Связь уровня миостатина и вторичной саркопении у пациентов, находящихся на программном гемодиализе
- Авторы: Цыган В.Н.1, Борискина О.Л.1, Яковенко А.А.2, Тутин А.П.3
-
Учреждения:
- Военно-медицинская академия имени С. М. Кирова
- Первый Санкт-Петербургский государственный медицинский университет имени академика И. П. Павлова
- Купчинский центр амбулаторного диализа
- Выпуск: Том 25, № 4 (2023)
- Страницы: 619-627
- Раздел: Оригинальное исследование
- Статья получена: 02.10.2023
- Статья одобрена: 12.10.2023
- Статья опубликована: 25.12.2023
- URL: https://journals.eco-vector.com/1682-7392/article/view/601821
- DOI: https://doi.org/10.17816/brmma601821
- ID: 601821
Цитировать
Аннотация
Анализируется роль миостатина в развитии саркопении у пациентов, получающих программный гемодиализ, и степень выраженности взаимосвязи с другими факторами риска, в частности, между уровнем миостатина в крови и показателями скелетной мускулатуры. Работа выполнена в виде одномоментного проспективного неинтервенционного исследования среди 196 пациентов (97 женщин и 99 мужчин в возрасте от 54 до 66 лет), получающих программный гемодиализ. После подписания информированнного согласия всем пациентам выполнен комплекс обследований, состоящий из оценки антропометрических данных, измерения жизненно важных показателей, определения состояния мышечной системы для диагностики саркопении, в том числе биоимпедансометрия, лабораторные исследования (клинический и биохимический анализы крови). Уровень миостатина в сыворотке крови пациентов определяли однократно за 10 мин до очередного сеанса гемодиализа. Выявлены статистически значимые отрицательные корреляционные связи уровня миостатина с возрастом (ρ = –0,361; p < 0,001), силой скелетной мускулатуры (ρ = –0,140; p = 0,05), скоростью ходьбы (ρ = –0,245; p < 0,001). Повышенные уровни миостатина чаще выявлялись у мужчин (U = 2633, z = –5,462; p < 0,001). Выявлена положительная корреляционная связь уровня миостатина с уровнем интерлейкина 6 (ρ = 0,410; p < 0,001). Использование миостатина для диагностики саркопении имеет чувствительность 71,4 %, специфичность 71,4 %, точка отсечения 5,01 нг/мл, площадь под кривой 0,714 (95 % доверительный интервал: 0,632–0,795; p < 0,001). Повышение уровня миостатина выше 5,01 нг/мл увеличивает вероятность развития саркопении в 6,25 раз (95 % доверительный интервал: 3,314–11,788) (χ2 = 34,639; p < 0,001). Шансы повышения миостатина выше порогового значения в 2,196 раз по результатам короткого международного опросника для определения физической активности (95 % доверительный интервал: 1,209–3,988; χ2 = 6,78; p = 0,009) были выше у пациентов со сниженной физической активностью по сравнению с пациентами с нормальной физической активностью. В целом у пациентов, страдающих хронической болезнью почек, получающих программный гемодиализ, наряду с определением уровня миостатина отмечена положительная статистически значимая связь уровня миостатина с интерлейкином 6, мужским полом, возрастом, снижением физической активности, а также определена возможность использования миостатина в качестве предиктора саркопении.
Полный текст
ВВЕДЕНИЕ
Азотемия, электролитные нарушения, ацидоз и вторичная анемия, характерные для терминальной почечной недостаточности, оказывают негативное влияние практически на все системы и органы пациента, страдающего хронической болезнью почек (ХБП) [1]. В том числе страдает и скелетная мускулатура, что проявляется уменьшением массы мышечной ткани, снижением силы и выносливости. Наличие такого патологического состояния — саркопении — определяет дополнительное снижение качества жизни, повышенный риск инвалидизации и смертности у пациентов, страдающих ХБП [1, 2]. Распространенность саркопении оценивается в 12–29 %, что обусловливает ее значительное медицинское и финансовое бремя [3, 4].
