Изменение коры больших полушарий головного мозга и щитовидной железы при моделировании церебральной гипоперфузии и ее комбинации с физической нагрузкой
- Авторы: Гайворонский И.В.1,2, Криштоп В.В.3, Никонорова В.Г.3, Семенов А.А.1,2
-
Учреждения:
- Военно-медицинская академия имени С.М. Кирова
- Санкт-Петербургский государственный университет
- Государственный научно-исследовательский испытательный институт военной медицины
- Выпуск: Том 25, № 3 (2023)
- Страницы: 423-431
- Раздел: Оригинальное исследование
- Статья получена: 09.06.2023
- Статья одобрена: 19.07.2023
- Статья опубликована: 05.10.2023
- URL: https://journals.eco-vector.com/1682-7392/article/view/492253
- DOI: https://doi.org/10.17816/brmma492253
- ID: 492253
Цитировать
Полный текст
Аннотация
Церебральная гипоперфузия в качестве основного механизма ассоциированных с возрастом заболеваний широко распространена в популяции и приводит к снижению трудоспособности в наиболее квалифицированном сегменте сотрудников. Анализируются компенсаторно-приспособительные реакции элементов интегративных систем коры головного мозга, щитовидной железы и крови, при церебральной гипоперфузии и ее сочетании с кратковременной физической нагрузкой. Хроническую гипоперфузию головного мозга моделировали путем перманентной двусторонней окклюзии общих сонных артерий. В исследование было включено 280 крыс, из них 112 подвергались ежедневному кратковременному плаванию в качестве модели реабилитационных мероприятий. На 1-е, 6-е, 8-е, 14-е, 21-е, 28-е, 35-е, 60-е и 90-е сутки после операции животные тестировались при помощи водного лабиринта Морриса и теста «открытое поле». Исследовались гистологические срезы головного мозга и щитовидной железы. В плазме крови определяли концентрацию активных продуктов тиобарбитуровой кислоты, нитритов и L-аргинина. Установлено, что изменения коры больших полушарий головного мозга и щитовидной железы в модели церебральной гипоперфузии характеризуются общей стадийностью: 1–8-е сутки — гипотиреоидное состояние и гибель клеток коры полушарий большого мозга, преимущественно нейронов, 2–3-я недели — стабилизация, переход в эутиреоидное состояние, сопровождающееся десквамацией тироцитов, фолликулогенезом, полнокровием перифолликулярных гемокапилляров, снижением функциональной активности нейронов, активацией астроцитов, 4–5-я недели — развитие неполной адаптации, которая характеризуются приближением нейронов к сосудам гемоциркуляторного русла и погружением сателлитов в цитоплазму нейронов. Также возникает мозаичность кровенаполнения щитовидной железы. Через 3 мес. развиваются дегенеративные изменения клеток коры полушарий большого мозга, снижение численной плотности нейронов и иммунореактивных клеток глиального фибриллярного кислого белка, гипертиреоидное состояние с признаками декомпенсации: плазморрагиями и десквамацией тиреоидного эпителия. Ежедневная 15-минутная физическая нагрузка при церебральной гипоперфузии обладает нейропротекторным эффектом, замедляет прогрессирование гипоксических и нейродегенеративных изменений, снижает концентрацию нитритов и малонового диальдегида крови, количество нейрональной синтазы оксида азота иммунореактивных нейронов.
Полный текст
ВВЕДЕНИЕ
Подавляющее число хронических заболеваний головного мозга тесно связано со снижением гемоперфузии, которая запускает ряд клеточных механизмов: нейродегенерацию [1], некроз и апоптоз нейронов [2], активацию и гибель астроцитов [3] и олигодендроглиоцитов, микроглиальную и астроглиальную активацию, повреждение гемато-энцефалического барьера [4], нарушение гемореологии и гемомикроциркуляции, эндотелиальную дисфункцию, окислительный стресс [5], нейровоспаление, приводящее к снижению когнитивных способностей [6]. Исследования В.Н. Рудакова [7], проведенные в 2020 г., демонстрируют, что совершенствование квалификации сотрудников по мере роста стажа работы ассоциировано с ростом риска церебральной гипоперфузии, что ставит задачу повышения эффективности реабилитационных мероприятий. Неотъемлемым компонентом данных мероприятий является физическая нагрузка.
