Influence of mechanical injury on glutathione redox-system state in bone marrow of rats
- Authors: Bogdanova I.A.1, Gerasimov A.M.1
-
Affiliations:
- Central Institute of Traumatology and Orthopedics. N.N. Priorov
- Issue: Vol 2, No 1-2 (1995)
- Pages: 44-46
- Section: Original study articles
- Submitted: 26.01.2022
- Accepted: 26.01.2022
- Published: 28.12.1995
- URL: https://journals.eco-vector.com/0869-8678/article/view/99593
- DOI: https://doi.org/10.17816/vto99593
- ID: 99593
Cite item
Full Text
Abstract
Dynamics of activity of glutathione: dehydroascorbate oxyreductase, glutathione peroxydase, glutathione reductase was studied in bone marrow of rats with closed bone fractures during different terms after injury infliction. On day 30 of traumatic disease the activity of glutathione: dehydroascorbate oxyreductuse, calculated jn 1 mg DNA, decreased on 27% that increased the sensitiveness of bone marrow cells to the deficit of ascorbinic acid. The detected stability of glutathione reductase showed the possibility of glutathione application in pharmcotherapy of traumatic disease.
Keywords
Full Text
Регулирующее влияние продуктов свободнорадикального окисления [7] и антиоксидантов, в частности глутатиона [5] и аскорбиновой кислоты (АК) [8, 10], на процессы регенерации обусловливает интерес к изучению эндогенных ферментных систем, обеспечивающих функционирование и взаимосвязь указанных биоантиоксидантов в клетках [9]. Значение АК для репаративного остеогенеза и стимуляции кроветворения, с одной стороны, и усиленное расходование этого витамина в тканях при травмах и хирургических вмешательствах — с другой, хорошо известны [6, 10].
Одним из предполагаемых механизмов сохранения фонда восстановленной формы АК в клетках [4] является ферментативное восстановление дегидро-АК глутатионом при участии глутатион: дегидроаскорбат оксидоредуктазы (ГДАР).
Ранее мы показали относительную стабильность глутатион-зависимых ферментов в костном мозге крыс с переломом кости [1]. В данной работе продолжено исследование активности ГДАР, а также глутатионпероксидазы (ГП) и глутатионредуктазы (ГР) в костном мозге крыс при механической травме кости.
Методика исследования. В опытах использовали белых беспородных крыс-самцов массой 150—200 г, содержавшихся на стандартном рационе. Закрытый перелом кости голени задней конечности производили под эфирным наркозом. Контрольных животных также наркотизировали. Животных выводили из опыта декапитацией на 3, 7, 14-е и 30-е сутки после нанесения травмы (по 6 крыс в каждой группе). В гомогенатах костного мозга определяли, как описано ранее [1—3], активность ГДАР, ГП и ГР, выражая ее в нанокаталах окислившегося (ГДАР, ГП) или образовавшегося (ГР) восстановленного глутатиона на 1 мг ДНК. Содержание ДНК определяли по К. Burton [11]. Статистическую обработку результатов проводили с использованием критерия Стьюдента.
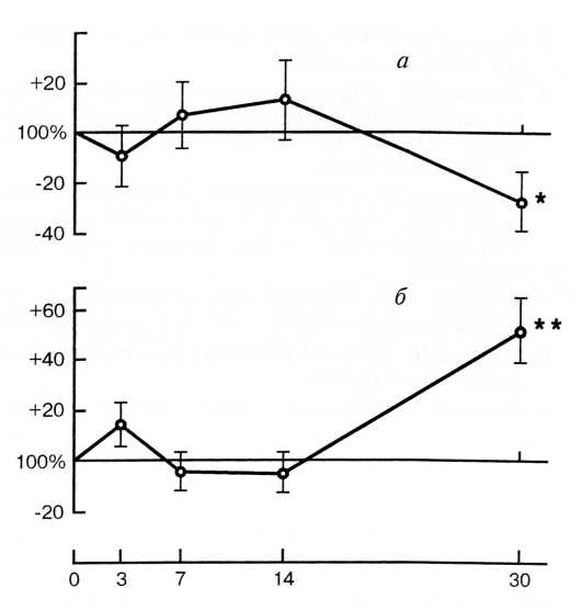
Активность ГДАР (а) и отношение ГР/ГДАР (б) в костном мозге крыс с переломом кости. По оси абсцисс — время после травмы, сутки; по оси ординат — изменение активности (а) или отношения активностей (б), % от контроля. Одна звездочка — р < 0,05, две звездочки — р < 0,01.
