое снижение болевого синдрома и улучшение качества жизни, а также уменьшение количества очагов, но данное исследование требует продолжения с включением мультицентровых испытаний.
Цель исследования — оценить эффективность препаратов золедроновой кислоты в терапии хронического небактериального остеомиелита.
МАТЕРИАЛЫ И МЕТОДЫ
Дизайн исследования
Проведено проспективное контролируемое открытое моноцентровое пилотное исследование.
Условия проведения
Исследование проведено на базе Национального медицинского исследовательского центра травматологии и ортопедии им. Н.Н. Приорова. Набор пациентов осуществлялся при самостоятельном обращении в центр или направлении пациентов из регионов РФ. Все пациенты проходили лечение в условиях стационара (14-го отделения НМИЦ ТО им. Н.Н. Приорова.)
Продолжительность исследования
Период набора пациентов: январь 2023 – сентябрь 2024 г.
Срок наблюдения: минимальный — 3 месяца, максимальный — 1,5 года.
Критерии соответствия
Критерии включения:
- поражение позвоночника;
- отсутствие терапевтического эффекта при многоочаговом поражении при использовании других видов консервативной терапии (более 6 месяцев);
- риск развития патологических переломов;
- возраст до 18 лет;
- подтверждённый морфологический и микробиологический диагноз, соответствующий критериям A.F. Jansson [14];
- подписание законными представителями информированного согласия на участие в исследовании.
Критерии невключения:
- одиночные поражения периферических костей без рисков патологических переломов.
Описание медицинского вмешательства
В исследовании принимали участие дети (n=22). Все пациенты имели многоочаговый характер заболевания, среднее количество очагов по МРТ всего тела — 10,5 (±8,5) (Me=6,5). Всем пациентам проводилась морфологическая и микробиологическая верификация диагноза путём проведения биопсии. Выполнялись КТ патологического очага до лечения, через 6 месяцев и через год, МРТ всего тела в режиме STIR до лечения, через 3 месяца, через 6 месяцев и через год после начала терапии. Оценка клинической активности заболевания проводилась при помощи визуальной аналоговой шкалы боли (ВАШ) и опросника качества жизни PedsQL 4.0 до лечения, через 3 месяца, через 6 месяцев и через год после начала терапии. Также выполнялась оценка метаболизма костной ткани и лабораторной активности заболевания до лечения, через 3 месяца, через 6 месяцев и через год после начала терапии:
- клинический анализ крови;
- клинический анализ мочи;
- биохимический анализ крови: общий белок, кальций (Са), кальций ионизированный (Са++), фосфор (Р), щелочная фосфатаза (ЩФ), креатинин, мочевина, С-реактивный белок (СРБ);
- анализ суточной мочи: кальций, фосфор;
- дезоксипиридинолин (ДПИД) утренней мочи;
- паратгормон (ПТГ) крови;
- остеокальцин и PINP крови;
- Beta-CrossLaps крови;
- 25(OH)D — витамин D крови.
Схема лечения включала золедроновую кислоту в дозировке 0,05 мг/кг один раз в 3 месяца трёхкратно в комбинации с активными метаболитами витамина D — альфакальцидолом в дозировке от 0,25 до 1 мкг один раз в сутки и препаратами кальция 250–500 мг в сутки [1]. Доза вводимого препарата была взята из клинических рекомендаций по лечению несовершенного остеогенеза в виде 0,05 мг/кг [15], кратность введения препарата адаптирована из схемы лечения памидроната № 3 каждые 3 месяца [1].
Эффективность терапии оценивалась по достижению клинической (снижение болевого синдрома до 0) и рентгенологической ремиссии (снижение количества очагов по МРТ всего тела в режиме STIR до 0), клинической с неполной рентгенологической (сохранение активных очагов поражения после лечения).
Этическая экспертиза
Все манипуляции и протоколы исследования были одобрены Комитетом по этике при ФГБУ «НМИЦ ТО им. Н.Н. Приорова», заседание № 1/23 от 5 мая 2023 года. Включение пациентов в исследование осуществлялось при наличии информированного добровольного согласия законного представителя пациента. Использование лекарственного препарата «не по показаниям» проводилось в соответствии с частью 5 Статьи 37 ФЗ № 323-ФЗ от 21 ноября 2011 г. «Об основах охраны здоровья граждан в Российской Федерации» с проведением протокола врачебной комиссии на каждого пациента.