Цель исследования — анализ компенсаторно-приспособительных реакций интегративных систем моторной коры головного мозга, щитовидной железы и системы крови, при церебральной гипоперфузии и ее сочетания с кратковременной физической нагрузкой.
МАТЕРИАЛЫ И МЕТОДЫ
Хроническую гипоперфузию головного мозга моделировали путем перманентной двусторонней окклюзии общих сонных артерий. Исследование проведено на 280 крысах линии Вистар, массой 180–200 г, содержавшихся в группах по 5 особей в стандартных условиях вивария. Животные разделены 3 основные группы: 1-я группа — контрольная (КГ) — интактные крысы. 2-я группа — модель церебральной гипоперфузии (ЦГ) — двусторонняя перевязка общих сонных артерий под общей анестезией золетилом. Данная методика является «золотым стандартом» долговременной церебральной гипоперфузии у животных [4]. 3-я группа — экспериментальная (ЦГ + СП), ее составили животные с моделью церебральной гипоперфузии, которым начиная с 8-го дня после операции и на протяжении дальнейшего исследования, максимум на протяжении 28 дней (до 35 сут. исследования), проводили ежедневное свободное плавание (СП) длительностью 15 мин. Группы формировали с учетом одинаковой представленности животных с разными результатами предварительного поведенческого тестирования. Животных выводили из эксперимента на 1-е, 6-е, 8-е, 14-е, 21-е, 28-е, 35-е, 60-е и 90-е сутки после операции.
Поведенческое тестирование включало в себя расчет интегрального индекса активности (ИИА), по формуле:
ИИА = ГА / ЛП + ЛПц,
где ГА — горизонтальная активность, ЛП — латентный период первого перемещения и ЛПц — латентный период выхода в центр открытого поля. Для оценки состояния когнитивных функций использовался тест «водный лабиринт Морриса» с расчетом индекса когнитивных функций (ИКФ) [8].
Для гистологического и имунногистохимического исследования использовали фронтальные срезы головного мозга и продольные срезы щитовидной железы толщиной 5 мкм, которые окрашивали гематоксилином-эозином Майора. Срезы головного мозга добавочно окрашивали по Нисслю и при помощи имуногистохимических методик с целью выявления нейрональной синтазы оксида азота (neuronal nitric oxide synthase — nNOS), нейронального ядерного антигена позитивных нейронов (neuronal nuclear protein — NeuN, он же маркер неповрежденных нейронов), и глиального фибриллярного кислого белка (glial fibrillary acidic protein — GFAP) — маркера астроцитов. Нейрональную NO-синтазу и NeuN выявляли с помощью первичных кроличьих моноклональных антител (ab270958, титр 1:200 и ab177487, титр 1:500). GFAP выявляли с помощью первичных поликлональных кроличьих антител (ab16997, UK, титр 1:200). В качестве хромогена использовали тест-систему DAB (ab64238). Детекцию пероксидазы производили с помощью DAB Substrate Kit (ab64238). Морфометрическое исследование осуществлялось на цифровых изображениях 50 случайно выбранных полей зрения (об. × 40) на каждый срок исследования с использованием программы «ImageJ 1.45s».
Биохимические методики исследования включали в себя спектрофотометрическое определение в плазме крови концентрации активных продуктов тиобарбитуровой кислоты (ТБК), соответствующих концентрации малонового диальдегида (МДА), концентрации нитрит-ионов и цитруллина. Интенсивность окислительного стресса оценивали хемилюминесцентным способом по антиоксидантной активности плазмы крови. Определялись максимальная интенсивность свободно-радикальных процессов за все время измерения; светосумма (содержание радикалов, соответствующих обрыву цепи свободнорадикального окисления); tgα — параметр, характеризующий активацию антиоксидантной системы.
