Вакуум-ассистированная лапаротомия у пациентов с огнестрельными проникающими ранениями живота
- Авторы: Пичугин А.А.1, Исаев Т.А.2, Маркевич В.Ю.1, Суворов В.В.1, Бадалов В.И.1, Гончаров А.В.1,3, Самохвалов И.М.1,4
-
Учреждения:
- Военно-медицинская академия им. С.М. Кирова
- 321-й военный клинический госпиталь
- Российский биотехнологический университет
- Научно-исследовательский институт скорой помощи им. И.И. Джанелидзе
- Выпуск: Том 27, № 3 (2025)
- Страницы: 341-352
- Раздел: Оригинальное исследование
- Статья получена: 03.04.2025
- Статья одобрена: 02.06.2025
- Статья опубликована: 15.09.2025
- URL: https://journals.eco-vector.com/1682-7392/article/view/677826
- DOI: https://doi.org/10.17816/brmma677826
- EDN: https://elibrary.ru/KACVZF
- ID: 677826
Цитировать
Аннотация
Обоснование. В современных вооруженных конфликтах частота развития перитонита при проникающих ранениях живота, сопровождающихся повреждением полых органов, достигает 31%.
Цель — оценить эффективность вакуум-ассистированной лапаротомии как методики временного закрытия брюшной полости в ходе тактики «открытый живот» у пациентов с огнестрельными проникающими ранениями живота, осложненными развитием перитонита.
Методы. Проанализированы результаты применения вакуум-ассистированной лапаростомии для лечения 100 пациентов с огнестрельными проникающими ранениями живота, осложненными развитием перитонита с 01.03.2022 по 01.03.2024. В зависимости от отделения пребывания и клинического исхода все пациенты были разделены на 3 группы: 1-ю группу составили 9 пациентов хирургического отделения; во 2-ю группу включены 59 раненых отделения анестезиологии и реанимации, у которых выполнено «окончательное закрытие брюшной полости»; 32 пациента с зафиксированным внутрибольничным летальным исходом составили 3-ю группу. Кроме того, в 1-й и 2-й группах было предусмотрено разделение пациентов на подгруппы в зависимости от методики «окончательного закрытия брюшной полости»: послойное ушивание брюшной полости (первичное фасциальное закрытие) или ушивание только кожи лапаротомной раны (запрограммированная вентральная грыжа), реализованной в ходе заключительной релапаротомии. Каждую релапаротомию завершали вакуум-ассистированной лапаротомией по единому протоколу. Произведено построение прогностических моделей выполнения первичного фасциального закрытия и развития внутрибольничного летального исхода.
Результаты. В 1-й группе первичное фасциальное закрытие достигнуто в 78% случаев, во 2-й группе — в 29% случаев (p <0,007). Во 2-й группе в подгруппе запрограммированной вентральной грыжи большее, чем в подгруппе первичного фасциального закрытия, количество релапаротомий (p <0,001), длительность ведения открытого живота (p <0,001), длительность нахождения в отделении (p=0,008). Увеличение длительности открытого живота (2-я группа) на 1 сутки уменьшает вероятность первичного фасциального закрытия на 18% (отношение шансов равно 0,817; 95% доверительный интервал: 0,706–0,945; p=0,007). Уменьшение временного интервала между оперативными вмешательствами для пациентов 2-й группы — предиктор развития летального исхода (отношение шансов равно 0,934; 95% доверительный интервал: 0,876–0,997; p=0,040). Увеличение возраста пациента на один год увеличивает вероятность летальных исходов на 15% (отношение шансов равно 1,153; 95% доверительный интервал: 1,035–1,284; p=0,010); повышение суммы баллов по шкале оценки тяжести органной недостаточности, при инициации тактики открытого живота, на 1 балл — на 82% (отношение шансов равно 1,817; 95% доверительный интервал: 1,255–2,632; p=0,002).
Заключение. Достижение первичного фасциального закрытия сопряжено с уменьшением количества предшествующих оперативных вмешательств, длительностью лечения пациентов в отделении анестезиологии и реанимации. Чем меньше длительность ведения открытого живота, тем выше вероятность первичного фасциального закрытия. Возраст пациента и сумма баллов по шкале оценки тяжести органной недостаточности можно рассматривать в качестве предикторов внутрибольничного летального исхода у раненных с огнестрельными проникающими ранениями живота, осложненными развитием перитонита.
Полный текст
ОБОСНОВАНИЕ
В локальных вооруженных конфликтах частота развития перитонита при проникающих ранениях живота, сопровождающихся повреждением полых органов, достигает 31% [1]. На сегодняшний день как для лечения перитонита, так и при реализации первого этапа стратегии «контроль повреждений», с учетом необходимости профилактики развития абдоминального компартмент-синдрома, широко применяют хирургическую тактику «открытый живот» (ОЖ). Реализация данной тактики подразумевает выполнение этапных релапаротомий, в ходе которых брюшную полость не ушивают послойно, а применяют различные методики ее временного закрытия (ВЗБ): мешок Боготы, застежка-молния, сетчатые импланты, Wittmann Patch, сближающие (динамические) швы, Barker's Vacuum Pack Technique, вакуум-ассистированная лапаростомия (ВАЛС) [2–4].
ВАЛС — одна из наиболее распространенных и эффективных методик ВЗБ при реализации тактики ОЖ [2, 3]. Данная методика основана на принципе «терапия отрицательным давлением» [4, 5]. Следует отметить, что в ходе применения тактики ОЖ неизбежно происходит латерализация фасциальных краев неушитой лапаротомной раны [6, 7]. Данный процесс приводит к определенным трудностям в ходе выполнения первичного фасциального закрытия (ПФЗ) — послойного ушивания лапаротомной раны при окончании реализации тактики ОЖ [8]. При невозможности выполнения ПФЗ, когда показания к дальнейшему продолжению тактики ОЖ отсутствуют, вынужденно выполняют ушивание только кожи лапаротомной раны, что неизбежно приводит к формированию запрограммированной послеоперационной вентральной грыжи (ЗВГ), которую необходимо устранять в плановом порядке [2, 9].
