Эффективность клеточной терапии острого лучевого синдрома у мышей при внутривенном и внутрибрюшинном введении клеточного продукта
- Авторы: Мурзина Е.В.1, Пак Н.В.1, Аксенова Н.В.1, Жирнова Н.А.1, Веселова О.М.1, Ховпачев А.А.1, Белый Н.В.1
-
Учреждения:
- Военно-медицинская академия имени С.М. Кирова
- Выпуск: Том 26, № 2 (2024)
- Страницы: 169-184
- Раздел: Оригинальное исследование
- Статья получена: 12.10.2023
- Статья одобрена: 09.04.2024
- Статья опубликована: 03.06.2024
- URL: https://journals.eco-vector.com/1682-7392/article/view/609492
- DOI: https://doi.org/10.17816/brmma609492
- ID: 609492
Цитировать
Аннотация
На мышиной экспериментальной модели исследовано терапевтическое действие популяции фибробластоподобных клеток, полученных из стромально-васкулярной фракции подкожной жировой ткани мышей и выращенных в культуре, для лечения костномозговой формы острого радиационного синдрома. Клетки были идентифицированы как мультипотентные мезенхимальные стволовые (стромальные) клетки, поскольку обладали адгезивностью к пластику, формируя при культивировании конфлюэнтный монослой, а процесс их остеогенной дифференцировки in vitro завершался созреванием остеобластов и формированием кальциевых депозитов, что свидетельствовало об их мультипотентной природе. Облучение лабораторных грызунов осуществляли с помощью рентгенотерапевтической установки «РУМ-17». В качестве клеточного продукта использовали популяцию стромальных клеток, полученных из подкожной жировой ткани мыши и выращенных в культуре 3–4-го пассажа. Трансплантацию клеток осуществляли через 24 ч после общего относительно равномерного рентгеновского облучения мышей в дозе 7,8 Гр. Впервые сравнивается терапевтическая эффективность аллогенной трансплантации мультипотентных мезенхимальных стволовых клеток при разных путях введения клеточной суспензии — внутривенном и внутрибрюшинном. Показано существенное повышение выживаемости мышей в течение 30-суточного периода наблюдения после облучения в летальной дозе, которое зависело от количества введенных клеток и способа доставки биомедицинского клеточного продукта. Так, при внутривенном введении 30 и 60 × 103 мультипотентных мезенхимальных стволовых клеток 30-суточная выживаемость мышей после облучения в дозе 7,8 Гр по сравнению с группой животных без лечения повышалась на 54,5 и 40 % соответственно (р = 0,03). Увеличение численности клеток в клеточном продукте до 120 × 103/мышь приводило к снижению эффективности терапии. При внутрибрюшинном введении защита животных от гибели составила 57 % после трансплантации 30 и 60 × 103 клеток (р = 0,039) и 50 % после применения 120 × 103 клеток. На 30-е сутки после облучения на фоне введения клеточного продукта в разных схемах у 70–80 % животных было отмечено восстановление значений основных показателей системы кроветворения до исходного уровня. Таким образом, клеточная терапия с использованием мультипотентных мезенхимальных стволовых клеток, выделенных из жировой ткани, при внутривенном и внутрибрюшинном путях доставки клеточного продукта в облученный организм обеспечивает защиту мышей от гибели после воздействия рентгеновского излучения в летальных дозах, способствуя снижению тяжести лучевого поражения гемопоэтической системы у мышей, и имеет несомненные перспективы для дальнейших исследований в качестве эффективного и безопасного средства лечения острой лучевой болезни.
Полный текст
ВВЕДЕНИЕ
Одним из наиболее перспективных направлений клеточной терапии радиационных поражений в настоящее время считается использование мезенхимальных стволовых клеток, однако имеющиеся данные об их применении малочисленны и достаточно ограниченны. Клеточная терапия разных патологических состояний на протяжении последних десятилетий рассматривается как передовой многообещающий метод, нацеленный на замещение в организме поврежденных клеток и тканевых структур с последующим восстановлением функций различных органов, и активно изучается медицинскими специалистами широкого круга [1, 2].
Одним из наиболее важных и актуальных направлений применения биомедицинских клеточных продуктов является лечение острой лучевой болезни (ОЛБ) [3, 4] — тяжелого угрожающего жизни состояния, развивающегося после облучения всего тела (или большей его части) в течение относительно небольшого промежутка времени. Наиболее серьезные осложнения после острого лучевого воздействия связаны с повреждениями костного мозга и системы кроветворения, которые имеют место уже после облучения в дозах 4–6 Гр и могут стать фатальными для организма из-за высокой вероятности развития инфекционных осложнений и геморрагического синдрома [5–7].
Общепризнанным патогенетически обоснованным способом противорадиационной клеточной терапии являются трансплантации костного мозга или аллогенных гемопоэтических стволовых клеток, однако уже первые клинические испытания показали, что они способны привести к тяжелым осложнениям, нередко приводящим к летальному исходу, к тому же в условиях полной миелодепрессии недостаточно эффективны [3, 7].
Эти неудачи побудили исследователей к поиску новых перспективных стратегий, в частности, использованию мультипотентных мезенхимальных стволовых (стромальных) клеток (ММСК), основная физиологическая функция которых заключается в поддержании защитного и регенеративного микроокружения для гемопоэтических стволовых клеток. Клинический интерес к ММСК значительно возрос после обнаружения их иммунопривилегированных свойств, благодаря которым они могут использоваться в аллогенных трансплантациях. Успешность применения ММСК для лечения ОЛБ потенциально обусловлена их низкой иммуногенностью, секреторной активностью, способностью продуцировать широкий спектр цитокинов и факторов роста, необходимых для пролиферации и дифференцировки кроветворных предшественников [3, 8–11].
Основным источником получения ММСК долгое время оставался костный мозг, но в последние годы большинство научных исследований направлено на изучение терапевтической эффективности ММСК, выделенных из более доступных источников — плаценты и плацентарной крови, соединительной ткани пупочного канатика, жировой ткани [3].
В настоящее время для лечения ОЛБ, а также реакции «трансплантат против хозяина» и синдрома приживления трансплантированных гемопоэтических клеток разрабатывается биомедицинский клеточный продукт PLX-R18 фирмы «Pluri Inc.» (Израиль), в коллаборации с Исследовательским центром Эймса (Соединенные Штаты Америки — США), представляющий собой культуру человеческих плацентарных клеток с фенотипом мезенхимальных клеток [4]. В Российской Федерации нет зарегистрированных лекарственных препаратов, созданных на основе клеточных технологий, работы же в области клеточной терапии радиационных поражений крайне ограниченны, в связи с чем исследования, нацеленные на возможность получения оптимального клеточного продукта для лечения ОЛБ имеют несомненную актуальность и научную и практическую значимость.
Цель исследования — экспериментально оценить эффективность клеточной терапии костномозговой формы острого радиационного синдрома у мышей при разных путях введения популяции стромальных клеток, полученных из жировой ткани.
МАТЕРИАЛЫ И МЕТОДЫ
Исследование проведено в экспериментах in vivo на модели костномозговой формы острого радиационного синдрома (ОРС) у лабораторных мышей. В качестве клеточного продукта использовали популяцию аллогенных стромальных клеток, полученных из жировой ткани. Клеточную терапию проводили через 24 ч после общего облучения мышей в летальной дозе. Формирование групп для исследований проводили путем блочной рандомизации с применением компьютерного генератора случайных чисел. Экспериментальные группы включали животных, подвергавшихся воздействию рентгеновского излучения с проведением разных вариантов клеточной терапии; группу «контроль — облучение» (К обл) составили животные, облученные без лечения, группу (К биол) — интактные мыши. После 30-суточного периода наблюдения выживших мышей выводили из эксперимента с проведением некропсии и отбором образцов крови для гематологических исследований. Эффективность клеточной терапии оценивали путем сравнения параметров выживаемости и некоторых морфофункциональных характеристик у животных при ее проведении с контрольными группами.
Эксперименты выполнены с использованием 120 белых беспородных мышей-самцов массой тела 20–25 г, полученных из питомника лабораторных животных «Рапполово» Национального исследовательского центра «Курчатовский институт» (Ленинградская обл.). Животные содержались в стандартных условиях вивария по 12 особей в клетке со свободным доступом к воде и пище; световой режим составлял 12 × 12 ч. Кормление и уход за животными проводили в первой половине дня, для кормления использовали полнорационный комбикорм. После поступления из питомника животные находились в 14-дневном карантине; особи с признаками заболеваний или иных повреждений из исследования исключались.