Материал представлен как среднеарифметическое значение и среднее квадратичное отклонение. Значимость различий измеряемых параметров оценивалась с помощью непараметрического критерия Манна — Уитни для двух независимых выборок. Различия выборок считали достоверными при p < 0,05.
Эксперимент одобрен этическим комитетом Ярославского государственного медицинского университета (протокол № 8 от 24.03.2016) и выполнен в соответствии с рекомендациями по гуманному обращению с животными, используемыми в экспериментальных и других научных целях1.
РЕЗУЛЬТАТЫ И ИХ ОБСУЖДЕНИЕ
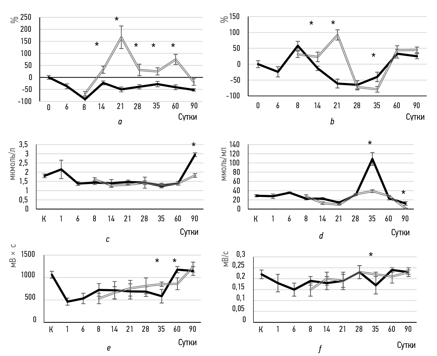
По данным поведенческих исследований установлено, что снижение ИИА приходится на 21–35-е сутки (рис. 1, а), также на 21–35-е сутки приходится снижение когнитивных функций животных (рис. 1, b), что согласуется с результатами аналогичных поведенческих тестов [9]. Ежедневное плавание повышает уровень стрессоустойчивости и ИКФ (pис. 1, a, b).
Рис. 1. Динамика основных поведенческих и биохимических показателей: а — динамика ИИА; b — динамика ИКФ; c — динамика МДА; d — динамика NO; e — динамика S; f — динамика tgα; * — p < 0,05. Маркировка групп: черная сплошная линия — ЦГ; серая двойная линия — ЦГ + СП
Fig. 1. Dynamics of the main behavioral and biochemical indicators: a — dynamics of IIA; b — dynamics of ICF; c — dynamics of MDA; d — dynamics of NO; e — dynamics of S; f — dynamics of tga; * — p < 0.05. Marking of groups: black solid line — CG ; gray double line — CG + SP
Биохимические исследования продемонстрировали, что концентрация МДА в плазме крови формирует два пика, отражающих разрушение липидов клеточных мембран в реакциях оксидантного стресса — на 1-е и 90-е сутки исследования. Воздействие физической нагрузки снижает второй пик (рис. 1, с). Росту МДА предшествует рост оксида азота (NO) плазмы крови — пик приходится на 35-е сутки (рис. 1, d), за которым на 60-е сутки следует рост светосуммы (S), характеризующей количество образовавшихся перекисных радикалов (рис. 1, е). Физическая нагрузка нивелирует рост концентрации оксида азота на 35-е сутки (рис. 1, d), что ассоциировано с уменьшением интенсивности нарастания S на 60-е и 90-е сутки и достоверным снижением концентрации МДА плазмы крови (рис. 1, e). При этом значения tgα в группах варьировал в течение всего срока наблюдения: снижение к 6-м суткам наблюдения, с последующем увеличением вплоть до 90-х суток исследования (рис. 1, f).
