Immunoprotective therapy for suppression of humoral immune response induced by hypoxia and toxemia
- Authors: Alexandrov V.N.1,2, Zarubin I.V.1, Kondratenko A.A.1, Mikhaylova E.V.2, Kromskiy S.V.2, Sigareva L.P.2, Gorichny V.A.1, Pak N.V.1, Slizhov P.A.1, Kokorina A.A.1
-
Affiliations:
- Military medical academy of S.M. Kirov
- Saint-Petersburg State Pediatric Medical University
- Issue: Vol 22, No 4 (2020)
- Pages: 107-110
- Section: Experimental trials
- Submitted: 06.03.2021
- Published: 15.12.2020
- URL: https://journals.eco-vector.com/1682-7392/article/view/62815
- DOI: https://doi.org/10.17816/brmma62815
- ID: 62815
Cite item
Abstract
The possibility of using preparations limiting toxemia and hypoxia, in particular inhibitors of proteoletic enzymes and antihypoxants, as preparations having immunoprotective activity is considered. Under the conditions of the experimental model of severe mechanical injury on mice-hybrids of the first generation F1 (CBA×C57BL6), the immunoprotective activity of such antihypoxants as amtisol and a derivative of 1, 2, 4-triazino-5, 6 indole, as well as a counterkal, a drug limiting toxemia and a cationoacceptor preparation of dimexide, administered to immunized erythythermal It has been shown that in the body of mice receiving antihypoxants, contrical and dimexide accumulate significantly more antibody-forming cells compared to their number in animals of the control group. Thus, amtisol, a derivative of 1, 2, 4-triazino-5, 6 indole, contrical and dimexide can be considered not only as preparations for pathogenetic therapy of trauma, but also as immunoprotectors – drugs that indirectly limit the formation of post-traumatic immunodeficiency and the risk of infection in an immunocompromised host. The risk of infectious complications and the generalization of the inflammatory process in patients after severe mechanical injury is more than 50%. Prevention of infectious complications of traumatic disease should be comprehensive and aimed at correcting the function of the immune system.
Keywords
Full Text
Введение. Известно, что тяжелое состояние пострадавших может быть обусловлено не только шоком, но и осложнениями постшокового периода. Как правило, это легочные осложнения, обусловленные посттравматическим иммунодефицитом, индуцированным патогенетическими факторами травмы: 1) неадекватной (прежде всего болевой) афферентацией из поврежденных тканей; 2) кровоплазмопотерей; 3) токсемией; 4) гипоксией. В селезенке животных, выживших после тяжелой политравмы и иммунизированных Т-зависимым антигеном, накапливается достоверно меньше антителообразующих клеток (АОК) по сравнению с их числом в селезенке интактных животных. В этом контексте представляется значимым оценить возможность профилактики посттравматического иммунодефицита уже на этапе оказания первой медицинской помощи, в частности проанализировать иммунопротективное действие антигипоксантов (амтизол и производное 1, 2, 4-триазино-5, 6 индола (ПТИ)), ограничивающего токсемию препарата контрикала и катионоакцепторного препарата диметилсульфоксида (димексида).
Цель исследования. Оценить возможность профилактики посттравматической супрессии иммунного ответа, индуцированной гипоксией и токсемией, с использованием антигипоксантов – амтизола, ПТИ, ингибитора протеаз контрикала и катионоакцепторного препарата димексида.
Материалы и методы. В качестве экспериментальных животных была использована 381 самка мышей – гибридов первого поколения F1 (CBA–C57Bl6). Животных содержали в стандартных условиях вивария, в работе с ними руководствовались требованиями международных принципов и приказов [1–3]. Модель тяжелой политравмы воспроизводили во вращающемся металлическом барабане. При вращении мыши поднимались его выступами на высоту 40 см и, неспособные удерживаться в силу своей обездвиженности (лапки перед включением барабана фиксировали пластырем), получали удары при многократных падениях. Использовали животных, перенесших до 450 оборотов (число оборотов, сопровождающихся гибелью 30–40% мышей). Из выживших животных путем случайной выборки на следующие сутки после травмы были сформированы четыре группы. Первая группа – мыши, получившие внутрибрюшинно амтизол в концентрации 5 мг/кг; вторая группа – мыши, получившие внутрибрюшинно ПТИ в концентрации 20 мг/кг; третья группа – мыши, получившие внутривенно 60 калликреин ингибирующих единиц (КИЕ)/кг контрикала; четвертая группа – мыши, получившие внутрибрюшинно 0,5 мл 1% раствора димексида. Все препараты вводили в объеме 0,5 мл 0,9% раствора натрия хлорида.