Таким образом, ПФЗ и ЗВГ — варианты окончательного закрытия брюшной полости (ОЗБ), когда нет необходимости продолжать реализацию тактики ОЖ. Раннее достижение ПФЗ — одна из целей тактики ОЖ, а частота выполнения ПФЗ, в свою очередь, отражает эффективность конкретной методики ВЗБ [2, 10]. ВАЛС, как методика ВЗБ, с одной стороны, позволяет достичь высокой частоты выполнения ПФЗ, с другой стороны, обладает низким риском развития осложнений и показателем внутрибольничного летального исхода (ЛИ) [11, 12].
Цель исследования — оценить эффективность применения ВАЛС как методики ВЗБ при реализации хирургической тактики ОЖ у пациентов с огнестрельными проникающими ранениями живота, осложненными развитием перитонита.
МЕТОДЫ
В одноцентровое неконтролируемое неослепленное исследование были включены 102 пациента с огнестрельными проникающими ранениями живота, осложненными развитием перитонита, которым в ходе реализации тактики ОЖ в качестве метода ВЗБ применяли ВАЛС. Информация о хирургическом анамнезе была получена ретроспективно из историй болезни. Стоит отметить, что в 98% случаев у анализируемых пациентов был сочетанный и множественный характер ранений. На предыдущих этапах лечения им выполняли не только лапаротомии, но и другие оперативные вмешательства в различных анатомических областях. Два пациента были исключены из исследования ввиду перевода в другие лечебные учреждения до момента ОЗБ. ВАЛС в ходе применения тактики ОЖ реализовывали разными хирургическими бригадами, по стандартной методике.
Пациенты исходной выборки были разделены на группы в зависимости от отделения пребывания и клинического исхода: в 1-ю группу были отнесены 9 (9%) пациентов, находившиеся на лечении в хирургическом отделении (ХО), во 2-ю группу — 59 (65%) пациентов отделения анестезиологии и реанимации (ОАР), которым удалось достичь ОЗБ, в 3-ю группу — 32 (35%) пациента, находившиеся на лечении в ОАР, у которых произошел внутрибольничный ЛИ. В 1-й и 2-й группах было предусмотрено разделение пациентов на подгруппы в зависимости от методики ОЗБ, реализованной в ходе текущей госпитализации (ПФЗ или ЗВГ). Был также проведен анализ внутри 1-й и 2-й групп (между подгруппами). Возрастные и отдельные клинические показатели пациентов всех групп приведены в табл. 1.
Таблица 1. Возрастные и клинические показатели пациентов всех групп, Me [Q1; Q3]
Показатель | Группа | p, 1 vs 2 | p, 2 vs 3 | ||
1 | 2 | 3 | |||
Возраст, лет | 32 [26; 36] | =0,605 | =0,026 | ||
Длительность нахождения в отделении, койко-день | 30 [19; 57] | 11 [7; 21] | =0,019 | =0,247 | |
Срок от даты получения ранения до даты первой релапаротомии с ВАЛС, сут | 5 [4; 9] | =0,312 | =0,220 | ||
Сумма баллов по шкале SOFA при первой релапаротомии с ВАЛС | – | 2 [1; 4] | – | <0,001 | |
Примечание (и далее в таблице). ВАЛС — вакуум-ассистированная лапаростомия; SOFA (sequential organ failure assessment) — шкала оценки тяжести органной недостаточности; vs — против.
Исследование проводили в несколько этапов: 1) отбор и формирование базы данных; 2) статистический анализ различий показателей между группами и подгруппами; 3) построение прогностических моделей для групп пациентов с целью выявления предикторов выполнения ПФЗ и развития внутрибольничного ЛИ. Дизайн исследования представлен на рис. 1.
Рис. 1. Дизайн исследования: ПОН — полиорганная недостаточность; ОЖ — «открытый живот»; ОЗБ — окончательное закрытие брюшной полости .
Критерии включения в исследование: возраст пациентов старше 18 лет; мужской пол; наличие огнестрельного проникающего ранения живота, осложненного развитием перитонита; реализация тактики ОЖ с применением ВАЛС. Критерии исключения из исследования: перевод в другие лечебные учреждения до ОЗБ (невозможность отследить методику последующей реализации тактики ОЖ).
В ходе исследования анализировали результаты лечения пациентов, госпитализированных в отделение анестезиологии и реанимации (ОАР) и хирургическое отделение (ХО) лечебно-диагностического центра (клинического, многопрофильного, высоких технологий) Военно-медицинской академии им. С.М. Кирова с 01.03.2022 по 01.03.2024.
На заключительном этапе оперативного вмешательства (рис. 2, а) (лапаротомии/релапаротомии) в брюшную полость помещали перфорированную двухслойную дренажную пленку Suprasorb CNP Drainage Film, равномерно распределяя ее поверх большого сальника, петель кишечника и укладывая ее края в боковые каналы и полость малого таза. Она выполняла роль защитного висцерального слоя между органами брюшной полости и аспирирующим слоем (полиуретановой пеной/губкой), обеспечивая эффективный отток патологического содержимого брюшной полости из отлогих мест (рис. 2, b). Пленку моделировали под необходимые размеры без потери ее качественных свойств.
Рис. 2. Вакуум-ассистированная лапаростомия с помощью системы самостоятельной сборки (пояснения в тексте).