Манипуляции по получению тканей лабораторных грызунов, выделению клеток, а также работы с культурой клеток осуществляли в культуральной лаборатории в асептических условиях при вертикальном потоке воздуха в ламинарном боксе фирмы «Faster» (Италия). Подкожную жировую ткань, выделенную из абдоминальной области лабораторной мыши, помещали в чашки Петри, отмывали 0,9 % раствором хлорида натрия и тщательно измельчали с помощью стерильных инструментов. Расщепление фрагментов жировой ткани проводили 0,1 % раствором коллагеназы из гепатопанкреаса краба в буфере Дюльбекко без Ca и Mg производства «БиолоТ» (Россия) в режиме постоянного перемешивания на магнитной мешалке в течение 40 мин при температуре 37 °С. По окончании процесса для инактивации фермента к полученной суспензии добавляли питательную среду DMEM фирмы «Gibco» (США) с 10 % эмбриональной телячьей сывороткой (ЭТС) фирмы «Gibco» (США) и центрифугировали при 400 g в течение 10 мин. Полученный осадок клеток трижды отмывали в растворе Хенкса производства «БиолоТ» (Россия) центрифугированием при 400 g в течение 5 мин. Отмытые стромальные клетки ресуспендировали в среде DMEM с добавлением 10 % ЭТС, 50 мкг/мл гентамицина производства «БиолоТ» (Россия), 300 мкг/мл L-глутамина производства «БиолоТ» (Россия), после чего переносили в культуральные флаконы фирмы «Jet Biofil» (Китай) и культивировали при температуре 37 °С в атмосфере 5 % углекислого газа (СО2) и 80 % влажности в СО2-инкубаторе фирмы «Shellab» (США). Через 48–72 ч культуру клеток осторожно отмывали от не прикрепившихся клеток средой Хенкса, затем заливали свежей питательной средой. При достижении 70–90 % конфлюентности клетки снимали с поверхности пластикового носителя с помощью раствора Трипсина – Версена производства «БиолоТ» (Россия) в соотношении 1:1, ресуспендировали в питательной среде DMEM (1:3) и распределяли в новые носители с плотностью посева 3–5 × 104 клеток/см2.
Жизнеспособность определяли путем окрашивания клеток 0,4 % раствором трипанового синего и подсчета в камере Горяева живых и мертвых клеток. Микроскопию и фотографирование объектов проводили с помощью инвертированного микроскопа «AxioVert.A1 FL LED» с цифровой камерой Axiocam 503 color и программным обеспечением Zen 2 (Blue) фирмы «Carl Zeiss» (Германия).
Источником ионизирующего излучения для облучения экспериментальных животных служила рентгенотерапевтическая установка «РУМ-17» производства «Мосрентген» (Союз Советских Социалистических Республик). Для облучения мышей помещали в отдельные ячейки пластиковых контейнеров, которые закреплялись на вращающейся подставке (кимографе). Поглощенная доза составляла 7,8 Гр, что соответствует летальной дозе (ЛД) 70–90/30 — дозе ионизирующего излучения, приводящей к гибели в результате костномозговой формы ОРС 70–90 % облученных животных в течение 30-суточного периода наблюдения. Облучение проводили в направлении «спина — грудь» с кожно-фокусным расстоянием 50 см, при напряжении 180 кВт, силе тока 14 мА, с фильтром 0,5 мм Сu + 1 мм Al; мощность дозы излучения составляла 0,328 Гр/мин. Одновременно облучению подвергали животных разных групп. Животных группы биологического контроля подвергали «ложному» облучению, помещая в пластиковых контейнерах на кимограф и выдерживая под выключенной анодной трубкой установки в течение того же времени, что и опытные группы.
В течение 30 суток после радиационного воздействия ежедневно проводили наблюдение за общим состоянием облученных животных и учет погибших, дважды в неделю осуществляли контроль массы тела.
Для введения животным использовали культуру клеток на уровне 3–4 пассажа. Монослой снимали с поверхности пластикового носителя с помощью раствора Трипсина – Версена, ресуспендировали в изотоническом растворе хлорида натрия и трижды отмывали центрифугированием при 400 g в течение 10 мин. Необходимое для введения животным количество клеток получали путем подсчета в камере Горяева и разведения суспензии до заданной концентрации 0,9 % раствором хлорида натрия. Трансплантацию клеток осуществляли через 24 ч после облучения в количестве 30, 60 или 120 × 103/особь в объеме 0,3 мл/мышь путем введения в хвостовую вену или в брюшную полость.
На 30-е сутки после облучения выживших животных подвергали эвтаназии с предварительной премедикацией, которая осуществлялась внутримышечным введением золетила 100 фирмы «Virbac» (Франция) в дозе 2 мг/кг. Образцы периферической крови в объеме 40 мкл отбирали в пробирки вакутайнер с антикоагулянтом этилендиаминтетрауксусной кислотой.
Оценку эффективности клеточной терапии проводили путем сравнения параметров 30-суточной выживаемости облученных мышей: динамики гибели, доли (%) выживших животных в группах и средней продолжительности жизни погибших мышей. Гематологические исследования выполняли с помощью ветеринарного автоматического гематологического анализатора «MicroCC-20Plus-Vet» фирмы «High Technology» (США), позволяющего провести количественное определение содержания эритроцитов, тромбоцитов, лейкоцитов и соотношение их основных популяций, а также уровня гемоглобина и гематокрита. Кроме того, осуществляли полную некропсию экспериментальных животных и взвешивание внутренних органов для определения их массового индекса, рассчитываемого как отношение массы органа к массе тела животного, выраженного в процентах от массы тела.
Статистический анализ полученных данных проводили с помощью пакета прикладных программ Statistica 8,0. Выживаемость облученных мышей оценивали по методу Каплана – Мейера. Для сравнения 30-суточной выживаемости и продолжительности жизни погибших от облучения мышей экспериментальных и контрольных групп применяли критерии Гехана – Вилкоксона и точный критерий Фишера (двусторонний тест). Также для анализа использовали критерии: Краскелла – Уоллеса или χ² (для множественных сравнений), Вилкоксона для межгрупповых сравнений и Манна – Уитни для оценки внутригрупповых различий. Результаты представлены в виде: М ± σ, где М — среднее значение показателя, σ — среднеквадратическое отклонение, или Ме [Q25; Q75], где Ме — медиана, Q25 и Q75 — нижний и верхний квартили. Различия принимались статистически значимыми при р < 0,05.
Все манипуляции с экспериментальными животными проводили с соблюдением правил гуманного обращения с лабораторными животными, определенными Директивой 2010/63/EU Европейского парламента и Совета Европейского союза по охране животных [11]. Исследование проведено в рамках научно-исследовательской работы «Экспериментальное обоснование перспективности применения клеточной терапии при лечении костномозговой формы острой лучевой болезни».
РЕЗУЛЬТАТЫ И ИХ ОБСУЖДЕНИЕ
Характеристика популяции клеток, полученных из жировой ткани лабораторных мышей. Перед началом экспериментов in vivo была проведена идентификация популяции клеток, полученных из подкожной жировой ткани лабораторных мышей. Известно, что в результате обработки жировой ткани коллагеназой получают стромально-васкулярную фракцию, примерно 2 % клеточного состава которой составляют стволовые клетки. Основным свойством стволовых клеток является их способность к дифференцировке в разные клеточные линии, т. е. «потентность» [12]. Комитетом Международного общества клеточной терапии (The International Society for Cellular Therapy) введена система идентификации мультипотентных мезенхимальных стволовых клеток (ММСК), включающая источник происхождения ММСК (костный мозг, жировая ткань и проч.) и минимальные критерии для их определения [13]:
1) адгезивность к пластику при культивировании в стандартных условиях;
2) экспрессия специфических поверхностных антигенов — молекул адгезии CD105, CD73 и CD90; отсутствие экспрессии CD45, CD34, CD14 или CD11b, CD79 или CD19 и HLA-DR;
3) способность дифференцировки in vitro в остеобласты, адипоциты и хондробласты.