В норме у взрослых людей уровень мышечной массы остается постоянным благодаря балансу между сигнальными путями: 1) инсулиноподобным фактором роста-1/Akt протеинкиназы B (IGF-1/Akt), запускающим синтез белка и рекрутирование мышечных клеток-сателлитов, и - 2) миостатином, который приводит к распаду белка путем активации убиквитин-протеасомного пути и каспазы-3, а также ингибирует рекрутирование клеток-сателлитов [5, 6]. Эти пути строго регулируются и взаимосвязаны, и потеря мышечной массы происходит из-за дисбаланса между их функциями [7]. Понимание функционирования этой системы при саркопении, связанной с ХБП, является чрезвычайно важным. В частности, в исследовании S. Bataille, P. Chauveau, D. Fouque, et al. [8] подчеркивается потенциальная терапевтическая роль миостатина и делается акцент на целесообразность разработки соответствующих терапевтических молекул, что открывает многообещающие перспективы для будущих способов лечения.
Известно, что мышечные клетки вырабатывают миостатин в виде пре-про-миостатина, который затем секретируется в виде про-миостатина в межклеточное пространство и кровь. После двухступенчатого расщепления про-домена, известного также как латентно-ассоциированный белок (latent-associated protein, LAP), миостатин превращается в активную форму и выступает в качестве эффективного аутокринного, паракринного и эндокринного ингибитора мышечного роста [9]. Миостатин взаимодействует со своим рецептором — рецептором активина II типа B (ActRIIB) — на поверхности мышечных клеток, что приводит к активации и фосфорилированию транскрипционных факторов Smad-2 и Smad-3. Затем Smad-2, -3 транспортируются в ядро, где модулируют транскрипцию E3-убиквитинлигаз, таких как атрогин-1 (также известный как MAFbx) и Muscle Ring-Finger Protein-1 (MuRF-1), что усиливает распад белков через убиквитин-протеасомную систему. Кроме того, Smad-2 и -3 ингибируют фосфорилирование Akt и путь Janus kinаase/Stat [10].
При ХБП снижение мышечной массы регулируется не только миостатином, но и другими факторами, такими как метаболический ацидоз, эндогенные глюкокортикоиды и воспаление, в частности интерлейкином (IL)-6. Как метаболический ацидоз, так и эндогенные глюкокортикоиды подавляют активацию фосфоинозитид-3-киназы и, соответственно, фосфорилирование Akt [11, 12]. В то же время воспаление, в частности IL-6, подавляет синтез мышечного белка через активацию Stat3 и, вероятно, вызывает увеличение транскрипции миостатина [13, 14].
Сателлитные клетки — это «спящие», частично дифференцированные стволовые клетки, которые располагаются на периферии мышечных волокон. При повреждении мышечных волокон факторы роста активируют эти сателлитные клетки, которые затем подвергаются пролиферации, дифференцировке и слиянию с образованием новых мышечных волокон. Однако при нарушении пути IGF-1/Akt или взаимодействии миостатина с клетками-сателлитами их пролиферация и дифференцировка подавляются [15].
Увеличению продукции миостатина при длительном течении ХБП способствует сочетание низкой физической активности, прогрессирование воспалительного процесса и сопутствующий окислительный стресс, накопление уремических токсинов, ангиотензин II, метаболический ацидоз и глюкокортикоиды [10]. Однако роль регуляции миостатина в изменении массы скелетных мышц при ХБП остается малоизученной, и данные о ней ограничены. Большинство имеющихся данных получены на основе наблюдений на животных моделях, и лишь некоторые данные были получены при исследованиях на людях [17]. Очевидно, что необходимы дополнительные исследования для полного понимания потенциального влияния почек на выведение миостатина.
Цель исследования — проследить взаимосвязь между уровнем миостатина в крови с показателями скелетной мускулатуры у пациентов, находящихся на программном гемодиализе.
МАТЕРИАЛЫ И МЕТОДЫ
Работу проводили в виде одномоментного, проспективного неинтервенционного исследования с февраля 2020 г. по май 2023 г. Отбор и обследование пациентов проводили на базе общества с ограниченной ответственностью «Купчинский центр амбулаторного диализа». Обследованы 196 пациентов (97 женщин и 99 мужчин старше 18 лет, медиана возраста составила 61 [54; 66] год), страдающих ХБП, стадия 5, получающих лечение программным гемодиализом на протяжении не менее 1 года. На момент включения в исследование все пациенты получали лечение программным гемодиализом на аппаратах для экстракорпорального очищения крови «B. Braun Dialog+» фирмы «B. Braun» (Германия) с использованием воды, подвергнутой глубокой очистке способом обратного осмоса (система очистки воды «Lauer» фирмы «B. Braun», Германия), и на синтетических диализаторах «Diacap Pro» и «Xevonta» фирмы «B. Braun» (Германия). Медиана продолжительности лечения программным гемодиализом составила 11,6 [8, 6; 14, 2] лет. После подписания информированного согласия и отбора пациентов согласно критериям включения/невключения пациентам был выполнен комплекс обследований, состоящий из оценки антропометрических данных, регистрации жизненно важных показателей, определения состояния мышечной системы для диагностики саркопении, в том числе биоимпедансометрия, лабораторные исследования (клинический и биохимический анализы крови, определение уровня миостатина). Кроме того, все пациенты заполняли короткий международный опросник для определения физической активности (international questionnaire on physical activity, IPAQ).
