Evaluation of the effectiveness of pharmaceutical supply in a medical organization based on the integration of quality management and lean management systems
- Authors: Miroshnichenko Y.V.1, Kadnikova A.M.2, Shcherba M.P.3, Okolelova M.S.1,3, Airo I.N.4, Petrov A.Y.5, Samkova I.A.6
-
Affiliations:
- Saint Petersburg State Chemical-Pharmaceutical University
- Sverdlovsk Regional Clinical Psychiatric Hospital
- Kirov Military Medical Academy
- Pyatigorsk Medical and Pharmaceutical Institute — branch of Volgograd State Medical University
- Ural State Medical University
- Sverdlovsk Regional Medical College
- Issue: Vol 27, No 1 (2025)
- Pages: 23-30
- Section: Original Study Article
- Submitted: 28.11.2024
- Accepted: 03.02.2025
- Published: 01.05.2025
- URL: https://journals.eco-vector.com/1682-7392/article/view/642364
- DOI: https://doi.org/10.17816/brmma642364
- ID: 642364
Cite item
Abstract
Background: This study evaluated scientific and methodological approaches for evaluating the effectiveness of pharmaceutical supply in medical organizations, including the Sverdlovsk Regional Clinical Psychiatric Hospital, and developing measures for its optimization by integrating a quality management system (QMS) and a lean management system (LMS).
Materials and methods: Content analysis, structural and functional analysis, logical analysis, and observation, comparison, and descriptive methods were utilized in this study. Furthermore, process design and modeling approaches were applied to evaluate pharmaceutical supply management. The study focused on pharmaceutical and medical device supply processes within medical organizations (using the Sverdlovsk Regional Clinical Psychiatric Hospital as an example).
Results: Considering the specifics of the hospital’s operations and applying the provisions of the ISO 9001:2015 standard (Quality Management Systems—Requirements) and ICH Q10 (Pharmaceutical Quality System), an internal quality management policy was developed to regulate the pharmaceutical supply process within hospitals. The study identified the primary responsibilities of a pharmaceutical quality officer in overseeing compliance with internal pharmaceutical protocols in hospital departments, units, and branches. As part of QMS and LMS implementation in pharmaceutical supply management, an original checklist was designed to facilitate multistage compliance monitoring at temporary storage areas, nurse stations, and procedure rooms. The core principles of lean management are integrated at each stage of the internal quality control of pharmaceutical supply, demonstrating the integration of QMS and LMS.
Conclusions: Thus, the study demonstrates that integrating QMS and LMS allows medical organizations to optimize pharmaceutical supply processes and achieve a synergistic effect by eliminating functional and documentation redundancies. This enhances the efficiency of medical organizations and improves the quality of healthcare delivery without increasing resource consumption.
Full Text
Background
In modern socio-economic conditions, the development of a healthcare system for Russia that prioritizes the improvement of the drug supply quality is imperative. Recently, the principles of the quality management system (QMS) and lean production management system (LPMS)1 have been successfully implemented in the activities of medical organizations (MOs) to build functional models [1–3]. Notably, in terms of drug supply, the QMS methods aim at defining and ensuring adherence to the established drug characteristics, as well as at reducing the risks of deviation from the requirements and preventing their causes. On the other hand, the LPMS aims to improve the efficiency and synchronization of drug supply processes, reduce time and costs, and ensure their compliance with the required quality levels according to the accepted parameters [3, 4]. Integration of the QMS and LPMS allows minimizing material resource losses (drugs, medical devices, and other types of property); increasing the efficiency of their procurement processes, acceptance, storage, distribution, dispensing, and utilization; reducing the probability of prescribing errors; and ensuring patient safety, which positively impact the MO activity [2, 4, 5].
A key condition for implementing the basic principles of lean manufacturing and QMS in healthcare is internal quality and safety control of medical and pharmaceutical activities, including auditing the utilization of drugs and medical devices during diagnosis and treatment [6–8]. For example, the established requirements2 for controlling the distribution of drugs in MOs include the following:
- control of drug expiry dates and storage conditions, including the organization of the storage of high-potency and poisonous substances, psychotropic substances from List III3, and other drugs subject to strict inventory;
- compliance with drug prescribing requirements and recording of adverse reactions (including allergies and interactions) with data entry into medical records;
- ensuring prescription accuracy and the use of unified prescription blanks;
- assessment of drug supply to specific categories of patients, considering the information provided in the relevant federal registers (individuals with human immunodeficiency virus, tuberculosis, rare diseases, etc.).