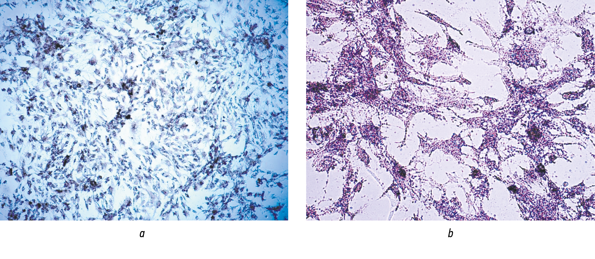
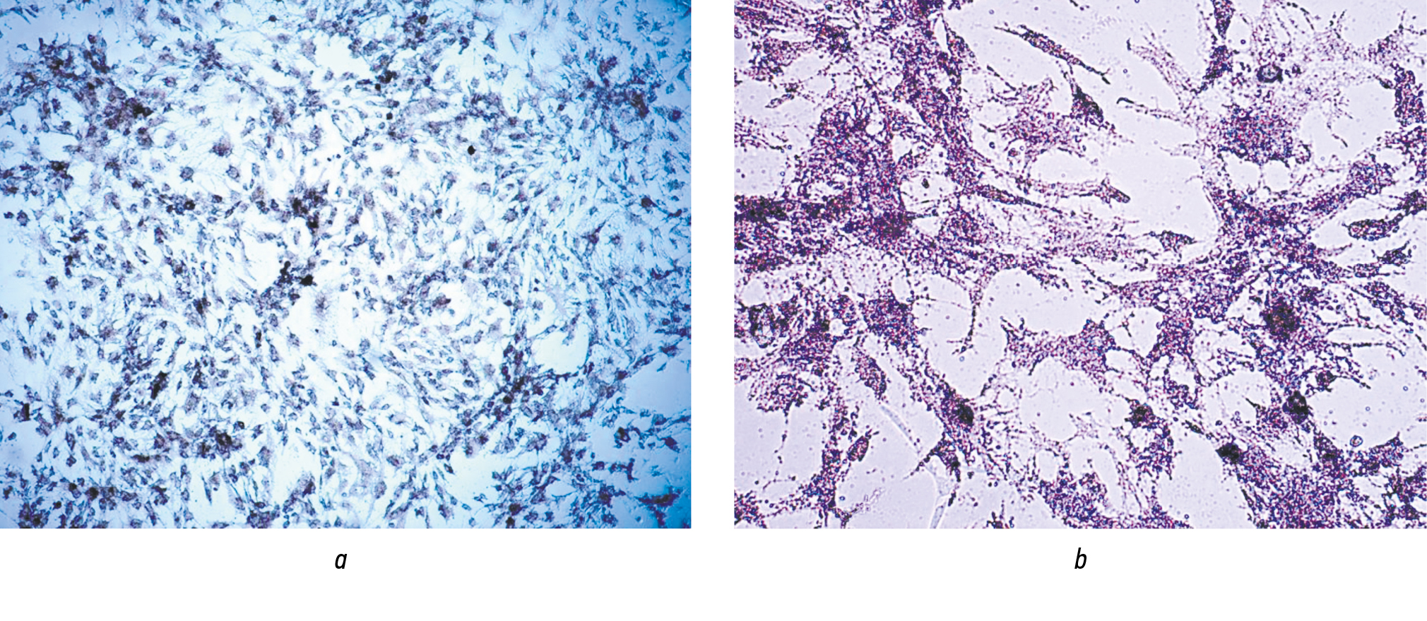
Клетки, полученные нами из жировой ткани лабораторных грызунов, имели фибробластоподобную форму и обладали полноценной адгезивностью к пластику — в процессе культивирования на пластиковых поверхностях культуральных флаконов и планшетов формировали конфлюэнтный монослой (рис. 1).
Рис. 1. Монослой стромальных клеток, полученных из жировой ткани лабораторной мыши, ув. × 10
Fig. 1. Monolayer of stromal cells obtained from the adipose tissue of a laboratory mouse, incr. × 10
Для подтверждения способности полученных клеток к остеогенной дифференцировке на клеточную суспензию воздействовали дифференцировочной средой, которую готовили на основе питательной среды DMEM фирмы «Gibco» (США) с 10 % ЭТС фирмы «Gibco» (США), 50 мкг/мл гентамицином производства «БиолоТ» (Россия) и 2 mM L-глутамином производства «БиолоТ» (Россия) путем добавления дексаметазона фирмы «KRKA» (Словения) в концентрации 0,04 мг/л, β-глицеролфосфата фирмы «SIGMA» (Швеция) в концентрации 2,16 г/л и аскорбиновой-L(+) кислоты производства «ДИАЭМ» (Россия) в концентрации 0,05 г/л.
Культуру клеток на уровне 4-го пассажа высевали в 96-луночные планшеты фирмы «Orange Scientific» (Бельгия) в концентрации 3 × 104 клеток/100 мкл. Через 18–24 ч после формирования монослоя в опытных лунках 2 раза в неделю осуществляли смену среды на дифференцировочную. В качестве контрольных использовали лунки, в которых клетки культивировали в обычной питательной среде без добавления стимулирующих остеогенную дифференцировку факторов. В процессе культивирования клеток в течение 21 суток регистрировали проявление визуальных признаков модификации клеток в остеобласты под влиянием стимуляторов дифференцировки с помощью микроскопии объектов (рис. 2).
Рис. 2. Модификация стромальных клеток, полученных из жировой ткани мыши, в процессе остеогенной дифференцировки в остеобласты: а — ув. × 5; b — ув. × 20
Fig. 2. Modification of stromal cells obtained from mouse adipose tissue during osteogenic differentiation into osteoblasts: a — incr. × 5; b — incr. × 20
После культивирования осуществляли оценку минерализации путем окрашивания клеток ализариновым красным и по методу фон Косса.
Окрашивание ализариновым красным. После удаления культуральной среды в каждую лунку с монослоем клеток вносили по 50 мкл 4 % раствора параформальдегида и инкубировали в течение 30 мин при температуре 37 °С, затем трижды отмывали от фиксатора дистиллированной водой и вносили в каждую лунку по 50 мкл 2 % раствора ализаринового красного. Через 5 мин экспозиции краситель тщательно отмывали, после чего добавляли по 50 мкл ацетона на 20 с. При микроскопии объектов выявлялись окрашенные в красный цвет соли неорганического кальция, что свидетельствовало об остеогенной дифференцировке клеток (рис. 3, a, c).
Рис. 3. Депозиты кальция в процессе остеогенной дифференцировки стромальных клеток, полученных из жировой ткани мыши: а, b — контроль; с, d — культивирование в дифференцировочной среде, ув. × 10. Окрашивание: а, с — ализариновым красным; b, d — по методу фон Косса
Fig. 3. Calcium deposits in osteogenic differentiation of stromal cells obtained from mouse adipose tissue: a, b — control; c, d — cultivation in a differentiation medium, incr. × 10. Staining: a, c — alizarin red; b, d — by the von Koss method
Окрашивание по методу фон Косса (Von Koss). Из лунок планшета с клетками удаляли культуральную среду и фиксировали клетки 4 % параформальдегидом в течение 30 мин. В отмытые дистиллированной водой лунки добавляли 5 % водный раствор нитрата серебра и планшет экспонировали при солнечном свете в течение 30 мин. После тщательного отмывания реактива дистиллированной водой на клетки воздействовали 5 % водным раствором тиосульфата натрия в течение 5 мин, после чего лунки снова отмывали и микроскопировали для регистрации результатов окрашивания. Минеральные отложения имели темно-коричневый цвет (рис. 3, b, d).
Данные, полученные после проведения двух видов тестов, продемонстрировали наличие отложений кальция во всех опытных лунках планшета и отсутствие таковых в контрольных (см. рис. 4).