На защитный висцеральный слой между краями лапаротомной раны укладывали смоделированную по размеру живота полиуретановую пену Suprasorb CNP Wound Foam (рис. 2, c). При необходимости «направленного» дренирования флегмон, гнойных затеков, абсцессов брюшной полости в данные области устанавливали отдельные дополнительные участки полиуретановой пены. Апоневроз не ушивали, на кожные края лапаротомной раны накладывали отдельные внутрикожные узловые швы, обеспечивающие сведение краев лапаротомной раны с оставлением промежутка в 7–12 см. В качестве альтернативы наложению швов, для уменьшения длительности оперативного вмешательства, полиуретановую пену фиксировали к кожным краям лапаротомной раны хирургическим степлером (рис. 2, c). На кожу передней брюшной стенки наклеивали герметизирующую пленку Suprasorb F. Дренажный порт фиксировали поверх отверстия, сформированного в «герметизирующем слое» (рис. 2, d).
Отрицательного давления достигали применением стационарных источников, установленных в панелях палат ОАР и ХО. Дренажи через системы трубчатых переходников подключали к источнику постоянного отрицательного давления, величина которого составляла 80–120 мм рт. ст., в зависимости от состояния брюшной полости, оцениваемого интраоперационно, и предпочтений оперирующего хирурга.
Запланированные релапаротомии выполняли со сменой системы для налаживания отрицательного давления, каждые 24–72 ч, в зависимости от показателей объективной оценки тяжести состояния пациента, распространенности перитонита и медико-тактической обстановки. В ходе этапной релапаротомии, когда продолжение реализации тактики ОЖ не требовалось, а края апоневроза сопоставляли без избыточного натяжения, выполняли послойное ушивание лапаротомной раны (ПФЗ) — при этом и апоневроз, и кожу ушивали отдельными узловыми швами. При невозможности сопоставления краев мышечно-апоневротического слоя ушивали только кожу лапаротомной раны. Все этапные релапаротомии выполняли исключительно под общей анестезией с эндотрахеальным наркозом.
Конечной точкой исследования был исход лечения пациента во время тактики ОЖ: окончательное закрытие брюшной полости (ПФЗ или ЗВГ) или развитие внутрибольничного ЛИ. Также в ходе исследования анализировали длительность нахождения в отделении, срок от даты получения ранения до даты первой релапаротомии с ВАЛС, интервал между релапаротомиями с ВАЛС, длительность ведения ОЖ, количество релапаротомий с ВАЛС, балльная оценка по шкале оценки тяжести органной недостаточности (sequential organ failure assessment — SOFA) при первой релапаротомии с ВАЛС и эффективность данных показателей как предикторов выполнения ПФЗ, развития ЛИ.
В качестве дополнительных исходов исследовали частоту развития осложнений (развитие свищей полых органов, внутрибрюшных абсцессов).
Пациенты исходной выборки были разделены на группы в зависимости от отделения пребывания и клинического исхода: в 1-ю группу были отнесены пациенты, находившиеся на лечении в ХО, во 2-ю группу — пациенты ОАР, которым удалось достичь ОЗБ, в 3-ю группу — пациенты, находившиеся на лечении в ОАР, у которых развился внутрибольничный ЛИ. В 1-й и 2-й группах было предусмотрено разделение пациентов на подгруппы в зависимости от методики ОЗБ, реализованной в ходе текущей госпитализации (ПФЗ или ЗВГ). Был также произведен анализ внутри 1-й и 2-й групп (между подгруппами).
Регистрацию исходов исследования проводили на основе клинического наблюдения, отраженного в историях болезни, со дня выполнения первой релапаротомии с ВАЛС до перевода в другое отделение, выписки из стационара или внутрибольничного ЛИ. Пациентам, находившимся на лечении в ОАР, при инициации тактики ОЖ была произведена объективная балльная оценка органной дисфункции и риска развития сепсиса по шкале SOFA.
Проведение исследования одобрено локальным этическим комитетом Военно-медицинской академии им. С.М. Кирова (протокол № 296 от 19.11.2024).
Статистический анализ данных проводили в программе IBM SPSS Statistics v.27 (Соединенные Штаты Америки). При анализе количественных переменных с помощью критериев Колмогорова–Смирнова и Шапиро–Уилка определяли соответствие распределения данных в выборке закону нормального распределения. Распределение количественных переменных не соответствовало нормальному закону, в связи с чем для их описания использовали медиану, верхний и нижний квартили (Me [Q1; Q3]), среднее арифметическое, минимальное и максимальное (min (x−), max (x−)) значения. Анализ биноминальных переменных выполняли с использованием таблиц сопряженности. Для их сравнения применяли точный критерий Фишера, а также рассчитывали отношение шансов (ОШ) с 95% доверительным интервалом (95% ДИ). В ходе сравнительного анализа результатов, при распределении, отличном от нормального хотя бы одной из сравниваемых совокупностей, применялся непараметрический U-критерий Манна–Уитни для независимых выборок. Уровень значимости для исследования был выбран α=0,05. Для построения прогностической модели исходов (выполнение ПФЗ, вероятность развития внутрибольничного ЛИ) использовали метод логистической регрессии. Предварительно была проведена оценка переменных-предикторов на наличие мультиколлинеарности путем построения корреляционной матрицы и определения фактора инфляции дисперсии. Для повышения стабильности модели, предикторы, обладающие высокой мультиколлинеарностью, были исключены. Кроме того, критерием исключения предикторов из модели было значение p >0,1. С целью оценки прогностической способности модели использовали критерий согласия Хосмера–Лемешоу. Доля вариации зависимой переменной, объясняемой моделью с предикторами, была измерена с помощью коэффициента детерминации Найджелкерка. При описании полученной прогностической модели, для предикторов, указывали коэффициенты регрессии, значения p, значения ОШ, а также 95% ДИ для ОШ. Относительные величины представлены в процентах.