In addition, the required information about drugs and medical devices is entered into the federal information system for monitoring drug movement (FGIS MDLP) and the state information system for monitoring the turnover of products subject to mandatory labeling via identification.
The clinical pharmacologist and the pharmacist responsible for organizing drug supply (or the person authorized for quality control of drug supply) play an important role in solving these and related problems; establishing effective cooperation between medical and pharmaceutical specialists in the MO; and coordinating their efforts to rationalize drug supply. Pharmaceutical specialists in MO are responsible for organizational and managerial functions such as determining the need for drugs and medical devices necessary for medical care financed by various sources; providing pharmaceutical counseling; ensuring compliance with pharmaceutical regulations in departments and units; and conducting established pharmacovigilance activities [6]. One of the key conditions for effectively implementing the listed functions is the integration of QMS and LPMS, which is considered a strategically significant solution for the MO, helping to improve performance indicators and create a reliable foundation for sustainable development [2, 7].
Thus, developing measures to implement an integrated management system in MOs is a pressing organizational and managerial task; the solution can significantly optimize patient care organization and enhance the quality of healthcare.
This study aimed to substantiate scientific and methodological approaches for assessing the effectiveness of drug supply at the level of MO (referring to the Sverdlovsk Regional Clinical Psychiatric Hospital [SRCPH]) and to develop measures for its optimization by integrating with QMS and LPMS.
Methods
The research data included legislative and regulatory acts of the Russian Federation, regulatory acts of the federal executive authorities, as well as international and national QMS and LPMS standards; scientific work on drug supply organization, lean manufacturing, and QMS; and other scientific, methodological, and reference literature on the subject. The study used system and problem methodological approaches, which were implemented through content analysis, structural–functional and logical analysis, observation, comparison and description, and the design and modeling of drug supply processes. The study focused on drug and medical device supply (such as determining needs, procurement, acceptance, accounting, storage, distribution, dispensing, prescription, utilization, write-off, destruction, quality control, pharmacovigilance, and medical device safety monitoring) at the MO level (using SRCPH as a reference).
Results and discussion
In 2015, the International Standards Organization (ISO) 9001-2015 Quality Management Systems Requirements[4] was implemented at the SRCPH. It aimed to increase customer satisfaction through the effective application of QMS, including its improvement processes and ensuring compliance with regulatory provisions. An analysis of the ICH Q10 Guideline Pharmaceutical Quality System[5] reveals the fundamental principles for implementing the ISO 9001-2015 provisions in the pharmaceutical industry.
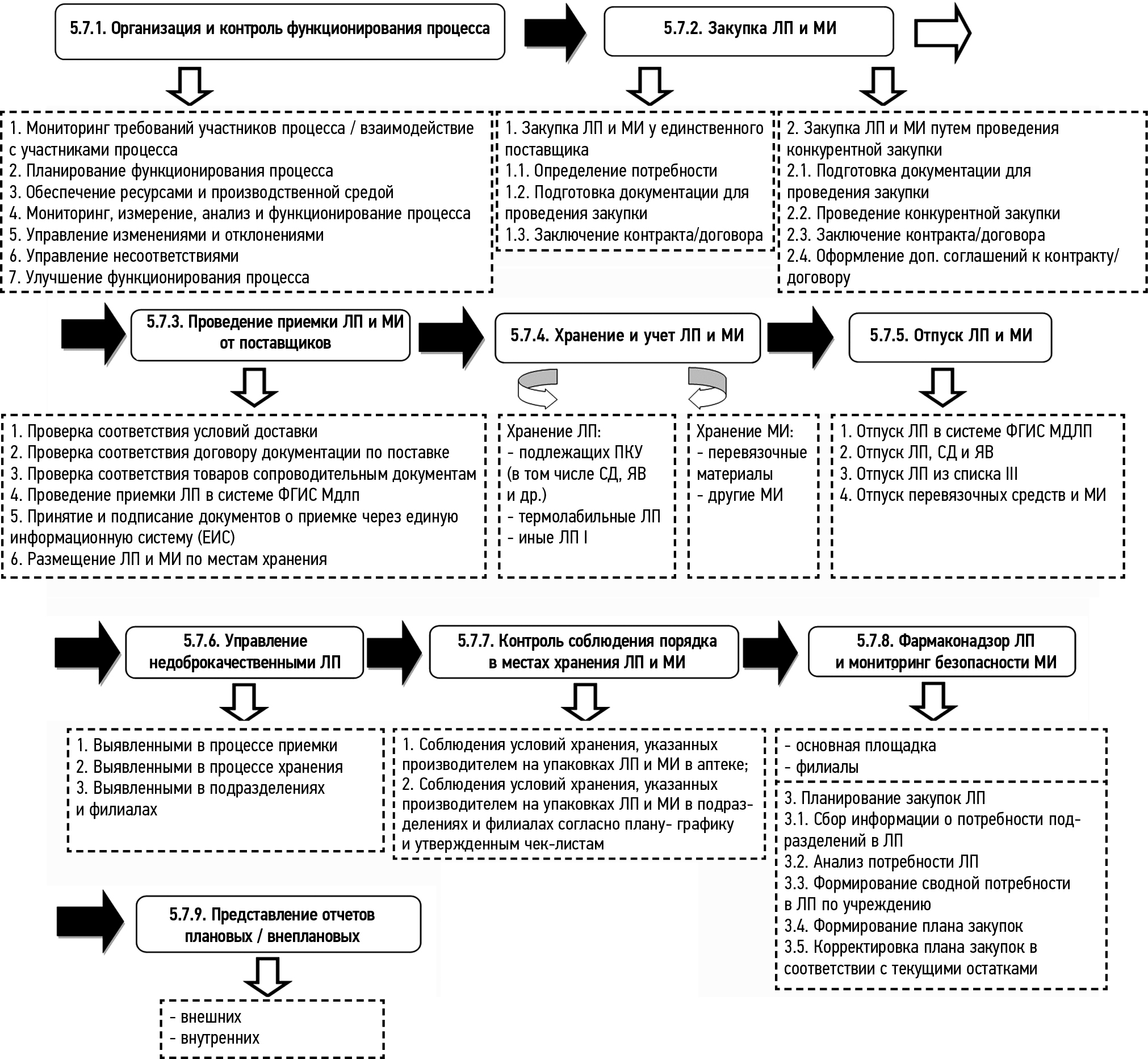