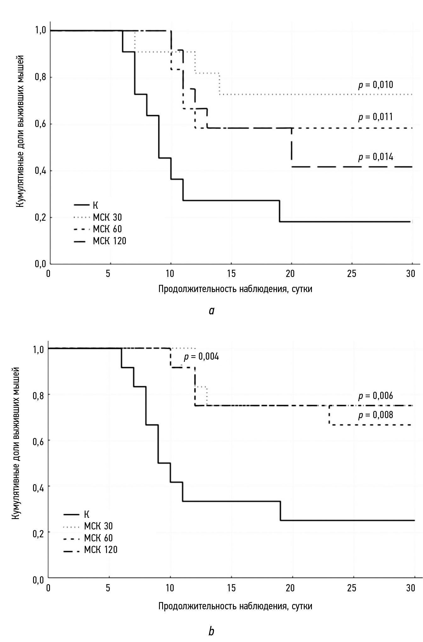
Рис. 4. Кривые выживаемости мышей после общего облучения в дозе 7,8 Гр без лечения (К) или с введением через 24 ч после облучения стромальных клеток, выделенных из жировой ткани мыши (МСК), в количестве 30, 60 или 120 тыс. клеток/мышь: а — внутривенно; b — внутрибрюшинно
Fig. 4. Survival curves of mice after total irradiation at a dose of 7.8 Gy without treatment (K) or with administration 24 h after irradiation of stromal cells isolated from mouse adipose tissue (MSC) in the amount of 30, 60, and 120 thousand cells/mouse: a — intravenous; b — intraperitoneal
Таким образом, процесс остеогенной дифференцировки полученных из жировой ткани клеток, характеризующихся фибробластоподобной морфологией и обладающих адгезивностью к пластику при культивировании в стандартных условиях, завершался созреванием остеобластов и формированием кальциевых депозитов. Несмотря на то, что не была подтверждена экспрессия специфических для ММСК поверхностных антигенов, ввиду отсутствия возможности проведения иммунофенотипирования, на основании полученных данных выделенные из стромально-васкулярной фракции лабораторных мышей клетки в дальнейшем мы обозначали как ММСК жировой ткани.
Исследование эффективности ММСК, полученных из жировой ткани, при остром радиационном поражении провели в двух экспериментах: в первом ММСК жировой ткани вводили мышам в разном количестве (30, 60 или 120 тыс. клеток/особь, что соответствовало 1,1 ± 0,07; 2,2 ± 0,15 и 4,3 ± 0,12 × 106 клеток/кг) в хвостовую вену, во втором использовали внутрибрюшинный путь доставки клеточной суспензии в тех же дозах. Введение ММСК в 0,9 % растворе хлорида натрия проводили через 24 ч после облучения в дозе 7,8 Гр; животным контрольных групп в тот же срок соответствующим способом вводили физиологический раствор в объеме 0,3 мл/мышь.
Кривые выживаемости мышей в течение 30 суток после облучения в дозе 7,8 Гр отражены на рисунке 4, из которого следует, что применение ММСК в обоих случаях оказывало лечебное действие, способствуя значительному снижению гибели облученных животных в сравнении с контрольными группами. Межгрупповые отличия по критерию χ² были статистически значимы для обоих способов введения клеточной суспензии (р = 0,012 — после внутривенного введения и р = 0,004 — после внутрибрюшинной инъекции). При этом в случае внутривенного введения клеточного продукта с увеличением количества ММСК отмечалось снижение терапевтического эффекта. Зависимость «доза — эффект» носила обратно пропорциональный характер, однако отличия между группами при применении разного количества ММСК не имели статистической значимости. Введение ММСК в количестве 30 тыс. клеток/мышь повысило 30-суточную выживаемость на 53,5 % по сравнению с группой мышей без лечения, терапия с использованием 60 тыс. клеток/мышь — на 40 %, трансплантация 120 тыс. клеток/мышь способствовало увеличению выживаемости на 23,5 %. При внутрибрюшинном введении ММСК количество клеток не оказало существенного влияния на значение данного показателя, клеточная терапия обеспечивала защиту от гибели 67–75 % животных (табл. 1).
Таблица 1. Параметры 30-суточной выживаемости мышей после общего облучения в дозе 7,8 Гр и введения стромальных клеток, выделенных из жировой ткани мыши (ММСК, 30, 60 или 120 тыс. клеток/мышь)
Table 1. Parameters of 30-day survival of mice after total irradiation at a dose of 7.8 Gy and administration of stromal cells isolated from mouse adipose tissue (MMSC, 30, 60, and 120 thousand cells/mouse)
Группа животных | Погибло/выжило | Выживаемость, % | Продолжительность жизни погибших мышей, сутки, Ме [Q25; Q75] |
внутривенное введение ММСК | |||
7,8 Гр + ММСК 30 тыс. клеток/мышь | 3/8 | 72,7 ± 13,4* | 12 [7; 14] |
7,8 Гр + ММСК 60 тыс. клеток/мышь | 5/7 | 58,3 ± 14,2 | 11 [10; 11]# |
7,8 Гр + ММСК 120 тыс. клеток/мышь | 7/5 | 41,7 ± 14,2 | 12 [11; 20]## |
7,8 Гр (К обл) | 9/2 | 18,2 ± 11,6 | 9 [7; 10] |
внутрибрюшинное введение ММСК | |||
7,8 Гр + ММСК 30 тыс. клеток/мышь | 3/9 | 75 ± 12,5* | 12 [12; 13]### |
7,8 Гр + ММСК 60 тыс. клеток/мышь | 3/9 | 75 ± 12,5* | |
7,8 Гр + ММСК 120 тыс. клеток/мышь | 4/8 | 67 ± 13,6 | 12 [10; 12] |
7,8 Гр (К обл) | 9/3 | 25 ± 12,5 | 9 [8; 10] |
Примечание: различия по сравнению с группой К обл: * — р = 0,03 (точный критерий Фишера); # — р = 0,009; ## — р = 0,004; ### — р = 0,05; #### — р = 0,03 (U-критерий Манна – Уитни).
Note: Differences compared to the K group: * — р = 0,03 03 (Fisher’s exact test); # — р = 0.009; ## — р = 0.004; ### — р = 0.05; #### — р = 0.03 (Mann–Whitney U test).
Средняя продолжительность жизни погибших после рентгеновского облучения в дозе 7,8 Гр без лечения мышей составила 9 [7; 10] суток. Клеточная терапия приводила к отдалению сроков гибели грызунов в результате костномозговой формы ОРС до 11–12 суток. Значимое влияние ММСК на данный параметр выживаемости в сравнении с контрольной группой было выявлено при внутривенном введении клеточного продукта с численностью 60 и 120 тыс. клеток, при внутрибрюшинном введении — 30 и 60 тыс. клеток/мышь (см. табл. 1).