Критериями невключения в исследование были: сахарный диабет; положительные результаты обследований на маркеры вирусного гепатита В и С, вирус иммунодефицита человека; наличие госпитализации в предыдущие 6 месяцев или острые заболевания в течение месяца до включения в исследование; любые злокачественные новообразования на момент исследования; постоянная терапия глюкокортикостероидами; наличие хронической сердечной недостаточности III или IV функционального класса согласно классификации Нью-Йоркской кардиологической ассоциации (New York Heart Association, NYHA), хронической обструктивной болезни легких; наличие других заболеваний, оказывающих значимое влияние на повседневную физическую активность пациентов.
Формирование базы данных проводили с помощью пакета программного обеспечения Microsoft Office 2016. Статистический анализ проводили с использованием программы IBM SPSS Statistics версии 26. 0. Для переменных, измеряемых количественно, использовали тест Колмогорова – Смирнова для проверки на нормальность распределения. При ненормальном распределении данные представляли в таблицах в виде медианы и межквартильного интервала (между первым и третьим квартилями), отображаемого в формате Me [Q1; Q3]. Для сравнения двух независимых выборок, где данные были ненормально распределены, использовали U-тест Манна – Уитни. Различия между выборками считались статистически значимыми при p < 0,05. Для исследования взаимосвязи между двумя переменными использовали корреляционный анализ с помощью метода Спирмена, для анализа качественных переменных — метод χ2 Пирсона.
РЕЗУЛЬТАТЫ И ИХ ОБСУЖДЕНИЕ
По результатам опросника IPAQ у 127 пациентов было выявлено снижение физической активности, нарушение функционирования скелетной мускулатуры и как итог — гиподинамия — возможный предиктор саркопении. На основании показателей скелетной мускулатуры пациентам устанавливали диагноз саркопении согласно критериям 2-го пересмотра Европейской рабочей группы по саркопении (European Working Group on Sarcopenia in Older People — EWGSOP 2). Нормальные показатели индекса аппендикулярной массы скелетной мускулатуры по результатам биоимпедансометрии, силы скелетной мускулатуры, определенной с помощью динамометрии, и скорости ходьбы, оцененной в четырехметровом тесте, наблюдались у 52 (26,5 %) пациентов. Снижение силы кисти при нормальных показателях массы и работоспособности скелетной мускулатуры (возможная саркопения) было выявлено у 25 (12,8 %) пациентов. Саркопения была выявлена у 119 (60,7 %) пациентов, из них у 49 пациентов тяжелой степени.
Антропометрические показатели, показатели мышечной системы, клинический и биохимический анализы крови представлены в табл. 1.
Таблица 1. Основные показатели пациентов, включенных в исследование, Me [Q1; Q3]
Table 1. Main indicators of patients included in the study, Me [Q1; Q3]
Показатель | Значение |
Возраст, лет | 61 [54; 66] |
Женщины, абс. (%) | 97 (49,5) |
ИМТ, кг/м2 | |
Эритроциты, ×1012/л | |
Гемоглобин, г/л | |
Лейкоциты, ×109/л | |
Тромбоциты, ×109/л | |
Общий белок, г/л | 66,6 [64; 69] |
Альбумин, г/л | |
Трансферрин, г/л | |
Общий холестерин, ммоль/л | |
Креатинин, мкмоль/л | |
АЛТ, Ед/л | 13 [9; 21] |
АСТ, Ед/л | 13,5 [9; 21] |
Щелочная фосфатаза, Ед/л | |
Общий билирубин, мкмоль/л | |
Натрий, ммоль/л | 137,8 [136; 140] |
Калий, ммоль/л | |
Фосфор, ммоль/л | |
Кальций, ммоль/л | |
Паратгормон, пг/мл | |
Масса скелетной мускулатуры, кг | |
Аппендикулярная масса скелетной мускулатуры, кг | |
Индекс аппендикулярной массы скелетной мускулатуры, кг/м2 | |
Окружность мышц плеча, см | |
Скорость ходьбы, м/с |
Примечание: ИМТ — индекс массы тела; АЛТ — аланинаминотрансфераза; АСТ — аспартатаминотрансфераза.