Статистический анализ
Статистический анализ данных проведён с помощью языка статистического программирования и среды R (версия 4.3.1) в IDE RStudio (версия 2023.09.0).
Для оценки динамики болевого синдрома (ВАШ), количества очагов (МРТ) и качества жизни (PedsQL 4.0) использован критерий Уилкоксона (парные сравнения).
Данные представлены как среднее ± стандартное отклонение. Нулевую гипотезу в статистических тестах отклоняли при уровне значимости p <0,05
РЕЗУЛЬТАТЫ
В исследование были включены 22 ребёнка с диагнозом ХНО: 15 девочек и 7 мальчиков в возрасте от 6 до 17 лет [в среднем 11,5 года (±3,1)]. Большинство детей — 21/22 (95%) — получали базисную терапию в виде НПВП длительно до начала лечения. 11/22 (50%) получали терапию сульфасалазином или метотрексатом, 5/22 (23%) — ингибиторы ФНО-α. В связи с неэффективностью проводимого лечения пациенты были включены в наше исследование и начали терапию золедроновой кислотой. Преобладающее количество детей было представлено девочками — 15/22 (68%). Среднее время диагностики составляло 23,4 месяца (±29). Распределение очагов поражения костной ткани представлено на рис. 1.
Рис. 1. Распределение поражений костей у детей с хроническим небактериальным остеомиелитом.
Fig. 1. Distribution of bone lesions in children with chronic nonbacterial osteomyelitis.
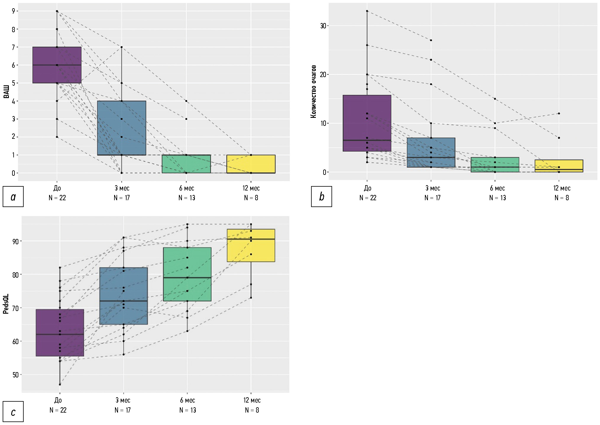
Болевой синдром составлял 6,0 (±1,9) (Me=6) по ВАШ, качество жизни — 63,2 (±9,3) (Me=62) согласно опроснику PedsQL 4.0, среднее количество очагов равнялось 10,5 (±8,5) (Me=6,5). В 36,4% случаев родственники первой степени родства имели сопутствующие аутоиммунные или аутовоспалительные заболевания, что является малым диагностическим критерием Jansson [14]. У 4 пациентов выявлено носительство гена HLA B27 (18,2%). Пациентам производился анализ метаболизма костной ткани до лечения и в его процессе, что влияло на проводимую терапию. Всем пациентам помимо золедроновой кислоты назначались активные метаболиты витамина D в виде альфакальцидола от 0,25 до 1 мкг в сутки и препараты кальция 250–500 мг в сутки. Дозировка препаратов зависела от пищевого поведения детей и результатов биохимического исследования крови, препараты кальция добавлялись в половине от суточной потребности. Альфакальцидол у детей младше 12 лет назначался в дозировке 0,25 мкг один раз в сутки, у детей старше 12 лет — 0,5 мкг один раз в сутки. При низких показателях Са и Са++, а также повышении уровня паратгормона до верхних значений нормы или выше дозировка увеличивалась до 0,75–1 мкг в сутки. После третьей инъекции через 3 месяца пациентам отменялась терапия альфакальцидолом и препаратами кальция, но был рекомендован профилактический приём альфакальцидола в осенне-зимний период. В связи с рисками патологических переломов и слабостью костной ткани в очагах поражения