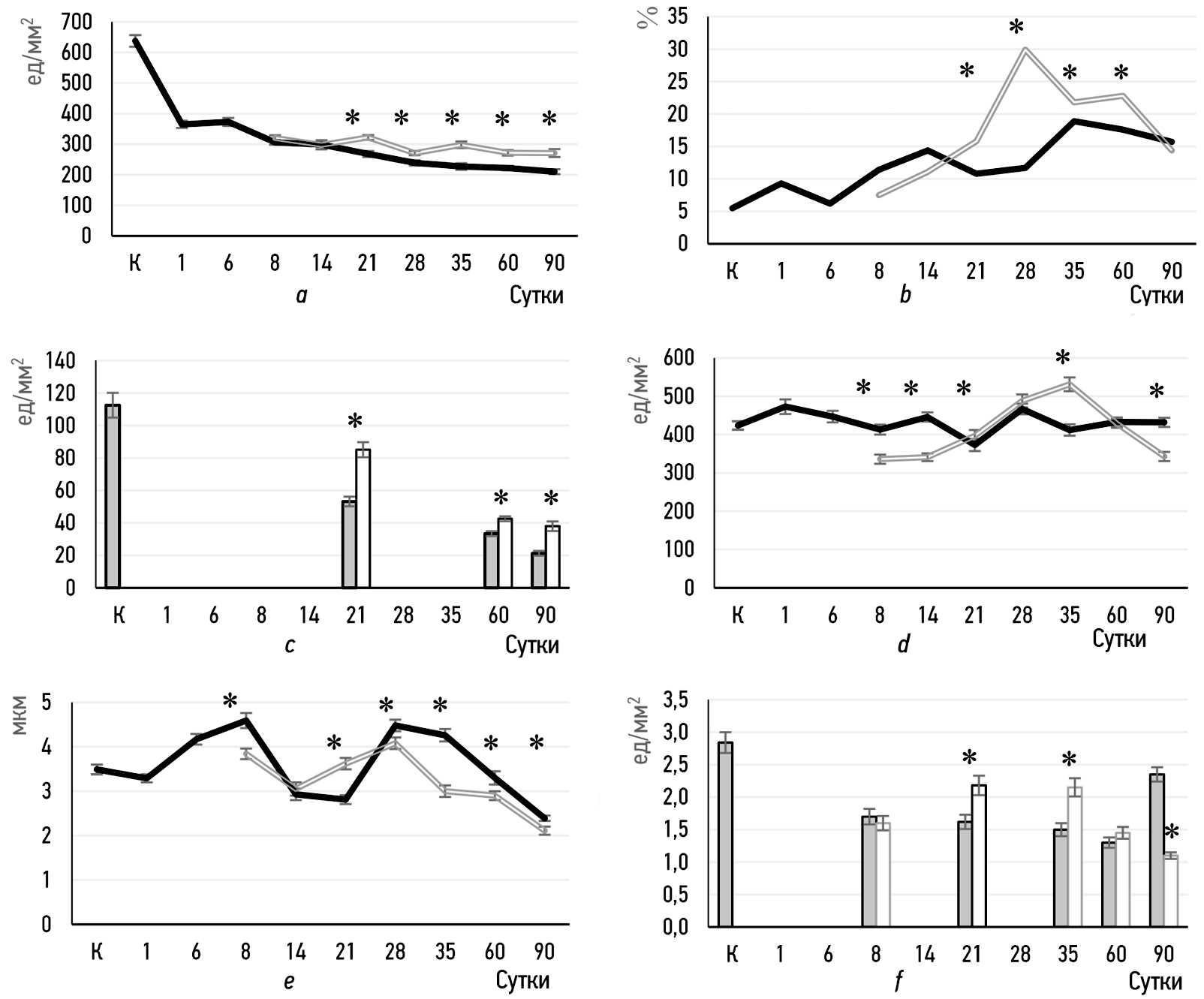
Морфометрия микропрепаратов головного мозга демонстрирует постоянное снижение числа неповрежденных нейронов, наиболее интенсивное на 1-е и 8-е сутки, в дальнейшем снижение стабилизируется. Синхронно растет доля нейронов с двумя и более ядрышками, демонстрируя увеличение функциональной активности выживших нейронов (рис. 2, а, b).