Рис. 1. Корреляционная взаимосвязь между уровнем миостатина и возрастом (рассеяние)
Fig. 1. Correlation between myostatin levels and age (scattering)
Медиана уровня миостатина составила 5,13 нг/мл [3, 92; 5, 975]. Между возрастом и уровнем миостатина выявлена отрицательная корреляционная связь (ρ = –0,361; p < 0,001), (рис. 1). При этом уровень миостатина был выше у мужчин, чем у женщин (U = 2633,0, z = –5,462; p < 0,001), (рис. 2).
Рис. 2. Уровень миостатина в сыворотке крови в зависимости от пола
Fig. 2. Level of myostatin in the blood serum, depending on sex
Результаты оценки уровня миостатина в зависимости от степени тяжести саркопении представлены в табл. 2.
Таблица 2. Уровень миостатина в зависимости от степени тяжести саркопении, нг/мл (Me [Q1; Q3])
Table 2. Myostatin level depending on the severity of sarcopenia, ng/mL (Me [Q1; Q3])
Показатель | Уровень миостатина | p < 0,001 по сравнению с нормальными показателями скелетной мускулатуры |
Саркопения отсутствует | – | |
Возможная саркопения | U = 132,5; z = –5,63 | |
Саркопения | U = 610; z = –6,264 | |
Тяжелая саркопения | U = 232; z = –7,081 |
По результатам корреляционного анализа взаимосвязи миостатина и показателей скелетной мускулатуры у пациентов, получающих лечение длительным гемодиализом, получен низкий, но статистически значимый коэффициент корреляции с силой скелетной мускулатуры (коэффициент корреляции ρ = –0,140; p = 0,05) и скоростью ходьбы (ρ = –0,245; p < 0,001). Также были получены данные о положительной умеренной корреляционной связи миостатина и IL-6 (ρ = 0,410; p < 0,001).
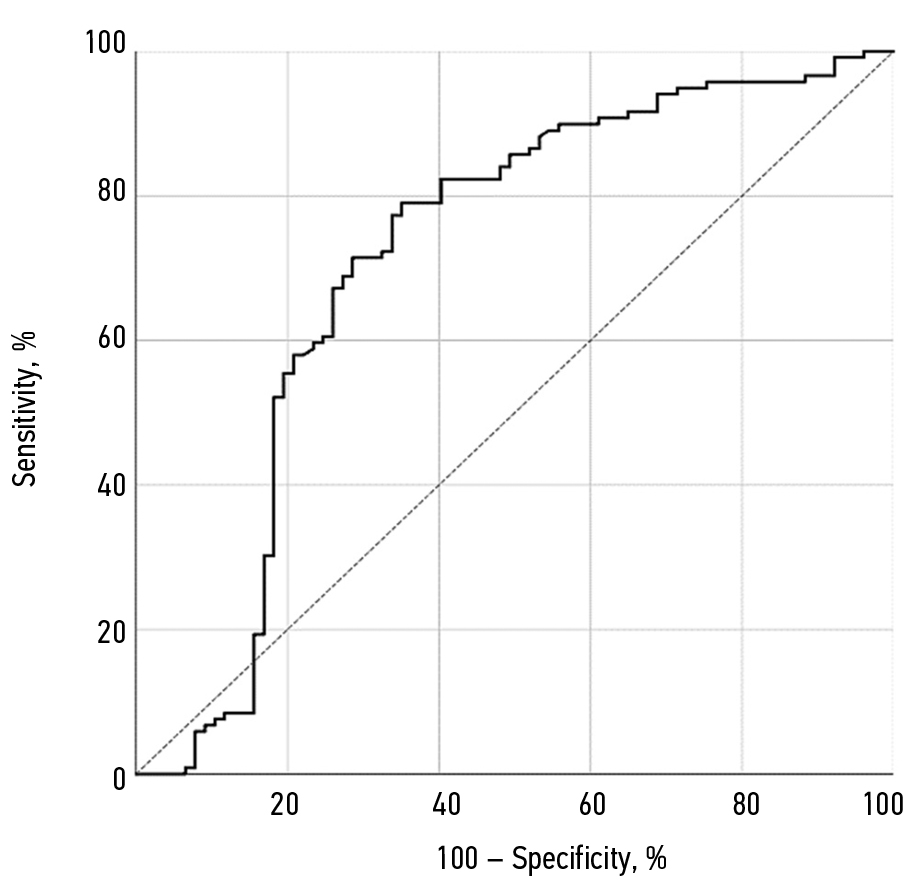
Для определения возможности использования миостатина для диагностики саркопении выполнен анализ так называемой операционной характеристики приемника (Receiver Operating Characteristic, ROC-анализ) графическое представление которого в виде ROC-кривой представлено на рис. 3.