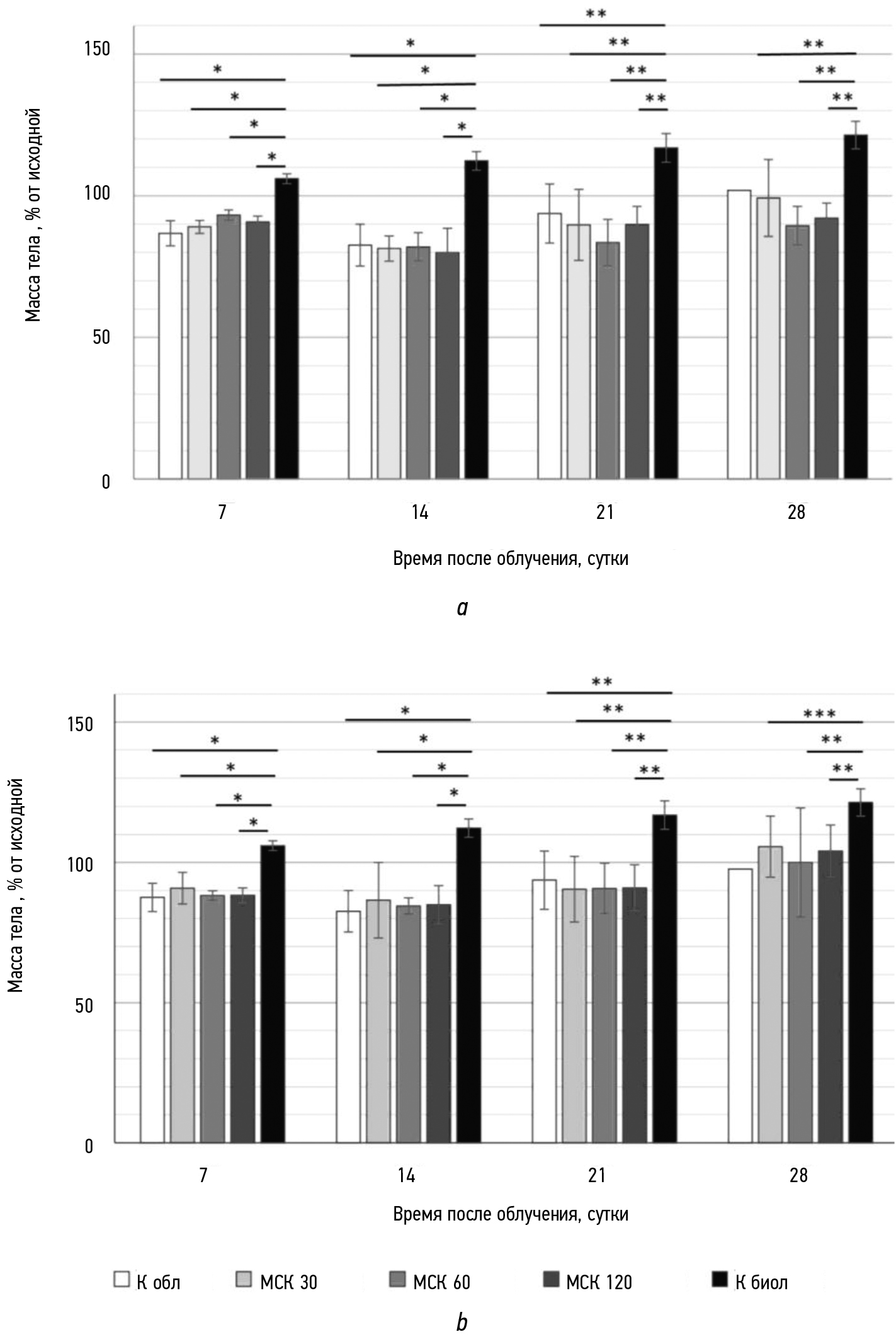
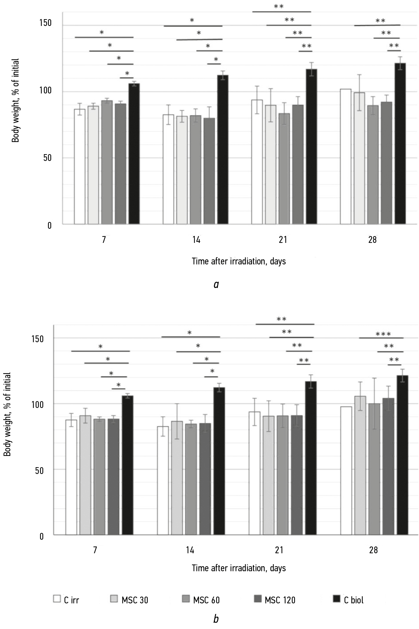
Следует отметить, что на протяжении 30-суточного периода наблюдения проводился ежедневный контроль за общим состоянием животных и дважды в неделю осуществлялось их взвешивание. Динамика массы тела у мышей экспериментальных и контрольных групп отражена на рис. 5.
Рис. 5. Изменение массы тела у мышей: интактных (К биол), после облучения в дозе 7,8 Гр без лечения (К обл) или с введением стромальных клеток, выделенных из жировой ткани мыши (МСК, 30, 60 и 120 тыс. клеток/мышь): а — внутривенно; b — внутрибрюшинно. Различия по сравнению с группой К биол: * — р < 0,001; ** — р < 0,01; *** — р < 0,05 (U-критерий Манна – Уитни)
Fig. 5. Body weight change in mice: intact (To biol), after irradiation at a dose of 7.8 Gy without treatment (To vol), or with the introduction of stromal cells isolated from mouse adipose tissue (MSC, 30, 60, and 120 thousand cells/mouse): a — intravenous; b — intraperitoneal. Differences compared to the K biol group: * — p < 0.001; ** — p < 0.01; *** — p < 0.05 (Mann–Whitney U criterion)
Из представленных данных видно, что у мышей группы К биол отмечалось постоянное возрастание массы тела в среднем на 5 % в неделю, к 30-м суткам прирост составил более 20 % от исходного уровня. После воздействия рентгеновского излучения отмечалась обратная динамика, максимальная потеря массы тела у облученных мышей всех групп, от 17 до 23 %, регистрировалась в период разгара острого лучевого поражения.
При внутривенном введении ММСК к 30-м суткам после летального облучения восстановление массы тела до исходного уровня было отмечено в группе мышей с использованием минимального в эксперименте количества ММСК — 30 тыс. клеток/мышь. Изменение массы тела мышей после облучения и внутрибрюшинного введения ММСК имело сходный характер, на 30-е сутки после облучения исходный уровень массы тела был достигнут у 77 % выживших животных, получивших лечение с ММСК вне зависимости от численности клеток.
Данные о клеточном составе периферической крови животных контрольных и опытных групп на 30-е сутки после рентгеновского воздействия в дозе 7,8 Гр представлены в таблице 2, из которой следует, что к окончанию срока наблюдения восстановления уровня лейкоцитов и тромбоцитов у облученных животных до показателей биологического контроля еще не происходило, однако у более 50 % облученных животных содержание этих клеток крови превысило нижнюю границу физиологической нормы для грызунов данного вида. При этом внутрибрюшинные инъекции суспензии ММСК обеспечивали восстановление численности лейкоцитов и тромбоцитов более эффективно, чем внутривенный путь доставки клеточного продукта — значимые отличия по сравнению с контрольной группой выявлялись после введения стромальных клеток во всех дозах.
Таблица 2. Клеточный состав периферической крови мышей на 30-е сутки после общего облучения в дозе 7,8 Гр без лечения и с внутривенным или внутрибрюшинным введением ММСК, выделенных из жировой ткани мыши, Ме [Q25; Q75]
Table 2. Cellular composition of peripheral blood of mice on day 30 after total irradiation at a dose of 7.8 Gy without treatment and with intravenous or intraperitoneal administration of MMSCs isolated from mouse adipose tissue, Ме [Q25; Q75]
Группа животных | Лейкоциты, × 109/л (норма 3,5–9) | Эритроциты, × 1012/л (норма 7–11) | Тромбоциты, × 109/л (норма 200–800) | |
Интактная Контрольная 7,8 Гр | 9,1 8,7; 9,3] | 400 [353; 452] 204 [141; 269]* | ||
7,8 Гр + ММСК 30 тыс. клеток/мышь | в/в | 172 [165; 182]* | ||
в/б | 304 [253; 339] | |||
7,8 Гр + ММСК 60 тыс. клеток/мышь | в/в | 308 [227; 330]* | ||
в/б | 357 [334; 412]# | |||
7,8 Гр + ММСК, 120 тыс. клеток/мышь | в/в | 219 [157; 263]* | ||
в/б | 317 [277; 377]# | |||
Примечание: в/в — внутривенно; в/б — внутрибрюшинно; * — различия по сравнению с интактной группой; # — по сравнению с контрольной 7,8 Гр группой, р < 0,05 (U-критерий Манна – Уитни).
Note: i/v — intravenous; i/p — intraperitoneal; * — differences compared to the intact group; # — compared to the control 7.8 Gy group, p < 0.05 (Mann–Whitney U test).
Клеточная терапия с использованием ММСК также способствовала более быстрому восстановлению содержания эритроцитов в крови облученных животных, наиболее существенно при внутрибрюшном введении клеточного продукта. Изменения уровня гемоглобина и гематокрита имели схожую направленность и выраженность (результаты не представлены). Обращает на себя внимание, что наиболее низкие данные по оцениваемым показателям были получены при внутривенном введении ММСК в количестве 120 × 103 клеток.
Сохраняющаяся лейкопения была обусловлена, главным образом, снижением содержания лимфоцитов. Так, при внутривенном применении ММСК в количестве 30 тыс. клеток/мышь и во всем диапазоне доз в случае внутрибрюшного введения клеточной суспензии отмечалось повышение их уровня в сравнении с нелеченым контролем. Количественное содержание моноцитов у мышей всех экспериментальных групп отличалось от интактных животных незначительно; уровень нейтрофилов в крови облученных мышей на 30-е сутки после радиационного воздействия восстановился до уровня у животных группы К биол вне зависимости от пути доставки клеточного продукта при введении ММСК в количестве 60 тыс. клеток/мышь (табл. 3).