пациентам назначался ортопедический режим с исключением осевых нагрузок (бег, прыжки, батуты). В трёх случаях потребовалось назначение ношения грудного корсета в связи с возникшим патологическим переломом позвонка в грудном отделе позвоночника. Соблюдение ортопедического режима сохранялось до достижения ремиссии, в среднем 4,7 месяца (±2,2). Ремиссия устанавливалась при купировании болевого синдрома и исчезновении отёка костной ткани на МРТ. Динамика снижения болевого синдрома и уменьшения количества очагов, а также повышения качества жизни согласно опроснику PedsQL 4.0 представлена на рис. 2. Болевой синдром по ВАШ в динамике имеет статистически значимую тенденцию к снижению: до лечения он составлял 6,0 (±1,9) (Me=6); через 3 месяца — 2,4 (±2,4) (Me=1), p=0,00104 (p <0,05); через 6 месяцев — 0,9 (±1,3) (Me=1), p=0,00162 (p <0,05); через год — 0,4 (±0,5) (Me=0), p=0,0139 (p<0,05). Количество очагов поражения в динамике по МРТ всего тела в режиме STIR также имеет положительную динамику: до лечения — 10,5 (±8,5) (Me=6,5); через 3 месяца — 6,7 (±8,2) (Me=3), p=0,000311 (p <0,05); через 6 месяцев — 3,2 (±4,9) (Me=1), p=0,00162 (p <0,05); через год — 2,6 (±4,5) (Me=0,5), p=0,00781 (p <0,05). Динамика оценки качества жизни согласно опроснику PedsQL 4.0 представлена следующим образом: до лечения — 63,2 (±9,3) (Me=62); через 3 месяца — 74,3 (±11) (Me=72); p=0,000317 (p <0,05); через 6 месяцев — 79,5 (±10,4) (Me=79), p=0,00165 (p <0,05); через год — 87,5 (±8,3) (Me=90,5), p=0,0141 (p <0,05).
Рис. 2. Динамика клинической оценки болевого синдрома по визуальной аналоговой шкале боли (a), количеству очагов на МРТ всего тела в режиме STIR (b) и оценке качества жизни по опроснику PedsQL (с) через 3 месяца, 6 месяцев, год после начала терапии. ВАШ — визуальная аналоговая шкала боли.
Fig. 2. Temporal trends in clinical pain assessment using a visual analog scale (a), number of lesions on whole-body STIR MRI (b), and quality of life according to the PedsQL questionnaire (c) 3, 6, and 12 months after therapy initiation .
Все пациенты с периодом наблюдения более 6 месяцев (13) достигли клинической и МРТ-ремиссии заболевания.
Среди пациентов 8 имеют сроки наблюдения более года, 5 — более 6 месяцев, 4 — более 3 месяцев, 5 пациентов только начали терапию (см. рис. 2).
В процессе терапии у 3 пациентов наблюдалось повышение уровня паратгормона, что требовало повышения дозы альфакальцидола на 0,25 мкг и препаратов кальция на 200 мг и переноса повторных инъекций золедроновой кислоты. У одной пациентки с симметричным поражением шеек бедренных костей была выполнена только одна инъекция в связи с достижением клинической и рентгенологической ремиссии. На данный момент период наблюдения составляет более года, пациентка находится в рентгенологической и клинической ремиссии заболевания.
