Possibilities of transient and two-dimensional shear wave elastography in the diagnosis of fibrosis in nonviral chronic diffuse liver diseases in military personnel
- Authors: Zhirkov I.I.1, Gordienko A.V.1, Yakovlev V.V.1, Serdyukov D.Y.1, Dorohov G.Y.1, Vashchenkov V.V.1, Brynyuk A.S.1, Shichkin M.F.1
-
Affiliations:
- Military Medical Academy. S. M. Kirov
- Issue: Vol 22, No 2 (2020)
- Pages: 11-15
- Section: Articles
- Submitted: 12.11.2020
- Published: 15.06.2020
- URL: https://journals.eco-vector.com/1682-7392/article/view/50037
- DOI: https://doi.org/10.17816/brmma50037
- ID: 50037
Cite item
Full Text
Abstract
The study examines the possibilities of transient and two-dimensional shear wave elastography in the diagnosis of fibrosis in the most common chronic diffuse liver diseases of non-viral etiology: alcoholic and non-alcoholic fatty liver disease, as well as their combination. It was found that in patients suffering from these diseases, the values of aspartate and alanine aminotransferase, gamma-glutamyl transpeptidase, cholesterol, triglycerides, as well as the oblique vertical size of the right lobe of the liver were significantly (p<0,05) higher than in patients of the control group. Moreover, most of these indicators reliably (p<0,01) reached the highest values in patients suffering from fatty liver disease of alcohol-metabolic etiology, which confirms a more pronounced damaging effect on the liver with a combination of alcohol and metabolic factors. It has been established that the use of transient and two-dimensional elastography is characterized by high diagnostic significance in determining the stage of fibrosis in chronic diffuse liver diseases of non-viral etiology. The greatest diagnostic significance of elastographic research methods is noted in the third and fourth stages of fibrosis. In the second stage of fibrosis, the quality of diagnostic significance when using transient elastography was higher than when using two-dimensional shear wave. The use of transient and two-dimensional shear wave elastography in most cases avoids liver biopsy in patients suffering from chronic diffuse liver diseases of non-viral etiology. Therefore, in the diagnosis of chronic diffuse liver diseases, the presence and degree of fibrosis is a factor that will largely determine the prognosis, treatment tactics and the likelihood of complications in a particular patient.
Keywords
Full Text
Введение. Хронические диффузные заболевания печени (ХДЗП) – это чрезвычайно распространенная группа заболеваний, которыми на сегодняшний момент страдают более 2 млрд жителей нашей планеты [2]. Значимость этой проблемы во многом связана с увеличивающейся частотой основных факторов ри ска, таких как злоупотребление алкоголем, ожирение, инсулинорезистентность, дислипидемия, нерацио нальное применение лекарственных препаратов и др.
Установление наличия и степени фиброза при ХДЗП является тем решающим фактором, который будет определять прогноз, тактику лечения и вероятность развития тяжелых осложнений у данной категории пациентов [6].
Классическим «золотым стандартом» диагн стики ХДЗП, в том числе и фиброзных изменений, является пункционная биопсия печени с гистологическим исследованием печеночной ткани [5, 7, 8]. Однако возможность потенциальных осложнений, ряд противопоказаний к выполнению процедуры, низкая комплаентность пациентов, а также неверная трактовка полученных результатов ввиду малого количества исследуемого материала являются существенными ограничениями этой методики диагностики. Указанные недостатки послужили толчком для поиска других неинвазивных методик диагностики фиброза печени, используемых как при первичном обследовании, так и последующем контроле за пациентом.
Основной методикой в неинвазивной инструментальной диагностике фиброза печени является эластография, которая позволяет определить степень эластичности печеночной ткани. Сам термин «эластография» (от лат. elasticus — «упругий» и греч. γραϕω — «пишу») был предложен исследователями из Хьюстона (Соединенные Штаты Америки – США) в 1991 г. [9]. С точки зрения физических основ, при эластографии определяют величину модуля упругости Юнга (Е), который характеризует свойства мягких тканей сопротивляться воздействию в виде растяжения или сжатия, а также возвращать свою первоначальную форму при упругой деформации. Результат исследования эластичности ткани печени соответствует степени фиброза по шкале французской совместной исследовательской группы «METAVIR» [10].