Таблица 3. Содержание основных форм лейкоцитов в периферической крови мышей на 30-е сутки после общего облучения в дозе 7,8 Гр без лечения и с внутривенным или внутрибрюшинным введением ММСК через 24 ч после радиационного воздействия, Ме [Q25; Q75]
Table 3. Content of the main forms of leukocytes in the peripheral blood of mice on day 30 after total irradiation at a dose of 7.8 Gy without treatment and with intravenous or intraperitoneal administration of MMSC 24 h after radiation exposure, Ме [Q25; Q75]
Группа животных | Лимфоциты, × 109/л | Моноциты, × 109/л | Нейтрофилы, × 109/л | |
Интактная | ||||
Контрольная 7,8 Гр | ||||
7,8 Гр + ММСК 30 тыс. клеток/мышь | в/в | |||
в/б | ||||
7,8 Гр + ММСК 60 тыс. клеток/мышь | в/в | |||
в/б | ||||
7,8 Гр + ММСК 120 тыс. клеток/мышь | в/в | |||
в/б | ||||
Примечание: * — различия по сравнению с интактной группой, р < 0,01; ** — р < 0,05 (U-критерий Манна – Уитни).
Note: * — differences compared to the intact group, p < 0.01; ** — p < 0.05 (Mann–Whitney U test).
Таким образом, на 30-е сутки после облучения у животных при применении ММСК регистрировалось улучшение показателей периферической крови, при этом введение клеточного продукта в брюшную полость способствовало повышению эффективности клеточной терапии.
Макроскопическая оценка состояния внутренних органов лабораторных животных на 30-е сутки после облучения в дозе 7,8 Гр и клеточной терапии с внутривенным или внутрибрюшным введением аллогенных ММСК в разных дозах показала, что наиболее существенные патологические изменения регистрировались в легких, в меньшей степени в селезенке. У большинства облученных мышей без лечения или после проведенной терапии отмечено увеличение массы и объема легких, обусловленное воспалительными процессами в легочной ткани, что отразилось в значимом повышении значений массового индекса органа в сравнении с животными группы К биол (рис. 6).
Рис. 6. Массовый индекс легких у интактных мышей группы К биол и на 30-е сутки после облучения в дозе 7,8 Гр в группе К обл без лечения или с введением ММСК, выделенных из жировой ткани мыши (30, 60 и 120 тыс. клеток/мышь). Различия по сравнению с группой К биол: * — р < 0,05 (U-критерий Манна – Уитни)
Fig. 6. Lung mass indices in intact mice of the biol group and on day 30 after irradiation at a dose of 7.8 Gy in the Kl group without treatment or with the introduction of MMSCs isolated from mouse adipose tissue (30, 60, and 120 thousand cells/mouse). Differences compared to the K biol group: * — p < 0.05 (Mann–Whitney U test)
Значения массового индекса селезенки у облученных мышей при разных вариантах клеточной терапии проиллюстрированы на рис. 7. У интактных животных масса селезенки составляла 196 [160; 202] мг, селезеночный массовый индекс — 6,06 [5, 67; 6, 75] %. На 30-е сутки после облучения масса и массовый индекс данного органа у животных, которым в терапевтических целях вводились ММСК, существенно отличались в зависимости от способа доставки клеточного продукта. При внутривенном введении значения данных показателей составляли 126 [97; 177] и 4,66 [3, 54; 7, 84] %, при этом только у 26,7 % облученных мышей их величины находились ниже уровня, характерного для интактных животных. При внутрибрюшинном введении масса органа не достигала значений физиологической нормы у 66,7 % животных, составляя 97 [76; 134] мг (в сравнении с биологическим контролем р = 0,011, критерий Манна – Уитни), соответственно массовый индекс находились в диапазоне 3,08 [2, 65; 4, 12] % (р = 0,003).
Рис. 7. Массовый индекс селезенки у интактных мышей (К биол) и на 30-е сутки после облучения в дозе 7,8 Гр в группе К обл без лечения или с введением ММСК, выделенных из жировой ткани мыши (30, 60 и 120 тыс. клеток/мышь). Различия по сравнению с группой К биол: * — р < 0,01; ** — р < 0,05 (U-критерий Манна – Уитни)
Fig. 7. Mass indices of the spleen in intact mice (K biol) and on day 30 after irradiation at a dose of 7.8 Gy in the Kl group without treatment or with the introduction of MMSCs isolated from mouse adipose tissue (30, 60, and 120 thousand cells/mouse). Differences compared to the biol group: * — р < 0.01; ** — р < 0.05 (Mann–Whitney U test)
Патологических нарушений в остальных жизненно важных органах (тимусе, печени, почках, сердце) у облученных мышей не выявлено, значения массового индекса между группами не имели отличий. В целом негативных эффектов при проведении клеточной терапии с использованием аллогенных клеток, полученных из жировой ткани, при обоих путях введения не выявлено.
Таким образом, результаты работы показали, что клеточная терапия с применением ММСК, полученных из жировой ткани, может быть рассмотрена как эффективный способ лечения костномозговой формы ОЛБ.
Подводя краткий итог всему вышесказанному, отметим, что в настоящее время существует много нерешенных вопросов относительно проведения клеточной терапии ОЛБ с использованием ММСК. Предметом дискуссий являются выбор источника получения ММСК, оптимальный временной интервал для их трансплантации после облучения организма, путь доставки клеточного продукта, количество введенных клеток, кратность введения. В нашем исследовании была использована популяция клеток адипогенного происхождения с учетом все возрастающего интереса к использованию жировой ткани в качестве источника ММСК, очевидными преимуществами которой являются ее доступность, относительно простые методологии выделения и культивирования ММСК, минимальные этические аспекты, содержание большого количества функционально активных и жизнеспособных стволовых клеток [12, 14].
При выборе срока проведения клеточной терапии мы руководствовались данными научной литературы и результатами ранее проведенных экспериментов in vivo и in vitro. Большинство авторов сходится во мнении, что оптимальная терапевтическая эффективность ММСК проявляется при их использовании в первые сутки после облучения; более отдаленные сроки приводят к снижению положительного действия клеточной терапии [15, 16]. На мышиной модели костномозговой формы ОРС и на клеточных культурах (мононуклеарной фракции клеток костного мозга и ММСК, полученных из подкожной жировой ткани мышей) выявлено преимущество применения ММСК через 24 ч после облучения мышей в летальной дозе 7,5 Гр над более ранними сроками клеточной терапии ОРС: в течение 4 ч после острого лучевого воздействия в крови животных происходили изменения, вызывающие появление токсичности по отношению к клеточным системам. Через 24 ч цитопатогенное действие сыворотки крови облученных мышей полностью минимизировалось, что отразилось в повышении 30-суточной выживаемости облученных животных и положительной динамике в восстановлении костномозгового кроветворения и численности клеток периферической крови при использовании ММСК через 24 ч после облучения по сравнению с более ранним сроком клеточной терапии (2 ч после рентгеновского воздействия).
С клинической точки зрения внутривенный способ доставки биомедицинских клеточных продуктов, в том числе ММСК, в организм является наиболее перспективным и патогенетически оправданным. Однако накапливаются данные, свидетельствующие о кумуляции внутривенно введенных ММСК в легких и печени, что может привести к образованию микроэмболов и иметь серьезные последствия для функционирования этих органов [17–19], в связи с чем многими исследователями проводится поиск альтернативных способов введения. Основываясь на данных литературы, доказывающих способность внутрибрюшинно введенных ММСК мигрировать в пораженный после облучения костный мозг, обеспечивая его репаративное восстановление [20], нами была изучена эффективность клеточной терапии острого лучевого поражения при внутривенном и внутрибрюшинном способах введения клеточного продукта. Результаты проведенного исследования показали, что применение ММСК адипогенного происхождения при обоих путях доставки способствовало увеличению продолжительности жизни мышей после летального облучения, что является важным показателем эффективности проведенной терапии, поскольку дает возможность снизить потенциальные риски фатального для организма исхода путем подключения поддерживающей терапии, в частности антибактериальной, противовоспалительной и др.