У одной пациентки с многоочаговым поражением маркёры резорбции костной ткани находились на нижней границе референтных значений (щелочная фосфатаза, ДПИД, Beta-CrossLaps), но в связи с неэффективностью получаемого ранее лечения в виде НПВП, сульфасалазина и биологической терапии пациентка была включена в наше исследование. Клиническая ремиссия достигнута через месяц после первой инъекции золедроновой кислоты. В связи с низкими показателями фосфора, щелочной фосфатазы и маркёров резорбции и незначительным повышением паратгормона пациентке выполнялось повышение дозировки альфакальцидола до 1 мкг в сутки, карбоната кальция до 1000 мг в сутки. С учётом отсутствия повышения фосфора был назначен остеогенон, но фосфор на фоне терапии оставался ниже нормы, в связи с чем потребовалось дополнительное назначение препаратов фосфора. Данная тактика позволила нормализовать показатели биохимического анализа крови. Через 6 месяцев было выполнено контрольное МРТ всего тела и произведена вторая инъекция. Количество очагов на контрольном МРТ через 3 месяца уменьшилось с 12 до 5, через 6 месяцев сохранялся отёк костной ткани только в одном очаге, через год по МРТ всего тела в режиме STIR отёк костной ткани не определялся ни в одном очаге, что представлено на рис. 3.
Рис. 3. Положительная картина регресса отёка костной ткани по МРТ всего тела в режиме STIR до лечения и через 6 месяцев с начала терапии. Во втором поясничном позвонке: а —до лечения, а-1 — после; в дистальных отделах бедренной и проксимальных отделах большеберцовой кости: b — до лечения, b-1 — после; в большеберцовой кости: c —до лечения, c-1 — после; в дистальном отделе малоберцовой кости: d — до лечения, d-1 — после; в костях стопы и дистальных отделах большеберцовых костей: e — до лечения, e-1 — после.
Fig. 3. Regression of bone marrow edema on whole-body STIR MRI before treatment and 6 months after therapy initiation. In the L2 vertebral body: a, before treatment, a-1, after treatment; in the tibia: b, before treatment, b-1, after treatment; in the distal femur and proximal tibia: c, before treatment, c-1, after treatment; in the distal fibula: d, before treatment, d-1, after treatment; in the foot bones and distal tibia: e, before treatment, e-1, after treatment.
У другой пациентки потребовалось четвёртое введение препарата в связи с рецидивом заболевания через год.
У одной пациентки на МРТ всего тела в режиме STIR сохранялись участки отёка костной ткани через год после начала лечения, но наблюдалась клиническая ремиссия заболевания, которая была достигнута через 4 недели после начала терапии. Учитывая клиническую ремиссию, дополнительной терапии не потребовалось, пациентка наблюдается более 1,5 года.
В связи с риском патологических переломов терапия бисфосфонатами является терапией первой линии при поражении позвоночника [4, 16]. Наше клиническое наблюдение показало склерозирование литического очага и увеличение костной плотности в теле второго поясничного позвонка в единицах Хаунсфилда (Hu) у пациентки в динамике через год с момента начала терапии (рис. 4). Это минимизировало риск возникновения патологического перелома второго поясничного позвонка. Также у другой пациентки наблюдается частичное восстановление 3D-картины тела позвонка в динамике до лечения и через год (рис. 5), что соответствует литературным данным о восстановлении формы позвонков и ремоделировании костной ткани при использовании бисфосфонатов [17, 18].
Рис. 4. Склерозирование литического очага тела L2 в динамике через 3 месяца после начала терапии.
Fig. 4. Sclerosis of a lytic lesion in the L2 vertebral body 3 months after therapy initiation.
Рис. 5. Частичное восстановление формы позвонка на 3D КТ через 6 месяцев после начала терапии.
Fig. 5. Partial restoration of vertebral body shape on 3D CT 6 months after therapy initiation.
Осложнения
У всех пациентов наблюдался гриппоподобный синдром после первой инъекции, который возникал на второй день после неё и характеризовался повышением температуры тела до 38–38,5° и болевым синдромом в мышцах и костях, скованностью в суставах. Это требовало назначения парацетамола и антигистаминных препаратов. Средний срок гриппоподобного синдрома составлял около 5 дней. У пациентов не наблюдалось эпизодов гипокальциемии в постинъекционном периоде в связи с приёмом препаратов кальция и альфакальцидола, дозировка которых повышалась в первую неделю после инъекции. Вторая и третья инъекции переносились пациентами гораздо легче, с незначительным повышением температуры — до 37,1°. Третья инъекция переносилась всеми без особенностей.