Рис. 2. Динамика основных морфометрических показателей коры больших полушарий головного мозга: a — численная плотность ядросодержащих нейронов без необратимых изменений; b — доля нейронов c 2 ядрышками; с — численная плотность GFAP позитивных клеток в 1 мм2; d — численная плотность макроглии на 1 мм2 среза; e — cреднее расстояние между ядрами нейрона и сателлита; f — численная плотность nNOS-позитивных клеток; * — p < 0,05. Маркировка групп: черная сплошная линия или столбик с черной заливкой — ЦГ; серая двойная линия или столбик с белой заливкой — ЦГ + СП
Fig. 2. Dynamics of the main morphometric indicators of the cerebral cortex: a — numerical density of nucleated neurons without irreversible changes; b — proportion of neurons with 2 nucleoli; c — numerical density of GFAP positive cells in 1 mm2; d — numerical density of macroglia per 1 mm2 slice; e — average distance between the nuclei of a neuron and a satellite; f — numerical density of nNOS-positive cells; * — p < 0.05. Marking of groups: black solid line or column with a black fill — CG; gray double line or column with a white fill — CG + SP
Физическая нагрузка обладает двойным эффектом: тормозит убыль нейронов и стимулирует рост доли нейронов с двумя и более ядрышками. Также физическая нагрузка способствует росту числа астроцитов (рис. 2, с). Однако общая численная плотность макроглии на 1 мм2 среза на 90-е сутки в группе ЦГ + СП снижается (рис. 2, d), что позволяет предположить уменьшение численной плотности олигодендроглиоцитов. Нейроглиальный индекс (соотношение числа глиоцитов к числу нейронов на срезе), постоянно растущий по мере развития церебральной гипоперфузиии, при этом также снижается. Тесное взаимодействие сателлита с перикарионом, погружение в цитоплазму нейрона и сближение ядер этих клеток, призвано обеспечить рост площади нейроглиального соприкосновения для улучшения трофики нейрона [10]. В группе ЦГ отмечалась тенденция к формированию более плотных нейроглиальных взаимоотношений, которая нарушалась на 8-е и 28–35-е сутки исследования, но влияние физической нагрузки сглаживало эти изменения (рис. 2, d). Также на 28-е сутки отмечался рост числа глиоцитов в непосредственной близости от гемокапилляра. В этом интервале 21–35-х суток отмечается рост численной плотности nNOS-позитивных клеток в группе с ежедневной физической нагрузкой (рис. 2, f).
Эти изменения ассоциированы с ростом численной плотности NeuN-позитивных клеток на 35-е сутки, появлением телец Ронкорони [11], выравниванием кровоснабжения в коре группы экспериментальных животных, что может отражать нейропротекторное действие физической нагрузки. Кроме того, именно с этого времени, по данным E. Farkas, P.G.M. Luiten, F. Bari [12], начинается медленное частичное восстановление кровотока в церебральной коре. Также выявлено снижение количества GFAP-позитивных клеток по сравнению с показателями интактных животных (рис. 2, с).
Морфометрия срезов щитовидной железы демонстрирует снижение средней высоты тироцитов фолликулов под влиянием церебральной гипоперфузии на протяжении 2 нед. от начала эксперимента в обеих группах (рис. 3, а). В дальнейшем отмечается ее рост, более интенсивный в группе ЦГ + СП. 35-е сутки — это срок с максимальными показателями высоты тиреоидного эпителия в этой группе, в дальнейшем высота снижается ниже показателей КГ. В последней рост этого показателя происходит более равномерно, достигая максимальных значений к 90-м суткам исследования.
Рис. 3. Динамика основных морфометрических показателей щитовидной железы: а — средняя высота тиреоидного эпителия фолликулов; b — средний диаметр фолликулов; с — средняя площадь островков интерфолликулярного эпителия; d — удельный вес перифолликулярных гемокапилляров на срезе; * — p < 0,05. Маркировка групп: черная сплошная линия — ЦГ, серая двойная линия — ЦГ+ СП
Fig. 3. Dynamics of the main morphometric parameters of the thyroid gland: a — average height of the thyroid epithelium of the follicles; b — average diameter of the follicles; c — average area of the islets of the interfollicular epithelium; d — specific gravity of the peripheral hemocapillaries on the slice; * — p < 0.05. Marking groups: black solid line — CG, gray double line — CG + SP
Рост высоты тироцитов в КГ на 21-е, 28-е и 35-е сутки сопровождается ростом среднего диаметра фолликула. Поскольку последний включает в себя также размеры коллоида, можно предположить, что происходит рассогласование между уровнем активации фолликулов и эффективностью их гормонсинтетических процессов. В группе ЦГ + СП в эти сроки выявлено уменьшение среднего диаметра фолликула (рис. 3, b), что может свидетельствовать о большей эффективности тиреоидсинтетических процессов при воздействии физической нагрузки.