Эффективность ММСК после внесистемного введения связывают с их паракринными эффектами, обусловленными способностью ММСК стимулировать восстановление лучевого повреждения костного мозга за счет секреции гемопоэтических факторов (гранулоцитарно-макрофагального колониестимулирующего фактора (КСФ), макрофагальных воспалительных белков 1α и 1β, хемотаксического фактора гранулоцитов, хемоаттрактанта кератиноцитов, Rantes, интерлейкина (ИЛ)-17, КСФ макрофагов, фактора некроза опухолей альфа, эотаксина и индуцируемого γ-интерфероном белка 10), приводящих к существенному повышению количества лейкоцитов в периферической крови. Похожие данные были получены при применении кондиционной среды, полученной при культивировании ММСК, также обеспечивающей снижение тяжести ОРС и стимулирующей восстановление угнетенного гемопоэза, повышая выживаемость облученных мышей [20]. Подтверждением паракринного характера действия ММСК служат исследования, показавшие терапевтическую эффективность клеточного продукта на основе популяции стромальных клеток плаценты (PLX-RAD) при внутримышечном и подкожном введении [25, 26]. В период разгара острого лучевого синдрома у облученных в дозе 7,7 Гр мышей, получавших PLX-RAD, выявлялся высокий уровень 9 из 63 тестируемых белков человека, которые включали основные цитокины, связанные с кроветворением, такие как КСФ гранулоцитов, белок регулировки роста GRO, хемоаттрактантный белок-1 моноцитов (MCP-1), ИЛ-6 и ИЛ-8, концентрация которых достигала максимума на 6–9-е сутки эксперимента. Похожую кинетику имели и цитокины, в основном связанные с миграцией лейкоцитов, включая MCP-3 (CCL7), эпителиальный аттрактант нейтрофилов (ENA, CXCL5), эотаксин (CCL11) и фракталкин (CX3CL1) [21].
Полученные нами данные о снижении лечебного действия ММСК при повышении количества внутривенно введенных клеток, оцененного по показателю 30-суточной выживаемости облученных мышей, вероятно, могут быть объяснены «эффектом первого прохождения через легкие». По мнению И.В. Майбородина и др. [22], ММСК, аккумулированные после внутривенного введения в легочной капиллярной сети, подвергаются макрофагальному фагоцитозу, после чего дебрис разрушенных клеток транспортируется с кровью в остальные органы, при этом при других способах доставки клеточного продукта эти процессы могут быть гораздо менее выражены.
Результаты нашего исследования, показавшие при внутривенном способе доставки клеточного продукта обратную зависимость выживаемости животных от дозы, могут служить доказательством необходимости контроля количества введенных в организм ММСК при лучевом поражении системы кроветворения. Похожие данные были получены K.X. Hu et al. [23], показавшими, что трансплантация ММСК костномозгового происхождения в количестве 5 × 107 клеток/кг повышала 30-суточную выживаемость мышей после γ-облучения в дозе 8 Гр до 43 % при абсолютной летальности в контрольной группе, а применение ММСК в меньшем или большем количестве (2,5 × 107 и 1,5 × 108 клеток) обеспечивало соответственно выживаемость лишь 30 и 12 % облученных мышей. M. Bandekar et al. [15] выявили зависимость эффективности клеточной терапии ОРС у мышей от численности введенных стромальных клеток, полученных из вартонова студня (WJ-MSC): максимальное влияние на показатели выживаемости животных после облучения в дозе 8,5 Гр имела внутривенная трансплантация клеток в количестве 1 × 106/мышь, при применении 0,25; 0,5 или 1,5 × 106 клеток защитный эффект снижался. Эти данные особенно важно учитывать при совместном с клеточной терапией применении препаратов, стимулирующих кроветворение.
Таким образом, данные литературы и полученные в нашем исследовании результаты свидетельствуют, что клеточная терапия костномозговой формы ОЛБ с использованием ММСК, полученных из жировой ткани, имеет несомненные перспективы. Обеспечить защиту от гибели животных после летального облучения способны аллогенные ММСК, характеризующиеся, в отличие от гемопоэтических стволовых клеток, низкой иммуногенностью или ее отсутствием, при этом терапевтические эффекты проявляются не только после внутривенной трансплантации клеточного продукта, но и после внутрибрюшинного введения. Поддержка гемопоэза после острого лучевого воздействия обеспечивается, как следует из литературных данных, путем стимуляции экспрессии цитокинов и хемокинов, участвующих в кроветворении, что сопровождается улучшением показателей гемопоэза и ускорением восстановления численности клеток крови функционального пула и, в конечном счете, приводит к более быстрому восстановлению организма после радиационного воздействия.
ЗАКЛЮЧЕНИЕ
На мышиной экспериментальной модели исследовано терапевтическое действие популяции фибробластоподобных клеток, полученных из стромально-васкулярной фракции подкожной жировой ткани мышей и выращенных в культуре, для лечения костномозговой формы острого радиационного синдрома. Клетки были идентифицированы как ММСК, поскольку обладали адгезивностью к пластику, формируя при культивировании конфлюэнтный монослой, а процесс их остеогенной дифференцировки in vitro завершался созреванием остеобластов и формированием кальциевых депозитов, что свидетельствовало об их мультипотентной природе. Для введения животным использовали ММСК на уровне 3–4 пассажа.
Клеточную терапию проводили через 24 ч после общего относительно равномерного рентгеновского облучения лабораторных мышей в дозе 7,8 Гр. В работе впервые проведено сравнение терапевтической эффективности аллогенной трансплантации ММСК при разных путях введения клеточной суспензии — внутривенном и внутрибрюшинном. Показано существенное повышение выживаемости мышей в течение 30-суточного периода наблюдения после облучения в летальной дозе, которое зависело от количества введенных клеток и способа доставки биомедицинского клеточного продукта. При внутривенном введении ММСК количество клеток в клеточном продукте 30 и 60 тыс. обеспечивало выживаемость соответственно 72,7 и 58,3 % облученных животных; в группе нелеченых мышей выжило 18,2 %. При увеличении численности клеток в клеточном продукте до 120 тыс. клеток/мышь эффективность терапии снижалась. При внутрибрюшинном способе доставки ММСК терапевтический эффект обнаруживался при введении ММСК во всем диапазоне доз — 30, 60 или 120 тыс. клеток/мышь; клеточная терапия защитила от гибели 67–75 % животных.
Снижение летальности лабораторных мышей с острым лучевым костномозговым синдромом при аллогенной трансплантации ММСК сопровождалось улучшением гемопоэтических показателей, ускорением восстановления численности клеток крови функционального пула. На фоне введения ММСК на 30 сутки после облучения у 70–80 % животных происходило восстановление значений основных показателей системы кроветворения до исходного уровня.
Таким образом, результаты исследования свидетельствуют, что клеточная терапия с использованием ММСК, выделенных из жировой ткани, при внутривенном и внутрибрюшинном путях доставки клеточного продукта в облученный организм обеспечивает защиту мышей от гибели после воздействия рентгеновского излучения в летальных дозах, способствуя снижению тяжести лучевого поражения гемопоэтической системы у мышей, и имеет очевидные перспективы для дальнейших разработок.
ДОПОЛНИТЕЛЬНАЯ ИНФОРМАЦИЯ
Вклад авторов. Все авторы внесли существенный вклад в разработку концепции, проведение исследования и подготовку статьи, прочли и одобрили финальную версию перед публикацией.
Вклад каждого автора. Е.В. Мурзина, Н.В. Пак — разработка общей концепции, дизайн исследования, анализ данных, написание статьи; Н.В. Аксенова, Н.А. Жирнова — анализ данных, подготовка статьи к публикации; О.М. Веселова, А.А. Ховпачев, Н.В. Белый — сбор материалов для исследования, анализ данных.
Конфликт интересов. Авторы декларируют отсутствие явных и потенциальных конфликтов интересов, связанных с публикацией настоящей статьи.
Источник финансирования. Авторы заявляют об отсутствии внешнего финансирования при проведении исследования.
Этический комитет. Протокол исследования был одобрен локальным этическим комитетом Военно-медицинской академии имени С.М. Кирова (№ 267 от 19.07.2022).
ADDITIONAL INFORMATION
Authors’ contribution. Thereby, all authors made a substantial contribution to the conception of the study, acquisition, analysis, interpretation of data for the work, drafting and revising the article, final approval of the version to be published and agree to be accountable for all aspects of the study.
The contribution of each author. E.V. Murzina, N.V. Pak — development of a general concept, research design, data analysis, writing an article; N.V. Aksenova, N.A. Zhirnova — data analysis, preparation of an article for publication; O.M. Veselova, A.A. Khovpachev, N.V. Bely — collection of materials for research, data analysis.
Competing interests. The authors declare that they have no competing interests.
Funding source. This study was not supported by any external sources of funding.
Ethics approval. The present study protocol was approved by the local Kirov Military Medical Academy, (reference number: 267, 19.07.2022).
Об авторах
Елена Викторовна Мурзина
Военно-медицинская академия имени С.М. Кирова
Автор, ответственный за переписку.