ОБСУЖДЕНИЕ
Терапия ХНО является достаточно сложной проблемой в связи с отсутствием единых протоколов лечения и реестров наблюдения. Отсутствие клинических рекомендаций и нормативных документов, которые позволяли бы стандартизировать терапию, также вносит ощутимый вклад в сложность проблемы. Несмотря на предложенные рядом авторов схемы терапии [4], они не нашли широкого применения в связи с отсутствием установленных сроков, стандартов динамической оценки и контроля лечения, а самое главное, при всех видах существующей терапии возникают рецидивы заболевания. Чаще всего при отсутствии поражения позвоночника терапией первой линии являются НПВП, демонстрирующие свою эффективность в дебюте заболевания. Однако в долгосрочной перспективе при длительном применении рецидивы возникают в более 50% случаев [1]. Чаще всего из НПВП в лечении ХНО применяют напроксен в дозе 10–15 мг/кг в сутки [5]. Терапией следующей линии являются иммуносупрессоры (метотрексат) или базисные противоревматические препараты (сульфасалазин). Метотрексат и сульфасалазин используются при других аутоиммунных и аутовоспалительных заболеваниях со схожим патогенезом. Чаще всего применяется следующая схема лечения: метотрексат (перорально или подкожно) 15 мг/м2 (максимум 25 мг/ доза) еженедельно или сульфасалазин (перорально) 50 мг/ кг/ сут (максимум 1 мг/доза) два раза в день [19]. Терапия данными препаратами представлена в литературе в основном серией клинических случаев. Сульфасалазин приводит к ремиссии, по разным источникам, от 41 до 57% случаев, метотрексат — от 37,5 до 44% [5, 6]. Наиболее эффективным методом лечения являются терапия блокаторами ФНО-α — от 46 до 67%, по разным источникам [7–9], и памидронат — от 51% в регистре Eurofever [9] до 83% [8] или 88,8% [10]. Чаще всего в литературе встречается следующая схема лечения: памидронат внутривенно капельно по 1 мг/кг/сут (максимум 60 мг/сут) в течение 3 дней каждые 3 месяца на протяжении 9–12 месяцев [1]. С 2018 года Американской коллегией детских ревматологов они рекомендованы в качестве терапии первой линии при поражении позвоночника [19, 20]. Безопасность применения бисфосфонатов в детском возрасте продемонстрирована в обзоре с включением 2545 детей [20].
В настоящее время работы с использованием золедроновой кислоты представлены единичными клиническими наблюдениями, которые говорят о её большей эффективности по сравнению с памидронатом и лучшей переносимости почками [11].
Терапия золедроновой кислотой в представленной схеме достаточно перспективна и позволила добиться клинической и МРТ-ремиссии у всех пациентов. Однако следует выбирать индивидуальный подход к каждому пациенту, опираясь на контроль анализов и динамику по МРТ. Не стоит руководствоваться схемой лечения как шаблоном, учитывая различный ответ на лечение как со стороны лабораторных показателей, так и клинически. При достижении клинической и МРТ-ремиссии следует не повторять инъекции золедроновой кислоты, а лишь динамически наблюдать. В трёх случаях пациенты с периодом наблюдения больше года (3/8) получили менее трёх инъекций. У одной пациентки наблюдалась клиническая и МРТ-ремиссия после одной инъекции. У двух полноценная ремиссия достигнута после второй инъекции, что также послужило причиной прекращения лечения. При низких показателях щелочной фосфатазы и маркёров резорбции следует отложить повторные инъекции, а лишь динамически наблюдать — этому свидетельствует достижение ремиссии заболевания у пациентки, описанной выше (см. рис. 3). Необходимо отметить, что транзиторное повышение паратгормона служит причиной переноса повторных курсов терапии. Для борьбы с этим состоянием следует повышать дозировку активных метаболитов витамина D и кальция. Также при лечении не использовалась базисная терапия: всем пациентам отменялась предыдущая терапия, и они проходили лечение исключительно путём приёма бисфосфонатов. Ввиду рисков патологических переломов терапия бисфосфонатами является терапией первой линии при поражении позвоночника [4, 16]. Увеличение костной плотности в наших клинических наблюдениях и улучшение формы позвонков демонстрируют эффективность терапии в отношении костной ткани. Этот факт является основополагающим фактором в выборе терапии при поражении позвоночника в связи с риском развития компрессионных переломов и вторичной кифотической деформации. Существуют работы, где показано, что развитие осложнений в виде патологических переломов при поражении позвоночника возникает в 22% случаев [17]. В нашем исследовании поражение позвоночника встречалось в 63,6% случаев (14/22). В трёх случаях наблюдалось осложнение в виде компрессионных переломов, что составляет 13,6% (3/22) в целом или 21,4% (3/14) при поражении позвоночника. Данное осложнение потребовало консервативной терапии в виде корсетирования и соблюдения ортопедического режима.