Признанным лидером среди аппаратов для выполнения эластографии печени является фиброскан («FibroScan») производства компании «Echosense» (Франция). В основе его работы используется запатентованная технология транзиентной эластографии (ТЭ) посредством контролируемой вибрации (vibration controlled transient elastography – VCTE). При воздействии механического колебания датчика происходит генерация сдвиговых волн, которые распространяются с различной скоростью при изменении эластичности ткани печени. При фиброзных изменениях плотность паренхимы печени повышается, что приводит к нарушению эластичности и увеличению значений Е, измеряемого в килопаскалях.
Не менее популярной методикой диагностики фиброза печени является двухмерная сдвиговолновая эластография (two-dimension shear wave elastography – 2D-SWE). Данная методика не требует наличия специального оборудования и представляет собой опцию ультразвуковых диагностических систем высокого уровня. В основе ее работы также лежит феномен смещения тканей на различной глубине, но не за счет механического воздействия, а посредством генерации множественных фокусированных акустических импульсов. При увеличении жесткости и эластичности ткани, а также степени фиброзных изменений в печени скорость распространения сдвиговых волн, измеряемая в метрах в секунду (м/с), будет увеличиваться. При проведении исследования на стандартное ультразвуковое изображение печени в В-режиме серой шкалы накладывается эластограмма. В зависимости от выраженности фиброза участок эластограммы приобретает цвет: при F0 – синий, F1 – голубой, F2 – зеленый, F3 – желтый, F4 – красный.
Цель исследования. Оценить диагностические возможности транзиентной и двухмерной сдвиговолновой эластографии для определения степени фиброзных изменений у больных, страдающих хроническими диффузными заболеваниями печени невирусной этиологии.
Материалы и методы. В исследование было включено 405 военнослужащих-мужчин в возрасте от 20 до 55 лет с признаками хронического диффузного заболевания печени по данным ультразвукового исследования и/или отклонениями в показателях аланинаминотрансферазы (АЛТ), аспартатаминотрансферазы (АСТ) и гамма-глутамилтранспептидазы (ГГТП) при биохимическом исследовании сыворотки крови. Средний возраст включенных в исследование составил 40,4±7,8 года. Критерием исключения из исследования являлись вирусные гепатиты, а также очаговые поражения печени различного генеза. В результате полного комплексного клинического, лабораторного и инструментального обследования были сформированы 4 группы. Первую группу составили 159 пациентов, страдающих неалкогольной жировой болезнью печени (НАЖБП), вторую – 66 больных, страдающих алкогольной болезнью печени (АБП), третью – 122 пациента, страдающих жировой болезнью печени алкогольно-метаболической этиологии (ЖБПАМЭ). 58 обследуемых, у которых не была выявлена патология печени, составили контрольную группу (КГ). Случаев аутоиммунного заболевания печени, лекарственных поражений, болезней накопления, а также врожденной патологии обмена среди исследуемого контингента не выявлено. Из антропометрических данных оценивали рост, массу тела, индекс массы тела (ИМТ), окружность талии (ОТ).
Биохимическое исследование сыворотки крови выполняли на автоматическом анализаторе «Beckman Coulter AU680» (США) с определением уровня АСТ, АЛТ, ГГТП, общего и прямого билирубина, холестерина (ХС), триглицеридов (ТГ), щелочной фосфатазы (ЩФ), глюкозы, меди, железа. Протеинограмму исследовали на автоматическом анализаторе «Helena SAS 1» (Великобритания), используя электрофорез в агарозном геле. Маркеры вирусных гепатитов определяли путем иммуноферментного анализа.
Ультразвуковое исследование (УЗИ) органов брюшной полости выполняли на аппарате «Acuson S2000» компании «Siemens» (США) и мобильном аппарате «СХ50» компании «Phillips» (Нидерланды) в режиме серой шкалы с использованием конвексных датчиков с частотой 3,5 мГц. Определяли толщину, краниокаудальный и косой вертикальный размер правой доли печени (КВР ПД), а также вертикальный размер и толщину левой доли. Оценивали однородность структуры и эхогенность печени, архитектонику печеночных вен, наличие феномена дистального затухания звука, визуализацию диафрагмального контура, размеры селезенки, диаметр воротной и селезеночной вен.