An internal QMS regulation at SRCPH, monitoring the drug supply process, has been developed based on the characteristics of the activity and the provisions of the standards mentioned (Section 5). At the same time, within the structure of process 5.7 “Drug and medical device supply,” 9 main areas of pharmacy work are included in the MO (Fig. 1): organization and control of process functioning (clause 5.7.1), procurement of drugs and medical devices (clause 5.7.2), dispensing of drugs and medical devices (clause 5.7.3), storage and accounting of drugs and medical devices (clause 5.7.4), acceptance of drugs and medical devices from suppliers (clause 5.7.5), management of substandard drugs (clause 5.7.6), monitoring compliance with pharmaceutical regulations at the storage locations of drugs and medical devices (clause 5.7.7), pharmacovigilance of drugs and monitoring of medical device safety (clause 5.7.8), and submission of planned/unplanned reports (clause 5.7.9).
Fig. 1. Structure of process 5.7. Pharmaceutical and Medical Device Supply Management in a medical organization (case study of the Sverdlovsk Regional Clinical Psychiatric Hospital)
Рис. 1. Структура процесса 5.7. «Обеспечение лекарственными препаратами и медицинскими изделиями» в медицинской организации (на примере Свердловской областной клинической психиатрической больницы)
The authorized person in charge for drug supply quality performs the following activities: preparation of procurement documentation (clause 5.7.2, sub-clause 1.2), conclusion of contracts/agreements (clause 5.7.2, sub-clause 1.2), monitoring compliance with pharmaceutical regulations at the storage locations of drugs and medical devices (clause 5.7.7), pharmacovigilance of drugs and medical device safety (clause 5.7.8), and submission of planned/unplanned reports (clause 5.7.9).
In accordance with the accepted requirements, a comprehensive plan is developed for the MO, reflecting the main directions for improving work in drug and medical device supply units. In addition, quarterly reports are prepared and defended, highlighting the interim results of the annual plan. At the end of the year, the annual report on the outcomes of the drug supply processes is defended. All types of reports are submitted to the management of the MO (chief physician). If any scheduled activities are incomplete, they are rescheduled for the following year to achieve completion.
As shown in Fig. 1, the main task during the implementation of the 5.7 process is monitoring compliance with pharmaceutical regulations by the departments (units) and branches of the MO. Its implementation is entrusted to the authorized persons in charge of ensuring drug supply quality, emphasizing their key role in organizing and executing QMS and LPMS requirements related to drug supply. Thus, the responsibilities of such a person include the following:
1) organizing analytical and methodological support for conducting research in the area of professional activity;
2) conducting analytical and research work to gather, assess, and analyze information, as well as developing practical recommendations;
3) monitoring and using publications from Russian and international mass media to improve QMS and LPMS;
4) preparing documents reporting the results of pharmaceutical order inspections; and
5) developing corrective and preventive action plans to increase the effectiveness of the MO’s drug supply activities.