РЕЗУЛЬТАТЫ И ОБСУЖДЕНИЕ
Выявлены различия между группами пациентов по частоте выполнения ПФЗ и интервалу между релапаротомиями с ВАЛС. Установлено, что вероятность выполнения ПФЗ в 1-й группе в 8,2 раза выше, чем во 2-й группе, а в 3-й группе короче интервал между релапаротомиями (табл. 2).
Таблица 2. Клинические показатели, оцениваемые во время лечения, Me [Q1; Q3]
Показатель | Группа | p, 1 vs 2 | p, 2 vs 3 | ||
1 | 2 | 3 | |||
Количество релапаротомий с ВАЛС | 2 [2; 6] | 4 [3; 9] | =0,095 | =0,125 | |
Интервал времени между релапаротомиями с ВАЛС, ч | 48 [36; 54] | =0,436 | <0,001 | ||
Первичное фасциальное закрытие, n (%) | 7 (78) | 17 (29) | – | =0,007* | – |
Длительность ведения «открытого живота», сут | 12 [7; 25] | =0,195 | – | ||
Примечание. ОШ=8,198 (95% ДИ: 1,629–45,908).
Статистически значимых различий между подгруппами в 1-й группе не выявлено, вероятно, ввиду малого количества наблюдений в анализируемой выборке, что ограничивает применение логистической регрессии при построении прогностической модели для данной группы пациентов (табл. 3).
Таблица 3. Возрастные и клинические показатели пациентов 1-й группы, разделенных по подгруппам, в зависимости от исхода, Me [Q1; Q3], min (x−), max (x−)
Показатель | Подгруппа | p=, ЗВГ vs ПФЗ | |
ЗВГ*, n=2 (22%) | ПФЗ, n=7 (78%) | ||
Возраст, лет | 37,5; 35, 40 | 25 [23; 38]; 22, 39 | 0,222 |
Длительность нахождения в отделении, койко-день | 64,5; 56, 73 | 25 [14; 34]; 6, 58 | 0,111 |
Срок от даты получения ранения до даты первой релапаротомии с ВАЛС, сут | 10; 5, 15 | 9 [3; 9]; 3, 10 | 0,667 |
Количество релапаротомий с ВАЛС | 7; 3, 11 | 2 [2; 3]; 1, 9 | 0,111 |
Интервал времени между релапаротомиями с ВАЛС, ч | 85; 74, 96 | 52,5 [48; 78]; 48, 96 | 0,143 |
Длительность ведения «открытого живота», сут | 29; 13, 45 | 7 [4; 7]; 3, 22 | 0,111 |
Примечание (и далее в таблице). ПФЗ — первичное фасциальное закрытие; ЗВГ — запрограммированная послеоперационная вентральная грыжа. * Для подгруппы ЗВГ, кроме Me [Q1; Q3], приведены среднее арифметическое, минимальное и максимальное значение переменной в связи с малой численностью наблюдений.
Во 2-й группе взаимосвязанные показатели «Длительность нахождения в отделении», «Количество релапаротомий с ВАЛС» и «Длительность ведения ОЖ» в подгруппе ЗВГ выше, чем в подгруппе ПФЗ (табл. 4).
Таблица 4. Возрастные и клинические показатели пациентов 2-й группы, разделенных по подгруппам, в зависимости от исхода, Me [Q1; Q3]
Показатель | Подгруппа | p, ЗВГ vs ПФЗ | |
ЗВГ*, n=42 (71%) | ПФЗ, n=17 (29%) | ||
Возраст, лет | =0,801 | ||
Длительность нахождения в отделении, койко-день | =0,008 | ||
Срок от даты получения ранения до даты первой релапаротомии с ВАЛС, сут | =0,200 | ||
Сумма баллов по шкале SOFA при первой релапаротомии с ВАЛС | =0,696 | ||
Количество релапаротомий с ВАЛС | <0,001 | ||
Интервал времени между релапаротомиями с ВАЛС, ч | 60 [48; 66]; 43,2, 96 | =0,826 | |
Длительность ведения «открытого живота», сут | <0,001 | ||
* Для подгруппы ЗВГ, кроме Me [Q1; Q3], приведены среднее арифметическое, минимальное и максимальное значение переменной в связи с малой численностью наблюдений.
При построении прогностической модели исхода ПФЗ для пациентов 2-й группы предиктор «Количество ВАЛС» был исключен в связи с высокой коллинеарностью с предиктором «Длительность ведения ОЖ» (коэффициент корреляции (r=0,913; p <0,001). Предикторы «Возраст пациента» (p=0,577), «Длительность нахождения в отделении» (p=0,232), «Срок от даты получения ранения до даты первой релапаротомии с ВАЛС» (p=0,924), «Интервал между релапаротомиями с ВАЛС» (p=0,145) были исключены из модели в связи с отсутствием статистической значимости (табл. 5).
Таблица 5. Прогностическая модель предсказания первичного фасциального закрытия для пациентов 2-й группы
Предиктор | Коэффициент регрессии | p= | ОШ | 95% ДИ для ОШ |
Сумма баллов по шкале SOFA при первой релапаротомии с ВАЛС | 0,310 | 0,042 | 1,364 | 1,011–1,841 |
Длительность ведения «открытого живота» | –0,202 | 0,007 | 0,817 | 0,706–0,945 |
Константа | 0,662 | 0,305 | 1,939 | – |
Примечание (и далее в таблице). ОШ — отношение шансов; ДИ — доверительный интервал.