Удельный вес перифолликулярных гемокапилляров на срезе нарастает по мере увеличения срока эксперимента, вероятно, отражая развитие венозной гиперемии при гипоперфузии (рис. 3, с). Рост этого показателя при комбинации с физической нагрузкой более интенсивный на 35-е и 60-е сутки. Средняя площадь островка интерфолликулярного эпителия при церебральной гипоперфузии возрастает и превышает аналогичный показатель в группе ЦГ + СП. Учитывая нейропротекторную роль тиреоидных гормонов при ишемических инсультах, это можно интерпретировать как саногенетический эффект.
Выявленное нами снижение числа астроцитов в комплексе с прогрессирующим снижением числа неповрежденнных нейронов, особенно на поздних сроках исследования, может быть следствием роста пироптоза [13]. Это подтверждается наблюдаемым нами нейропротекторным эффектом физической нагрузки, поскольку недавние исследования M.X. Liu, L. Luo, J.H. Fu et al. [14] демонстрируют, что последний осуществляется в рамках реперфузионного повреждения, вызванного ростом свободных радикалов, которое, по данным E. Farkas, P.G.M. Luiten, F. Bari [12], характерно для поздних сроков используемой нами модели церебральной гипоперфузии и обусловлено развитием анастомозов.
По данным V. Chrishtop, V. Nikonorova, A. Gutsalova et al. [4], церебральная гипоперфузия и физическая нагрузка имеют несколько сопряженных механизмов. Нейрональная NO-синтаза играет важную роль в обучении, формировании памяти и синаптической пластичности, ее активность также опосредует восприимчивость индивида к стрессу [15]. С активностью локальной NO-ергической системы коры головного мозга тесно сопряжена выраженность оксидантного стресса, состояние оксидантной и противооксидантной систем крови [16]. Вторым важным компонентном нейроглиального ансамбля можно считать астроциты. В норме и при церебральной гипоксии астроциты обеспечивают трофическую функцию, нейроваскулярное ремоделирование и модуляцию, участвуют в нервной пластичности. На организменном уровне оказывают существенное влияние на работу нейрональных сетей и когнитивную функцию животных, выявляемую в водном лабиринте Морриса [17].
ЗАКЛЮЧЕНИЕ
Межорганные перестройки при церебральной гипоперфузии характеризуются общей стадийностью. Период альтерации (1–8-е сутки): гипотиреоидное состояние и гибель клеток коры, преимущественно нейронов. Период стабилизации, регуляции адаптогенеза (2–3-я недели): переход в эутиреоидное состояние, с десквамацией тироцитов, снижение функциональной активности нейронов, активация астроцитов. Развитие неполной адаптации (4–5-я недели): сопровождается приближением нейронов к сосудам гемоциркуляторного русла и погружением сателлитов в цитоплазму нейронов. Отмечается мозаичность кровенаполнения сосудов головного мозга и щитовидной железы. Период дезадаптации (3 мес.): развиваются дегенеративные изменения клеток коры и снижение численной плотности нейронов и GFAP-IR-клеток, гипертиреоидное состояние щитовидной железы. Физическая нагрузка при церебральной гипоперфузии обладает нейропротекторным эффектом, замедляет прогрессирование гипоксических и нейродегенеративных изменений, снижает концентрацию нитритов и МДА крови, количество nNOS-IR-нейронов.
ДОПОЛНИТЕЛЬНАЯ ИНФОРМАЦИЯ
Вклад авторов. Все авторы внесли существенный вклад в разработку концепции, проведение исследования и подготовку статьи, прочли и одобрили финальную версию перед публикацией.