Рис. 3. Графический результат ROC-анализа для диагностики саркопении с помощью миостатина
Fig. 3. Graphical result of the ROC analysis for the diagnosis of sarcopenia using myostatin
Из результатов проведенного ROC-анализа следует, что миостатин может использоваться для диагностики саркопении, так как площадь под кривой составляет 0,714 (95 % доверительный интервал (ДИ): 0,632–0,795; p < 0,001), чувствительность 71,4 %, специфичность 71,4 %, точка отсечения 5,01 нг/мл. Повышение уровня миостатина выше 5,01 нг/мл увеличивает вероятность развития саркопении в 6,25 раз (95 % ДИ: 3,314–11,788) (χ2 = 34,639; p < 0,001).
При этом вероятность выявления уровня миостатина выше порогового значения среди пациентов с выявленной гиподинамией по данным заполненного опросника IPAQ была в 2,196 раз выше (95% ДИ: 1,209–3,988; χ2 = 6,78, p = 0,009), чем у пациентов с нормальной физической активностью.
Наряду с появляющимися в рецензируемых изданиях публикациями полученные нами данные могут быть полезны в оценке степени значимости миостатина как части регуляторных и сигнальных механизмов, отвечающих за контроль массы скелетных мышц с помощью секретируемых белков суперсемейства трансформирующего фактора роста-β [16]. В обследуемой группе пациентов, страдающих ХБП С5, наряду с определением уровня миостатина были изучены и другие возможные предикторы саркопении, в частности отмечена положительная статистически значимая связь уровня миостатина с IL-6, мужским полом, возрастом, снижением физической активности. Данные результаты нуждаются в дальнейшем системном анализе и формировании возможных математических моделей оценки степени риска возникновения саркопении у пациентов, находящихся на программном гемодиализе. Имеющиеся в свободном доступе на момент публикации данной работы положительные результаты доклинических исследований привели к разработке нескольких биологических препаратов, призванных нарушить сигнальный путь миостатина и способствовать увеличению мышечной массы и функциональности скелетной мускулатуры [17]. Клинические испытания этих биопрепаратов продемонстрировали увеличение объема мышц и/или аппендикулярной массы тела при различных заболеваниях, связанных с потерей мышечной массы и избыточным жироотложением. Однако наблюдаемое увеличение тощей массы тела в пределах 3–8 % было значительно ниже, чем в исследованиях на мышах, где увеличение мышечной массы достигало 25–50 % [18]. В связи с этим возникают вопросы о способности к мышечному росту у людей и мышей, а также о том, удалось ли максимально реализовать потенциал этих биопрепаратов у человека. Будущие исследования должны быть направлены на решение этих вопросов, а ингибиторы миостатина потенциально могут улучшить метаболические показатели за счет увеличения мышечной массы, что делает их перспективным кандидатом для лечения метаболических нарушений [16, 19].
ЗАКЛЮЧЕНИЕ
Миостатин, являясь представителем суперсемейства TGF-β, играет важную роль в регуляции скелетной мускулатуры. Однако в настоящее время мало исследований, посвященных оценке роли миостатина и изучению его связи с вторичной саркопенией при ХБП. Настоящее исследование основано на данных об уровне миостатина у 196 пациентов, получающих лечение хроническим гемодиализом. Для выявления наличия и оценки степени тяжести нарушений скелетной мускулатуры оценивали жалобы, результаты опросника IPAQ, учитывали стаж диализа и наличие сопутствующих заболеваний, проводили антропометрические измерения, клинический и биохимический анализы крови, уровни IL-6, динамометрию, биоимпедансометрию. Впервые проведены оценка связи уровня миостатина с вышеперечисленными показателями методом корреляции Спирмена, сравнение групп с помощью U-теста Манна – Уитни. Выявлены значимые корреляции с силой скелетной мускулатуры (ρ = –0,140; p = 0,05), скоростью ходьбы (ρ = –0,245; p < 0,001), уровнем IL-6 (ρ = 0,410; p < 0,001) и возрастом (ρ = –0,361; p < 0,001). Кроме того, выявлено, что уровень миостатина выше у мужчин, чем у женщин, а также у пациентов с выраженной гиподинамией.