Email: elenmurzina@mail.ru
ORCID iD: 0000-0001-7052-3665
SPIN-код: 5188-0797
канд. биол. наук
Россия, Санкт-ПетербургНаталья Викторовна Пак
Военно-медицинская академия имени С.М. Кирова
Email: elenmurzina@mail.ru
ORCID iD: 0000-0003-1239-5663
SPIN-код: 7181-3780
канд. биол. наук
Россия, Санкт-ПетербургНаталия Владимировна Аксенова
Военно-медицинская академия имени С.М. Кирова
Email: elenmurzina@mail.ru
ORCID iD: 0000-0002-5645-7072
SPIN-код: 6821-6887
канд. мед. наук
Россия, Санкт-ПетербургНаталья Андреевна Жирнова
Военно-медицинская академия имени С.М. Кирова
Email: elenmurzina@mail.ru
ORCID iD: 0000-0002-9948-6260
SPIN-код: 8308-2139
канд. биол. наук
Россия, Санкт-ПетербургОльга Михайловна Веселова
Военно-медицинская академия имени С.М. Кирова
Email: elenmurzina@mail.ru
ORCID iD: 0009-0007-9345-1845
SPIN-код: 4864-8391
научный сотрудник
Россия, Санкт-ПетербургАлексей Андреевич Ховпачев
Военно-медицинская академия имени С.М. Кирова
Email: khovpachev@gmail.com
ORCID iD: 0009-0002-5780-1557
SPIN-код: 6189-3624
канд. мед. наук
Россия, Санкт-ПетербургНиколай Викторович Белый
Военно-медицинская академия имени С.М. Кирова
Email: elenmurzina@mail.ru
ORCID iD: 0000-0002-9370-8678
SPIN-код: 8676-3186
врач клинической лабораторной диагностики
Россия, Санкт-ПетербургСписок литературы
- Меркулов В.А., Бунятян Н.Д., Радаев С.М. Проблемы и перспективы применения клеточной терапии в клинической практике // Ведомости Научного центра экспертизы средств медицинского применения. Регуляторные исследования и экспертиза лекарственных средств. 2011. № 2. С. 35–38. EDN: RWVTFZ
- Москалев А.В., Гумилевский Б.Ю., Апчел А.В., Цыган В.Н. Стволовые клетки и их физиологические эффекты // Вестник Российской военно-медицинской академии. 2019. T. 58, № 4. С. 172–180. EDN: ZBDYZF
- Qian L., Cen J. Hematopoietic stem cells and mesenchymal stromal cells in acute radiation syndrome // Oxid Med Cell Longev. 2020. Vol. 2020. P. 8340756. doi: 10.1155/2020/8340756
- Singh V.K., Seed T.M. Pharmacological management of ionizing radiation injuries: current and prospective agents and targeted organ systems // Expert Opin Pharmacother. 2020. Vol. 21, N. 3. P. 317–337. doi: 10.1080/14656566.2019.1702968
- Власенко А.Н., Гайдук С.В., Легеза В.И., и др. Клиническая радиология. Санкт-Петербург: Фолиант, 2020. 448 с.
- Самойлов А.С., Кончаловский М.В., Бушманов А.Ю., и др. Рекомендации по диагностике и лечению костномозговой формы острой лучевой болезни // Гематология и трансфузиология. 2023. Т. 68, № 1. С. 98–128. EDN: NONQCI doi: 10.35754/0234-5730-2023-68-1-98-12
- Asano S. Current status of hematopoietic stem cell transplantation for acute radiation syndromes // Int J Hematol. 2012. Vol. 95, N. 3. P. 227–231. doi: 10.1007/s12185-012-1027-8
- Калмыкова Н.В., Александрова С.В. Терапевтическое действие полипотентных мезенхимальных стромальных клеток после радиационного воздействия // Радиационная биология. Радиоэкология. 2016. Т. 56, № 2. С. 117–137. EDN: VVHLHR doi: 10.7868/S0869803116020077
- Rezvani M. Therapeutic potential of mesenchymal stromal cells and extracellular vesicles in the treatment of radiation lesions — a review // Cells. 2021. Vol. 10, N. 2. P. 427. doi: 10.3390/cells10020427
- Потапнев М.П. Пути повышения эффективности клеточной терапии на основе мультипотентных мезенхимальных стромальных клеток // Гены и клетки. 2021. Т. 16, № 4. С. 22–28. EDN: FWMWHS doi: 10.23868/202112003
- Директива 2010/63/EU Европейского парламента и совета европейского союза по охране животных, используемых в научных целях. Санкт-Петербург: Rus-LASA «НП объединение специалистов по работе с лабораторными животными», 2012. 48 с.
- Zuk P.A., Zhu M., Ashjian P. Human adipose tissue is a source of multipotent stem cells // Mol Biol Cell. 2002. Vol. 13, N. 12. P. 4279–4295. doi: 10.1091/mbc. E02–02–0105
- Dominici M., Le Blanc K., Mueller I., et al. Minimal criteria for defining multipotent mesenchymal stromal cells // Cytotherapy. 2006. Vol. 8, N.4. P. 315–317. doi: 10.1080/14653240600855905
- Васильев В.С., Мантурова Н.Е., Васильев С.А., Терюшкова Ж.И. Биологическая характеристика жировой ткани // Пластическая хирургия и эстетическая медицина. 2019. № 2. C. 33–42. EDN: FFFVTP doi: 10.17116/plast.hirurgia201902133
- Bandekar M., Maurya D.K., Sharma D., Sandur S.K. Preclinical studies and clinical prospects of Wharton’s Jelly-derived MSC for treatment of acute radiation syndrome // Curr Stem Cell Rep. 2021. Vol. 7, N. 2. P. 85–94. doi: 10.1007/s40778-021-00188-4
- Kovalenko O.A., Azzam E.I., Ende N. Human umbilical cord blood mononucleated cells enhance the survival of lethally irradiated mice: dosage and the window of time // J Radiat Res. 2013. Vol. 54, N. 6. P. 1010–1014. doi: 10.1093/jrr/rrt062
- Lee R.H., Pulin A.A., Seo M.J., et al. Intravenous hMSCs improve myocardial infarction in mice because cells embolized in lung are activated to secrete the anti-inflammatory protein TSG-6 // Cell Stem Cell. 2009. Vol. 5, N. 1. P. 54–63. doi: 10.1016/j.stem.2009.05.003
- Schmuck E.G., Koch J.M., Centanni J.M., et al. Biodistribution and clearance of human mesenchymal stem cells by quantitative three-dimensional cryo-imaging after intravenous infusion in a rat lung injury model // Stem Cells Transl Med. 2016. Vol. 5, N. 12. P. 1668–1675. doi: 10.5966/sctm.2015-0379
- Паюшина О.В., Цомартова Д.А., Черешнева Е.В., и др. Регуляторное влияние мезенхимных стромальных клеток на развитие фиброза печени: клеточно-молекулярные механизмы и перспективы клинического применения // Журнал общей биологии. 2020. Т. 81, № 2. С. 83–95. EDN: EOGIBI doi: 10.31857/S0044459620020062
- Chinnapaka S., Yang K.S., Samadi Y., et al. Allogeneic adipose-derived stem cells mitigate acute radiation syndrome by the rescue of damaged bone marrow cells from apoptosis // Stem Cells J. 2021. Vol. 10, N. 7. P. 1095–1114. doi: 10.1002/sctm.20-0455
- Pinzur L., Akyuez L., Levdansky L., et al. Rescue from lethal acute radiation syndrome (ARS) with severe weight loss by secretome of intramuscularly injected human placental stromal cells // J Cachexia Sarcopenia Muscle. 2018. Vol. 9, N. 6. P. 1079–1092. doi: 10.1002/jcsm.12342
- Майбородин И.В., Маслов Р.Н., Михеева Т.В., и др. Распределение мультипотентных мезенхимных стромальных клеток и их детрита по организму после подкожного введения // Журнал общей биологии. 2020. Т. 81, № 2. С. 96–107. EDN: JPTPXD doi: 10.31857/S0044459620020050
- Hu K.X., Sun Q.Y., Guo M., Ai H.S. The radiation protection and therapy effects of mesenchymal stem cells in mice with acute radiation injury // British J Rad. 2010. Vol. 83, N. 985. P. 52–58. doi: 10.1259/bjr/61042310
Дополнительные файлы