Согласно полученной прогностической модели, предиктор «Сумма баллов по шкале SOFA при первой релапаротомии с ВАЛС» был статистически значимо связан с повышением вероятности выполнения ПФЗ (ОШ=1,364; 95% ДИ: 1,011–1,841; p=0,042). При этом повышение значения данного предиктора увеличивало вероятность выполнения ПФЗ. Предиктор «Длительность ведения ОЖ» был статистически значимо связан со снижением вероятности выполнения ПФЗ (ОШ=0,817; 95% ДИ: 0,706–0,945; p=0,007). Повышение значения данного предиктора уменьшало вероятность выполнения ПФЗ. При выполнении ROC-анализа значение площади под кривой (area under curve — AUC) составило 0,849 усл. ед. (95% ДИ: 0,748–0,951), что свидетельствует о хорошей прогностической способности модели. Тест Хосмера–Лемешоу показал, что модель хорошо согласуется с данными (χ2=7,545; p=0,479). Коэффициент детерминации R2 Найджелкерка свидетельствует о том, что модель описывает 42,3% вариации значений зависимой переменной (ПФЗ или ЗВГ).
При построении прогностической модели развития внутрибольничного ЛИ для пациентов 2-й группы предиктор «Количество ВАЛС» был исключен из модели в связи высокой коллинеарностью с предиктором «Срок от первой релапаротомии с ВАЛС до развития внутрибольничного ЛИ» (r=0,913; p <0,001). Предикторы «Срок от даты получения ранения до даты первой релапаротомии с ВАЛС» (p=0,165) и «Срок от первой релапаротомии с ВАЛС до развития внутрибольничного ЛИ» (p=0,917) были исключены из модели в связи отсутствием статистической значимости (табл. 6).
Таблица 6. Прогностическая модель развития ЛИ для пациентов 2-й группы
Предиктор | Коэффициент регрессии | p | ОШ | 95% ДИ для ОШ |
Возраст | 0,142 | 0,010 | 1,153 | 1,035–1,284 |
Длительность нахождения в отделении | –0,079 | 0,008 | 0,924 | 0,871–0,980 |
Сумма баллов по шкале SOFA при первой релапаротомии с ВАЛС | 0,597 | 0,002 | 1,817 | 1,255–2,632 |
Интервал времени между релапаротомиями с ВАЛС | –0,068 | 0,040 | 0,934 | 0,876–0,997 |
Константа | –3,429 | 0,182 | 0,032 | – |
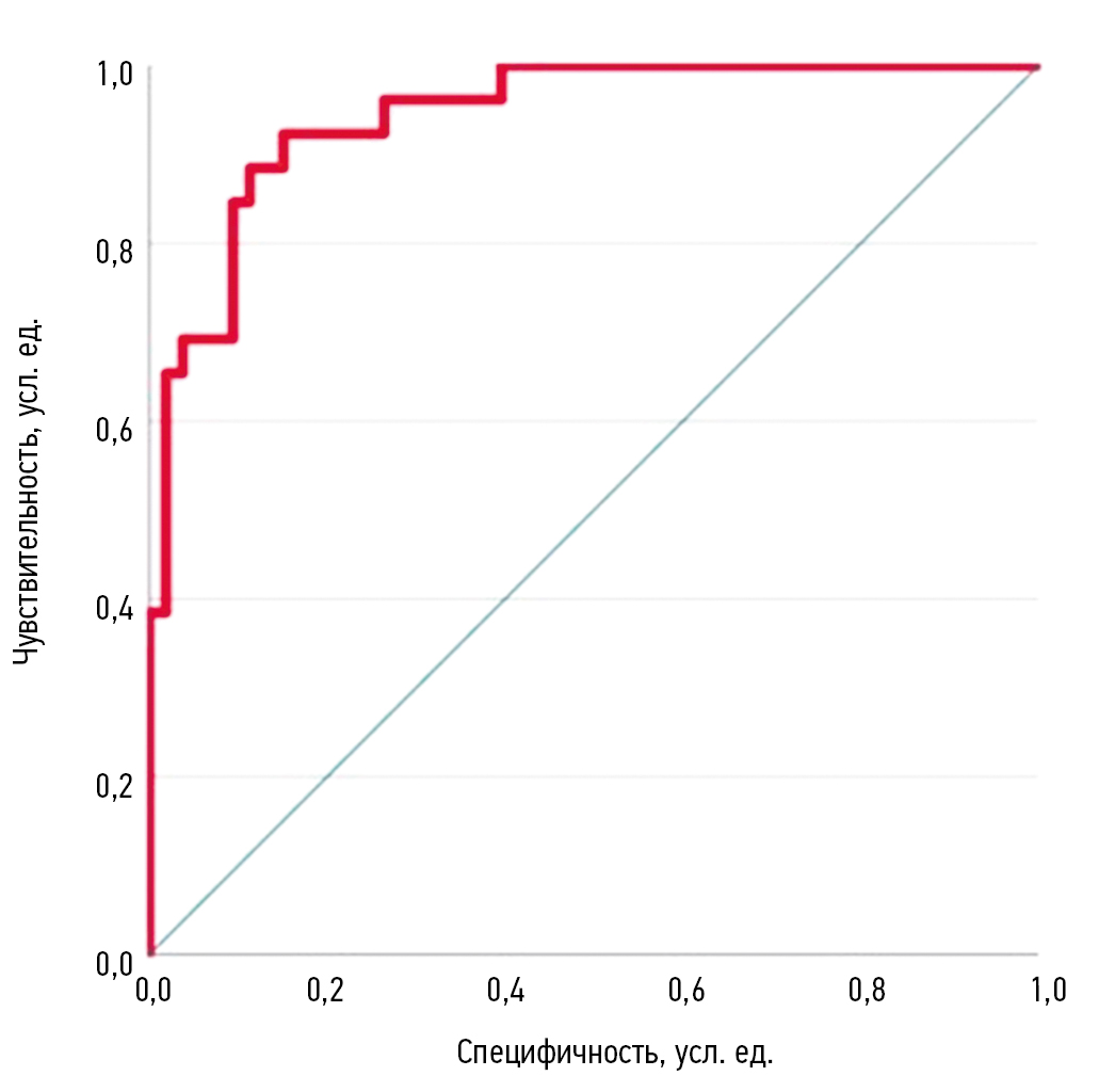
Согласно полученной прогностической модели, предиктор «Возраст пациента» был статистически значимо связан с повышением вероятности развития внутрибольничного ЛИ (ОШ=1,153; 95% ДИ: 1,035–1,284; p=0,010). Повышение значения данного предиктора увеличивало вероятность развития внутрибольничного ЛИ. Предиктор «Длительность нахождения в отделении» был статистически значимо связан со снижением вероятности развития внутрибольничного ЛИ (ОШ=0,924; 95% ДИ: 0,871–0,980; p=0,010). Повышение значения данного предиктора снижало вероятность развития внутрибольничного ЛИ. Предиктор «Сумма баллов по шкале SOFA при первой релапаротомии с ВАЛС» был статистически значимо связан с повышением вероятности развития внутрибольничного ЛИ (ОШ=1,817; 95% ДИ: 1,255-2,632; p=0,002). Повышение значения данного предиктора увеличивало вероятность развития внутрибольничного ЛИ. Предиктор «Интервал между релапаротомиями с ВАЛС» был статистически значимо связан со снижением вероятности развития внутрибольничного ЛИ (ОШ=0,934; 95% ДИ: 0,876–0,997; p=0,040). Повышение значения данного предиктора снижало вероятность развития внутрибольничного ЛИ. Значение AUC составило 0,943 усл. ед. (95% ДИ: 0,895–0,991), что свидетельствует о хорошей способности модели прогнозировать развитие ЛИ (рис. 3).