ЗАКЛЮЧЕНИЕ
Терапия золедроновой кислотой является эффективной при лечении хронического небактериального остеомиелита в силу быстрого достижения клинической и рентгенологической ремиссии заболевания. Данная терапия может быть методом выбора при резистентности пациентов к другим видам лечения. По нашему мнению, данная терапия должна быть в приоритете и относиться к терапии первой линии при поражении позвоночника и трубчатых костей с выраженной деструкцией и риском патологических переломов. Исходя из влияния бисфосфонатов на метаболизм костной ткани, обязательны контроль анализов крови и корректировка дозировок кальция и активных метаболитов витамина D в связи с низкой активностью остеокластов в постинъекционном периоде. Учитывая редкость заболевания и существование множества вопросов в отношении диагностики и лечения, необходимы мультицентровые исследования для стандартизации диагностики и лечения ХНО у детей.
ДОПОЛНИТЕЛЬНАЯ ИНФОРМАЦИЯ
Вклад авторов. Все авторы одобрили финальную версию перед публикацией, а также согласились нести ответственность за все аспекты работы, гарантируя надлежащее рассмотрение и решение вопросов, связанных с точностью и добросовестностью любой её части.
Источники финансирования. Отсутствуют.
Раскрытие интересов. Авторы заявляют об отсутствии отношений, деятельности и интересов (личных, профессиональных или финансовых), связанных с третьими лицами (коммерческими, некоммерческими, частными), интересы которых могут быть затронуты содержанием статьи, а также иных отношений, деятельности и интересов за последние три года, о которых необходимо сообщить.
Оригинальность. При создании настоящей работы авторы не использовали ранее опубликованные сведения (текст, данные).
Генеративный искусственный интеллект. При создании настоящей статьи технологии генеративного искусственного интеллекта не использовали.
Рассмотрение и рецензирование. Настоящая работа подана в журнал в инициативном порядке и рассмотрена по обычной процедуре. В рецензировании участвовали два внешних рецензента, член редакционной коллегии и научный редактор издания.
Информированное согласие на публикацию. Авторы получили письменное согласие пациентов на публикацию их медицинских данных и фотографий (10.09.2024).
ADDITIONAL INFORMATION
Author contributions: All the authors approved the final version of the manuscript to be published and agreed to be accountable for all aspects of the work, ensuring that questions related to the accuracy or integrity of any part of the work are appropriately investigated and resolved.
Funding sources: No funding.
Disclosure of interests: The authors have no relationships, activities, or interests (personal, professional, or financial) related to for-profit, not-for-profit, or private third parties whose interests may be affected by the content of the article, as well as no other relationships, activities, or interests in the past three years to disclose.
Statement of originality: No previously published material (text, or data) was used in this article.
Generative AI: No generative artificial intelligence technologies were used to prepare this article.
Provenance and peer-review: This paper was submitted unsolicited and reviewed following the standard procedure. The peer review process involved two external reviewers, a member of the editorial board, and the in-house scientific editor.
Consent for publication: Written informed consent was obtained from all patients for the publication of their medical data and images (September 10, 2024).
About the authors
Gazinur N. Tairov
Priorov National Medical Research Centre for Traumatology and Orthopaedics
Author for correspondence.