TЭ печени выполняли на аппаратах «FibroScan 502» и «FibroScan 530 Compact» с использованием датчиков M+ и XL в стандартном положении пациента лежа на спине с отведенной за голову правой рукой. Измерения осуществляли в VIII–IX межреберьях в зоне от правой задней до передней подмышечной линии. Валидным результатом исследования признавали среднее значение E после минимум 10 успешных измерений, выполненных в одной точке, при условии, что интерквартильный размах не превышал 1/4 от E. При исследовании в окне режима «время – движение» формировали однородную картину паренхимы печени, а в окне режима амплитуды – косовосходящий сигнал без выраженных колебаний. Степень фиброза трактовали, используя рекомендованные компанией «Echosense» данные: F1 (6,5–7,2 кПа), F2 (7,3–9,5 кПа), F3 (9,6–12,5 кПа), F4 (более 12,6 кПа) [11].
2D-SWE печени выполняли на аппарате «Logiq E9» фирмы «General Electric» (США), в положении пациента лежа на спине с отведенной за голову правой рукой, выбирая для исследования зону паренхимы печени на глубине от 1 до 6 см, лишенную крупных сосудов, с формированием однородной эластограммы при полном прокрашивании цветового окна. Условия для обеспечения валидности исследования соблюдались те же, что и при ТЭ. Степень выраженности фиброза оценивали по значениям скорости сдвиговой волны (V) в соответствии с рекомендациями производителя: F1 (1,35–1,66 м/с), F2 (1,67–1,77 м/с), F3 (1,78–1,99 м/с), F4 (более 1,99 м/с).
Для выполнения морфологического исследования забор материала осуществляли при выполнении чрескожной пункционной биопсии печени под контролем УЗИ или интраоперационно у пациентов хирургического стационара во время проведения хирургического вмешательства. Анализ гистологических препаратов проводили по одобренной Европейскими рекомендациями [12] шкале стеатоза, активности и фиброза (steatosis, activity and fibrosis – SAF) [8], характеризующей выраженность стеатоза (S), баллонной дистрофии и лобулярного воспаления (A), а также стадию фиброза печени (F).
Накопление, корректировку и систематизацию информации осуществляли в электронных таблицах Microsoft Office Excel 2019. Статистическую обработку результатов выполняли с помощью программ Statistica 10 (StatSoft Inc., США) и MedCalc 19 (Med-Calc Software, Бельгия). Гипотезу нормального распределения проверяли с применением критерия Колмогорова – Смирнова. Количественные показатели, имеющие нормальное распределение, описаны как средние значения (M) и стандартное отклонение (±SD), не имеющие нормального распределения – как медиана (Mе) и квартили (Ме (25; 75)). Анализ диагностической значимости эластографических методик проводили с помощью анализа так называемой рабочей характеристики приемника (receiver operating characteristic – ROC) с построением характеристических кривых и определением площади под ними (Area Under Receiver Operating Characteristic – AUROC). Качество диагностической значимости оценивали по интервалам AUROC: от 1 до 0,9 ед. как отличное, от 0,89 до 0,8 ед. как очень хорошее, от 0,79 до 0,7 ед. как хорошее, от 0,69 до 0,6 ед. как удовлетворительное, ниже 0,6 ед. как неудовлетворительное.
Результаты и их обсуждение. Установлено, что ИМТ, ОТ, АЛТ, АСТ, ГГТП, ХС, ТГ и КВР ПД печени при УЗИ у больных, страдающих ХДЗП, достоверно (р<0,05) отличались от обследуемых КГ (табл. 1).