Inspections, gap analysis, and pharmaceutical counseling are significant activities of the MO. To ensure compliance with pharmaceutical regulations, specialists at the SRCPH have developed and proposed a checklist, approved by the chief physician’s order No. 01-03/82 On Approval of Checklists for checking the pharmaceutical order of SRCPH subdivisions and branches, dated March 21, 2024.
The QMS regulations require a pharmacist with advanced pharmaceutical education, who is one of the most experienced employees of the MO’s pharmacy, to collaborate with the authorized person in charge of drug supply quality; following an approved schedule and using a developed checklist, they conduct quarterly checks on compliance with pharmaceutical procedures in the MO’s departments and branches. The authorized person in charge of the drug supply quality informs the auditees via an internal corporate email (intra-organizational electronic document flow) 2 business days before inspection. The inspection concludes in a report where the authorized person in charge of drug supply quality evaluates compliance with pharmaceutical regulations and offers suggestions for improvement.
According to the checklist, the pharmaceutical order is inspected in several stages, with the main ones being the inspection of the temporary storage rooms of the departments (stage 1), the nurse’s station (stage 2), and the treatment room (stage 3).
At stage 1, the senior nurse (or any other designated official) of the department or subdivision, or the senior nurse of the branch, together with the authorized person in charge of the drug supply quality and the pharmacist appointed via an order by the Ministry of Health, inspects the premises for temporary storage of drugs and medical devices. They are guided by the provisions of legislative and regulatory acts, as well as the regulatory acts framed by federal authorities (e.g., federal laws of the Russian Federation No. 61-FZ On Circulation of Medicines, dated April 12, 2010 and No. 323-FZ On the Fundamentals of Health Protection of Citizens in the Russian Federation, dated November 21, 2011; Resolution of the Government of the Russian Federation No. 809 On Storage of Narcotic Drugs, Psychotropic Substances and their Precursors, dated April 30, 2022; Order of the Ministry of Health and Social Development of the Russian Federation No. 706n On Approval of the Rules for Storage of Medicines, dated August 23, 2010; etc.). Cabinets, pallets, shelving, and safes used for storing drugs and medical devices are inspected. Compliance with the rules of drug storage is assessed, taking into account their composition, pharmacological group, routes of administration, and instructions for use. The availability of a 10-day drug supply is ensured. The constant monitoring of air temperature and humidity in drug storage areas, daily entry of air parameters in the documentation, and the use of calibrated hygrometers and thermometers (psychrometers) are evaluated. The temperature and humidity conditions of the premises are recorded at the time of inspection and checked against the documentation data. Simultaneously, the completeness of data in the registers and their maintenance are assessed, in particular, in the registers for drugs with a limited expiration date and those for operations related to the circulation of drugs for medical use. The head of the unit’s records are checked to ensure that the actual and documented medicine balances match, and the balance tally is randomly checked. In the case of thermolabile drugs, assessment of compliance with storage rules at different temperature regimes (2–8 ℃ and 8–15 ℃), inspection of refrigerators, and verification of the accuracy of the relevant temperature recording documentation are performed.
Stage 2 involves inspecting the nurse’s station, including the cabinets and safes used to store drugs and medical devices; assessing compliance with storage rules; and accounting for the daily stocks. The temperature and humidity of the room at the time of the inspection are recorded and cross-checked with those available in the documentation. Compliance with the procedure for maintaining and storing records of operations related to the circulation of drugs for medical use is checked. In the case of thermolabile drugs, refrigerators are inspected, and temperature records are checked.
At stage 3, compliance with storage rules for drugs, the stocks that do not exceed daily requirements, and the sanitary regime of the treatment room are assessed. The records of operations related to the circulation of drugs for medical use are checked. If thermolabile drugs are present, refrigerators are inspected, and temperature records are checked. The temperature and humidity of the room at the time of the inspection are also recorded, and the data are cross-checked with the available records. In addition, it is obligatory to check the availability of drugs and medical devices, as well as their expiration dates, and the completeness of antishock and “Anti-AIDS” kits.