Email: gazinur.vezunchik@mail.ru
ORCID iD: 0009-0002-3469-3944
SPIN-code: 8868-2577
MD
Russian Federation, 10 Priorova st, Moscow, 127299Anton G. Nazarenko
Priorov National Medical Research Centre for Traumatology and Orthopaedics
Email: nazarenkoag@cito-priorov.ru
ORCID iD: 0000-0003-1314-2887
SPIN-code: 1402-5186
Corresponding Member of the Russian Academy of Sciences, MD, Dr. Sci. (Medicine), Professor of RAS
Russian Federation, 10 Priorova st, Moscow, 127299Alexander A. Ochkurenko
Priorov National Medical Research Centre for Traumatology and Orthopaedics
Email: cito-omo@mail.ru
ORCID iD: 0000-0002-1078-9725
SPIN-code: 8324-2383
MD, Dr. Sci. (Medicine), Professor
Russian Federation, 10 Priorova st, Moscow, 127299Alexander A. Kuleshov
Priorov National Medical Research Centre for Traumatology and Orthopaedics
Email: cito-spine@mail.ru
ORCID iD: 0000-0002-9526-8274
SPIN-code: 7052-0220
MD, Dr. Sci. (Medicine)
Russian Federation, 10 Priorova st, Moscow, 127299Marchel S. Vetrile
Priorov National Medical Research Centre for Traumatology and Orthopaedics
Email: vetrilams@cito-priorov.ru
ORCID iD: 0000-0001-6689-5220
SPIN-code: 9690-5117
MD, Cand. Sci. (Medicine)
Russian Federation, 10 Priorova st, Moscow, 127299Igor N. Lisyansky
Priorov National Medical Research Centre for Traumatology and Orthopaedics
Email: lisigornik@list.ru
ORCID iD: 0000-0002-2479-4381
SPIN-code: 9845-1251
MD, Cand. Sci. (Medicine)
Russian Federation, 10 Priorova st, Moscow, 127299Sergey N. Makarov
Priorov National Medical Research Centre for Traumatology and Orthopaedics
Email: moscow.makarov@gmail.com
ORCID iD: 0000-0003-0406-1997
SPIN-code: 2767-2429
MD, Cand. Sci. (Medicine)
Russian Federation, 10 Priorova st, Moscow, 127299Uliya V. Strunina
Burdenko National Medical Research Centre for Neurosurgery
Email: ustrunina@nsi.ru
ORCID iD: 0000-0001-5010-6661
SPIN-code: 9799-5066
MD
Russian Federation, MoscowReferences
- Zhao DY, McCann L, Hahn G, Hedrich CM. Chronic nonbacterial osteomyelitis (CNO) and chronic recurrent multifocal osteomyelitis (CRMO). J Transl Autoimmun. 2021;4:100095. doi: 10.1016/j.jtauto.2021.100095
- Young S, Sharma N, Lee JH, et al. Mast cells enhance sterile inflammation in chronic nonbacterial osteomyelitis. Dis Model Mech. 2019;12(8):dmm040097. doi: 10.1242/dmm.040097
- Hofmann SR, Kapplusch F, Mäbert K, Hedrich CM. The molecular pathophysiology of chronic non-bacterial osteomyelitis (CNO) — a systematic review. Mol Cell Pediatr. 2017;4(1):7. doi: 10.1186/s40348-017-0073-y
- Hedrich CM, Morbach H, Reiser C, Girschick HJ. New Insights into Adult and Paediatric Chronic Non-bacterial Osteomyelitis CNO. Curr Rheumatol Rep. 2020;22(9):1–11. doi: 10.1007/s11926-020-00928-1
- Kostik MM, Kopchak OL, Chikova IA, et al. Differentiated approach to non-bacterial osteomyelitis treatment in children: The retrospective study results. Vopr Sovrem Pediatr. 2016;15(5):505–512. doi: 10.15690/vsp.v15i5.1625 EDN: WZKNDB
- Wipff J, Costantino F, Lemelle I, et al. A large national cohort of French patients with chronic recurrent multifocal osteitis. Arthritis Rheumatol. 2015;67(4):1128–37. doi: 10.1002/art.39013
- Borzutzky A, Stern S, Reiff A, et al. Pediatric chronic nonbacterial osteomyelitis. Pediatrics. 2012;130(5):e1190–7. doi: 10.1542/peds.2011-3788