Результаты исследования. Как видно из данных, представленных на рисунке (а), в первые 2 нед развития травматической болезни, вызванной переломом кости, статистически значимых изменений активности ГДАР в костном мозге крыс (при расчете на 1 мг ДНК) не отмечается. Лишь к концу 1-го месяца посттравматического периода удается выявить некоторую обедненность (снижение активности фермента на 27%; р < 0,05) новообразованных клеток костного мозга ферментом регенерации АК, обусловливающую их чувствительность к недостатку витамина.
Использованный в данной работе способ расчета активности подтвердил опубликованные ранее [1] данные о стабильности ГП и ГР в костном мозге крыс, получивших механическую травму кости (данные не приводятся).
Статистически достоверных изменений в содержании ДНК в костном мозге крыс в указанные сроки исследования не выявлено.
Анализ взаимосвязи ферментов редокс-цепи глутатиона в костном мозге интактных крыс показал, что отношение уровней активности ГР и ГДАР составляет 3,14±0,18, т.е. мощность восстановления глутатиона в ГР-реакции выше, чем максимально возможного окисления трипептида дегидро-АК, а следовательно, регенерация АК в костном мозге не лимитируется активностью в нем ГР. Отношение мощностей компонентов другой ферментной цепи глутатиона, ГП и ГР, существенно ниже единицы: 0,53±0,03. Учет активностей обоих путей окисления глутатиона также выявляет потенциальную недостаточность ГР-участка редокс-цепи, что следует из «глутатионредуцирующего потенциала» - отношения активности ГР к сумме активностей ГДАР и ГП, равного 0,45±0,02. Исходя из представленных выше данных, костный мозг следует рассматривать как уязвимый для условий и воздействий, требующих усиленного расхода трипептида (окисление сульфгидрильной группы глутатиона).
При развитии травматической болезни баланс указанных ферментных мощностей изменяется (см. рисунок, б) в результате увеличения показателя ГР/ГДАР на 52% по сравнению с контролем (р < 0,01) на 30-е сутки после травмы кости.
Полученные в работе данные подтверждают возможность и целесообразность применения АК и глутатиона в фармакотерапии травматических состояний.
About the authors
I. A. Bogdanova
Central Institute of Traumatology and Orthopedics. N.N. Priorov
Author for correspondence.
Email: info@eco-vector.com
Russian Federation, Moscow
A. M. Gerasimov
Central Institute of Traumatology and Orthopedics. N.N. Priorov
Email: info@eco-vector.com
Russian Federation, Moscow
References
- Богданова И.А., Овчинников К.Г., Торбенко В.П. и др. //Бюл. экспер. биол. — 1987. — Т. 103, N 6. — С. 659— 662.
- Герасимов А.М., Королева Л.А., Брусов О.С. и др. // Вопр. мед. химии. — 1976. — Т. 22, N 1. — С. 89—94.
- Герасимов А. М., Королева Л.А., Иванова Л.И. и др. //Там же. —1979. — Т. 25, N 4. — С. 447—450.
- Герасимов А.М. Антиокислительная ферментная система цитозоля животных: Автореф. дис. ... д-ра мед. наук. — М., 1981.
- Герасимов А.М., Федоров В.И., Кавешников А.П. // Всесоюзная конф. по вопросам регенерации и клеточного деления, 7-я: Тезисы. — М., 1985. — 4.1. — С. 50—52.
- Головин Г.В. Способы ускорения заживления переломов костей. — Л., 1959.
- Жутаев И.А. //Биофизические и физико-химические исследования в витаминологии: Материалы Симпозиума по витаминам антиоксидантного действия. — М., 1981. — С. 96—99.
- Сороковая Г.К. // Теоретические и клинические аспекты науки о питании. Т. 4. Актуальные проблемы витаминологии / Под ред. М.Н. Волгарева. — М., 1983. — С. 42—48.
- Торбенко В.П., Богданова И.А., Герасимов А.М. // Бюл. экспер. биол. — 1983. — Т. 95, N 2. — С. 48—50.
- Шилов П.И., Яковлев Т.Н. Основы клинической витаминологии. — Л., 1974.
- Burton К. // Biochem. J. — 1956. — Vol. 62. — Р. 315.
Supplementary files