Рис. 3. ROC-кривая для прогностической модели развития внутрибольничного летального исхода у пациентов 2-й группы.
Тест Хосмера–Лемешоу показал, что модель хорошо согласуется с данными (χ2=3,937; p=0,863). Коэффициент детерминации R2 Найджелкерка свидетельствует о том, что модель описывает 70,4% вариации значений зависимой переменной (ЛИ).
В процессе лечения у двух больных был выявлен свищ тонкой кишки и у одного больного — абсцесс брюшной полости.
Установлено, что длительность нахождения пациентов 1-й группы в ХО была больше, чем во 2-й группе, так как пациентов из ОАР после стабилизации состояния переводили в другие отделения, в то время как раненым, находящимся на лечении в ХО, после ОЗБ, зачастую, необходимо было продолжить выполнение хирургических вмешательств в других анатомических областях. Более высокая частота выполнения ПФЗ в 1-й группе предсказуема, и ее можно объяснить более высокой тяжестью состояния пациентов, находившихся на лечении в ОАР.
Прогностическая модель для 2-й группы показала эффективность предиктора «Длительность ведения ОЖ» для определения исхода: чем дольше лапаротомная рана остается не ушитой, тем меньше вероятность выполнения ПФЗ. Так, увеличение длительности реализации тактики ОЖ в 1-е сутки уменьшает вероятность выполнения ПФЗ на 18%. Это можно объяснить постепенной латерализацией фасциальных структур не ушитой лапаротомной раны, происходящей с течением времени [6, 7]. Закономерна и разница таких взаимосвязанных показателей, как «Количество релапаротомий с ВАЛС», «Длительность ведения ОЖ» в подгруппах 2-й группы (см. табл. 4). Отдельно стоит отметить, что в подгруппе ПФЗ длительность нахождения пациентов в ОАР была статистически значимо меньше.
Заключение о том, что повышение предиктора «Сумма баллов по шкале SOFA при первой релапаротомии с ВАЛС» статистически значимо увеличивало вероятность выполнения ПФЗ, трудно интерпретировать. Возможно, данный результат связан с малой численностью выборки подгруппы ПФЗ во 2-й группе (n=17). Для опровержения или подтверждения данного заключения необходимо проведение дополнительного исследования. Неэффективность такого важного показателя, как «Интервал между релапаротомиями с ВАЛС», в качестве предиктора выполнения ПФЗ для 2-й группы обусловлена тем, что большинству пациентов этапные релапаротомии с ВАЛС выполняли с одинаковой частотой: межквартильные временные интервалы составляли [48; 66] ч (ПФЗ) и [48; 64, 5] ч (ЗВГ).
Показательны результаты по 3-й группе. Выявлено, что у данных пациентов временной интервал между оперативными вмешательствами был значимо короче. Снижение данного показателя — предиктор развития внутрибольничного ЛИ. По мнению авторов, пациентам 3-й группы было показано сокращение временного интервала между релапаротомиями для более тщательного контроля источника перитонита, санации патологического отделяемого из брюшной полости и уменьшения явлений абдоминального сепсиса. Тем не менее, выраженность явлений полиорганной недостаточности у пациентов данной группы (Ме суммы по шкале SOFA при инициации ОЖ была равна 7,5 балла), выступала определяющим фактором для высокого показателя внутрибольничной летальности (32%).
Показатель «Длительность нахождения в отделении», несмотря на его статистическую значимость, нецелесообразно рассматривать в качестве предиктора развития внутрибольничного ЛИ. Данный показатель скорее демонстрирует, что ЛИ наступал быстрее, чем медиана продолжительности лечения в ОАР. Эффективность таких показателей, как «Возраст пациента» и «Сумма баллов по шкале SOFA при первой релапаротомии с ВАЛС» также закономерна. Повышение возраста пациента на 1 год увеличивает вероятность развития внутрибольничного ЛИ на 15%, а повышение суммы баллов по шкале SOFA на 1 балл (при инициации ОЖ) — на 82%. Похожий результат был получен в исследовании A.T. Cristaudo и соавт. [13], в котором доказана эффективность показателей «Возраст пациента» и «Сумма баллов по шкале оценки физиологического состояния и здоровья пациентов, поступающих в отделение интенсивной терапии (acute physiology and chronic health evaluation — APACHE II)» в качестве предикторов развития внутрибольничного ЛИ.