- Schnabel A, Range U, Hahn G, Berner R, Hedrich CM. Treatment response and longterm outcomes in children with chronic nonbacterial osteomyelitis. J Rheumatol. 2017;44(7):1058–1065. doi: 10.3899/jrheum.161255
- Girschick H, Finetti M, Orlando F, et al. The multifaceted presentation of chronic recurrent multifocal osteomyelitis: A series of 486 cases from the Eurofever international registry. Rheumatology (Oxford). 2018;57(7):1203–1211. doi: 10.1093/rheumatology/key058
- Kostik MM, Kopchak OL, Chikova IA, Isupova EA, Mushkin AY. Comparison of different treatment approaches of pediatric chronic non-bacterial osteomyelitis. Rheumatol Int. 2019;39(1):89–96. doi: 10.1007/s00296-018-4151-9
- Just A, Adams S, Brinkmeier T, et al. Successful treatment of primary chronic osteomyelitis in SAPHO syndrome with bisphosphonates. J Dtsch Dermatol Ges. 2008;6(8):657–60. (in German). doi: 10.1111/j.1610-0387.2008.06588.x
- Tairov GN, Toptygina AP, Ochkurenko AA, Buklemishev YV, Karpov IN. Experience of successful treatment of a patient with chronic non-bacterial osteomyelitis (clinical case). N.N. Priorov J Traumatol Orthop. 2022;29(4):335–343. doi: 10.17816/vto111823 EDN: CCJWJO
- Kellinsalmi M, Mönkkönen H, Mönkkönen J, et al. In vitro comparison of clodronate, pamidronate and zoledronic acid effects on rat osteoclasts and human stem cell-derived osteoblasts. Basic Clin Pharmacol Toxicol. 2005;97(6):382–91. doi: 10.1111/j.1742-7843.2005.pto_176.x
- Jansson A, Renner ED, Ramser J, et al. Classification of non-bacterial osteitis: Retrospective study of clinical, immunological and genetic aspects in 89 patients. Rheumatology (Oxford). 2007;46(1):154–60. doi: 10.1093/rheumatology/kel190
- Belova NА, Kostik MM, Buklaev DS, et al. Federal’nye klinicheskie rekomendatsii (protokol) po okazaniyu meditsinskoj pomoshhi patsientam s nesovershennym osteogenezom. Moscow; 2015. Available at: http://мороздгкб.рф/wp-content/uploads/2017/03/Федеральные-клинические-рекомендации-протокол-по-оказанию-медицинской-помощи-пациентам-с-несовершенным-остеогенезом.pdf. (In Russ.).
- Li C, Zhao Y, Zuo Y, et al. Efficacy of bisphosphonates in patients with synovitis, acne, pustulosis, hyperostosis, and osteitis syndrome: a prospective open study. Clin Exp Rheumatol. 2019;37(4):663–669.
- Hospach T, Langendoerfer M, Von Kalle T, Maier J, Dannecker GE. Spinal involvement in chronic recurrent multifocal osteomyelitis (CRMO) in childhood and effect of pamidronate. Eur J Pediatr. 2010;169(9):1105–11. doi: 10.1007/s00431-010-1188-5
- Khanna G, Sato TSP, Ferguson P. Imaging of chronic recurrent Multifocal Osteomyelitis. Radiographics. 2009;29(4):1159–77. doi: 10.1148/rg.294085244
- Zhao Y, Wu EY, Oliver MS, et al. Consensus Treatment Plans for Chronic Nonbacterial Osteomyelitis Refractory to Nonsteroidal Antiinflammatory Drugs and/or With Active Spinal Lesions. Arthritis Care Res (Hoboken). 2018;70(8):1228–1237. doi: 10.1002/acr.23462
- Petukhova V, Mushkin A, Kostik M. Bisphosphonate treatment in the bone disorders in children: a systematic review. MedAlliance. 2021;9(3):59–70. doi: 10.36422/23076348-2021-9-3-59-70 EDN: JSMWWT
Supplementary files