Based on the results at each stage of inspection, the comments and recommendations of the authorized person in charge of drug supply quality and the pharmaceutical worker are recorded in the column “Recommendations” (in the case of no comments and recommendations, the column is marked with a dash). All registers and temperature records must be signed and sealed by the head of the department (unit). The registers should be numbered and bound.
After the checklist is completed, it is sealed with the signatures of the inspectors and auditees. If necessary, a photocopy is made. The completed checklists are stored by the pharmacy (or other pharmaceutical unit) of the MO for 3 years, after which they are archived. An analysis of inspection results helps identify the systemic causes of pharmaceutical order violations and outlines ways to eliminate them. Next, a corrective action plan is formulated, which defines the timing of the corrective actions, those responsible for implementation, and the resources required.
Actions conducted according to the presented algorithm allow the tracking of the dynamics of the pharmaceutical order’s state and determining measures to improve it.
The basic principles of lean manufacturing are implemented at each stage of the internal quality control of drug supply in the MO, which allows a discussion about the integration of QMS and LPMS. Thus, the “Elimination of losses” principle applies to optimizing drug supply processes and reducing material, time, and labor resource losses in the MO. The “Reduction of variability” principle applies to standardizing processes and reducing the number of errors while organizing drug supply. The “Increase of flexibility” principle applies to reducing response time to changes in the external and internal environments. The “Increase of efficiency” principle applies to optimizing processes and reducing costs [5, 8, 9].
Conclusion
The integration of QMS and LPMS enables the MO to not only optimize the processes directly impacting the organization and implementation of drug supply but also achieve a synergistic effect. It eliminates duplication of processes, documentation, and related functions, thereby reducing the costs of operating these systems. As a result, MOs have the opportunity to increase their efficiency and, most importantly, the quality of medical care and patient treatment without increasing resource consumption.
Additional information
Authors’ contribution. Thereby, all authors made a substantial contribution to the conception of the study, acquisition, analysis, interpretation of data for the work, drafting and revising the article, final approval of the version to be published and agree to be accountable for all aspects of the study.
The contribution of each author. Yu.V. Miroshnichenko, development of a general concept, literature review, data analysis, writing an article; A.M. Kadnikova, literature review, data analysis, writing an article; M.P. Shcherba, research design, collection and analysis of literary sources, writing an article; M.S. Okolelova, literature review, analysis of literary sources, writing an article; I.N. Airo, research design, data analysis, writing an article; A.Yu. Petrov, general concept development, literature review, data analysis, writing an article; I.A. Samkova, literature review, data analysis, writing an article.
Competing interests. The authors declare that they have no competing interests.
Funding source. This study was not supported by any external sources of funding.
Дополнительная информация
Вклад авторов. Все авторы внесли существенный вклад в разработку концепции, проведение исследования и подготовку статьи, прочли и одобрили финальную версию перед публикацией.
Вклад каждого автора. Ю.В. Мирошниченко — разработка общей концепции, обзор литературы, анализ данных, написание статьи; А.М. Кадникова — обзор литературы, анализ данных, написание статьи; М.П. Щерба — дизайн исследования, сбор и анализ литературных источников, написание статьи; М.С. Околелова — обзор литературы, анализ литературных источников, написание статьи; И.Н. Айро — дизайн исследования, анализ данных, написание статьи; А.Ю. Петров — разработка общей концепции, обзор литературы, анализ данных, написание статьи; И.А. Самкова — обзор литературы, анализ данных, написание статьи.
Конфликт интересов. Авторы декларируют отсутствие явных и потенциальных конфликтов интересов, связанных с публикацией настоящей статьи.
Источник финансирования. Авторы заявляют об отсутствии внешнего финансирования при проведении исследования.
1 GOST R 57522–2017. Lean manufacturing. A guide to integrated system of quality management and lean manufacturing. Moscow: Standartinform, 2017. 21.
2 Order of the Ministry of Health of the Russian Federation No. 785n On Approval of Requirements for Organizing and Conducting Internal Control of Quality and Safety of Medical Activities, dated July 31, 2020. Available at: publication.pravo.gov.ru/Document/View/0001202010020017 Date of reference: February 24, 2025.
3 Resolution of the Government of the Russian Federation No. 681 On Approval of the List of Narcotic Drugs, Psychotropic Substances and their Precursors Subject to Control in the Russian Federation, dated June 30, 1998. Available at: http://pravo.gov.ru/proxy/ips/?docbody=&nd=102053928 Date of reference: February 24, 2025.