Результаты данного исследования соответствуют зарубежным исследованиям по применению тактики ОЖ. Анализ литературы демонстрирует, что вероятность выполнения ПФЗ снижается вместе с увеличением длительности проведения тактики ОЖ и количеством выполненных релапаротомий [14–16]. Согласно результатам других исследований [17–19], частота осложнений (внутрибрюшные абсцессы, свищи полых органов) прямо пропорциональна длительности реализации тактики ОЖ. Не менее значим для достижения ПФЗ и вопрос оптимальной частоты выполнения этапных релапаротомий. В зарубежных исследованиях подчеркнута важность стандартизации подхода при применении тактики ОЖ с ВАЛС, а рекомендуемый временной интервал между релапаротомиями, составляет 24–72 ч [2, 20], что согласовано с полученными результатами в настоящем исследовании.
Ограничением исследования может быть его дизайн, так как исследование когортное и клиническое, из-за чего есть вероятность искажения результатов ввиду объективных или субъективных факторов. Необходимо отметить, что оперативные вмешательства выполняли разные хирургические бригады, что может обусловливать определенные отличия в технических аспектах наложения ВАЛС при реализации тактики ОЖ. Небольшой объем выборки для некоторых подгрупп повлиял на точность статистических методов исследования. Не стоит также забывать, что в исследовании проанализированы результаты лечения пациентов с перитонитом, причинами развития которого были огнестрельные ранения живота. Это не позволяет экстраполировать полученные авторами данные на результаты лечения пациентов с диагностированным перитонитом, обусловленным воспалительными заболеваниями органов брюшной полости.
ЗАКЛЮЧЕНИЕ
Послойное ушивание брюшной полости — заключительный этап эффективной реализации тактики ОЖ, достижение которого в том числе зависит от грамотного выбора методики ВЗБ. На взгляд авторов исследования, оптимальная методика ВЗБ — ВАЛС. Комплексный анализ показателей результатов применения ВАЛС у пациентов с огнестрельными проникающими ранениями живота, осложненными развитием перитонита, находившимися на лечении в ОАР, выявил, что возраст пациента и сумма баллов по шкале SOFA (при первой релапаротомии с ВАЛС) — предикторы развития внутрибольничного ЛИ.
Установлено, что уменьшение длительности реализации тактики ОЖ увеличивает вероятность выполнения ПФЗ, и это можно рассматривать в качестве предиктора достижения послойного ушивания брюшной полости. Немаловажен и тот факт, что у тех пациентов, кому удалось выполнить ПФЗ, длительность пребывания в ОАР, количество выполненных релапаротомий и, соответственно, длительность ведения ОЖ были существенно меньше, чем у тех пациентов, которым его выполнить не удалось.
ДОПОЛНИТЕЛЬНАЯ ИНФОРМАЦИЯ
Вклад авторов. А.А. Пичугин — разработка общей концепции, анализ данных, написание статьи; Т.А. Исаев — дизайн исследования, сбор материала, анализ и статистическая обработка данных, обзор литературы, написание статьи; В.Ю. Маркевич — разработка общей концепции, анализ данных; В.В. Суворов — обзор литературы, написание статьи; В.И. Бадалов — анализ данных; А.В. Гончаров — анализ данных, написание статьи; И.М. Самохвалов — дизайн исследования, обзор литературы, анализ данных. Авторы одобрили версию для публикации, а также согласились нести ответственность за все аспекты работы, гарантируя надлежащее рассмотрение и решение вопросов, связанных с точностью и добросовестностью любой ее части.
Этическая экспертиза. Проведение исследования одобрено локальным этическим комитетом Военно-медицинской академии им. С.М. Кирова (протокол № 296 от 19.11.2024).
Источник финансирования. Авторы заявляют об отсутствии внешнего финансирования при проведении исследования.
Раскрытие интересов. Авторы заявляют об отсутствии отношений, деятельности и интересов за последние три года, связанных с третьими лицами (коммерческими и некоммерческими), интересы которых могут быть затронуты содержанием статьи.
Оригинальность. При создании настоящей работы авторы не использовали ранее опубликованные сведения (текст, иллюстрации, данные).
Доступ к данным. Все данные, полученные в настоящем исследовании, доступны в статье.
Генеративный искусственный интеллект. При создании настоящей статьи технологии генеративного искусственного интеллекта не использовали.
Рассмотрение и рецензирование. Настоящая работа подана в журнал в инициативном порядке и рассмотрена по обычной процедуре. В рецензировании участвовали два рецензента: внутренний и внешний.
Об авторах
Артём Андреевич Пичугин
Военно-медицинская академия им. С.М. Кирова
Email: vmeda-nio@mil.ru
ORCID iD: 0000-0002-2007-9161
SPIN-код: 9813-9694
канд. мед. наук
Россия, Санкт-ПетербургТилек Асылбекович Исаев
321-й военный клинический госпиталь
Email: vmeda-nio@mil.ru
ORCID iD: 0009-0009-4496-8914
SPIN-код: 8629-5217
Россия, 672027, Чита, ул. Горького д. 36
Виталий Юрьевич Маркевич
Военно-медицинская академия им. С.М. Кирова
Email: vmeda-nio@mil.ru
ORCID iD: 0000-0002-3792-1466
SPIN-код: 5652-4935
д-р мед. наук, доцент
Россия, Санкт-ПетербургВасилий Вячеславович Суворов
Военно-медицинская академия им. С.М. Кирова
Автор, ответственный за переписку.