Вклад каждого автора: И.В. Гайворонский — разработка общей концепции, дизайн исследования; В.В. Криштоп — анализ данных; В.Г. Никонорова — сбор материала; А.А. Семенов — написание статьи.
Конфликт интересов. Авторы декларируют отсутствие явных и потенциальных конфликтов интересов, связанных с публикацией настоящей статьи.
Источник финансирования. Авторы заявляют об отсутствии внешнего финансирования при проведении исследования.
ADDITIONAL INFORMATION
Authors’ contribution. Thereby, all authors made a substantial contribution to the conception of the study, acquisition, analysis, interpretation of data for the work, drafting and revising the article, final approval of the version to be published and agree to be accountable for all aspects of the study.
The contribution of each author: I.V. Gaivoronsky — development of a general concept, research design; V.V. Kryshtop — data analysis; V.G. Nikonorova — collection of material; A.A. Semenov — writing an article.
Competing interests. The authors declare that they have no competing interests.
Funding source. This study was not supported by any external sources of funding.
1 Приказ Министерства здравоохранения Российской Федерации от 1 апреля 2016 г. № 199н «Об утверждении Правил надлежащей лабораторной практики».
Об авторах
Иван Васильевич Гайворонский
Военно-медицинская академия имени С.М. Кирова; Санкт-Петербургский государственный университет
Email: i.v.gaivoronsky@mail.ru
ORCID iD: 0000-0002-7232-6419
SPIN-код: 1898-3355
ResearcherId: А-6482-2016
д-р мед. наук, профессор
Россия, Санкт Петербург; Санкт ПетербургВладимир Владимирович Криштоп
Государственный научно-исследовательский испытательный институт военной медицины
Email: chrishtop@mail.ru
ORCID iD: 0000-0002-9267-5800
SPIN-код: 3734-5479
Scopus Author ID: 57207690596
ResearcherId: J-3456-2017
канд. мед. наук, ведущий научный сотрудник
Россия, Санкт ПетербургВарвара Геннадьевна Никонорова
Государственный научно-исследовательский испытательный институт военной медицины
Email: bgnikon@gmail.com
ORCID iD: 0000-0001-9453-4262
SPIN-код: 2161-4838
Scopus Author ID: 57217099371
ResearcherId: AAI-7758-2020
младший научный сотрудник
Россия, Санкт ПетербургАлексей Анатольевич Семенов
Военно-медицинская академия имени С.М. Кирова; Санкт-Петербургский государственный университет
Автор, ответственный за переписку.
Email: semfeodosia82@mail.ru
ORCID iD: 0000-0002-1977-7536
SPIN-код: 1147-3072
ResearcherId: IAP-1241-2023
канд. мед. наук
Россия, Санкт-Петербург; Санкт-ПетербургСписок литературы
- Auchter A.M., Barrett D.W., Monfils M.H., Gonzalez-Lima F. Methylene blue preserves cytochrome oxidase activity and prevents neurodegeneration and memory impairment in rats with chronic cerebral hypoperfusion // Front Cell Neurosci. 2020. Vol. 14. ID 130. doi: 10.3389/fncel.2020.00130
- Шилов В.В., Юдин М.А., Никонова С.М., и др. Изучение эффективности лекарственных средств на модели экспериментальной нейропатии при отравлении малатионом // Медицина труда и промышленная экология. 2013. № 8. С. 13–18.