4 GOST R ISO 9001-2015. Quality Management Systems. Requirements. Moscow: Standartinform, 2015. 32.
5 ICH Q10. Pharmaceutical Quality System. International conference on harmonisation of technical requirements for registration of pharmaceuticals for human use: ICH Harmonised Tripartite Guideline, 2008. 17.
About the authors
Yury V. Miroshnichenko
Saint Petersburg State Chemical-Pharmaceutical University
Email: vmeda-nio@mil.ru
ORCID iD: 0000-0002-1630-3992
SPIN-code: 9723-1148
Dr. Sci. (Pharmacy), Professor
Russian Federation, Saint PetersburgAnna M. Kadnikova
Sverdlovsk Regional Clinical Psychiatric Hospital
Email: vmeda-nio@mil.ru
ORCID iD: 0000-0003-2937-7621
SPIN-code: 6125-2925
postgraduate student
Russian Federation, EkaterinburgMaria P. Shcherba
Kirov Military Medical Academy
Author for correspondence.
Email: vmeda-nio@mil.ru
ORCID iD: 0009-0001-8904-774X
SPIN-code: 9840-4740
Cand. Sci. (Pharmacy), Associate Professor
Russian Federation, Saint PetersburgMarina S. Okolelova
Saint Petersburg State Chemical-Pharmaceutical University; Kirov Military Medical Academy
Email: vmeda-nio@mil.ru
ORCID iD: 0009-0001-4714-3434
SPIN-code: 4933-4507
Cand. Sci. (Pharmacy)
Russian Federation, Saint Petersburg; Saint PetersburgIrina N. Airo
Pyatigorsk Medical and Pharmaceutical Institute — branch of Volgograd State Medical University
Email: vmeda-nio@mil.ru
ORCID iD: 0000-0003-2650-9473
SPIN-code: 4076-6499
Dr. Sci. (Pharmacy), Professor
Russian Federation, PyatigorskAlexander Yu. Petrov
Ural State Medical University
Email: vmeda-nio@mil.ru
ORCID iD: 0000-0002-6199-9319
SPIN-code: 6297-2619
Dr. Sci. (Pharmacy), Professor
Russian Federation, EkaterinburgIrina A. Samkova
Sverdlovsk Regional Medical College
Email: vmeda-nio@mil.ru
ORCID iD: 0000-0002-5394-6882
SPIN-code: 9545-0984
Cand. Sci. (Pharmacy)
Russian Federation, EkaterinburgReferences
- Pyatigorskaya NV, Nikolenko NS, Beregovykh VV, et al. Development of a model for comprehensive audits of a pharmaceutical quality system. Moscow: Russian Academy of Sciences; 2020. 398 p. (In Russ.) EDN: BJIIHE
- Grashchenkova NV. The problem of interaction and integration of the quality management system and the lean production management system within the enterprise management system. Bulletin of Udmurt University. Series «Economics and Law». 2017;27(2):7–14. EDN: YLFTYB
- Vasilenok VL, Negreeva VV, Martynenko OV, et al. Implementation of a quality management system using lean technologies in a healthcare organization. Scientific journal of NIU ITMO. Series «Economics and Environmental Management». 2021;(4):92–103. EDN: UFCPMM doi: 10.17586/2310-1172-2021-14-4-92-103
- Shcherba MP, Miroshnichenko YuV. Possible directions of implementation of the lean manufacturing concept while optimizing the processes of medical property resource management at the level of a military medical organization. Modern Organization of Drug Supply. 2021;8(1):119–121. doi: 10.30809/solo.1.2021.41 EDN: UFCPMM
- Knyazyuk NF. Internal audit as an essential element of assessment of an integrated system of quality management of medical organization. Baikal Medical Journal. 2011;106(7):93–96. EDN: OOVEVF
- Goncharova YuM. Implementing lean principles to health and pharmaceuticals. Bulletin of Science and Practice. 2022;8(2):167–175. EDN: LYVBUW doi: 10.33619/2414-2948/75/23
- Karakozova VV, Knysh OI. About the quality management system for drug provision of the medical organization. Modern problems of health care and medical statistics. 2023;(2):24–38. EDN: DKPEJP doi: 10.24412/2312-2935-2023-2-24-38
- Emanuel AV, Ivanov GA, Taut DF, et al. Quality management systems in health care: myths and reality. Bulletin of Roszdravnadzor. 2017;(1):61–65. EDN: YORJKF
- Panwar A, Nepal BP, Jain R, et al. On the adoption of lean manufacturing principles in process industries. Production Planning & Control. 2015;26(7):564–587. doi: 10.1080/09537287.2014.936532
Supplementary files