Полученные данные демонстрируют возможность использования миостатина в качестве маркера саркопении. Установлено пороговое значение миостатина по результатам ROC-анализа — 5,01 нг/мл, превышение которого повышает шансы на выявление саркопении в 6,25 раз. Результаты настоящего исследования указывают на целесообразность проведения клинических исследований антагонистов миостатина для коррекции показателей скелетной мускулатуры.
ДОПОЛНИТЕЛЬНАЯ ИНФОРМАЦИЯ
Вклад авторов. Все авторы внесли существенный вклад в разработку концепции, проведение исследования и подготовку статьи, прочли и одобрили финальную версию перед публикацией.
Вклад каждого автора. В. Н. Цыган — разработка общей концепции, дизайн исследования; О. Л. Борискина — написание статьи, анализ данных; А. А. Яковенко — сбор материала, обработка данных; А. П. Тутин — сбор материала, статистическая обработка данных.
Конфликт интересов. Авторы декларируют отсутствие явных и потенциальных конфликтов интересов, связанных с публикацией настоящей статьи.
Источник финансирования. Авторы заявляют об отсутствии внешнего финансирования при проведении исследования.
ADDITIONAL INFORMATION
Authors’ contribution. Thereby, all authors made a substantial contribution to the conception of the study, acquisition, analysis, interpretation of data for the work, drafting and revising the article, final approval of the version to be published and agree to be accountable for all aspects of the study.
The contribution of each author. V. N. Tsygan — general concept development, research design; O. L. Boriskina — article writing, data analysis; A. A. Yakovenko — material collection, data processing; A. P. Tutin — material collection, statistical data processing.
Competing interests. The authors declare that they have no competing interests.
Funding source. This study was not supported by any external sources of funding.
Об авторах
Василий Николаевич Цыган
Военно-медицинская академия имени С. М. Кирова
Email: vn-t@mail.ru
ORCID iD: 0000-0003-1199-0911
SPIN-код: 7215-6206
Scopus Author ID: 6603136317
доктор медицинских наук, профессор
Россия, Санкт-ПетербургОльга Леонидовна Борискина
Военно-медицинская академия имени С. М. Кирова
Автор, ответственный за переписку.
Email: okhrushcheva@ya.ru
ORCID iD: 0000-0001-9895-7836
SPIN-код: 4106-3705
старший специалист по клиническим исследованиям
Россия, Санкт-ПетербургАлександр Александрович Яковенко
Первый Санкт-Петербургский государственный медицинский университет имени академика И. П. Павлова
Email: leptin-rulit@mail.ru
ORCID iD: 0000-0003-1045-9336
SPIN-код: 7238-0048
кандидат медицинских наук
Россия, Санкт-ПетербургАлексей Павлович Тутин
Купчинский центр амбулаторного диализа
Email: kupchino.dialysis@gmail.com
ORCID iD: 0000-0001-8648-9086
SPIN-код: 4430-2767
заведующий отделением
Россия, Санкт-ПетербургСписок литературы
- Carrero J.J., Johansen K.L., Lindholm B., et al. Screening for muscle wasting and dysfunction in patients with chronic kidney disease // Kidney Int. 2016. Vol. 90, No. 1. P. 53–66. doi: 10.1016/j.kint.2016.02.025
- Cruz-Jentoft A.J., Baeyens J.P., Bauer J.M., et al. Sarcopenia: European consensus on definition and diagnosis: Report of the European Working Group on Sarcopenia in Older People // Age Ageing. 2010. Vol. 39, No. 4. P. 412–423. doi: 10.1093/ageing/afq034
- Souza V.A., Oliveira D., Barbosa S.R., et al. Sarcopenia in patients with chronic kidney disease not yet on dialysis: Analysis of the prevalence and associated factors // PLoS One. 2017. Vol. 12, No. 4. P. e0176230. doi: 10.1371/journal.pone.0176230