Таблица 1. Антропометрические, биохимические и УЗИ-показатели обследуемых пациентов, Mе (25; 75)
Показатель | Группа | |||
КГ | НАЖБП | АБП | ЖБПАМЭ | |
ИМТ, г/м2 | 24,2 (23,7; 24,8) | 321 (31,3; 32,7) | 26,21 (25,7; 26,6) | 32,41 (31,9; 32,9) |
ОТ, см | 86,1 (84,3; 87,9) | 104,31 (102,8; 105,7) | 91,71 (90,5; 92,9) | 104,71 (103,5; 105,9) |
АЛТ, ед/л | 26 (24,3; 27,7) | 47,51 (41,6; 53,5) | 40,11 (36,3; 43,9) | 65,51, 2 (55,1; 75,9) |
АСТ, ед/л | 22,2 (20,7; 23,7) | 34,61 (31,7; 37,5) | 52,41 (47,1; 57,7) | 69,61, 2 (58,8; 80,3) |
АСТ / АЛТ | 0,86 (0,84; 0,89) | 0,81 (0,78; 0,83) | 1,31 (1,28; 1,34) | 1,121 (1,07; 1,17) |
ГГТП, ед/л | 27,9 (24; 31,8) | 52,41 (42,4; 62,5) | 51,31 (42; 60,6) | 80,11, 2 (67,2; 93,1) |
глюкоза, ммоль/л | 5,37 (5,21; 5,53) | 5,721 (5,5; 5,93) | 5,6 (5,41; 5,83) | 5,61 (5,52; 5,7) |
ХС, ммоль/л | 4,97 (4,77; 5,17) | 5,291 (5,14; 5,45) | 5,481 (5,17; 5,79) | 5,471 (5,28; 5,67) |
ТГ, ммоль/л | 1,18 (1,06; 1,3) | 2,081 (1,85; 2,3) | 1,691 (1,46; 1,92) | 2,221 (2,02; 2,4) |
КВР ПД, см | 14,8 (14,6; 15) | 16,81 (16,6; 17,1) | 16,41 (16; 16,7) | 17,31 (17; 17,7) |
Примечание: 1 – р<0,05 – по сравнению с КГ; 2 – р<0,01 – по сравнению с группами НАЖБП и АБП.
При этом значения АЛТ, АСТ, ГГТП и КВР ПД при УЗИ достоверно (р<0,01) достигали наибольших значений в группе больных, страдающих ЖБПАМЭ, что подтверждает максимальное поражение печени у данной категории больных за счет сочетанного алкогольно-метаболического воздействия.
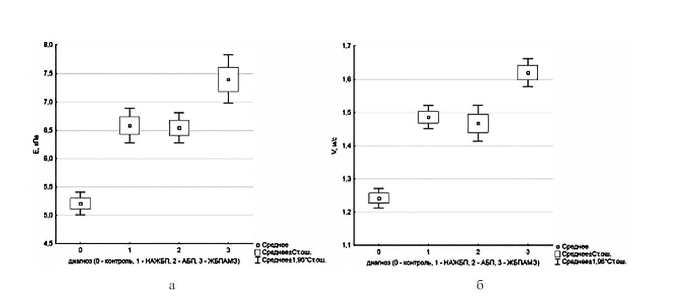
Значения Е и V, характеризующие степень фиброзных изменений, во всех группах, страдающих патологией печени, были достоверно (p<0,01) выше показателей КГ (рис. 1).
Рис. 1. Значения модуля упругости (а) и скорости сдвиговых волн (б) в исследуемых группах
Кроме того, Е и V в группе больных, страдающих ЖБПАМЭ, имели достоверно (p<0,01) большие значения, чем в группах больных, страдающих НАЖБП и АБП, что, вероятно, связано с большим профиброгенным эффектом, наблюдающимся при сочетанном алкогольно-метаболическом поражении печени (2, 4, 13).
Морфологическое исследование выполнено у 79 пациентов, принадлежавших к группе высокого риска, имевших значения E ≥9,3 (при использовании XL-датчика) и ≥9,6 кПа (M+ датчик) [3], а также при необходимости для проведения дифференциальной диагностики.
При проведении ROC-анализа при ТЭ (табл. 2) качество диагностической значимости на стадиях F1 и F2 оценивалось как хорошее (AUROC=0,77±0,05 и 0,76±0,06 ед. соответственно), на стадии F3 – как очень хорошее (AUROC=0,88±0,04 ед.) и на стадии F4 – как отличное (AUROC=0,99±0,04 ед.).
Таблица 2. Оценка информативности транзиентной эластографии при определении стадии фиброза печени
Показатель | Стадия фиброза (METAVIR) | |||
F1 | F2 | F3 | F4 | |
AUROC, ед. | 0,77±0,05 | 0,76±0,06 | 0,88±0,04 | 0,99±0,04 |
Чувствительность, % | 96 | 78 | 95 | 100 |
Специфичность, % | 70 | 80 | 85 | 93 |
Индекс Юдена, ед. | 0,66 | 0,58 | 0,8 | 0,93 |
При оценке информативности 2D-SWE (табл. 3) при F2 качество диагностической модели оценивалось как удовлетворительное (AUROC=0,68±0,06 ед.), при F1 – как хорошее (AUROC=0,76±0,05 ед.), при F3 – как очень хорошее (AUROC=0,81±0,04 ед.), при F4 – как отличное (AUROC=0,93±0,04 ед.).