- Wang X.-X., Zhang B., Xia R., Jia Q.-Y. Inflammation, apoptosis and autophagy as critical players in vascular dementia // Eur Rev Med Pharmacol Sci. 2020. Vol. 24, Nо. 18. P. 9601–9614. doi: 10.26355/eurrev_202009_23048
- Chrishtop V., Nikonorova V., Gutsalova A., et al. Systematic comparison of basic animal models of cerebral hypoperfusion // Tissue Cell. 2021. Vol. 23. ID 101715. doi: 10.1016/j.tice.2021.101715
- Chrishtop V.V., Tomilova I.K., Rumyantseva T.A., et al. The effect of short-term physical activity on the oxidative stress in rats with different stress resistance profiles in cerebral hypoperfusion // Mol Neurobiol. 2020. Vol. 57, Nо. 7. P. 3014–3026. doi: 10.1007/s12035-020-01930-5
- Торшин И.Ю., Громова О.А., Назаренко А.Г. Хондропротекторы как модуляторы нейровоспаления // Неврология, нейропсихиатрия, психосоматика. 2023. Т. 15, № 1. С. 110–118. doi: 10.14412/2074-2711-2023-1-110-118
- Рудаков В.Н. Различия в положении профессорско-преподавательского состава вузов по возрастным группам. Мониторинг экономики образования в 2 т. Т. 2 / сост. Н.Б. Шугаль. Москва: НИУ ВШЭ, 2021. 256 с.
- Ивлиева А.Л., Петрицкая Е.Н., Рогаткин Д.А., Демин В.А. Методические особенности применения водного лабиринта Морриса для оценки когнитивных функций у животных // Российский физиологический журнал им. И.М. Сеченова. 2016. Т. 102, № 1. С. 3–17.
- Чепур С.В., Быков В.Н., Юдин М.А., и др. Особенности экспериментального моделирования соматических и неврологических заболеваний для оценки эффективности лекарственных препаратов // Биомедицина. 2012. № 1. С. 16–28.
- Степанов А.С., Акулинин В.А., Мыцик А.В., и др. Нейро-глио-сосудистые комплексы головного мозга после острой ишемии // Общая реаниматология. 2017. Т. 13, № 6. С. 6–17. doi: 10.15360/1813-9779-2017-6-6-17
- Криштоп В.В., Никонорова В.Г., Румянцева Т.А. Изменения клеточного состава коры головного мозга у крыс с разным уровнем когнитивных функций при церебральной гипоперфузии // Журнал анатомии и гистопатологии. 2019. T. 8, № 4. C. 22–29. doi: 10.18499/2225-7357-2019-8-4-22-29
- Farkas E., Luiten P.G.M., Bari F. Permanent, bilateral common carotid artery occlusion in the rat: A model for chronic cerebral hypoperfusion-related neurodegenerative diseases // Brain Res Rev. 2007. Vol. 54, Nо. 1. P. 162–180. doi: 10.1016/j.brainresrev.2007.01.003
- Самарцев И.Н., Живолупов С.А. Новые перспективы медикаментозной терапии хронической ишемии головного мозга с позиций нейровоспаления // Клиническая фармакология и терапия. 2022. Т. 31, № 3. С. 4–8. doi: 10.32756/0869-5490-2022-3-4-8
- Liu M.-X., Luo L., Fu J.-H., et al. Exercise-induced neuroprotection against cerebral ischemia/reperfusion injury is mediated via alleviating inflammasome-induced pyroptosis // Exp Neurol. 2022. Vol. 349. ID 113952. doi: 10.1016/j.expneurol.2021.113952
- Qin C., Bian X.-L., Wu H.-Y., et al. Prevention of the return of extinguished fear by disrupting the interaction of neuronal nitric oxide synthase with its carboxy-terminal PDZ ligand // Mol Psychiatry. 2021. Vol. 26, Nо. 11. P. 6506–6519. doi: 10.1038/s41380-021-01118-w
- Grochowski C., Litak J., Kamieniak P., Maciejewski R. Oxidative stress in cerebral small vessel disease. Role of reactive species // Free Radic Res. 2018. Vol. 52, Nо. 1. P. 1–13. doi: 10.1080/10715762.2017.1402304
- Sardinha V.M., Guerra-Gomes S., Caetano I., et al. Astrocytic signaling supports hippocampal-prefrontal theta synchronization and cognitive function // Glia. 2017. Vol. 65, Nо. 12. P. 1944–1960. doi: 10.1002/glia.23205
Дополнительные файлы