- Bataille S., Serveaux M., Carreno E., et al. The diagnosis of sarcopenia is mainly driven by muscle mass in hemodialysis patients // Clin Nutr. 2017. Vol. 36, No. 6. P. 1654–1660. doi: 10.1016/j.clnu.2016.10.016
- Ohsawa Y., Hagiwara H., Nakatani M., et al. Muscular atrophy of caveolin-3-deficient mice is rescued by myostatin inhibition // J Clin Invest. 2006. Vol. 116, No. 11. P. 2924–2934. doi: 10.1172/JCI28520
- Workeneh B.T., Rondon-Berrios H., Zhang L., et al. Development of a diagnostic method for detecting increased muscle protein degradation in patients with catabolic conditions // J Am Soc Nephrol. 2006. Vol. 17, No. 11. P. 3233–3239. doi: 10.1681/ASN.2006020131
- Wang X.H., Mitch W.E. Mechanisms of muscle wasting in chronic kidney disease // Nat Rev Nephrol. 2014. Vol. 10, No. 9. P. 504–516. doi: 10.1038/nrneph.2014.112
- Bataille S., Chauveau P., Fouque D., et al. Myostatin and muscle atrophy during chronic kidney disease // Nephrol Dial Transplant. 2021. Vol. 36, No. 11. P. 1986–1993. doi: 10.1093/ndt/gfaa129
- Pirruccello-Straub M., Jackson J., Wawersik S., et al. Blocking extracellular activation of myostatin as a strategy for treating muscle wasting // Sci Rep. 2018. Vol. 8, No. 1. P. 2292. doi: 10.1038/s41598-018-20524-9
- Verzola D., Barisione C., Picciotto D., et al. Emerging role of myostatin and its inhibition in the setting of chronic kidney disease // Kidney Int. 2019. Vol. 95, No. 3. P. 506–517. doi: 10.1016/j.kint.2018.10.010
- Mitch W.E., Medina R., Grieber S., et al. Metabolic acidosis stimulates muscle protein degradation by activating the adenosine triphosphate-dependent pathway involving ubiquitin and proteasomes // J Clin Invest. 1994. Vol. 93, No. 5. P. 2127–2133. doi: 10.1172/JCI117208
- Hu Z., Wang H., Lee I.H., et al. Endogenous glucocorticoids and impaired insulin signaling are both required to stimulate muscle wasting under pathophysiological conditions in mice // J Clin Invest. 2009. Vol. 119, No. 10. P. 3059–3069. doi: 10.1172/JCI38770
- Zhang L., Pan J., Dong Y., et al. Stat3 activation links a C/EBPδ to myostatin pathway to stimulate loss of muscle mass // Cell Metab. 2013. Vol. 18, No. 3. P. 368–379. doi: 10.1016/j.cmet.2013.07.012
- Zhang L., Rajan V., Lin E., et al. Pharmacological inhibition of myostatin suppresses systemic inflammation and muscle atrophy in mice with chronic kidney disease // FASEB J. 2011. Vol. 25, No. 5. P. 1653–1663. doi: 10.1096/fj.10-176917
- Zhang L., Wang X.H., Wang H., et al. Satellite cell dysfunction and impaired IGF-1 signaling cause CKD-induced muscle atrophy // J Am Soc Nephrol. Vol. 21, No. 3. P. 419–427. doi: 10.1681/ASN.2009060571
- Mitra A., Qaisar R., Bose B., et al. The elusive role of myostatin signaling for muscle regeneration and maintenance of muscle and bone homeostasis // Osteoporos Sarcopenia. 2023 Vol. 9, No. 1. P. 1–7. doi: 10.1016/j.afos.2023.03.008
- Schellino R., Boido M., Vrijbloed J.W., et al. Synergistically acting on myostatin and agrin pathways increases neuromuscular junction stability and endurance in old mice // Aging Dis. 2023. doi: 10.14336/AD.2023.0713-1
- Jang J.Y., Kim D., Kim N.D. Pathogenesis, intervention, and current status of drug development for sarcopenia: A review // Biomedicines. 2023. Vol. 11, No. 6. P. 1635. doi: 10.3390/biomedicines11061635
- Lee S.J., Bhasin S., Klickstein L., et al. Challenges and future prospects of targeting myostatin/activin a signaling to treat diseases of muscle loss and metabolic dysfunction // J Gerontol A Biol Sci Med Sci. 2023. Vol. 78, No. 1. P. 32–37. doi: 10.1093/gerona/glad033