Таблица 3. Оценка информативности двухмерной эластографии сдвиговой волны при определении стадии фиброза печени
Показатель | Стадия фиброза (METAVIR) | |||
F1 | F2 | F3 | F4 | |
AUROC, ед. | 0,76±0,05 | 0,68±0,06 | 0,81±0,04 | 0,93±0,04 |
Чувствительность, % | 100 | 85 | 80 | 100 |
Специфичность, % | 48 | 60 | 78 | 73 |
Индекс Юдена | 0,48 | 0,45 | 0,58 | 0,73 |
Таким образом, обе методики диагностики показали очень хорошее и отличное качество диагностики на стадиях фиброза F3 и F4 соответственно. На более ранних стадиях фиброза в случае ТЭ при F1 и F2, а также при 2D-SWE на стадии F1 качество модели расценивалось как хорошее, в случае с 2D-SWE на стадии F2 – как удовлетворительное.
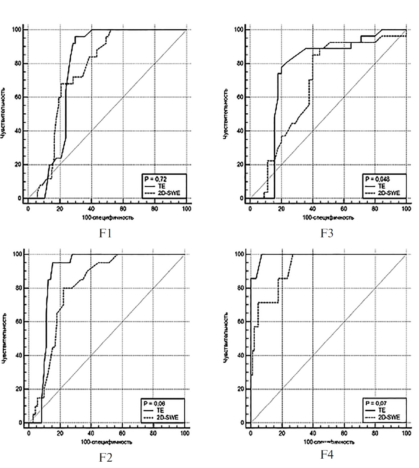
При сравнении значений AUROC двух методик эластографии в диагностике фиброза при ХДЗП достоверные (р=0,048) различия между значениями AUROC в пользу ТЭ отмечались только при F2 (рис. 2).
Рис. 2. Сравнение AUROC при транзиентной и двухмерной сдвиговолновой эластографии на разных стадиях фиброза
Выводы
- Транзиентная и двухмерная сдвиговолновая эластография характеризуются высокой достоверностью, точностью, чувствительностью и специфичностью в определении стадии фиброза при ХДЗП невирусной этиологии.
- Степень фиброзных изменений при сочетанном АМП печени выше, чем при изолированном воздействии алкогольного или метаболического факторов.
- При транзиентной и двухмерной сдвиговолновой эластографии наиболее высокая диагностическая значимость отмечается на третьей и четвертой стадиях фиброза. На второй стадии фиброза качество диагностической модели при проведении транзиентной эластографии выше, чем у двухмерной сдвиговолновой.
- Применение таких неинвазивных инструментальных методик диагностики фиброза, как транзиентная и двухмерная сдвиговолновая эластография, в большинстве случаев позволяет избежать проведения биопсии печени у пациентов, страдающих ХДЗП невирусной этиологии.
About the authors
I. I. Zhirkov
Military Medical Academy. S. M. Kirov
Author for correspondence.
Email: vmeda-nio@mil.ru
Russian Federation, Saint Petersburg
A. V. Gordienko
Military Medical Academy. S. M. Kirov
Email: vmeda-nio@mil.ru
Russian Federation, Saint Petersburg
V. V. Yakovlev
Military Medical Academy. S. M. Kirov
Email: vmeda-nio@mil.ru
Russian Federation, Saint Petersburg
D. Y. Serdyukov
Military Medical Academy. S. M. Kirov
Email: vmeda-nio@mil.ru
Russian Federation, Saint Petersburg
G. Y. Dorohov
Military Medical Academy. S. M. Kirov
Email: vmeda-nio@mil.ru
Russian Federation, Saint Petersburg
V. V. Vashchenkov
Military Medical Academy. S. M. Kirov
Email: vmeda-nio@mil.ru
Russian Federation, Saint Petersburg
A. S. Brynyuk
Military Medical Academy. S. M. Kirov
Email: vmeda-nio@mil.ru
Russian Federation, Saint Petersburg
M. F. Shichkin
Military Medical Academy. S. M. Kirov
Email: vmeda-nio@mil.ru
Russian Federation, Saint Petersburg
References
Supplementary files