Email: vmeda-nio@mil.ru
ORCID iD: 0000-0003-3381-5233
SPIN-код: 7445-0491
канд. мед. наук, доцент
Россия, Санкт-ПетербургВадим Измайлович Бадалов
Военно-медицинская академия им. С.М. Кирова
Email: vmeda-nio@mil.ru
ORCID iD: 0000-0002-8461-2252
SPIN-код: 9314-5608
доктор мед. наук, профессор
Россия, Санкт-ПетербургАлексей Викторович Гончаров
Военно-медицинская академия им. С.М. Кирова; Российский биотехнологический университет
Email: vmeda-nio@mil.ru
ORCID iD: 0000-0001-9807-1496
SPIN-код: 1270-7269
д-р мед. наук, доцент
Россия, Санкт-Петербург; МоскваИгорь Маркеллович Самохвалов
Военно-медицинская академия им. С.М. Кирова; Научно-исследовательский институт скорой помощи им. И.И. Джанелидзе
Email: vmeda-nio@mil.ru
ORCID iD: 0000-0003-1398-3467
SPIN-код: 4590-8088
д-р мед. наук, профессор
Россия, Санкт-Петербург; Санкт-ПетербургСписок литературы
- Samohvalov IM, ed. Military Field Surgery: A National Guide. Moscow: GEOTAR-Media; 2024. 1057 p. (In Russ.)
- Coccolini F, Roberts D, Ansaloni L, et al. The open abdomen in trauma and non-trauma patients: WSES guidelines. World J Emerg Surg. 2018;13:7. doi: 10.1186/s13017-018-0167-4 EDN: XXFHRB
- Roberts DJ, Leppäniemi A, Tolonen M, et al. The open abdomen in trauma, acute care, and vascular and endovascular surgery: comprehensive, expert, narrative review. BJS Open. 2023;7(5):zrad084. doi: 10.1093/bjsopen/zrad084 EDN: GBKGGV
- Brown LR, Rentea RM. Temporary abdominal closure techniques. In: StatPearls. Treasure Island (FL): StatPearls Publishing; 2024. P. 2–12.
- Miller PR, Meredith JW, Johnson JC, Chang MC. Prospective evaluation of vacuum-assisted fascial closure after open abdomen: planned ventral hernia rate is substantially reduced. Ann Surg. 2004;239(5):608–616. doi: 10.1097/01.sla.0000124291.09032.bf
- Coccolini F, Biffl W, Catena F, et al. The open abdomen, indications, management and definitive closure. World J Emerg Surg. 2015;10:32. doi: 10.1186/s13017-015-0026-5 EDN: PONNPC
- Roberts DJ, Ball CG, Feliciano DV, et al. History of the innovation of damage control for management of trauma patients: 1902-2016. Ann Surg. 2017;265(5):1034–1044. doi: 10.1097/SLA.0000000000001803
- Demetriades D. Total management of the open abdomen. Int Wound J. 2012;9(Suppl 1):17–24. doi: 10.1111/j.1742-481X.2012.01018.x
- Zosa BM, Como JJ, Kelly KB, et al. Planned ventral hernia following damage control laparotomy in trauma: an added year of recovery but equal long-term outcome. Hernia. 2016;20(2):231–238. doi: 10.1007/s10029-015-1377-2 EDN: KMYNCP
- Björck M, D'Amours SK, Hamilton AE. Closure of the open abdomen. Am Surg. 2011;77(Suppl 1):S58-S61.
- Carlson GL, Patrick H, Amin AI, et al. Management of the open abdomen: a national study of clinical outcome and safety of negative pressure wound therapy. Ann Surg. 2013;257(6):1154–1159. doi: 10.1097/SLA.0b013e31828b8bc8
- Heo Y, Kim DH. The temporary abdominal closure techniques used for trauma patients: a systematic review and meta-analysis. Ann Surg Treat Res. 2023;104(4):237–247. doi: 10.4174/astr.2023.104.4.237 EDN: IFHRYT
- Cristaudo AT, Jennings SB, Hitos K, et al. Treatments and other prognostic factors in the management of the open abdomen: a systematic review. J Trauma Acute Care Surg. 2017;82(2):407–418. doi: 10.1097/TA.0000000000001314
- De Waele JJ, Kaplan M, Sugrue M, et al. How to deal with an open abdomen? Anaesthesiol Intensive Ther. 2015;47(4):372–378. doi: 10.5603/AIT.a2015.0023
- Granger S, Fallon J, Hopkins J, Pullyblank A. An open and closed case: timing of closure following laparostomy. Ann R Coll Surg Engl. 2020;102(7):519–524. doi: 10.1308/rcsann.2020.0105 EDN: WNGDCO
- Pommerening MJ, DuBose JJ, Zielinski MD, et al. Time to first take-back operation predicts successful primary fascial closure in patients undergoing damage control laparotomy. Surgery. 2014;156(2):431–438. doi: 10.1016/j.surg.2014.04.019
- Miller RS, Morris JA Jr, Diaz JJ Jr, et al. Complications after 344 damage-control open celiotomies. J Trauma. 2005;59(6):1365–1374. doi: 10.1097/01.ta.0000196004.49422.af
- Einav S, Zimmerman FS, Tankel J, Leone M. Management of the patient with the open abdomen. Curr Opin Crit Care. 2021;27(6):726–732. doi: 10.1097/MCC.0000000000000879 EDN: URLJRJ
- Burlew CC, Moore EE, Cuschieri J, et al. Sew it up! A Western Trauma Association multi-institutional study of enteric injury management in the postinjury open abdomen. J Trauma. 2011;70(2):273–277. doi: 10.1097/TA.0b013e3182050eb7
- Fernández LG. Management of the open abdomen: clinical recommendations for the trauma/acute care surgeon and general surgeon. Int Wound J. 2016;13(Suppl 3):25–34. doi: 10.1111/iwj.12655
Дополнительные файлы