Контрольную группу составили мыши, выжившие и получившие внутрибрюшинно 0,5 мл 0,9% раствора натрия хлорида. Гуморальный иммунный ответ оценивали методом локального гемолиза в геле агарозы [4]. Учитывали число АОК в селезенке или на 106 спленоцитов на 5-е сутки после иммунизации тимусзависимым антигеном – эритроцитами барана, вводимых в боковую вену хвоста в концентрации 2×106 в объеме 0,5 мл среды 199 на следующие, а в отдельных экспериментах также на 4-е и 8-е сутки посттравматического периода.
Проверку статистических гипотез о различии исследуемых групп проводили с использованием t-критерия Стьюдента. Статистически значимыми считали различия на уровне p<0,05.
Результаты и их обсуждение. Антигипоксант амтизол, использованный однократно сразу после травмы, быстро, длительно и надежно блокировал развитие посттравматического иммунодефицита (рис. 1). Не менее эффективным оказалось ПТИ (рис. 2).
Рис. 1. Динамика гуморального иммунного ответа на эритроциты барана мышей, перенесших тяжелую политравму и получивших амтизол
Рис. 2. Гуморальный иммунный ответ мышей, перенесших тяжелую политравму и получивших ПТИ
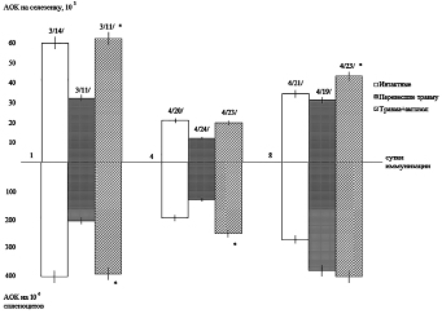
Введение 12 КИЕ контрикала сразу после тяжелой травмы, как оказалось, лишает сыворотку иммуноингибирующих свойств и надежно блокирует развитие посттравматической иммуносупрессии (рис. 3). Однократное введение димексида сразу после травмы также дает заметный иммунопротективный эффект (рис. 4). После использования димексида на протяжении всего исследуемого периода (восемь суток) иммунный ответ был достоверно выше, чем в группе нелеченых мышей, а на 4-й день посттравматического периода, когда, как правило, манифестирует инфекция, он был равен таковому у интактных животных.
Рис. 3. Гуморальный иммунный ответ мышей, перенесших тяжелую политравму и получивших контрикал
Рис. 4. Динамика гуморального иммунного ответа на эритроциты барана мышей, перенесших травму и получивших димексид
Заключение. Показано, что антигипоксанты (амтизол и ПТИ), ограничивающий токсемию препарат контрикал и катионакцепторный препарат димексид, использованные сразу после тяжелой травмы для ограничения гипоксии и токсемии, достоверно нивелируют индуцированную травмой иммунную недостаточность. Таким образом, амтизол, ПТИ, контрикал и димексид следует оценивать как препараты выбора на пути поиска средств профилактики посттравматического иммунодефицита.
Лечение пострадавших с тяжелой механической травмой, к сожалению, остается и на сегодняшний день далекой от разрешения проблемой. Длительность и стоимость лечения пострадавших при возникновении осложнений увеличивается в разы. Стертый характер инфекционного процесса у больных травматологического профиля обусловлен посттравматическим иммунодефицитом. В этом контексте применение в раннем посттравматическом периоде препаратов, обладающих наряду с основным действием и иммуномодулирующими свойствами, представляется оправданным.
About the authors
V. N. Alexandrov
Military medical academy of S.M. Kirov; Saint-Petersburg State Pediatric Medical University
Author for correspondence.
Email: vmeda-nio@mil.ru
Russian Federation, Saint Petersburg
I. V. Zarubin
Military medical academy of S.M. Kirov
Email: vmeda-nio@mil.ru
Russian Federation, Saint Petersburg
A. A. Kondratenko
Military medical academy of S.M. Kirov
Email: vmeda-nio@mil.ru
Russian Federation, Saint Petersburg
E. V. Mikhaylova
Saint-Petersburg State Pediatric Medical University
Email: vmeda-nio@mil.ru
Russian Federation, Saint Petersburg
S. V. Kromskiy
Saint-Petersburg State Pediatric Medical University
Email: vmeda-nio@mil.ru
Russian Federation, Saint Petersburg
L. P. Sigareva
Saint-Petersburg State Pediatric Medical University
Email: vmeda-nio@mil.ru
Russian Federation, Saint Petersburg
V. A. Gorichny
Military medical academy of S.M. Kirov
Email: vmeda-nio@mil.ru
Russian Federation, Saint Petersburg
N. V. Pak
Military medical academy of S.M. Kirov
Email: vmeda-nio@mil.ru
Russian Federation, Saint Petersburg
P. A. Slizhov
Military medical academy of S.M. Kirov
Email: vmeda-nio@mil.ru
Russian Federation, Saint Petersburg
A. A. Kokorina
Military medical academy of S.M. Kirov
Email: vmeda-nio@mil.ru
Russian Federation, Saint Petersburg
References
Supplementary files






